Trajectory Tracking and Stability Control of Distributed-Drive Heavy Trucks on High-Speed Curves with Large Curvature
Abstract
1. Introduction
2. Distributed Drive Heavy Truck Dynamics Model
2.1. Simplification of the Heavy-Duty Truck Dynamics Model
2.2. Heavy-Duty Truck Chassis Dynamics Model
2.3. Heavy-Duty Truck Wheel Motion Model
2.4. Heavy-Duty Truck Suspension Dynamics Model
2.5. Model of Tire Sideslip Angle and Slip Ratio for Heavy Trucks
2.6. Steering Model of Heavy Truck
2.7. In-Wheel Motor Model
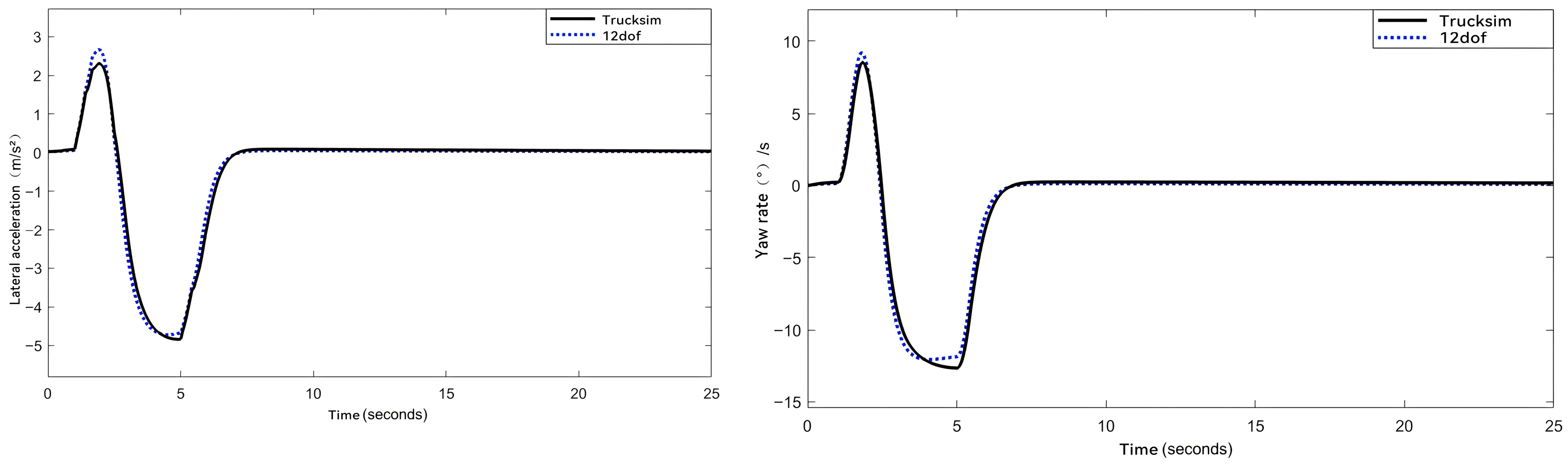
2.8. Model Validation
3. Design of the Controller
3.1. Upper-Layer Controller
3.2. Optimization Problem Solving
3.3. Lower-Level Controller
4. Simulation Analysis
4.1. S-Shaped Continuous Steering Maneuver
4.2. High-Curvature Lane-Change Condition
4.3. Single-Lane-Change Condition
5. Discussion
6. Conclusions
- (1)
- In terms of vehicle modeling, a comprehensive 12-degree-of-freedom full-vehicle dynamic model was developed in this study to describe the coupled longitudinal, lateral, yaw, and wheel rotational dynamics of the heavy truck. The model explicitly incorporates the effects of tire sideslip angles, slip ratios, and load transfer to more accurately capture real-world vehicle behavior. In addition, a multi-axle steering model based on Ackermann steering geometry, together with a tire force model considering load distribution, was established. These formulations provide a rigorous theoretical foundation for the precise design of the proposed control system.
- (2)
- With respect to the control strategy design, a hierarchical control architecture was established, in which the path-tracking and stability-control tasks were decoupled. In the upper control layer, the desired longitudinal velocity and yaw rate were generated in a closed-loop manner by means of an SMC approach integrated with a dual-PID mechanism. In the lower control layer, a DYC scheme was introduced, through which differential braking torques were distributed among the independently driven wheels to actively regulate the vehicle’s yaw response. By adopting this coordinated control structure, the robustness and coherence of the overall system were effectively enhanced under varying dynamic conditions.
- (3)
- In the aspect of simulation validation, three highly dynamic scenarios, namely S-shaped continuous steering, large-curvature lane changing, and single-lane-change maneuvers, were designed to comparatively evaluate the SMC and SMC + DYC strategies. It was observed that, under all tested conditions, the SMC + DYC scheme yielded superior trajectory-tracking performance, with the maximum lateral deviation being reduced by no less than 19.23%. Moreover, fluctuations in yaw rate and the peak values of the sideslip angle were effectively attenuated, indicating a marked improvement in the overall yaw stability of the vehicle. At the actuator level, a more coordinated distribution of driving and braking torques between the left and right wheels was achieved through the integration of DYC, which helped to alleviate sudden variations in tire load and driveline impact. As a result, energy consumption and speed-holding capability were improved without causing a noticeable reduction in vehicle velocity. In terms of robustness, the SMC controller was characterized by its inherent capability to accommodate modeling uncertainties and external disturbances. Meanwhile, the DYC mechanism, functioning as an auxiliary yaw-moment compensation layer, was found to enhance the system’s robustness when subjected to nonlinear trajectories, lateral slip, and high-dynamic cornering conditions, without introducing additional sensor requirements.
Author Contributions
Funding
Data Availability Statement
Conflicts of Interest
Abbreviations
| Abbreviations | Full form | |
| SMC | Sliding Mode Control | |
| DYC | Direct Yaw Moment Control | |
| PID | Proportional–Integral–Derivative | |
| LQR | Linear Quadratic Regulator | |
| MPC | Model Predictive Control | |
| FI-MPC | Fixed-Instant Model Predictive Control | |
| NMPC | Nonlinear Model Predictive Control | |
| AFS–DYC | Active Front Steering–Direct Yaw Moment Control | |
| 12-dof | 12-degree-of-freedom | |
| 2-dof | two-degree-of-freedom | |
| Variables | Meanings | Units |
| 0-xyz | The vehicle coordinate system | – |
| vx | Velocity of mass center on x-axis | km/h |
| vy | Velocity of mass center on y-axis | km/h |
| r | Spin velocity of heavy truck around z-axis | °/s |
| Fxi | Longitudinal ground force on i-th wheel | N |
| Fyi | The lateral ground force of the i-th wheel | N |
| B | The wheel track of the heavy truck | m |
| L1 | Distance between first and second axles | m |
| L2 | Distance from mass center to second axles | m |
| L3 | Distance from mass center to third axles | m |
| L4 | Distance between third and fourth axles | m |
| β | The sideslip angle of the center of mass | ° |
| h | The vertical height of the center of mass | m |
| ∂ | The road slope | ° |
| m | The mass of the heavy truck | kg |
| f | The rolling resistance coefficient | – |
| Cd | The air-resistance coefficient | – |
| A | The frontal area | m2 |
| Iz | The moment of inertia about the z-axis | kg·m2 |
| δi | The steering angles of each wheel | ° |
| Fxwi | Longitudinal forces on i-th wheel | N |
| Fywi | The lateral forces acting on the i-th wheel | N |
| Ti | The driving torque | N·m |
| Tbi | The braking torque | N·m |
| Tdi | The reaction torque | N·m |
| Tfi | The rolling resistance torque | N·m |
| ig | The transmission ratio | – |
| Iw | The moment of inertia of the wheel | kg·m2 |
| wi | The angular velocity of the wheel | rad/s |
| F1zwi | Static suspension force on each axle | N |
| ms | The sprung mass of the vehicle | kg |
| Ki | The suspension stiffness of each axle | N/m |
| qi | Static deformation of every axle | m |
| Fzvi | The static vertical load on each wheel | N |
| ai | The sideslip angle | ° |
| Si | The slip ratio | – |
| rw | The tire radius | m |
| μ | The road surface adhesion coefficient | – |
| v | The vehicle speed | km/h |
| The aerodynamic coefficient | – | |
| The yaw moment | N·m | |
| kp, kI, kD | The parameters of the PID controller | – |
| vxd | The desired longitudinal velocity | km/h |
| rd | The desired yaw rate | km/h |
| The yaw angle | ° | |
| Gwz | The steady-state gain of yaw rate | – |
| Gβ | Steady-state gain of mass-center sideslip | – |
| F1l, F2l, F3l, F4l | The braking force on the left-side wheels | N |
| T1l, T2l, T3l, T4l | Braking moment of left wheels | N·m |
| F1r, F2r, F3r, F4r | The braking force on the right-side wheels | N |
| T1r, T2r, T3r, T4r | Braking moment of right wheels | N·m |
References
- Artuñedo, A.; Moreno-Gonzalez, M.; Villagra, J. Lateral control for autonomous vehicles: A comparative evaluation. Annu. Rev. Control 2024, 57, 100910. [Google Scholar] [CrossRef]
- Xu, S.; Peng, H.; Tang, Y. Preview path tracking control with delay compensation for autonomous vehicles. IEEE Trans. Intell. Transp. Syst. 2020, 22, 2979–2989. [Google Scholar] [CrossRef]
- Zhang, X.; Zhu, X. Autonomous path tracking control of intelligent electric vehicles based on lane detection and optimal preview method. Expert Syst. Appl. 2019, 121, 38–48. [Google Scholar] [CrossRef]
- Wu, Y.; Wang, L.; Zhang, J.; Li, F. Path following control of autonomous ground vehicle based on nonsingular terminal sliding mode and active disturbance rejection control. IEEE Trans. Veh. Technol. 2019, 68, 6379–6390. [Google Scholar] [CrossRef]
- Chen, Z.; Pan, S.; Yu, K.; Tang, X.; Gao, W.; Zhou, Z. Dynamic Event-Triggered and Fast Natural Logarithmic Sliding Mode Path Tracking Control for Autonomous Ground Vehicles with the Experiment Validation. IEEE Trans. Veh. Technol. 2025, 74, 362–377. [Google Scholar] [CrossRef]
- Li, W.; Yu, S.; Lin, B.; Chen, H. Nonlinear model predictive control of trajectory tracking for autonomous trucks with terminal ingredients. Nonlinear Dyn. 2025, 113, 21383–21402. [Google Scholar] [CrossRef]
- Chu, D.; Li, H.; Zhao, C.; Zhou, T. Trajectory tracking of autonomous vehicle based on model predictive control with PID feedback. IEEE Trans. Intell. Transp. Syst. 2022, 24, 2239–2250. [Google Scholar] [CrossRef]
- Zhang, J.; Liu, C.; Zhao, J.; Liu, H. Research on Stability Control of Distributed Drive Vehicle with Four-Wheel Steering. World Electr. Veh. J. 2024, 15, 228. [Google Scholar] [CrossRef]
- Liu, H.; Sun, J.; Cheng, K.W.E. A two-layer model predictive path-tracking control with curvature adaptive method for high-speed autonomous driving. IEEE Access 2023, 11, 89228–89239. [Google Scholar] [CrossRef]
- Zhu, S.; Lu, J.; Zhu, L.; Chen, H.; Gao, J.; Xie, W. Coordinated Control of Differential Drive-Assist Steering and Direct Yaw Moment Control for Distributed-Drive Electric Vehicles. Electronics 2024, 13, 3711. [Google Scholar] [CrossRef]
- Lee, J.; Hwang, Y.; Choi, S.B. Robust tube-MPC based steering and braking control for path tracking at high-speed driving. IEEE Trans. Veh. Technol. 2023, 72, 15301–15316. [Google Scholar] [CrossRef]
- Li, C.; Jiang, H.; Yang, X.; Wei, Q. Path Tracking Control Strategy Based on Adaptive MPC for Intelligent Vehicles. Appl. Sci. 2025, 15, 5464. [Google Scholar] [CrossRef]
- Nan, J.; Shang, B.; Deng, W.; Ren, B.; Liu, Y. MPC-based path tracking control with forward compensation for autonomous driving. IFAC-PapersOnLine 2021, 54, 443–448. [Google Scholar] [CrossRef]
- Yu, Z.; Zhao, R.; Yuan, T. Lateral-Stability-Oriented Path-Tracking Control Design for Four-Wheel Independent Drive Autonomous Vehicles with Tire Dynamic Characteristics under Extreme Conditions. World Electr. Veh. J. 2024, 15, 465. [Google Scholar] [CrossRef]
- Meng, D.; Chu, H.; Tian, M.; Gao, B.; Chen, H. Real-time high-precision nonlinear tracking control of autonomous vehicles using fast iterative model predictive control. IEEE Trans. Intell. Veh. 2024, 9, 3644–3657. [Google Scholar] [CrossRef]
- Lee, J.; Choi, S. Nonlinear model predictive control for path tracking in high-speed corner entry situations. Int. J. Automot. Technol. 2022, 23, 1373–1381. [Google Scholar] [CrossRef]
- Teng, F.; Wang, J.; Jin, L.; Wang, Z.; Zhou, Z.; Liu, Z. Cooperative control strategy of trajectory tracking and driving stability for distributed-drive vehicle-s under extreme conditions. Control Eng. Pract. 2024, 147, 105905. [Google Scholar] [CrossRef]
- Zhang, L.; Zhang, Y.; Qi, B.; Zhang, X.; Zhao, M. Lateral stability control for distributed drive autonomous vehicle with extreme path tracking. Proc. Inst. Mech. Eng. Part D J. Automob. Eng. 2024, 239, 6288–6301. [Google Scholar] [CrossRef]
- Guan, L.; Liao, P.; Wang, A.; Shi, L.; Zhang, C.; Wu, X. Path tracking control of intelligent vehicles via a speed-adaptive MPC for a curved lane with varying curvature. Proc. Inst. Mech. Eng. Part D J. Automob. Eng. 2024, 238, 802–824. [Google Scholar] [CrossRef]
- Chen, S.-P.; Xiong, G.-M.; Chen, H.-Y.; Negrut, D. MPC-based path tracking with PID speed control for high-speed autonomous vehicles considering time-optimal travel. J. Cent. South Univ. 2020, 27, 3702–3720. [Google Scholar] [CrossRef]
- Liang, Y.; Li, Y.; Zheng, L.; Yu, Y.; Ren, Y. Yaw rate tracking-based path-following control for four-wheel independent driving and four-wheel independent steering autonomous vehicles considering the coordination with dynamics stability. Proc. Inst. Mech. Eng. Part D J. Automob. Eng. 2021, 235, 260–272. [Google Scholar] [CrossRef]
- Zhao, Y.; Chen, S.; Shim, T. Investigation of trailer yaw motion control using active front steer and differential brake. SAE Int. J. Mater. Manuf. 2011, 4, 1057–1067. [Google Scholar] [CrossRef]
















| Parameters | Values |
|---|---|
| Total vehicle mass (m) | 12,200 (kg) |
| Sprung mass (ms) | 10,000 (kg) |
| Yaw moment of inertia around the z-axis (Iz) | 60,000 (kg·m2) |
| Track width (B) | 1.863 (m) |
| Distance from the centroid to the first axle (L1) | 1.3 (m) |
| Distance from the centroid to the second axle (L2) | 0.5 (m) |
| Distance from the centroid to the third axle (L3) | 0.85(m) |
| Distance from the centroid to the fourth axle (L4) | 1.35 (m) |
| Tire radius (Rw) | 0.51 (m) |
| The height of the vehicle’s centroid (h) | 1.2 (m) |
| Maximum Lateral Deviation | Maximum Heading Angle Error | Maximum Sideslip Angle at the Center of Mass | Maximum Yaw Rate | |
|---|---|---|---|---|
| SMC | 0.13 m | 7° | 7° | 12.6°/s |
| SMC + DYC | 0.105 m | 5.8° | 6° | 4.6°/s |
| Decline Rate | 19.23% | 17.14% | 14.29% | 63.49% |
| Maximum Lateral Deviation | Maximum Heading Angle Error | Maximum Sideslip Angle at the Center of Mass | Maximum Yaw Rate | |
|---|---|---|---|---|
| SMC | 0.126 m | 5.2° | 4.6° | 18°/s |
| SMC + DYC | 0.097 m | 3.5° | 3.8° | 15.5°/s |
| Decline Rate | 23.02% | 32.69% | 17.39% | 13.89% |
| Maximum Lateral Deviation | Maximum Heading Angle Error | Maximum Sideslip Angle at the Center of Mass | Maximum Yaw Rate | |
|---|---|---|---|---|
| SMC | 0.097 m | 5.3° | 5.8° | 12.5°/s |
| SMC + DYC | 0.076 m | 3.5° | 4.8° | 10°/s |
| Decline Rate | 21.65% | 33.96% | 17.24% | 20% |
Disclaimer/Publisher’s Note: The statements, opinions and data contained in all publications are solely those of the individual author(s) and contributor(s) and not of MDPI and/or the editor(s). MDPI and/or the editor(s) disclaim responsibility for any injury to people or property resulting from any ideas, methods, instructions or products referred to in the content. |
© 2025 by the authors. Published by MDPI on behalf of the World Electric Vehicle Association. Licensee MDPI, Basel, Switzerland. This article is an open access article distributed under the terms and conditions of the Creative Commons Attribution (CC BY) license.
Share and Cite
Li, Z.; Li, Z.; Wu, H.; Liu, Z. Trajectory Tracking and Stability Control of Distributed-Drive Heavy Trucks on High-Speed Curves with Large Curvature. World Electr. Veh. J. 2026, 17, 10. https://doi.org/10.3390/wevj17010010
Li Z, Li Z, Wu H, Liu Z. Trajectory Tracking and Stability Control of Distributed-Drive Heavy Trucks on High-Speed Curves with Large Curvature. World Electric Vehicle Journal. 2026; 17(1):10. https://doi.org/10.3390/wevj17010010
Chicago/Turabian StyleLi, Zhi, Zhouquan Li, Huawei Wu, and Zhen Liu. 2026. "Trajectory Tracking and Stability Control of Distributed-Drive Heavy Trucks on High-Speed Curves with Large Curvature" World Electric Vehicle Journal 17, no. 1: 10. https://doi.org/10.3390/wevj17010010
APA StyleLi, Z., Li, Z., Wu, H., & Liu, Z. (2026). Trajectory Tracking and Stability Control of Distributed-Drive Heavy Trucks on High-Speed Curves with Large Curvature. World Electric Vehicle Journal, 17(1), 10. https://doi.org/10.3390/wevj17010010
