Factors Associated with Condomless Anal Sex and Absence of Pre-Exposure Prophylaxis (PrEP) Use Among Brazilian Men Who Have Sex with Men: A Cross-Sectional Study
Abstract
1. Introduction
2. Materials and Methods
2.1. Study Design, Participants, and Data Collection
2.2. Questionnaire and Variables
2.3. Statistical Analysis
2.4. Ethical Approval and Consent to Participate
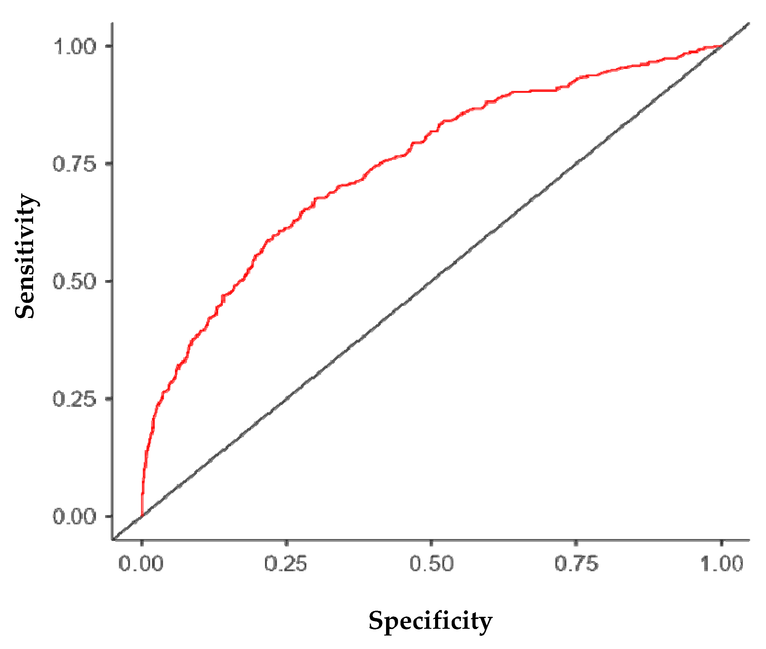
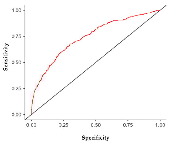
3. Results
4. Discussion
5. Conclusions
Supplementary Materials
Author Contributions
Funding
Institutional Review Board Statement
Informed Consent Statement
Data Availability Statement
Acknowledgments
Conflicts of Interest
References
- Sousa, L.R.M.; Elias, H.C.; Caliari, J.S.; Oliveira, A.C.; Gir, E.; Reis, R.K. Inconsistent use of male condoms among HIV-negative men who have sex with other men. Rev. Latino-Am. Enferm. 2023, 31, e3890. [Google Scholar] [CrossRef]
- Ministério da Saúde. Protocolos Clínicos e Diretrizes Terapêuticas do Ministério da Saúde: Utilização nos Serviços de Saúde; Ministério da Saúde: Brasilia, Brazil, 2023. Available online: https://www.gov.br/saude/pt-br/assuntos/pcdt (accessed on 23 June 2025).
- Mendonça, G.P.K.; Conrado, D.D.S.; Nascimento, A.I.D.; Azevedo, M.V.D.; Cunha, J.C.P.D.; Koch, G.S.R.; Falcão de Oliveira, E. HIV pre-exposure prophylaxis and incidence of sexually transmitted infections in Brazil, 2018 to 2022: An ecological study of PrEP administration, syphilis, and socioeconomic indicators. PLoS Neglected Trop. Dis. 2023, 17, e0011548. [Google Scholar] [CrossRef] [PubMed]
- Sousa, L.R.M.; Elias, H.C.; Fernandes, N.M.; Gir, E.; Reis, R.K. Knowledge of PEP and PrEP among people living with HIV/AIDS in Brazil. BMC Public Health 2021, 21, 64. [Google Scholar] [CrossRef] [PubMed]
- Ministério da Saúde. Boletim Epidemiológico HIV e AIDS 2024; Ministério da Saúde: Brasilia, Brazil, 2024. Available online: https://www.gov.br/aids/pt-br/central-de-conteudo/boletins-epidemiologicos/2024/boletim_hiv_aids_2024e.pdf/view (accessed on 23 June 2025).
- Sousa, L.R.M.; de Mesquita, R.F.; Wiklander, M.; Eriksson, L.E.; Gir, E.; Reis, R.K. Cultural adaptation and validation of the Barriers to HIV Testing Scale-Karolinska Version for Brazilian men who have sex with men. J. Assoc. Nurses AIDS Care 2023, 34, 481–498. [Google Scholar] [CrossRef]
- UNAIDS Brasil. Estatísticas Globais. 2024. Available online: https://unaids.org.br/estatisticas/ (accessed on 23 June 2025).
- Di Ciaccio, M.; Sagaon-Teyssier, L.; Mimi, M.; Suzan-Monti, M.; Protiere, C.; Castro, D.R.; Meyer, L.; Tremblay, C.; Chidiac, C.; Capitant, C.; et al. What are the situational and behavioral factors associated with condomless anal sex without pre-exposure prophylaxis in MSM? AIDS 2020, 34, 1367–1375. [Google Scholar] [CrossRef]
- Sönmez, İ.; Lorente, N.; Mesías-Gazmuri, J.; Schmidt, A.J.; Jonas, K.J.; Avila, V.S.; Casabona Barbarà, J.; Folch, C. Sex work, syndemic conditions and condomless anal intercourse among men who have sex with men who engage in sex work in Latin America. Sex Health 2024, 21, SH23112. [Google Scholar] [CrossRef]
- Caballero-Hoyos, R.; Monárrez-Espino, J.; Ramírez-Ortíz, M.G.; Cárdenas-Medina, F.M. Fatores associados ao sexo anal desprotegido entre homens que fazem sexo com homens no México. Infect. Dis. Rep. 2022, 14, 547–557. [Google Scholar] [CrossRef] [PubMed]
- Shen, Y.; Zhang, C.; Valimaki, M.A.; Qian, H.; Mohammadi, L.; Chi, Y.; Li, X. Why do men who have sex with men practice condomless sex? A systematic review and meta-synthesis. BMC Infect. Dis. 2022, 22, 850. [Google Scholar] [CrossRef]
- Paz-Bailey, G.; Mendoza, M.C.; Finlayson, T.; Wejnert, C.; Le, B.; Rose, C.; Raymond, H.F.; Prejean, J. Trends in condom use among MSM in the United States: The role of antiretroviral therapy and seroadaptive strategies. AIDS 2016, 30, 1985–1990. [Google Scholar] [CrossRef]
- Victora, C.G.; Huttly, S.R.; Fuchs, S.C.; Olinto, M.T.A. The role of conceptual frameworks in epidemiological analysis: A hierarchical approach. Int. J. Epidemiol. 1997, 26, 224–227. [Google Scholar] [CrossRef] [PubMed]
- The Jamovi Project, Version 2.3; Computer Software; Jamovi: Sydney, Australia, 2022. Available online: https://www.jamovi.org (accessed on 12 March 2025).
- Berg, R.C.; Tikkanen, R.; Ross, M.W. Predictors of reporting bareback sex among a diverse sample of MSM recruited through a Swedish website. AIDS Care 2011, 23, 1644–1651. [Google Scholar] [CrossRef]
- Berg, R.C. Barebacking among MSM Internet users. AIDS Behav. 2008, 12, 822–833. [Google Scholar] [CrossRef]
- Mansergh, G.; Colfax, G.N.; Marks, G.; Rader, M.; Guzman, R.; Buchbinder, S. ‘Barebacking’ in a diverse sample of men who have sex with men. AIDS 2002, 16, 653–659. [Google Scholar] [CrossRef]
- Lachowsky, N.J.; Brennan, D.J.; Berlin, G.W.; Souleymanov, R.; Georgievski, G.; Kesler, M. A mixed method analysis of differential reasons for condom use and non-use among gay, bisexual, and other men who have sex with men. Can. J. Hum. Sex. 2021, 30, 65–77. [Google Scholar] [CrossRef]
- Aznar, T. Type of partner, socio-economic factors and risk practices in men who have sex with men. Gac. Sanit. 2015, 29, 412–418. [Google Scholar] [CrossRef]
- Rocha, G.M.; Guimarães, M.D.C.; de Brito, A.M.; Dourado, I.; Veras, M.A.; Magno, L.; Kendall, C.; Kerr, L.R.F.S. High rates of unprotected receptive anal intercourse and their correlates among young and older MSM in Brazil. AIDS Behav. 2020, 24, 938–950. [Google Scholar] [CrossRef] [PubMed]
- Johnston, L.G.; Soe, P.; Widihastuti, A.S.; Camellia, A.; Putri, T.A.; Rakhmat, F.F.; Pronyk, P.M. Alarmingly high HIV prevalence among adolescent and young men who have sex with men (MSM) in urban Indonesia. AIDS Behav. 2021, 25, 3687–3694. [Google Scholar] [CrossRef]
- Jalil, C.M.; Jalil, E.M.; Torres, T.S.; Scarparo, R.O.; Bezerra, D.R.B.; Hoagland, B.; Grinsztejn, B. Alta vulnerabilidade e prevalência de HIV e outras ISTs entre jovens HSH no Rio de Janeiro: O projeto Conectad@s. Braz. J. Infect. Dis. 2023, 27, 102971. [Google Scholar] [CrossRef]
- Kalichman, S.C.; Ntseane, D.; Nthomang, K.; Segwabe, M.; Phorano, O.; Simbayi, L.C. Recent multiple sexual partners and HIV transmission risks among people living with HIV/AIDS in Botswana. Sex. Transm. Infect. 2007, 83, 371–375. [Google Scholar] [CrossRef]
- Wiysonge, C.S.; Kongnyuy, E.J.; Shey, M.; Muula, A.S.; Navti, O.B.; Akl, E.A.; Lo, Y.R. Male circumcision for prevention of homosexual acquisition of HIV in men. Cochrane Database Syst. Rev. 2011, 6, CD007496. [Google Scholar] [CrossRef]
- Yuan, T.; Fitzpatrick, T.; Ko, N.Y.; Cai, Y.; Chen, Y.; Zhao, J.; Zou, H. Circumcision to prevent HIV and other sexually transmitted infections in men who have sex with men: A systematic review and meta-analysis of global data. Lancet Glob. Health 2019, 7, e436–e447. [Google Scholar] [CrossRef] [PubMed]
- Lim, S.H.; Guadamuz, T.E.; Wei, C.; Chan, R.; Koe, S. Factors associated with unprotected receptive anal intercourse with internal ejaculation among men who have sex with men in a large Internet sample from Asia. AIDS Behav. 2012, 16, 1979–1987. [Google Scholar] [CrossRef] [PubMed]
- Antonini, M.; Vettore, M.V.; Øgård-Repål, A.; de Macêdo Rocha, D.; de Alencar Rocha, K.A.; Elias, H.C.; Barufaldi, F.; Santana, R.C.; Gir, E.; Spire, B.; et al. Patterns of Chlamydia trachomatis and Neisseria gonorrhoeae in different anatomical sites among Pre-Exposure Prophylaxis (PrEP) users in Brazil. BMC Infect. Dis. 2024, 24, 260. [Google Scholar] [CrossRef] [PubMed]
- Garofalo, R.; Hotton, A.L.; Kuhns, L.M.; Gratzer, B.; Mustanski, B. Incidence of HIV Infection and Sexually Transmitted Infections and Related Risk Factors Among Very Young Men Who Have Sex with Men. J. Acquir. Immune Defic. Syndr. 2016, 72, 79–86. [Google Scholar] [CrossRef]

| Variable | N° | % | |
|---|---|---|---|
| gender identity | |||
| Cisgender man | 1195 | 88.1 | |
| Transgender man | 13 | 1.0 | |
| Intergender | 14 | 1.0 | |
| Other | 135 | 9.9 | |
| sexual orientation | |||
| Homosexual | 1115 | 82.2 | |
| Heterosexual | 20 | 1.5 | |
| Bisexual | 167 | 12.3 | |
| Pansexual | 38 | 2.8 | |
| Asexual | 4 | 0.3 | |
| Other | 13 | 1.0 | |
| Age range | |||
| 18 to 28 years | 1008 | 73.3 | |
| 29 to 39 years | 348 | 25.6 | |
| 40 years and over | 1 | 0.1 | |
| Years of study | |||
| <11 years | 266 | 19.6 | |
| >11 years | 1091 | 80.4 | |
| Skin Color | |||
| White | 623 | 45.9 | |
| Black | 164 | 12.1 | |
| Brown | 530 | 39.1 | |
| Yellow | 18 | 1.3 | |
| Did not declare | 16 | 1.2 | |
| Other | 6 | 0.4 | |
| Work Situation | |||
| Formal work | 648 | 47.8 | |
| Informal work | 183 | 13.5 | |
| Unemployed | 188 | 13.9 | |
| Retired/pensioner | 4 | 0.3 | |
| Student | 334 | 24.6 | |
| Marital status | |||
| Single | 1132 | 83.0 | |
| Married | 58 | 4.3 | |
| Stable union/partnership | 160 | 11.8 | |
| Divorced/separated | 5 | 0.4 | |
| Widower | 2 | 0.1 | |
| Fixed Partner | |||
| Yes | 540 | 39.8 | |
| No | 817 | 60.2 | |
| Use alcohol | |||
| Yes | 1028 | 75.8 | |
| No | 329 | 24.2 | |
| Use Tobacco | |||
| Yes | 254 | 18.7 | |
| No | 1103 | 81.3 | |
| Use other drugs | |||
| Yes | 356 | 26.2 | |
| No | 1101 | 73.8 | |
| Most frequent sexual practice | |||
| Oral | 347 | 25.6 | |
| Receptive anal | 482 | 35.5 | |
| Insertive anal | 435 | 32.1 | |
| Likes to observe | 11 | 0.8 | |
| Other | 82 | 6.0 | |
| Variables | Anal Intercourse Without Condom and Without PrEP in the Last 12 Months | ||||
|---|---|---|---|---|---|
| Yes 942 (69.4%) | No 415 (30.6%) | Total 1357 (100%) | Pearson Chi-Square | ||
| Gender identity | 0.02 | ||||
| Cisgender | 844 (70.6) | 351 (29.4) | 1195 (100) | ||
| Transgender | 10 (76.9) | 3 (23.1) | 13 (100) | ||
| Intergender | 10 (71.4) | 4 (28.6) | 14 (100) | ||
| Other | 78 (57.8) | 57 (42.2) | 135 (100) | ||
| Sexual orientation | <0.001 | ||||
| Homosexual | 798 (71.6) | 317 (28.4) | 1115 (100) | ||
| Heterosexual | 4 (20.0) | 16 (80.0) | 20 (100) | ||
| Bisexual | 108 (64.7) | 59 (35.3) | 167 (100) | ||
| Pansexual | 27 (71.1) | 11 (28.9) | 38 (100) | ||
| Asexual | 0 (0.0) | 4 (100.0) | 4 (100) | ||
| Other | 5 (38.5) | 8 (61.5) | 13 (100) | ||
| Skin color | 0.127 | ||||
| White | 420 (67.4) | 203 (32.6) | 623 (100) | ||
| Black | 124 (75.6) | 40 (24.4) | 164 (100) | ||
| Brown | 374 (70.6) | 156 (29.4) | 530 (100) | ||
| Yellow | 9 (50.0) | 9 (50.0) | 18 (100) | ||
| Did not declare | 10 (62.5) | 6 (37.5) | 16 (100) | ||
| Other | 5 (83.3) | 1 (16.7) | 6 (100) | ||
| Work situation | 0.077 | ||||
| Formal Work | 467 (72.1) | 181 (27.9) | 648 (100) | ||
| Informal Work | 124 (67.8) | 59 (32.2) | 183 (100) | ||
| Unemployed | 131 (69.7) | 57 (30.3) | 188 (100) | ||
| Retired or Pensioner | 1 (25.0) | 3 (75.0) | 4 (100) | ||
| Student | 219 (65.6) | 115 (34.4) | 334 (100) | ||
| Marital status | 0.002 | ||||
| Single | 764 (67.5) | 368 (32.5) | 1132 (100) | ||
| Married | 39 (67.2) | 19 (32.8) | 58 (100) | ||
| stable union, Live together or Cohabiting | 133 (83.1) | 27 (16.9) | 160 (100) | ||
| Divorced or Separated | 4 (80.0) | 1 (20.0) | 5 (100) | ||
| Widower | 2 (100) | 0 (0.0) | 2 (100) | ||
| Fixed partner | |||||
| Yes | 447 (82.8) | 93 (17.2) | 540 (100) | <0.001 | |
| No | 495 (60.6) | 322 (39.4) | 817 (100) | ||
| Alcohol use | |||||
| Yes | 728 (70.8) | 300 (29.2) | 1028 (100) | 0.048 | |
| No | 214 (65.0) | 115 (35.0) | 329 (100) | ||
| Tobacco use | |||||
| Yes | 180 (70.9) | 74 (29.1) | 254 (100) | 0.578 | |
| No | 762 (69.1) | 341 (30.9) | 1103 (100) | ||
| Drug use (Illicit) | |||||
| Yes | 262 (73.6) | 94 (26.4) | 356 (100) | 0.046 | |
| No | 680 (67.9) | 321 (32.1) | 1001 (100) | ||
| More frequent sexual practice | |||||
| Oral | 203 (58.5) | 144 (41.5) | 347 (100) | <0.001 | |
| Receptive anal | 359 (74.5) | 123 (25.5) | 482 (100) | ||
| Insertive anal | 339 (77.9) | 96 (22.1) | 435 (100) | ||
| Observer | 1 (9.1) | 10 (90.9) | 11 (100) | ||
| Other | 40 (48.8) | 42 (51.2) | 82 (100) | ||
| Used a condom in the last sexual intercourse | |||||
| Yes | 346 (51.3) | 328 (48.7) | 674 (100) | <0.001 | |
| No | 596 (87.3) | 87 (12.7) | 683 (100) | ||
| Use lubricating gel during sexual intercourse | |||||
| Yes | 763 (69.4) | 337 (30.6) | 1100 (100) | 0.929 | |
| No | 179 (69.6) | 78 (30.4) | 257 (100) | ||
| HIV Test | |||||
| Yes | 776 (72.1) | 300 (27.9) | 1076 (100) | <0.001 | |
| No | 166 (59.1) | 115 (40.9) | 281 (100) | ||
| Do you know of a place where you can do one? quick test HIV | |||||
| Yes | 689 (70.2) | 292 (29.8) | 981 (100) | 0.292 | |
| No | 253 (67.3) | 123 (32.7) | 376 (100) | ||
| Talked to any health professional about carrying out an HIV test | |||||
| Yes | 459 (70.4) | 193 (29.6) | 652 (100) | 0.451 | |
| No | 483 (68.5) | 222 (31.5) | 705 (100) | ||
| Talked to a friend about taking an HIV test | |||||
| Yes | 456 (70.6) | 190 (29.4) | 646 (100) | 0.372 | |
| No | 486 (68.4) | 225 (31.6) | 711 (100) | ||
| It received free male condom | |||||
| Yes | 563 (69.4) | 248 (30.6) | 811 (100) | 0.998 | |
| No | 379 (69.4) | 167 (30.6) | 546 (100) | ||
| Read information on internet about HIV prevention | |||||
| Yes | 788 (69.4) | 348 (30.6) | 1136 (100) | 0.925 | |
| No | 154 (69.7) | 67 (30.3) | 221 (100) | ||
| Read information in printed material about HIV prevention | |||||
| Yes | 479 (69.9) | 206 (30.1) | 685 (100) | 0.681 | |
| No | 463 (68.9) | 209 (31.1) | 672 (100) | ||
| STI diagnosis | |||||
| Yes | 356 (76.7) | 108 (23.3) | 464 (100) | <0.001 | |
| No | 586 (65.6) | 307 (34.4) | 893 (100) | ||
| Do you know someone living with HIV? | |||||
| Yes | 549 (70.2) | 233 (29.8) | 782 (100) | 0.463 | |
| No | 393 (68.3) | 182 (31.7) | 575 (100) | ||
| Sex worker | |||||
| Yes | 11 (57.9) | 8 (42.1) | 19 (100) | 0.272 | |
| No | 931 (69.6) | 407 (30.4) | 1338 (100) | ||
| Age Range | |||||
| 18 to 28 years | 709 (70.3) | 299 (29.7) | 1008 (100) | 0.160 | |
| 29 a 39 years | 233 (67.0) | 115 (33.0) | 348 (100) | ||
| 40 years and over | 0 (0.0) | 1 (100) | 1 (100) | ||
| Years of Study | |||||
| <11 years | 175 (65.8) | 91 (34.2) | 266 (100) | 0.152 | |
| >11 years | 767 (70.3) | 324 (29.7) | 1091 (100) | ||
| Multiple Partners | |||||
| Yes | 450 (65.6) | 236 (34.4) | 686 (100) | 0.002 | |
| No | 492 (73.3) | 179 (26.7) | 671 (100) | ||
| Variables | Crude OR [95% IC *] | p | Adjusted OR [95% IC *] | p | |
|---|---|---|---|---|---|
| Age Range | |||||
| 18 a 28 years | 2.12 [1.08–4.12] | 0.028 | 2.59 [1.27–5.31] | 0.009 | |
| 29 a 39 years | 1.81 [0.86–3.76] | 0.114 | 1.51 [0.69–3.31] | 0.301 | |
| 40 years and more | Ref. | Ref. | Ref. | Ref. | |
| Sexual Orientation: | |||||
| Homosexual | 6.04 [2.11–17.29] | <0.001 | 6.04 [1.80–20.20] | 0.004 | |
| Heterosexual | 0.60 [0.13–2.72] | 0.508 | 0.85 [0.15–4.61] | 0.852 | |
| Pansexual | 4.39 [1.47–13.07] | 0.008 | 5.30 [1.53–18.41] | 0.009 | |
| Bisexual | 5.89 [1.67–20.70] | 0.006 | 8.67 [2.07–36.30] | 0.003 | |
| Other | Ref. | Ref. | Ref. | Ref. | |
| Gender | |||||
| Cisgender | 1.7 [1.22–2.53] | <0.001 | 1.29 [0.83–2.01] | 0.245 | |
| Transgender | 2.4 [0.64–9.25] | 0.19 | 3.09 [0.68–13.97] | 0.142 | |
| Intergender | 1.8 [0.5–6.12] | 0.32 | 1.24 [0.34–4.52] | 0.738 | |
| Other | Ref. | Ref. | Ref. | Ref. | |
| Skin color | |||||
| White | 0.414 [0.04–3.57] | 0.422 | 0.17 [0.01–1.72] | 0.136 | |
| Black | 0.620 [0.07–5.47] | 0.667 | 0.27 [0.02–2.82] | 0.280 | |
| Brown | 0.479 [0.05–4.14] | 0.504 | 0.21 [0.02–2.13] | 0.191 | |
| Yellow | 0.200 [0.01–2.07] | 0.177 | 0.07 [0.006–0.95] | 0.046 | |
| Not declared | 0.333 [0.03–3.58] | 0.364 | 0.17 [0.01–2.33] | 0.187 | |
| Other | Ref. | Ref. | Ref. | Ref. | |
| Fixed Partner | |||||
| Yes | 3.13 [2.40–4.07] | 0.001 | 4.57 [3.32–6.28] | 0.001 | |
| No | Ref. | Ref. | Ref. | Ref. | |
| Alcohol use | |||||
| Yes | 1.30 [1.0–1.70] | 0.048 | 1.07 [0.79–1.46] | 0.633 | |
| No | Ref. | Ref. | Ref. | Ref. | |
| Use of illicit drugs | |||||
| Yes | 1.32 [1.0–172] | 0.047 | 1.10 [0.81–1.50] | 0.510 | |
| No | Ref. | Ref. | Ref. | Ref. | |
| Most frequent sexual practice | |||||
| Oral | 1.480 [0.91–2.39] | 0.111 | 1.41 [0.80–2.47] | 0.231 | |
| Receptive anal | 3.065 [1.89–4.94] | 0.001 | 2.73 [1.57–4.75] | 0.001 | |
| Insertive anal | 3.708 [2.27–6.04] | 0.001 | 2.80 [1.59–4.92] | 0.001 | |
| Observer | 0.105 [0.01–0.85] | 0.035 | 0.10 [0.010–1.09] | 0.059 | |
| Other | Ref. | Ref. | Ref. | Ref. | |
| HIV Test | |||||
| Yes | 1.79 [1.36–2.35] | 0.001 | 1.35 [0.97–1.87] | 0.073 | |
| No | Ref. | Ref. | Ref. | Ref. | |
| STI diagnosis | |||||
| Yes | 1.73 [1.34–2.23] | 0.001 | 1.49 [1.11–1.99] | 0.008 | |
| No | Ref. | Ref. | Ref. | Ref. | |
| Years of Study | |||||
| <11 years | 0.812 [0.61–1.08] | 0.152 | 1.22 [0.86–1.72] | 0.260 | |
| >11 years | Ref. | Ref. | Ref. | Ref. | |
| Multiple Partners | |||||
| Years | 0.694 [0.55–0.87] | 0.002 | 0.49 [0.37–0.66] | 0.001 | |
| No | Ref. | Ref. | Ref. | Ref. | |
Disclaimer/Publisher’s Note: The statements, opinions and data contained in all publications are solely those of the individual author(s) and contributor(s) and not of MDPI and/or the editor(s). MDPI and/or the editor(s) disclaim responsibility for any injury to people or property resulting from any ideas, methods, instructions or products referred to in the content. |
© 2025 by the authors. Licensee MDPI, Basel, Switzerland. This article is an open access article distributed under the terms and conditions of the Creative Commons Attribution (CC BY) license (https://creativecommons.org/licenses/by/4.0/).
Share and Cite
Sousa, L.R.M.; Silva, P.T.C.d.; Rodrigues, A.A.; Silva, M.J.d.S.; Paz, J.C.V.J.d.; Oliveira, B.d.S.; Rocha, D.d.M.; Wiklander, M.; Gir, E.; Karina Reis, R. Factors Associated with Condomless Anal Sex and Absence of Pre-Exposure Prophylaxis (PrEP) Use Among Brazilian Men Who Have Sex with Men: A Cross-Sectional Study. Infect. Dis. Rep. 2025, 17, 149. https://doi.org/10.3390/idr17060149
Sousa LRM, Silva PTCd, Rodrigues AA, Silva MJdS, Paz JCVJd, Oliveira BdS, Rocha DdM, Wiklander M, Gir E, Karina Reis R. Factors Associated with Condomless Anal Sex and Absence of Pre-Exposure Prophylaxis (PrEP) Use Among Brazilian Men Who Have Sex with Men: A Cross-Sectional Study. Infectious Disease Reports. 2025; 17(6):149. https://doi.org/10.3390/idr17060149
Chicago/Turabian StyleSousa, Laelson Rochelle Milanês, Patrícia Thais Cardoso da Silva, Allan Araujo Rodrigues, Márcio José dos Santos Silva, José Carlos Vinícius Jansen de Paz, Breno da Silva Oliveira, Daniel de Macêdo Rocha, Maria Wiklander, Elucir Gir, and Renata Karina Reis. 2025. "Factors Associated with Condomless Anal Sex and Absence of Pre-Exposure Prophylaxis (PrEP) Use Among Brazilian Men Who Have Sex with Men: A Cross-Sectional Study" Infectious Disease Reports 17, no. 6: 149. https://doi.org/10.3390/idr17060149
APA StyleSousa, L. R. M., Silva, P. T. C. d., Rodrigues, A. A., Silva, M. J. d. S., Paz, J. C. V. J. d., Oliveira, B. d. S., Rocha, D. d. M., Wiklander, M., Gir, E., & Karina Reis, R. (2025). Factors Associated with Condomless Anal Sex and Absence of Pre-Exposure Prophylaxis (PrEP) Use Among Brazilian Men Who Have Sex with Men: A Cross-Sectional Study. Infectious Disease Reports, 17(6), 149. https://doi.org/10.3390/idr17060149

