Responsible Mining—The Impact of the Mining Industry in Poland on the Quality of Atmospheric Air
Abstract
:1. Introduction
2. Materials
3. Results and Discussion
3.1. Changes in Dust and Gas Emissivity of All Sectors of Poland Compared to the EU
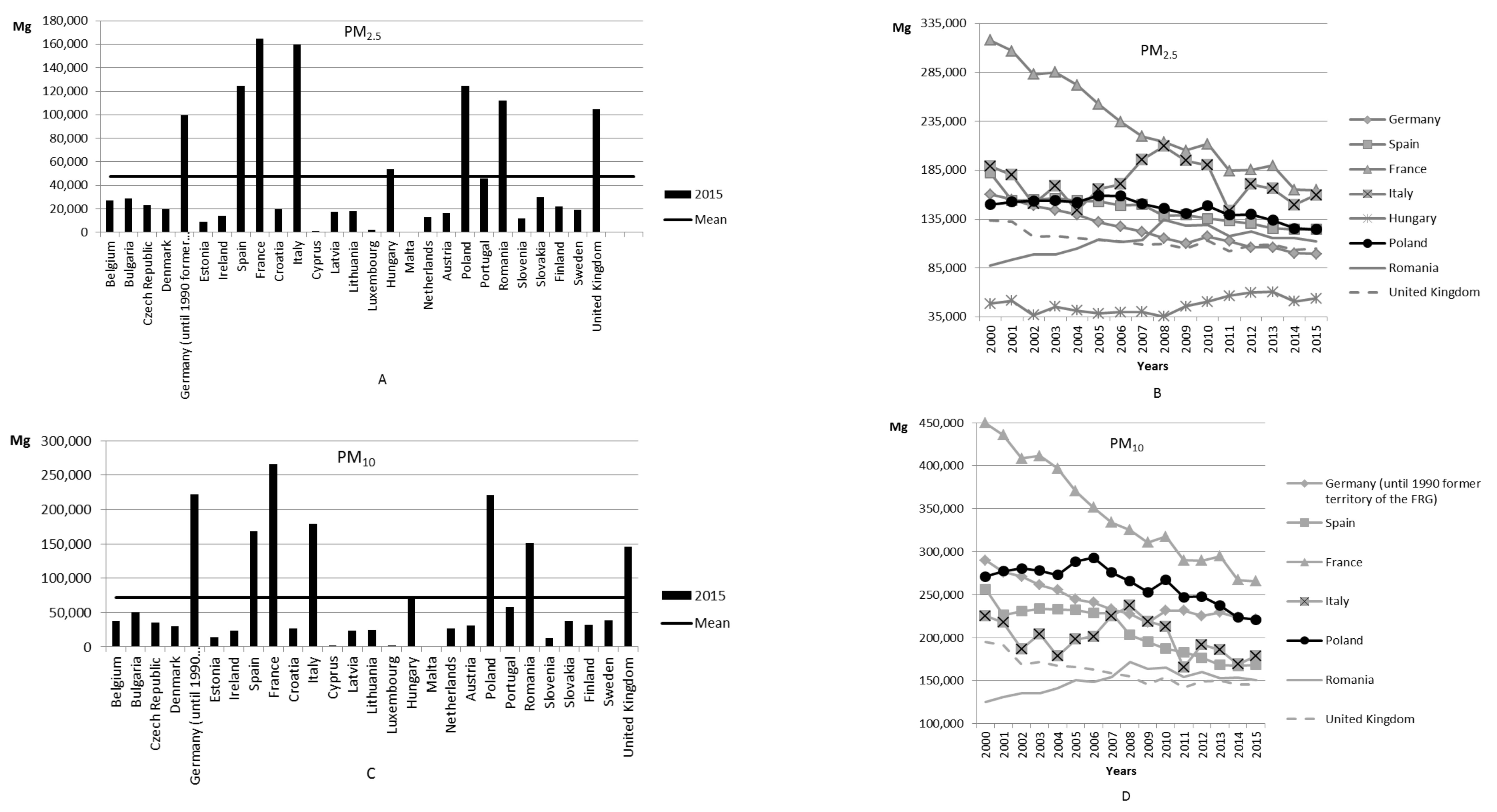
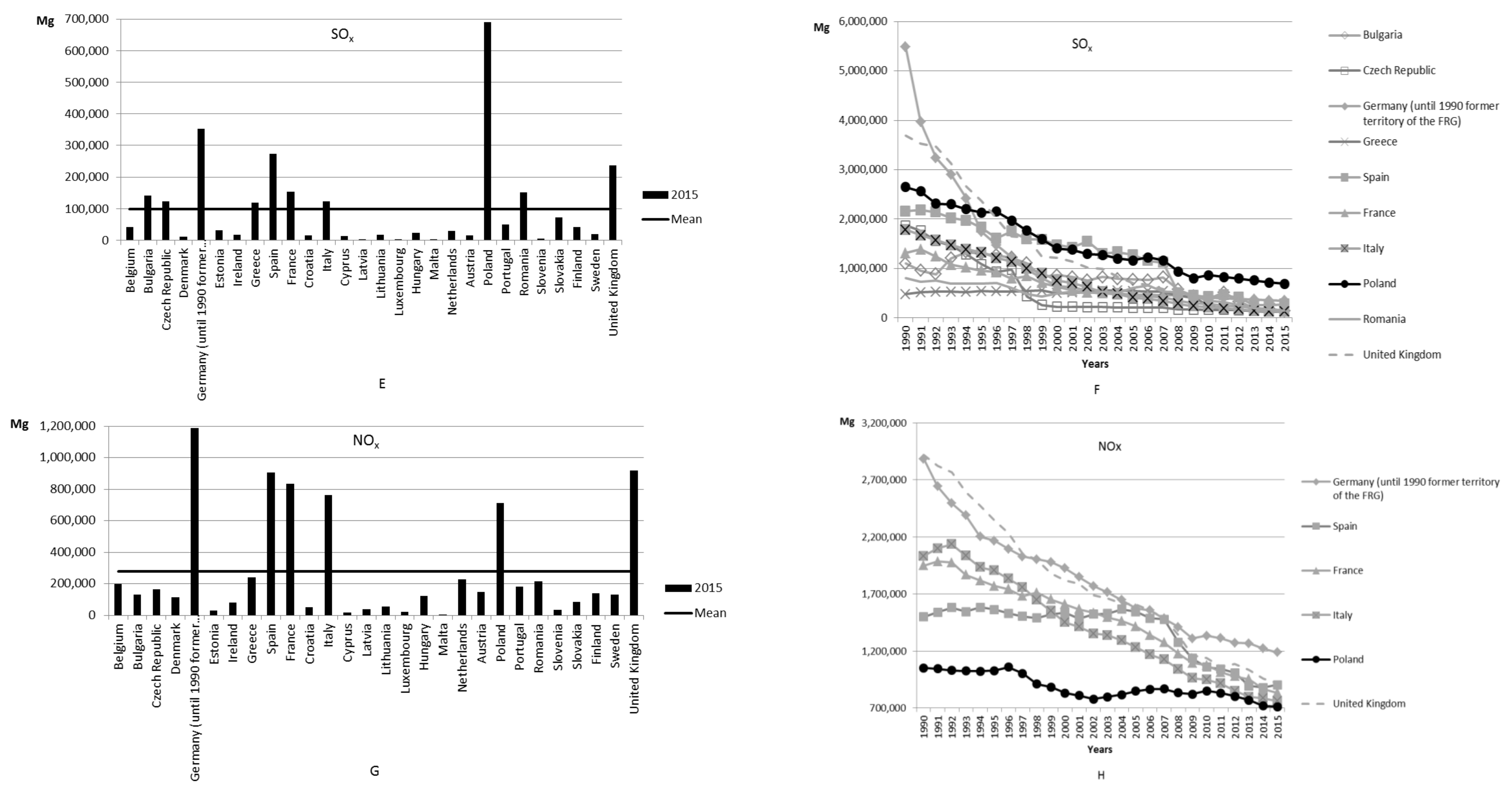
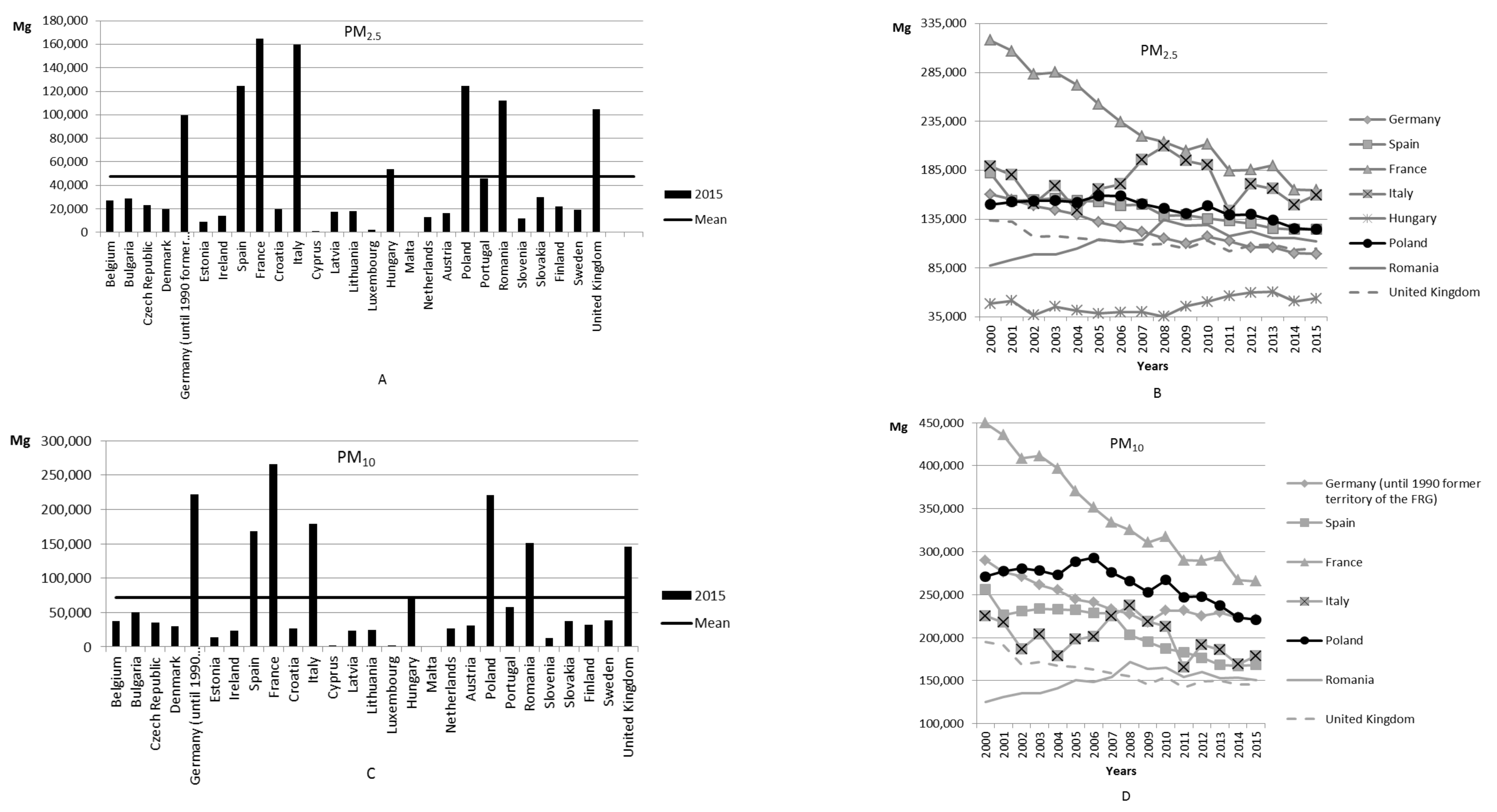
- Comparison of emission values of PM2.5 and PM10, sulphur oxides (SOx), and nitrogen oxides (NOx) in EU countries, taking into account all sectors and selecting countries where the emissions were higher than the arithmetic mean of the whole group,
- Analysis of the trend of emission changes among the selected group of countries identified as the largest issuers over the years (analysed time horizon was dependent on data availability). Major issuers were the following:
- Germany, Spain, France, Italy, Hungary, Poland, Romania, United Kingdom—total emissions of PM2.5 of these countries account for about 73% of total EU emissions (except Greece—no data) (Figure 1A)
- Germany, Spain, France, Italy, Poland, Romania, United Kingdom—total PM10 emissions of these countries account for about 70% of total EU emissions (except for Greece—no data) (Figure 1C)
- Bulgaria, Czech Republic, Germany, Greece, Spain, France, Italy, Poland, Romania, United Kingdom—total SOx emissions of the listed countries account for about 85% of total EU Member States emissions (Figure 1E)
- Germany, Spain, France, Italy, Poland, United Kingdom—total NOx emissions of these countries represent over 68% of the total EU Member States emissions (Figure 1G).
3.2. Changes in Dust and Gas Emission of Plants Especially Noxious in Chosen Voivodeships in Comparison to the Whole Country
4. Conclusions
Acknowledgments
Author Contributions
Conflicts of Interest
References
- Pactwa, K.; Woźniak, J. Environmental reporting policy of the mining industry leaders in Poland. Resour. Policy 2017, 53, 201–207. [Google Scholar] [CrossRef]
- Woźniak, J.; Pactwa, K. Environmental activity of mining industry leaders in Poland in Line with the principles of sustainable development. Sustainability 2017, 9, 1903. [Google Scholar] [CrossRef]
- Woźniak, J. Level of use of guidelines for integrated reporting ES (G) data in the mining industry and vertically integrated operators in the energy value chain in Poland. Zeszyty Naukowe Instytutu Gospodarki Surowcami Mineralnymi I Energią Polskiej Akademii Nauk 2017, 97, 189–200. (In Polish) [Google Scholar]
- Carroll, A.B. Corporate social responsibility: Evolution of a definitional construct. Bus. Soc. 1999, 38, 268–295. [Google Scholar] [CrossRef]
- Eccles, R.G.; Krzus, M.P. One Report: Integrated Reporting for a Sustainable Strategy; John Wiley & Sons: Hoboken, NJ, USA, 2010. [Google Scholar]
- Jaworska, E. Change in the approach to reporting in the context of corporate social responsibility. Zeszyty Naukowe Uniwersytetu Szczecińskiego Finanse, Rynki Finansowe, Ubezpieczenia 2011, 41, 574–583. [Google Scholar]
- Szczepankiewicz, E.I. Evolution of reporting enterprises—Problems comparability in integrated report on sustainability and socially responsible companies. Zeszyty Naukowe Uniwersytetu Szczecińskiego Finanse, Rynki Finansowe, Ubezpieczenia 2014, 71, 135–148. [Google Scholar]
- Szczepankiewicz, E.; Mućko, P. CSR reporting practices of Polish energy and mining companies. Sustainability 2016, 8, 126. [Google Scholar] [CrossRef]
- The European Parliament; The Council of the European Union. Directive 2014/95/EU of the European Parlament and of the Council of 22 October 2014 amending Directive 2013/34/EU as Regards Disclosure of Non-financial and Diversity Information by Certain Large Undertakings and Groups. Available online: http://eur-lex.europa.eu/legal-content/EN/TXT/PDF/?uri=OJ:JOL_2014_330_R_0001&from=EN (accessed on 10 September 2017).
- Jenkins, H.; Yakovleva, N. Corporate social responsibility in the mining industry: Exploring trends in social and environmental disclosure. J. Clean. Product. 2006, 14, 271–284. [Google Scholar] [CrossRef]
- Kemp, D.; Owen, J.R.; van de Graaff, S. Corporate social responsibility, mining and “audit culture”. J. Clean. Product. 2012, 24, 1–10. [Google Scholar] [CrossRef]
- Owen, J.R.; Kemp, D. Corporate character formation and CSR: The function of habit and practice in the mining industry. Am. J. Ind. Bus. Manag. 2014, 4, 223–233. [Google Scholar] [CrossRef]
- Hilson, G. Corporate social responsibility in the extractive industries: Experiences from developing countries. Resour. Policy 2012, 37, 131–137. [Google Scholar] [CrossRef]
- Dilling, P. Reporting on long-term value creation—The example of public Canadian energy and mining companies. Sustainability 2016, 8, 938. [Google Scholar] [CrossRef]
- GRI G4, Sustainability Reporting Guidelines, Reporting Principles and Standard Disclosures, 2013a. Available online: https://www.globalreporting.org/resourcelibrary/GRIG4-Part1-Reporting-Principles-and-Standard-Disclosures.pdf (accessed on 31 October 2016).
- GRI G4, Sector Disclosures, Mining and Metals, 2013b. Available online: https://www.globalreporting. org/resourcelibrary/GRI-G4-Mining-and-Metals-Sector-Disclosures.pdf (accessed on 5 December 2016).
- Report KPMG I FOB, Corporate Social Responsibility: Facts and Opinions. CSR by the Eyes of Large and Medium Companies in Poland. 2014. Available online: https://home.kpmg.com/pl/ [In Polish] (accessed on 5 October 2017).
- Cannistraro, A.; Cannistraro, G.; Cannistraro, M.; Galvagno, A.; Trovato, G. Evaluation on the convenience of a citizen service distric heating for residential use. A new scenario introduced by high efficiency energy systems. Int. J. Heat Technol. 2015, 33, 167–172. [Google Scholar] [CrossRef]
- Cannistraro, G.; Cannistraro, M.; Galvagno, A.; Trovato, G. Technical and economic evaluation the integrations of co-trigeneration system in the dairy industry. Int. J. Heat Technol. 2016, 34, s332–s336. [Google Scholar] [CrossRef]
- Dzikuć, M. Problems associated with the low emission limitation in Zielona Góra (Poland): Prospects and challenges. J. Clean. Product. 2017, 166, 81–87. [Google Scholar] [CrossRef]
- Sówka, I.; Pachurka, Ł.; Przepiórka, M.; Rogula-Kozłowska, W.; Zwoździak, A. Assessment of the Short-term Influence of Particulate Matter Concentrations on the Health of the Inhabitants of Wroclaw. Annual Set The Environment Protection Rocznik Ochrona Środowiska 2016, 18, 603–615. [Google Scholar]
- Cannistraro, G.; Cannistraro, M.; Cannistraro, A. Evaluation of the sound emissions and climate acoustic in proximity of one railway station. Int. J. Heat Technol. 2016, 34. [Google Scholar] [CrossRef]
- Cieślik, E.M.; Konieczny, T. Emissions from co-combustion of coal and municipal solid waste in domestic central heating boiler. Inżynieria Ekol. Ecol. Eng. 2017, 18, 9–13. [Google Scholar] [CrossRef]
- HEAL Health and Environment Alliance, Coal Incierate at Home Furnaces Health Hazards. 2014. Available online: http://www.env-health.org/IMG/pdf/spalanie_wegla_w_domowych_piecach_-_zagrozenia_zdrowotne__health_and_environment_alliance_2014.pdf [In Polish] (accessed on 10 October 2017).
- Chlebowska, S.; Sówka, I.; Kobus, D.; Pachurka, Ł. Analysis of concentrations trends and origins of PM10 in selected European cities. E3S Web Conf. 2017, 17. [Google Scholar] [CrossRef]
- Report ClientEarth, 2014. Air Assessment in Poland—Report on Selected Issues Related to Air Quality in Poland and Collection of Local Fees and Spa Fees, and on Subsidies Granted to Health Resorts Commune. Available online: https://www.pl.clientearth.org/cena-zlego-powietrza/ [In Polish] (accessed on 5 October 2017).
- EEA Report. Air Quality in Europe—Report No 13/2017; European Environment Agency: Copenhagen, Denmark, 2017; Available online: https://www.eea.europa.eu/publications/air-quality-in-europe-2017 (accessed on 17 October 2017).
- Report by KGHM, 2016. Available online: http://kghm.com/pl/zrownowazony-rozwoj/raporty-i-zasoby, [In Polish] (accessed on 22 October 2017).
- Report by PGE, 2017. Available online: http://raportzintegrowany2016.gkpge.pl/ [In Polish] (accessed on 2 October 2017).
- Polityka Ranking, List of 500. 50 Most Profitable Companies in 2012. Available online: http://www.lista500.polityka.pl (accessed on 5 October 2017).
- Report: CE TOP 500, 2016. Available online: https://www2.deloitte.com/pl/pl/pages/finance/articles/ce-top-500-2016.html (accessed on 5 October 2017).
- Eurostat. Available online: http://ec.europa.eu/eurostat (accessed on 2 October 2017).
- The Act of 27 April 2001. Environmental Protection Law J. Laws 2001 No 62 item 627 (as amended) [in Polish]. Available online: http://prawo.sejm.gov.pl/isap.nsf/DocDetails.xsp?id=WDU20010620627 (accessed on 12 April 2018).
- Report on the State of the Environment in the Lower Silesian Voivodeship in 2015. Available online: http://www.wroclaw.pios.gov.pl [In Polish] (accessed on 12 October 2017).
- Report on the State of the Environment in the Lodz Voivodeship in 2015. Available online: http://www.wios.lodz.pl [In Polish] (accessed on 12 October 2017).
- Konieczyński, J. Properties of Respirable Dust Emitted from Selected Installations. Institute of Environmental Engineering of the Polish Academy of Sciences. Works & Studies/Prace i Studia. No. 79 Editor-in-Chief Czesława Rosik-Dulewska. 2010. Available online: http://ipis.pan.pl/dokumenty/pis/m79.pdf (accessed on 10 October 2017).
- Badyda, K.; Niewiński, G.; Patrycy, A.; Orzeszek, W. Attempt to estimate the costs of implementing BAT conclusions for large combustion plants. Nierówności Społecz. Wzrost Gospod. 2016. [Google Scholar] [CrossRef]
- Fugiel, A.; Burchart-Korol, D.; Czaplicka-Kolarz, K.; Smoliński, A. Environmental impact and damage categories caused by air pollution emissions from mining and quarrying sectors of European countries. J. Clean. Product. 2017, 143, 159–168. [Google Scholar] [CrossRef]
- Weber, G.; Cabras, I. The transition of Germany’s energy production, green economy, low-carbon economy, socio-environmental conflicts, and equitable society. J. Clean. Product. 2017, 167, 1222–1231. [Google Scholar] [CrossRef]
- Pacesila, M.; Burcea, S.G.; Colesca, S.E. Analysis of renewable energies in European Union. Renew. Sustain. Energy Rev. 2016, 56, 156–170. [Google Scholar] [CrossRef]
- Jurdziak, L. Are we threatened by fuel poverty? Energy purchase costs and income per capita of the EU citizen. Polit. Energ. 2012, 15, 23–50. [Google Scholar]
- Ma, D.; He, F.; Li, G.; Chen, L. Estimation and comparative analysis of environmental efficiency in China, with and without consideration of haze. Pol. J. Environ. Stud. 2018, 27, 201–211. [Google Scholar] [CrossRef]
- Olkuski, T. Analysis of electricity production in France and Poland. Polit. Energ. 2013, 16, 143–154. [Google Scholar]
- Report on the activity of the President of URE in 2016. Biuletyn Urzędu Regulacji Energetyki. Available online: https://www.ure.gov.pl/pl/urzad/informacje-ogolne/aktualnosci/7032,Sprawozdanie-z-dzialalnosci-Prezesa-URE-w-2016-r-juz-dostepne-w-internecie.html (accessed on 16 October 2017).
- KPOP, National Air Protection Program until 2020 (with Perspective to 2030). Ministerstwo Środowiska 2015. Available online: https://www.mos.gov.pl/srodowisko/ochrona-powietrza/krajowy-program-ochrony-powietrza/ [In Polish] (accessed on 16 October 2017).
- Michalak, J. Selected aspects of the influence of power plant on environment. Prz. Elektrotech. 2014. [Google Scholar] [CrossRef]
- Czachor, K.; Chudy, P. Methodological Guide in Terms of PRTR for Fuel Combustion Plants; pp. 1–130. Available online: http://www.gios.gov.pl/images/dokumenty/prtr/Poradnik_metodyczny_w_zakresie_PRTR_dla_Instalacji_spalania_paliw.pdf [In Polish] (accessed on 10 October 2017).
- Mokrzycki, E.; Uliasz-Bocheńczyk, A. Emission free power plant? Polit. Energ. 2006, 9, 611–619. [Google Scholar]
- Boba, J.; Jurka, T.; Passia, H. Emissions of gas and dust pollutants in the national power industry from 2005–2011—Results of questionnaire survey. Polit. Energ. 2014, 17, 93–112. [Google Scholar]
- Wojdyga, K.; Chorzelski, M.; Rozycka-Wronska, E. Emission of pollutants in flue gases from Polish district heating sources. J. Clean. Product. 2014, 75, 157–165. [Google Scholar] [CrossRef]
- Cannistraro, G.; Cannistraro, A.; Cannistraro, M.; Galvagno, A.; Trovato, G. Analysis of the air pollution in the urban center of four cities Sicilian. Int. J. Heat Technol. 2016, 34. [Google Scholar] [CrossRef]
- Directive 2008/50/EC of the European Parliament and of the Council of 21 May 2008 on ambient air quality and cleaner air for Europe. Available online: https://eur-lex.europa.eu/legal-content/EN/TXT/?uri=CELEX:32008L0050 (accessed on 9 April 2018).
- Lorenz, U. Consequences of Hard Coal Combustion for the Environment and Methods of their Reduction; Mat. Szkoły Eksploatacji Podziemnej. Sympozja i Konferencje nr 64. Wyd. Instytut GSMiE PAN: Kraków, Poland, 2005; pp. 97–112. Available online: https://se.min-pan.krakow.pl/publikacje/05_02ul_sep.pdf [in Polish] (accessed on 9 April 2018).
- Directive 2010/75/EU of the European Parliament and the Council of 24 November 2010 on industrial emission.(integrated pollution prevention and control). Available online: https://www.google.com.hk/url?sa=t&rct=j&q=&esrc=s&source=web&cd=3&ved=0ahUKEwjrrtbvv7TaAhVHV7wKHUwwCX0QFggyMAI&url=https%3A%2F%2Fwww.energy-community.org%2Fdam%2Fjcr%3A32f06165-f591-442f-9a38-4f4a5e975136%2FDirective_2010_75_ENV.pdf&usg=AOvVaw0Io_bmMyGV60Wovl7wLH4K (accessed on 9 April 2018).
- Report by KGHM, 2012. Available online: http://kghm.com/pl/zrownowazony-rozwoj/raporty-i-zasoby, [in Polish] (accessed on 22 October 2017).
- Podgórska, B.; Synowiec, P.; Górniak, J.; Podgórska, S. Environmental Program for the Głogów Poviat for the Years 2017–2020 with a Perspective until 2024, 2017. Available online: http://bip.powiat.glogow.pl [in Polish] (accessed on 24 October 2017).
- Cannistraro, M.; Cannistraro, G.; Piccolo, A.; Restivo, R. Potentials and limits of oxidative photocatalysis and possible applications in the field of cultural heritage. Adv. Mater. Res. 2013, 787, 111–117. [Google Scholar] [CrossRef]




| Years/Time Interval | EU | DE | ES | FR | IT | HU | PL | RO | UK |
|---|---|---|---|---|---|---|---|---|---|
| 2000–2005 | ↓141,190 | ↓28,284 | ↓29,417 | ↓65,592 | ↓23,561 | ↓10,021 | ↑9,311 | ↑26,704 | ↓20,157 |
| 2005–2010 | ↓87,420 | ↓14,782 | ↓17,552 | ↓40,406 | ↑24,323 | ↑12,029 | ↓10,381 | ↑14,243 | ↓565 |
| 2010–2015 | ↓220,806 | ↓17,647 | ↓10,912 | ↓47,212 | ↓30,224 | ↑3,286 | ↓24,149 | ↓16,580 | ↓8,151 |
| Years/Time Interval | EU | DE | ES | FR | IT | PL | RO | UK |
|---|---|---|---|---|---|---|---|---|
| 2000–2005 | ↓178,463 | ↓45,522 | ↓24,397 | ↓78,984 | ↓27,465 | ↑17,336 | ↑25,426 | ↓29,637 |
| 2005–2010 | ↓176,226 | ↓13,169 | ↓44,899 | ↓53,024 | ↑14,994 | ↓21,424 | ↑14,557 | ↓11,498 |
| 2010–2015 | ↓270,220 | ↓10,147 | ↓19,067 | ↓51,644 | ↓34,062 | ↓46,017 | ↓14,369 | ↓8,729 |
| Years/Time Interval | EU | BG | CZ | DE | GR | ES | FR | IT | PL | RO | UK |
|---|---|---|---|---|---|---|---|---|---|---|---|
| 1990–1995 | ↓8,754,488 | ↑200,228 | ↓780,682 | ↓3,740,443 | ↑63,563 | ↓330,234 | ↓358,168 | ↓461,628 | ↓512,659 | ↓105,331 | ↓1,313,349 |
| 1995–2000 | ↓6,597,005 | ↓438,134 | ↓863,197 | ↓1,100,050 | ↓42,579 | ↓353,146 | ↓325,063 | ↓566,884 | ↓731,409 | ↓206,065 | ↓1,151,767 |
| 2000–2005 | ↓2,335,285 | ↓83,971 | ↓19,314 | ↓172,771 | ↑42,802 | ↓196,215 | ↓175,980 | ↓346,487 | ↓240,031 | ↑110,401 | ↓509,221 |
| 2005–2010 | ↓3,270,179 | ↓389,849 | ↓47,407 | ↓62,367 | ↓293,852 | ↓851,728 | ↓174,982 | ↓190,929 | ↓297,588 | ↓251,721 | ↓287,414 |
| 2010–2015 | ↓1,601,414 | ↓246,734 | ↓37,159 | ↓57,542 | ↓127,945 | ↓152,086 | ↓127,167 | ↓94,239 | ↓175,749 | ↓197,599 | ↓187,485 |
| Years/Time Interval | EU | DE | ES | FR | IT | PL | UK |
|---|---|---|---|---|---|---|---|
| 1990–1995 | ↓2,545,769 | ↓717,739 | ↑64,378 | ↓178,680 | ↓124,754 | ↓23,308 | ↓575,016 |
| 1995–2000 | ↓2,031,879 | ↓240,049 | ↓29,040 | ↓160,296 | ↓456,466 | ↓196,428 | ↓525,458 |
| 2000–2005 | ↓1,080,184 | ↓351,654 | ↑9,135 | ↓195,244 | ↓217,188 | ↑15,532 | ↓209,060 |
| 2005–2010 | ↓2,608,444 | ↓239,973 | ↓485,346 | ↓338,563 | ↓284,876 | ↑3,191 | ↓468,623 |
| 2010–2015 | ↓1,626,618 | ↓146,579 | ↓154,425 | ↓240,651 | ↓185,452 | ↓137,780 | ↓221,111 |
© 2018 by the authors. Licensee MDPI, Basel, Switzerland. This article is an open access article distributed under the terms and conditions of the Creative Commons Attribution (CC BY) license (http://creativecommons.org/licenses/by/4.0/).
Share and Cite
Woźniak, J.; Pactwa, K. Responsible Mining—The Impact of the Mining Industry in Poland on the Quality of Atmospheric Air. Sustainability 2018, 10, 1184. https://doi.org/10.3390/su10041184
Woźniak J, Pactwa K. Responsible Mining—The Impact of the Mining Industry in Poland on the Quality of Atmospheric Air. Sustainability. 2018; 10(4):1184. https://doi.org/10.3390/su10041184
Chicago/Turabian StyleWoźniak, Justyna, and Katarzyna Pactwa. 2018. "Responsible Mining—The Impact of the Mining Industry in Poland on the Quality of Atmospheric Air" Sustainability 10, no. 4: 1184. https://doi.org/10.3390/su10041184
APA StyleWoźniak, J., & Pactwa, K. (2018). Responsible Mining—The Impact of the Mining Industry in Poland on the Quality of Atmospheric Air. Sustainability, 10(4), 1184. https://doi.org/10.3390/su10041184

