Obstacle Avoidance for Vehicle Platoons in I-VICS: A Safety-Centric Approach Using an Improved Potential Field Method
Abstract
1. Introduction
1.1. Leader-Following Method
1.2. Virtual Structure Method
1.3. Behavior-Based Method
1.4. Graph Theory Method
1.5. Artificial Potential Field Method
1.6. Contributions
1.7. Organization of This Paper
2. Materials and Methods
2.1. Vehicle Motion Model
2.2. Introduction to Artificial Potential Field Method
2.3. Collision Avoidance Algorithm for Vehicles Within a Platoon
2.3.1. Artificial Potential Field Among Vehicles
2.3.2. Consistency Control of Vehicle Platoon
2.4. Design of Platoon Obstacle Avoidance Algorithm Based on Rotating Potential Field Method
2.4.1. Obstacle Avoidance for Single Vehicle in Platoon
2.4.2. Overall Evasive Control Strategy for Platoon Coordination
2.4.3. Trajectory Tracking Control Strategy
2.4.4. Vehicle Trajectory Stability Assessment Method
| Algorithm 1: Rotating Potential Field Platoon Control |
| Input: Vehicle states , obstacle parameters , desired spacing Output: Control commands for each vehicle 1: for each vehicle do 2: // Inter-vehicle collision avoidance 3: Compute virtual force from Equation (7) for all neighbors 4: // Consistency control 5: Update velocity consensus using Equation (10) 6: Update heading consensus using Equation (11) 7: // Obstacle avoidance decision 8: if condition in Equation (24) is satisfied then 9: Calculate rotation vector R using Equation (17) 10: Adjust velocity using Equation (18) 11: end if 12: // Path tracking 13: Compute lateral deviation e using Equation (25) 14: Calculate virtual spring force and damping using Equation (27) 15: Compute lateral acceleration using Equation (28) 16: Compute longitudinal acceleration using Equation (29) 17: // Apply constraints from Equation (4) 18: return constrained 19: end for |
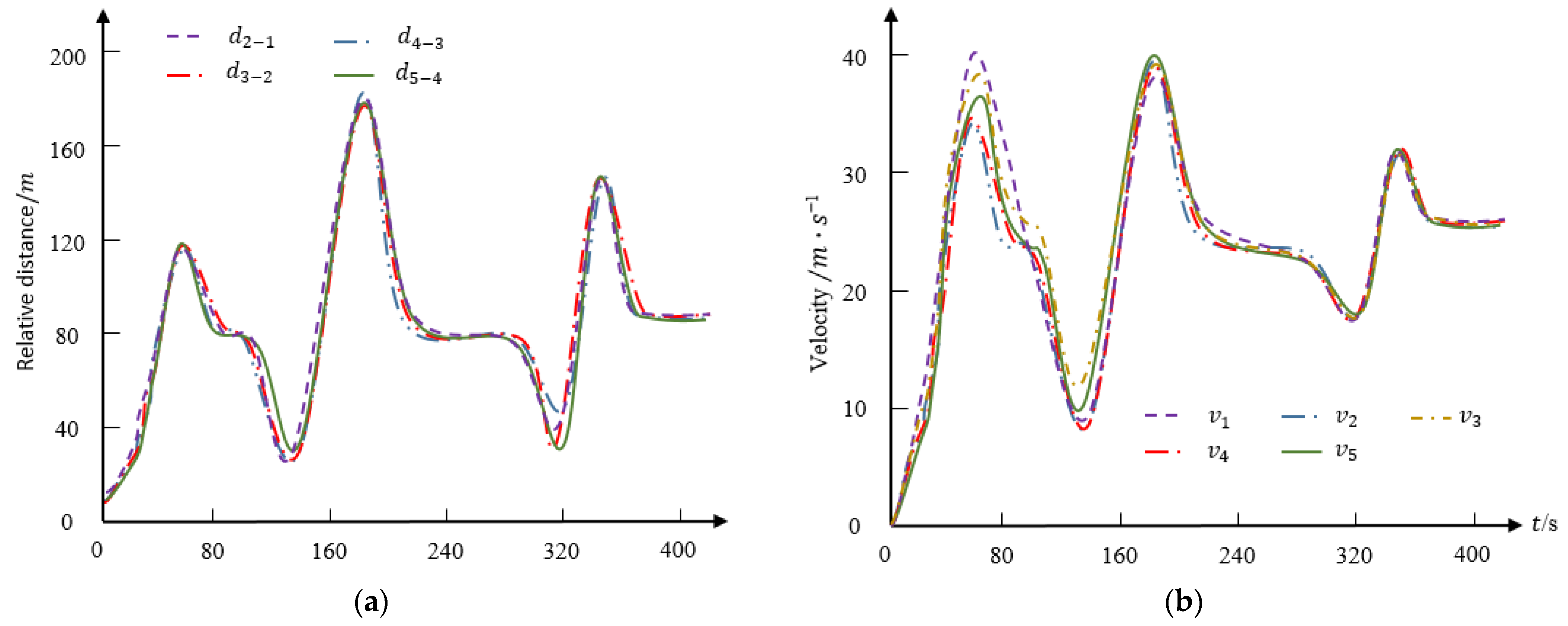
3. Results
4. Discussion and Practical Implementation Considerations
5. Conclusions
Author Contributions
Funding
Data Availability Statement
Conflicts of Interest
References
- Li, P.S.; Xiao, Z.R.; Gao, H.H.; Wang, X.H.; Wang, Y. Reinforcement Learning Based Edge-End Collaboration for Multi-Task Scheduling in 6G Enabled Intelligent Autonomous Transport Systems. IEEE Trans. Intell. Transp. Syst. 2025, 26, 17624–17637. [Google Scholar] [CrossRef]
- Lu, S.K.; Wang, H.; Chen, L.; Cai, Y.F. A Multi-Agent Federated Reinforcement Learning-Based Cooperative Vehicle-Infrastructure Control Approach Framework for Roundabouts. IEEE Trans. Intell. Transp. Syst. 2025, 26, 13688–13703. [Google Scholar] [CrossRef]
- Wang, Y.J.; Cao, T.; Wang, X.Y.; Yang, S.H. Platoon tracking control for nonholonomic mobile robots with predefined time convergence. Trans. Inst. Meas. Control 2025. Early Access. [Google Scholar] [CrossRef]
- Jiao, D.X.; Lu, W.F.; Zhang, Y.Q.; Zou, A.M. Robust Finite-Time Platoon Tracking Control of Multiple Nonholonomic Mobile Robots With Constraints on Velocities and Control Torques. IEEE Internet Things J. 2025, 12, 6831–6843. [Google Scholar] [CrossRef]
- Sakurama, K.; Peng, C.L.; Asai, R.; Sakata, H.; Yamazumi, M. Platoon Control of Nonholonomic Multirobot Systems Over Robot Coordinate Frames and Its Application to LiDAR-Based Robots. IEEE Trans. Control Syst. Technol. 2024, 32, 2075–2089. [Google Scholar] [CrossRef]
- Fan, J.J.; Yan, P.X.; Li, R.; Liu, Y.; Wang, F.L.; Liu, Y.Z.; Chen, C. Decoupled Adaptive Motion Control for Unmanned Tracked Vehicles in the Leader-Following Task. World Electr. Veh. J. 2024, 15, 239. [Google Scholar] [CrossRef]
- Wang, Z.M.; Wang, W.; Xu, J.J.; Zhang, H.S. Leader-Following Consensus for Discrete-Time Multiagent Systems With Nonidentical Channel Fading. IEEE Trans. Autom. Control 2025, 70, 542–548. [Google Scholar] [CrossRef]
- Dang, H.T.; Guo, S.J.; Xi, J.X.; Wang, F.; Wang, C.; Zheng, Y.S. Platoon tracking theory and experiment for leader-following quadrotor swarm under optical motion capture localization system. Robot. Auton. Syst. 2025, 186, 104918. [Google Scholar] [CrossRef]
- Wang, J.; Hu, Z.; Zhang, H. Multiple-AUV platoon control with a collision avoidance algorithm based on a virtual structure and an improved artificial potential field method. Meas. Sci. Technol. 2025, 36, 116203. [Google Scholar] [CrossRef]
- Bacheti, V.P.; Brandao, A.S.; Castillo, P.; Lozano, R.; Sarcinelli, M. Multiple platoons control using distinct virtual structures. In Proceedings of the 2024 International Conference on Unmanned Aircraft Systems (ICUAS), Chania, Greece, 4–7 June 2024; pp. 740–747. [Google Scholar] [CrossRef]
- Sheng, L.Y.; Ye, H.; Meng, Y.Z.; Song, C.Z. An adaptive output feedback platoon control algorithm for multiple unmanned surface vehicles based on virtual structure and line-of-sight guidance. Eng. Appl. Artif. Intell. 2025, 157, 111213. [Google Scholar] [CrossRef]
- Shao, Y.; Zhang, Y.; Zhang, Y.; Shi, X.; Shiwakoti, N.; Ye, Z. A Virtual Vehicle–Based Car-Following Model to Reproduce Hazmat Truck Drivers’ Differential Behaviors. J. Adv. Transp. 2024, 2024, 5041012. [Google Scholar] [CrossRef]
- Zhang, Z.Y.; Xie, S.Z.; Dong, J.W. Optimal Policy Learning for Distributed Platoon Control of Behavior-based UAVs. In Proceedings of the 2024 7th International Conference on Robotics, Control and Automation Engineering (RCAE), Guangzhou, China, 8–10 November 2024; pp. 230–234. [Google Scholar] [CrossRef]
- Peccoud, S.; Xing, S.; Yang, T.Y.; Stansbury, R.S. Behavior-Based Communication-Aware Platoon Control in Dynamic Multi-Agent Systems for Jamming Detection and Avoidance. In Proceedings of the IEEE SoutheastCon 2024, Atlanta, GA, USA, 15–24 March 2024; pp. 552–558. [Google Scholar] [CrossRef]
- Zhang, Z.Y.; Dai, J.H.; Li, D.F.; Liu, G.H.; Xu, X.; Wu, E.Q. Cooperative Behavior-Based Reinforcement Learning Control With Vehicles. IEEE Trans. Ind. Electron. 2025. Early Access. [Google Scholar] [CrossRef]
- Qu, X.; Li, L.; Yi, Z.; Mao, P.; Yang, M. Traffic Flow Modeling of Freeway Variable Speed Limit Control Based on the Big Data of Driving Behavior. J. Adv. Transp. 2020, 2020, 8859494. [Google Scholar] [CrossRef]
- Zhao, G.L.; Luo, L.; Hua, C.C. Adaptive Dynamic Platoon Control of Robotic Vehicle Systems Based on Rigid Graph Theory. Int. J. Control Autom. Syst. 2024, 22, 1624–1635. [Google Scholar] [CrossRef]
- Sahebsara, F.; de Queiroz, M. On the stability of distance-based platoon control with minimally globally rigid graphs. Syst. Control Lett. 2024, 185, 105726. [Google Scholar] [CrossRef]
- Wang, C.Y.; Sun, Y.F.; Ma, X.P.; Chen, Q.; Gao, Q.; Liu, X.N. Multi-agent dynamic platoon interception control based on rigid graph. Complex Intell. Syst. 2024, 10, 5585–5598. [Google Scholar] [CrossRef]
- Khatib, O. Real-Time Obstacle Avoidance System for Manipulators and Mobile Robots. Int. J. Robot. Res. 1986, 5, 90–98. [Google Scholar] [CrossRef]
- Chang, X.F.; Jiao, J.Y.; Li, Y.N.; Hong, B. Multi-consensus platoon control by artificial potential field based on velocity threshold. Front. Neurosci. 2024, 18, 1367248. [Google Scholar] [CrossRef]
- Liu, Y.P.; Chen, C.; Wang, Y.; Zhang, T.T.; Gong, Y.G. A fast platoon obstacle avoidance algorithm for clustered UAVs based on artificial potential field. Aerosp. Sci. Technol. 2024, 147, 108974. [Google Scholar] [CrossRef]
- Wang, Y.M.; Zhong, Y.L.; Zhang, Y.H.; Shi, Y.H.; Chen, H.R. Unmanned aerial vehicle platoon control method based on improved artificial potential field and consensus. IET Control Theory Appl. 2024, 18, 2555–2567. [Google Scholar] [CrossRef]
- Ma, B.; Ji, Y.; Fang, L.Y. A Multi-UAV Platoon Obstacle Avoidance Method Combined with Improved Simulated Annealing and an Adaptive Artificial Potential Field. Drones 2025, 9, 390. [Google Scholar] [CrossRef]
- Tang, C.; Xia, J.; Wang, W.; Shang, H.; Ji, W.; Bao, Q.; Yang, D. A Dynamic Window Model Prediction of Artificial Potential Field Method for Improving the Coincidence of Actual and Predicted Trajectory of Under Actuated Planing Craft. Ocean Eng. 2024, 313, 119351. [Google Scholar] [CrossRef]
- Jensen, E.; Luster, M.; Pitts, B.; Sankaranarayanan, S. Using Artificial Potential Fields to Model Driver Situational Awareness. IFAC-PapersOnLine 2022, 55, 148–153. [Google Scholar] [CrossRef]
- Viadero-Monasterio, F.; Meléndez-Useros, M.; Zhang, N.; Zhang, H.; Boada, B.L.; Boada, M.J.L. Motion Planning and Robust Output-Feedback Trajectory Tracking Control for Multiple Intelligent and Connected Vehicles in Unsignalized Intersections. IEEE Trans. Veh. Technol. 2025. Early Access. [Google Scholar] [CrossRef]
- Viadero-Monasterio, F.; Meléndez-Useros, M.; Jiménez-Salas, M.; Boada, B.L. Robust Adaptive Control of Heterogeneous Vehicle Platoons in the Presence of Network Disconnections With a Novel String Stability Guarantee. IEEE Trans. Intell. Veh. 2025. Early Access. [Google Scholar] [CrossRef]
- Li, A.X.; Su, M.; Jiang, H.B.; Chen, Y.X.; Chen, W.T. A Two-Dimensional Lane-Changing Dynamics Model Based on Force. IEEE Trans. Intell. Transp. Syst. 2024, 25, 20203–20214. [Google Scholar] [CrossRef]
- Malekzadeh, M.; Troullinos, D.; Papamichail, I.; Papageorgiou, M.; Bogenberger, K. Internal Boundary Control in Lane-Free Automated Vehicle Traffic: Comparison of Approaches via Microscopic Simulation. Transp. Res. Part C Emerg. Technol. 2024, 158, 104456. [Google Scholar] [CrossRef]
- Kozlov, E.; Muslimov, T. Artificial Potential Field Method for Path and Trajectory Planning of Unmanned Aerial Vehicles: A Review. Unmanned Syst. 2025. Early Access. [Google Scholar] [CrossRef]
- Narayanan, V.L.; Gupta, A.; Dhaked, D.K.; Tewary, M.; Mondal, S.K.; Gopal, R.; Sarma, P. A systematic review on recent trends in path planning techniques for autonomous underwater vehicles. Int. J. Intell. Robot. Appl. 2025, 9, 936–976. [Google Scholar] [CrossRef]
- He, R.; Xie, Y.K. Research on the Synchronization Control Strategy of Regenerative Braking of Distributed Drive Electric Vehicles. World Electr. Veh. J. 2024, 15, 512. [Google Scholar] [CrossRef]










| Tests | Groups | Control Strategy |
|---|---|---|
| Single-vehicle test | 1-1 | Basic APF |
| 1-2 | RPF + Path Tracking | |
| Platoon test | 2-1 | Vehicle collision avoidance algorithm |
| 2-2 | Vehicle collision avoidance algorithm + consistent control strategy | |
| 2-3 | Vehicle collision avoidance algorithm + consistent control strategy + multi-machine collaborative overall avoidance strategy |
| Vehicle | Location/m | Target/m | Velocity/(m/s) | Direction/(°) |
|---|---|---|---|---|
| U1 | (10,10) | (10,000,10,000) | 30 | 45 |
| Obstacles | Location/m | /m | /m |
|---|---|---|---|
| O1 | (3000,2999) | 3 | 2 |
| O2 | (7000,7002) | 2 | 3 |
| Dataset | Mean VTS | Std. Dev. | Min | Max | p-Value (vs. Real) |
|---|---|---|---|---|---|
| Real Trajectories (n = 14) | 0.40 | 0.15 | 0.13 | 0.69 | - |
| Simulated (Strategy 1-1) | 0.47 | 0.00 | 0.47 | 0.47 | <0.05 |
| Vehicles | Location/m | Target/m | Velocity/(m/s) | Distance from the Car Ahead/m |
|---|---|---|---|---|
| U1 | (50,50) | 30 | 45 | / |
| U2 | (150,150) | 30 | 45 | 10 |
| U3 | (250,250) | 30 | 45 | 10 |
| U4 | (350,350) | 30 | 45 | 10 |
| U5 | (450,450) | 30 | 45 | 10 |
| Obstacles | Location/m | /m | |
|---|---|---|---|
| O1 | (3000,2999) | 3 | 2 |
| O2 | (7000,7002) | 2 | 3 |
Disclaimer/Publisher’s Note: The statements, opinions and data contained in all publications are solely those of the individual author(s) and contributor(s) and not of MDPI and/or the editor(s). MDPI and/or the editor(s) disclaim responsibility for any injury to people or property resulting from any ideas, methods, instructions or products referred to in the content. |
© 2025 by the authors. Published by MDPI on behalf of the World Electric Vehicle Association. Licensee MDPI, Basel, Switzerland. This article is an open access article distributed under the terms and conditions of the Creative Commons Attribution (CC BY) license.
Share and Cite
Du, C.; Liu, J.; Zhao, Y.; Zhao, J. Obstacle Avoidance for Vehicle Platoons in I-VICS: A Safety-Centric Approach Using an Improved Potential Field Method. World Electr. Veh. J. 2026, 17, 7. https://doi.org/10.3390/wevj17010007
Du C, Liu J, Zhao Y, Zhao J. Obstacle Avoidance for Vehicle Platoons in I-VICS: A Safety-Centric Approach Using an Improved Potential Field Method. World Electric Vehicle Journal. 2026; 17(1):7. https://doi.org/10.3390/wevj17010007
Chicago/Turabian StyleDu, Chigan, Jianbei Liu, Yang Zhao, and Jianyou Zhao. 2026. "Obstacle Avoidance for Vehicle Platoons in I-VICS: A Safety-Centric Approach Using an Improved Potential Field Method" World Electric Vehicle Journal 17, no. 1: 7. https://doi.org/10.3390/wevj17010007
APA StyleDu, C., Liu, J., Zhao, Y., & Zhao, J. (2026). Obstacle Avoidance for Vehicle Platoons in I-VICS: A Safety-Centric Approach Using an Improved Potential Field Method. World Electric Vehicle Journal, 17(1), 7. https://doi.org/10.3390/wevj17010007

