Abstract
An efficient Battery Management System (BMS) specifically for Electric Vehicles is crucial for improving battery run time performance. A primary function of an effective BMS is accurately determining the State of Charge (SOC) and State of Health (SOH) of lithium-ion batteries in Electric Vehicles (EVs). However, many existing studies have concentrated on examining sensor malfunctions in batteries to avert problems such as overcharging and overheating and are lacking in terms of effective handling of non-linear behaviors. To overcome these limitations, the proposed work introduces a hybrid approach for estimating the state of lithium-ion batteries. It employs an Extended Kalman Filter (EKF) for SOC estimation and modified Multi-Layer Perceptron (MLP) for SOH estimation in batteries. It can handle the non-linear characteristics often exhibited by sensor readings and fault behaviors. The EKF algorithm involves initialization, prediction, and correction phases, allowing for accurate state estimation based on measurements. For SOH estimation, the NASA battery dataset, which includes various battery conditions across different temperatures, is analyzed using a modified MLP regression process. This modified MLP employs a gradient shift bias adjustment technique to minimize error rates by refining the gradients and biases introduced during the training process. It also effectively adjusts the model’s weights for better SOH estimation. The results demonstrate improved accuracy in battery performance, as indicated by lower RMSE, MSE, MAE and R2 values. Furthermore, the study highlights the effectiveness of this hybrid method for significant battery management at different temperatures, which emphasizes the potential of this model, with enhanced state estimation for EV applications.
1. Introduction
Electric Vehicles (EVs) are a promising solution to address public health [1,2,3] and environmental sustainability concerns by reducing toxic emissions [4] and promoting emission-free electricity generation [5]. By leveraging sustainable batteries with lifecycle assessments and recycling batteries to minimize environmental impacts, EVs can effectively mitigate hazards and contribute to a cleaner, healthier environment [6,7]. Out of all batteries, Lithium-ion batteries have emerged as the preferred choice in the EV market [8,9,10] due to their extended life cycles, high voltage, low self-discharge rates, energy density, and high-power capabilities [11,12]. These batteries are susceptible to temperature variations and aging, necessitating specific attention to prevent thermal runaways and physical damage in operational environments. Each EV operation mandates the presence of a BMS to oversee battery parameters like voltage, temperature, and current; monitor charge status, health, and energy levels; balance cell voltages; detect faults; and regulate temperature [13].
Thus, an effective BMS primarily focuses on fault management, prognosis, and diagnosis [14,15]. The lithium-ion battery system comprises numerous interconnected individual cells, arranged in series or parallel configurations, to deliver efficient energy and power to meet dynamic requirements [16]. Therefore, it is essential to control and monitor the battery system to ensure reliable and safe operation, as any critical failures, such as hardware faults, algorithm deficiencies, or sensor faults, can arise [14]. Typically, battery defaults often stem from voltage or temperature measurements [17].
In addition, sensor faults can lead to inaccurate measurements of critical parameters like SOC or SOH, impacting the overall reliability and performance of the battery system [18,19]. Detecting and isolating sensor faults ensures accurate data for optimal system operation. Moreover, sensor faults can lead to inaccurate and unreliable data, which can negatively impact optimization and control strategies [20]. This can aid in suboptimal system performance, reduced efficacy, and even system failure. Typically, sensor faults, encompassing temperature, voltage, and current sensors, can arise from various physical factors like vibration, collision, electrolyte leakage, loose battery terminals, or corrosion around the battery sensor. These faults have the potential to expedite battery degradation, impede the accurate functioning of the BMS by leading to unsuitable state estimation, and trigger additional internal battery issues [21].
Accordingly, different methods are used for identifying fault detection in BMS, which includes multi-meter testing, calibration, visual inspection, and other techniques [22]. However, these techniques can reflect a higher possibility of inaccuracies in sensor fault analysis. Thus, advanced approaches have been opted for by various existing works to ensure the safety of the battery by assessing the faults exhibited by sensors. Hence, EKF and column counting approaches have been used for estimating the SOC of fault cells by regulating the gain matrix depending on the real time measured voltage [23]. The analytical outcome has been replicated for swiftly detecting faults but requires additional computational costs, which is common with on-board applications in EVs. Similarly, the Unscented Kalman Filter (UKF) [24] has been adopted for the computation of hybrid system states and employed for estimating both discrete and continuous states which output the diagnosis outcome. From the experiment, it was identified that this study only has effective state tracking capabilities and can accomplish a diagnosis for Li-ion battery sensor fault systems.
Correspondingly, current sensor fault diagnosis is extremely important for lithium-ion batteries. To detect a battery’s lifespan, a Particle Swarm Optimization (PSO) algorithm has been used to fix the voltage window, thereby making a model that is efficient for battery management [25]. Similarly, to detect the fault in sensors, the existing paper employs a PSO algorithm with measurable initial system states. Further, the Monte Carlo simulation generates a precise fault in current sensors. From the experimental outcome, it was revealed that the effectiveness of the model was assessed using Moving Average Regression (MAR) and Forecasting Autoregressive (FAR) models [26]. Likely, the Exponential Decay-PSO (ED-PSO) algorithm was implemented to reflect the dynamic behavior of the voltage and the battery capacity. The model’s outcome delivered better performance and high accuracy [27]. Another study has focused on estimating better SOC and internal resistance, which results in extended battery life and prevents disaster to avoid battery failure. Likewise, a data-driven approach is employed to accurately estimate the SOC of lithium-ion batteries using a Recurrent Neural Network (RNN) with a Long Short-Term Memory (LSTM) component. This LSTM-RNN model can precisely calculate SOC without relying on battery models or filters, leveraging its ability to learn from diverse training conditions. By training the model on datasets recorded at various ambient temperatures, a single network is developed that can effectively estimate the SOC across various ambient temperature circumstances [28]. Similarly, the SOC for Li-ion batteries was analyzed in one study using a Support Vector Machine (SVM) and UKF for fault detection. The UKF method used in the study obviated the noise level by reducing the estimation error, and faults were precisely diagnosed using ML with less false alarms and better accuracy [29].
An ML-based XGBoost model with a Kalman filter has been used for analyzing battery operating data [30]. Further, the XGBoost model maps the connection between the retrieved and assisted data in the estimation of RUL. The experimental outcome reflects that a beneficial prediction was made by the model. Consequently, existing research has implemented the two-stage method to improvise the stability of SOC estimation by combining an eXogenous Kalman Filter (XKF) and a second-order RC equivalent circuit model [31]. Better performance was attained in terms of the SOC. Likewise, the research has demonstrated an equivalent circuit model (ECM) based on Kalman filtering [32]. Using 2-RC (Second-Order—RC), the parameters of a lithium-ion battery were identified. Along with the recommended research, UKF and EKF were used. The model attained average performance. Similarly, the suggested research demonstrated a Back Propagation Neural Network (BPNN) and Dual Extended Kalman Filtering (DEKF) algorithm to evaluate suitable lithium batteries [33].
Correspondingly, the prevailing research implemented a cloud monitoring system for detecting faults and abnormal activities in battery packs of EVs [34]. Abnormal cells were located and detected by z-score methods and the k-means clustering algorithm. The model attained average performance. The existing research demonstrated that DEKF and EKF attain better performance in terms of the SOC based on the EECM [35]. The model attained average performance with a threshold level of SOC from 0.5 to 0.1. It has been investigated that EVs and KF are considered to be the heart of SOC estimation techniques. However, it is challenging to quantify the performance of algorithms for SOC estimation due to their non-uniformities in testing situations and tuning situations. Therefore, one study focused on using EKF for variable scenarios such as the addition of sensor noise and bias for terminal current and terminal voltage, as well as varying parameter and state initialization [36]. In addition, DEKF has also been employed for estimating sensor current and sensor voltage bias and has been compared with EKF for estimating the SOC. The analytical outcome showcases better outcomes by the model. A multi-time scale framework was adopted in another study, which primarily concentrated on the long-term forecasting of remaining useful lifetime and the calculation of short-term battery SOH [37].
Likewise, the SVM regression technique was used for establishing a battery degradation model which aided in estimating the capacity of batteries [38]. Then, the MAE and RMSE outputs were assessed, in which the MAE and RMSE values were restricted to 2%. A new Gaussian process regression model utilizing partial incremental capacity curves has been introduced [39]. The model incorporates a Gaussian filter to enhance the smoothness of the incremental capacity curves. Health indexes were derived from these curves as input data. Furthermore, the mean and covariance functions were utilized for predicting the SOH and model uncertainty, respectively. To validate the method’s robustness, four batteries from the NASA database were employed, demonstrating accurate and resilient SOH estimation capabilities. KF-based techniques have been extensively utilized and suggested in various studies to estimate states using statistical estimation theory. Initially, a state prediction model was employed for maintaining constancy over time. Subsequently, an error covariance estimation model was presented to accommodate deviations in system error conventions [40].
This study addresses limitations in Battery Management Systems (BMSs), such as inaccurate sensor readings and ineffective thermal management, by accurately monitoring voltage, current, and temperature to improve EV performance and safety. The proposed model uses an Extended Kalman Filter (EKF) to detect sensor deviations and manage non-linear battery models, handling noise and uncertainties. The NASA battery dataset is utilized to assess the State of Health (SOH) using a modified Multi-Layer Perceptron (MLP) regression process, which improves prediction accuracy and reduces RMSE. The model enhances SOC and SOH estimation, leading to better battery performance and longevity in BMSs.
- We aim to implement an Extended Kalman filter to estimate the state variables of non-linear behavior of a battery model and detect deviations indicative of sensor faults, thereby ensuring the reliability and integrity of BMSs.
- We aim to employ the modified MLP method to enhance the SOH prediction of a lithium battery, which is essential for effective BMSs.
- We aim to assess the efficacy of the proposed work using different performance metrics such as the RMSE, MAPE, MSE and R2.
2. Proposed Methodology
Sensing components are vital elements in a Battery Management System (BMS) as they are crucial for monitoring and managing various properties of a battery. To maximize battery life, ensure safe operation, and enhance Electric Vehicle performance, precise sensing of voltage, current, and temperature sensors is essential [41]. Current monitoring sensors are crucial for measuring the electric current entering or exiting the battery, aiding in state monitoring calculations over time and implementing protective measures. Voltage sensors are integral for overseeing individual cell voltage levels within a battery, ensuring safety and efficiency by maintaining proper voltage levels and enabling cell balancing procedures for uniform charge and discharge across all cells [42]. As these sensors play a significant role in BMS, it is important assess the faults present in these sensors as effectively as possible to ensure the safety and reliability of the battery system along with longevity of the battery. Hence, the proposed work, depicted in Figure 1, focuses on assessing sensor faults using EKF and estimates the SOC; then, the NASA battery dataset is used for identifying sensor faults with different operating temperatures for the SOH. Eventually, the modified MLP model is employed in battery health estimation due to its ability to analyze the relationship between input features (such as voltage, current, and temperature) and the output variable (SOH or SOC) in a systematic and quantitative manner.
Figure 1.
Proposed work flowchart.
2.1. Battery Model
To enhance the effectiveness of estimating the SOC of a battery, it is essential to establish an equivalent model that only ensures high accuracy however fully captures the battery dynamic characteristics. Estimation of SOC is needed in order to limit the complexity of the equivalent model. Thus, different equivalent models are incorporated, in which the Thevenin model is preferred over other models since the Thevenin model can promptly mirror the operational status of a Li-ion battery without undue delay in tracking the real voltage, ensuring accuracy in extended simulations.
Figure 2 depicts the structure of the Thevenin model, where the model comprise various parts which are connected in series, including the voltage source , Resistance , parallel structure of polarization resistance , and polarization capacitor . The resistive property of a Li-ion battery is represented by , which causes the terminal voltage of the model to exhibit sudden changes or abrupt variations. The capacitive characteristic of the battery is exhibited by the part of in parallel with the polarization capacitance, thereby making the terminal voltage of the technique alter progressively. Thus, as stated by Kirchhoff’s current and voltage law, the equation of the circuit for the Thevenin model is depicted Equation (1),
Figure 2.
Thevenin battery model.
Here, represents the open circuit voltage of the equivalent circuit, is defined as the current via , and is the terminal voltage of .
2.2. SOC Calculation Model
Lithium-ion batteries’ SOC is not directly measurable. Rather, its approximation is based on the operational conditions of the battery and the intrinsic properties of the battery itself. Thus, in order to designate the value of the SOC, is assumed, and the mathematical model is described in Equation (2):
where
- —SOC of lithium-ion battery at moment .
- —Rated capacity of the battery.
- —Current flowing via battery at moment .
The ampere-time integration approach is applied for calculating the difference in SOC, and the variables of this approach can be evaluated unswervingly in the practice of battery operating. The measurement accuracy of the battery’s internal changes is less affected and provides a reliable outcome over a short duration of time. However, the initial value of SOC is not directly calculated. To determine this initial value, model parameter identification experiments are typically conducted to establish a correlation between the battery’s OCV and its SOC. Then, the initial value of the SOC can be estimated by estimating the OCV of the battery. Thus, the method for estimating the SOC is presented in Equation (3):
Here, open circuit voltage is defined as and represents the initial value of the conforming SOC. Therefore, the discrete state space model of this estimation system with combined equations is given in Equations (4) and (5):
Here, is denoted as the quantity of perceived noise at moment , is defined as the process of noise at moment , and the discrete step size is denoted as .
2.3. Extended Kalman Filter (EKF) Algorithm
EKF is predominantly an extension of KF designed for handling non-linear systems. In BMSs, batteries typically exhibit non-linear behaviors due to different factors such as a change in internal resistance, the temperature effect, or varying load conditions. However, implementation of an EKF algorithm can estimate the state variables of a non-linear battery model more precisely than conventional KF. Thus, by integrating a non-linear battery model into the estimation process, improved state estimates can be obtained by EKF, which includes SOH and SOC. Therefore, the capability of EKF for handling non-linearities aids in enhancing the overall accuracy of the model for BMSs by reducing estimation errors. This improved accuracy is crucial for precise monitoring in BMS, and by discriminating the predicted sensor measurements with actual measurements, EKF can detect derivations indicative of sensor faults, helping to ensure the integrity and reliability of BMSs. Henceforth, EKF is recursive algorithm which estimates the state of dynamic systems depending on noisy measurements.
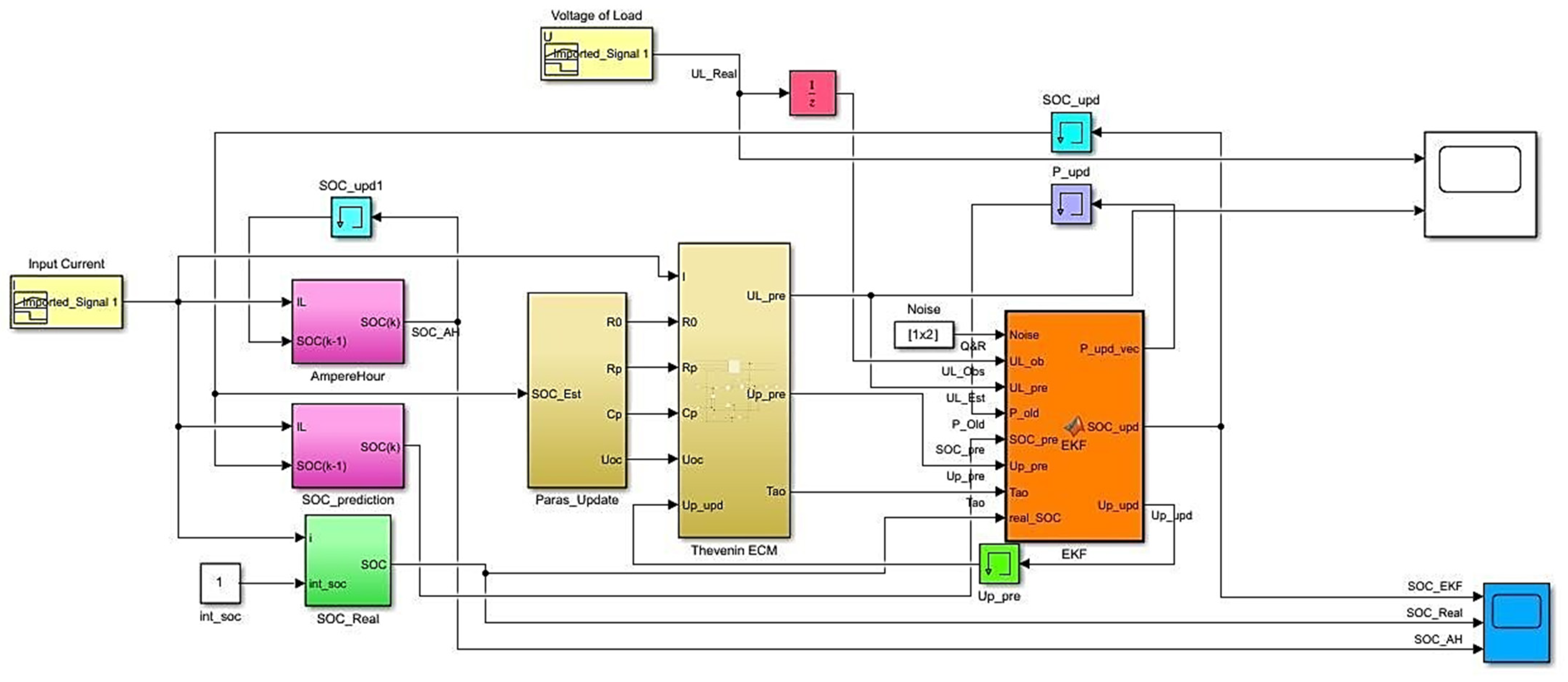
Figure 3 depicts the measured data for obtaining an updated state estimate. Then, the variance of the state estimate denotes the uncertainty or error in the estimate. Further, the variance calculation process involves updating the covariance matrix in the prediction and correction step depending on the measurement noise. Then, the filtering update is processed by combining the prediction and correction step for estimating the state of the battery, and the time update step advances the state estimate to the next time step. Through this update, the state covariance matrix, depending on the system model and noise, will be processed. Eventually, the Kalman gain matrix is updated in each time step depending on the predicted and updated covariance matrix. Eventually, the state estimation measurement combines the predicted state estimate with measurement data for obtaining a state estimate. Thus, EKF employs the Kalman gain matrix for blending the prediction and measurement updates and reduces the error in the state estimate. Figure 4 shows the MATLAB Simulink model for BMSs.
Figure 3.
Extended Kalman Filter.
Figure 4.
Simulation model for BMS.
The presence of random noise during battery operation leads to error accumulation in measuring the current, voltage, and other parameters, especially when using the Ah method for SOC calculation. This gradual error accumulation reduces the accuracy of estimation over time. Consequently, the Extended Kalman Filter (EKF) algorithm is extensively employed to tackle non-linear estimation issues. The EKF algorithm acts as a proficient autoregressive data processing technique, utilizing a recursive algorithm to attain minimum variance estimation and offer error estimates. Thus, the discrete non-linear state space model is illustrated by Equation (6):
Here, is defined as the noise value at moment , is the measurement noise value of moment , is the covariance of and is defined as the covariance of .
In order to transform the non-linear problem into a linear problem, the system is linearized at an operating point. At this rate, , and the state of the equation is transformed into the Taylor expansion.
Here, is the posteriori estimation of the state variables at the moment . is defined as the covariance of
At this point, , , and the Taylor expansion has been undertaken by the equation which delivered the output.
Here, is the prior estimation of state variables at moment , and is denoted as the covariance of .
Thus, in terms of Equations (4), (5), (8) and (10), the linearization outcome of the SOC estimation model 12 is attained. Thus, the error covariance, as well as state variables, is projected by the conventional EKF approach.
in which is defined as the derivative of at point . Therefore, at the next moment, the core idea of the EKM algorithm is to employ state equations for predicting the state quantity of the system. Explicitly, a modification in the middle of predicted output values and actual observations for calculating the minimum variance estimate are implemented with the aim of updating the Kalman gain co-efficient. Hence, coefficients are employed to adjust the weights of the values that are predicted and observed in the state variable estimation calculation. The details of EKF are as follows:
In Equation (16), is defined as the Kalman gain coefficient and is defined as the error covariance. Thus, in each sample cycle, the EKF algorithm has to calculate and in 2 different approaches, which encompasses posteriori and priori estimation. Between 2 stages, of the Kalman gain coefficient is estimated by the priori estimate. Thus, the estimated SOC for battery cells is described as follows.
Table 1 shows the SOC values obtained by using EKF. Battery 6 has a lower SOC value and battery 7 has a higher SOC value. As current deviation and voltage deviation using different operating temperatures is tedious and challenging, the NASA battery dataset is used as it consists of a charging cut-off current of 20 mA, temperature of 24 °C, charging constant current of 0.75 A, charging cut-off voltage of 4.2 V, discharge cut-off voltage of 2.7 V, and discharge constant current of 1 A. Using the different operating temperatures provided in the NASA battery dataset, the outputs obtained for battery 5, battery 6, battery 7, and battery 18 are as follows.
Table 1.
SOC values obtained using EKF.
Thus, the EKF method for estimating the SOC of lithium-ion batteries employed in the present work differs from existing EKF methods in several key aspects. Unlike traditional EKF approaches that primarily focus on SOC estimation, the proposed method integrates sensor fault detection by identifying deviations between predicted and actual sensor measurements. This allows for the detection of faults in voltage, current, and temperature sensors, enhancing the reliability and safety of the BMS.
2.4. Discharge Rate (DR)
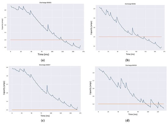
The DR is defined as the measurement of current at which the battery is discharged. Thus, graphs depict the capacity of the battery changes over repeated charge (discharge current) and discharge cycles at a specific discharge rate. The DR of the battery is represented in Figure 5a–d.
Figure 5.
(a) Discharge rate of battery 5. (b) Discharge rate of battery 6. (c) Discharge rate of battery 7. (d) Discharge rate of battery 18.
Figure 5a–d shows a battery’s discharge capacity decreasing over cycles, with a more significant decline after around 50 cycles. Beyond 100 cycles, the capacity continues to decrease gradually. A horizontal line at 1.4 marks a threshold for minimum acceptable performance, indicating when the battery’s capacity becomes insufficient.
2.5. State of Charge
The SOC value over time is identified, in which the battery charge level over a specific period of time is depicted on the x-axis and a percentage of the SOC is depicted on the y-axis. Each point in the graph shows the battery charge level at a specific time, allowing one to track the changes in SOC over time.
Figure 6a–d illustrates the SOC of a battery over time, measured in cycles, and the SoC gradually decreases as cycles increase. The data help assess the battery state and lifespan, highlighting the importance of monitoring the SoC over time. Likewise, the SOH of different batteries at various operating temperatures is depicted in the subsequent section.
Figure 6.
(a) SOC of battery 5. (b) SOC of battery 6. (c) SOC of battery 7. (d) SOC of battery 18.
2.6. State of Health
Monitoring the SOH enables the BMS to optimize the charging and discharging processes to ensure the battery operates at its best capacity and efficiency. By tracking the SOH, the BMS can implement strategies to extend the battery’s lifespan by preventing overcharging, over-discharging, and other factors that can degrade the battery over time. Hence, upholding an accurate assessment of the SOH helps prevent potential hazards such as thermal runaway or damage caused by operating the battery outside safe parameters.
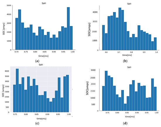
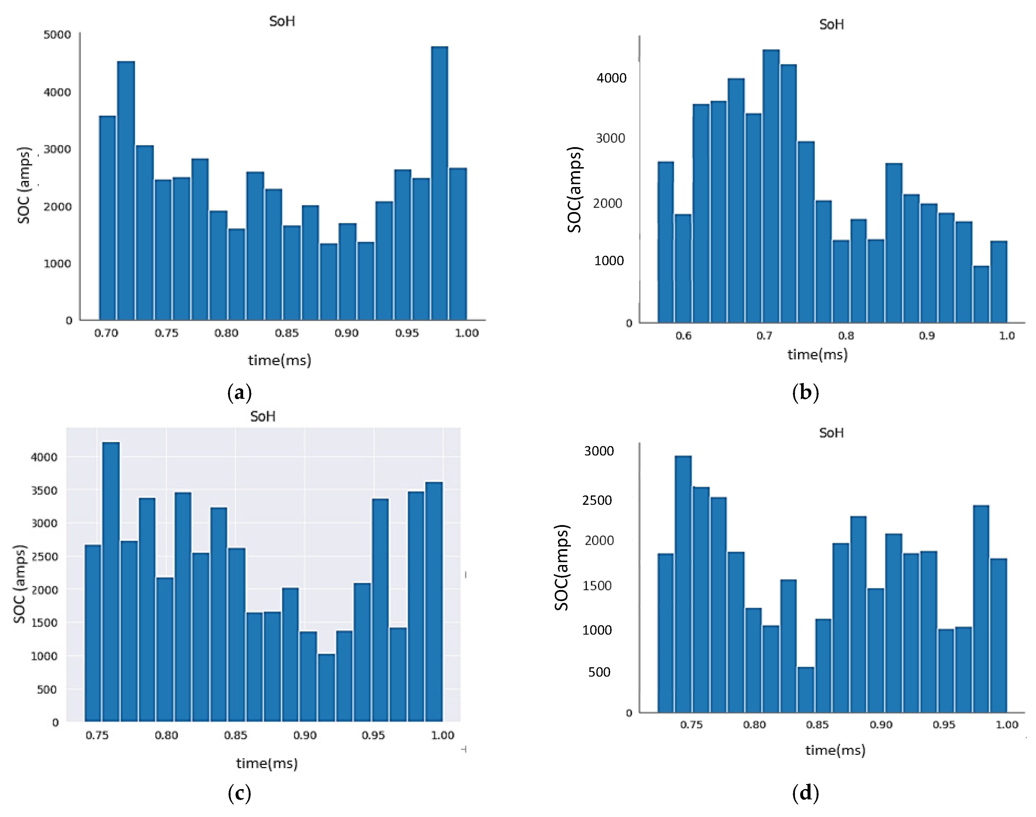
Figure 7a–d indicates that the SOH increases and decreases at different frequency intervals with respect to the cycle. In battery 5, the SOH reaches lowest point, when the frequency ranges between 1000 and 2000 hertz. Likewise, for battery 6, 7 and 18, the lowest point is reached, ranging between 500 and 1000 hertz and 500 and 0 hertz.
Figure 7.
(a) SOH of battery 5. (b) SOH of battery 6. (c) SOH of battery 7. (d) SOH of battery 18.
2.7. SOH Using Modified MLP
The SOH using modified MLP is estimated in Figure 8a–d, where it has been analyzed, in which the x axis is considered as Time (ms) and the y axis is estimated as the SOH (amp) value.

Figure 8.
(a) SOH with modified MLP of battery 5. (b) SOH with modified MLP of battery 6. (c) SOH with modified MLP of battery 7. (d) SOH with modified MLP of battery 18.
Figure 8a shows the SOH using modified MLP. It displays multiple horizontal lines, representing the estimated SOH, that mostly span the entire time range at different SoH levels, starting to increase from a time value of around 2750 until they all converge to a SoH of 1.0 at the end of the time range. Hence, Figure 8b illustrates a lower SOH limit of 0.6, indicating a wider degradation range. Both graphs reveal that the initial variability reduces as values approach 1.0, suggesting a recovery effect from improved estimations or external interventions. Early noise reflects measurement uncertainties, while convergence indicates a potential upper limit or actual recovery. This analysis aids Battery Management Systems and predictive maintenance, illustrating the model’s effectiveness.
From the figures, it can observed that the SOH values estimated for battery 5, battery 6, battery 7, and battery 18 peak at 1.00 when the time ranges between 3000 and 3500 s.
2.8. Voltage Waveform and Filtered Voltage
The measured voltage is the actual voltage reading obtained from the battery cell using voltage sensors in the Battery Management System. This measurement is important for monitoring the health and state monitoring of the battery. Voltage load refers to the voltage output of the battery when it is connected to load. This measurement aids in determining the performance of the battery under different load conditions and ensures that the battery can deliver the required power. Similarly, the filtered voltage is a processed version of the measured voltage, often obtained by filtering techniques to eliminate noise and fluctuations in the voltage signals. Hence, the green curve gives a clear illustration of voltage trends. This step is important for improving the accuracy and dependability of voltage measurements, as it helps to minimize the impact of unwanted changes that could obscure the true behavior of the system. By utilizing these filtering techniques, the filtered voltage gives a clearer indication of the underlying patterns and movements, allowing for more accurate analyses and forecasts in situations such as Battery Management Systems. This enhanced signal quality is crucial for effective monitoring and management, ensuring that any subsequent assessments of battery performance and condition are based on precise information. So, it provides a more consistent and accurate reading for the Battery Management System (BMS) to utilize. Thus, Figure 9a–d depicts the voltage waveform and filtered voltage of different batteries.
Figure 9.
(a) Voltage waveform and filtered voltage of battery 5. (b) Voltage waveform and filtered voltage of battery 6. (c) Voltage and filtered voltage of battery 7. (d) Voltage waveform and filtered voltage of battery 18.
The simulation analysis obtained using EKH from the NASA dataset is depicted in the present section. Further, the SOH process obtained using the NASA battery dataset with modified MLP will be depicted in the subsequent section.
2.9. System Configuration
The proposed work was executed in Python version 3.8 with libraries such as NumPy, TensorFlow. Intel Core i7 CPU processing was used.
2.10. Modified Multi-Layer Perceptron (MLP)
Multi-Layer Perceptron (MLP) is a form of artificial neural network known for its multiple layers, which consist of an input layer, one or more hidden layers, and an output layer. This structure allows MLP to capture intricate patterns in data, making them suitable for tasks such as classification and regression. However, there are several drawbacks to MLP, such as their high computational requirements for training; susceptibility to over fitting, particularly with limited data; faults in sensors, current, and voltage; need for optimal battery longevity, safe operation, enriched performance of Electric Vehicles (EVs), and accurate sensor monitoring; and dependency on hyperparameter tuning. Furthermore, the complexity of the model can impede the interpretation of the decision-making process, and MLPs often need high-quality training data to function effectively.
Existing MLP models have demonstrated certain drawbacks in accurately estimating the SOH of lithium-ion batteries, prompting the development of modified MLP to enhance their effectiveness. The proposed modified MLP addresses these limitations by optimizing the adjustment of model weights, which significantly improves its predictive capabilities. MLPs are particularly advantageous in SOH estimation as they efficiently utilize historical battery data to forecast degradation, leveraging their ability to analyze the non-linear interactions inherent in battery behavior. Their flexibility allows for the incorporation of various input characteristics, including voltage patterns and internal resistance measurements, which further enhances prediction accuracy. Moreover, the modified MLP has shown improved performance with extended datasets, resulting in lower error rates, reduced training times, increased accuracy levels, and diminished loss rates compared to conventional methods. By facilitating flexible feature extraction, demonstrating robust learning abilities, and effectively processing input data, the proposed MLP significantly enhances SOH estimation. These qualities establish MLPs as invaluable tools for monitoring battery conditions and optimizing performance across diverse scenarios, thereby ensuring the safe operation of lithium-ion batteries.
MLP was used for assessing the SOH from the NASA battery dataset as it can efficiently learn complex patterns in data and make precise predictions. During training, the model learns to map the input features to the target SOH by reducing the loss function. However, traditional MLP is ineffective in terms of obtaining a desired outcome for BMSs; thus, modified MLP was used, utilizing the gradient shift bias adjustment technique. This proposed modified MLP helps with adjusting the weights of the model to make the model effective for state monitoring. During training, biases in the model weights W can arise due to noisy data or non-linearities in the SOH relationship. To adjust for this, a gradient shift term is introduced, which is expressed in Equation (17),
where represents a modified gradient shift term and denotes the loss function. In the process, the model uses various techniques, such as normalization, the Euclidean distance, nearest neighbors, and the sigmoid activation function. Thus, Equation (18) depicts for normalization.
where determines data, represents maximum values in each column, and highlights the minimum values in each column. Similarly, the Euclidean distance is showcased in Equation (19),
Here, is determined as the length of the sequences and ; similarly, the nearest neighbor of the model is depicted in Equation (20),
where is determined as the values of the membership in class and the residue of the current is depicted as which is assigned to the values of membership. Likewise, the neighbor of the residue is indicated as , is identified as the count of nearest neighbors and, eventually, the distance between the residues is denoted by . The sigmoid activation function is showcased in Equation (21).
Here, the exponential function is illustrated as , which is primarily used for computing the activation function. Finally, the RMSE is calculated by estimating the low error rates produced by the model, and it is highlighted in Equation (22).
where n is denoted as number of observations, represents the actual observed value for the ith observation, and is defined as the predicted value for the ith observation depending on the model. Thus, these functions help the model to obtain better outcomes for SOH estimation. Figure 10 shows the modified MLP used in the proposed work.
Figure 10.
MLP architecture.
The first layer of MLP comprise neurons which receive the input data, which consist of features extracted from the NASA battery dataset such as capacity, voltage, current, temperature measurement, and internal resistance. This modified MLP model consists of 1 or more hidden layer where complex patterns in the data are learned. Each hidden layer encompasses neurons which apply weights to the input data and pass the outcome through an activation function to introduce non-linearity. Then, weights are connected in each layer, which facilitates effective leaning during the training process. Then, during the process of forward propagation, the input data like current and voltage values are passed from the input layer to the output layer, which computes a weighted sum of the input values and applies an activation function to produce an output. Further, implementation of the activation function introduces non-linearity to the model, enabling complex relationships in the data. Eventually, the output layer of the MLP model produces predicted SOH values depending on patterns in the data. This output layer typically consists of a single neuron for SOH estimation using the NASA battery dataset. Algorithm 1 depict the process involved in modified MLP for SOH estimation.
| Algorithm 1: Modified MLP |
| Input: Output: Step1: Dataset is scaled using IL (Input Layer) Step2: Step 3: Step 4: Step 5: |
Algorithm 1 shows the process involved in the modified MLP process, in which the process is initiated by scaling the dataset and dividing the values into training and testing values. Then, the distance between the training and testing values is estimated. Then, steps 2 and 4 are repeated until the process is terminated, and the MLP parameters are updated till the output is calculated. Eventually, the results are saved and displayed.
2.11. Integrating EKF with MLP
The integration of these two methods creates a robust system. The EKF provides an initial SOC estimate, which serves as an input to the MLP for SOH estimation. This feedback loop allows the MLP to refine the SOC estimate and make more accurate SOH predictions. Additionally, if sensor faults or discrepancies in SOC readings are detected, the MLP can adjust its weights based on new training data, effectively improving both the SOC and SOH estimates. This capability compensates for sensor faults and non-linear behaviors that may affect measurements.
The SOC estimate from the EKF can serve as an input feature for training the MLP. In return, the MLP improves the SOH estimate, which might influence the future predictions and corrections made by the EKF. This interactive learning process allows the system to adapt to changing battery conditions over time, maintaining high estimation accuracy. Overall, the integration of EKF with MLP offers several advantages. It improves the accuracy of SOC and SOH estimation by leveraging the real-time capabilities of the EKF and the non-linearity handling of the MLP. The system is robust against sensor faults, as MLP can correct errors and optimize its weights based on new data. This adaptability ensures that the system remains effective even as battery conditions change over time, contributing to the reliability and longevity of lithium-ion batteries.
The proposed work introduces a novel hybrid approach for SOC and SOH estimation in lithium-ion batteries used in Electric Vehicles (EVs), combining the Extended Kalman Filter (EKF) for SOC estimation with modified Multi-Layer Perceptron (MLP) for SOH estimation. The novelty lies in the integration of these two methods to handle the non-linear characteristics and sensor malfunctions that commonly affect battery systems, which are often overlooked in traditional approaches. Existing SOC and SOH estimation methods typically struggle with accurately capturing the complex, non-linear behavior of batteries, especially in the presence of faults like sensor inaccuracies, temperature variations, and aging effects. This work specifically addresses these limitations by incorporating a fault-tolerant, non-linear model that improves estimation accuracy through the EKF’s dynamic prediction and correction process, coupled with MLP’s gradient shift. The performance of this method is verified using the NASA battery dataset, which covers various operational conditions, showcasing its reliability for application in Electric Vehicles under different temperatures and situations. Hence, the model’s performance has been evaluated through metrics like the RMS and MSE, and the significance of the model has been demonstrated to be effective for battery management in Electric Vehicle applications.
2.12. Dataset Description
The NASA battery dataset used in the research work is depicted in this subsequent section, where the different fields used in the proposed work for estimating the SOH, along with their descriptions, are illustrated. Table 2 showcases the different fields utilized in the proposed work.
Table 2.
NASA dataset fields.
Table 2 describes the fields like voltage measured, current measured, temperature measured, current charge, voltage charge, time, capacity, battery current, and Electrochemical Impedance Spectroscopy (EIS). This dataset consists of data collected from lithium-ion batteries, which can be utilized for developing predictive models for BMSs. By utilizing the NASA dataset, the SOH and discharge of a battery can be illustrated.
2.13. Performance Metrics
- RMSE
The RMSE is used to compute the average variance amongst values in the classification and actual values. The RMSE formula is given in Equation (23):
- MSE
The MSE is the measurement of image excellence metric. If the standards are nearer to zero, the metric dimensions have better quality. The formula for MSE is mentioned in Equation (24):
- R square
R-squared is the numerical calculation that indicates the proposition of variance for the dependent variable with the independent variable.
- Mean Absolute Error (MAE)
The MAE is denoted as the average of the absolute dissimilarity between the predicted and actual values. Equation (25) shows the calculation of MAE.
3. Results and Discussions
The MATLAB version R2020b Simulink output is portrayed in the subsequent section, including faults and without faults.
3.1. With Fault
The input signals for the model are given in Figure 11a, where the input current and voltage signals with faults are fed. Here, the imported current signals are between 60 and 40. The charge and discharge range from 0 to 0.5 s accordingly; however, they reach 0 and then peak at values from 60 to 40. Similarly, Figure 11b showcases the input voltage signals, which range from 4.5 to 4, and reflects a decrease in signal rate; however, the spikes occur at regular intervals of time from 0 to 2 s.
Figure 11.
(a) Kalman current input signal. (b) Kalman voltage input signal.
Figure 12 depicts SOC_EKF in red, SOC_Real in purple, and SOC_AH in cyan. The graph highlights the fact that the EKF yielded highly accurate SOC predictions, compared to the real SOC. The SOC_EKF estimation is the best in terms of accuracy, as it closely matches SOC_Real, with smaller fluctuations compared to SOC_AH. This demonstrates that EKF provides superior SOC estimation in the current study.
Figure 12.
SOC of real, AH, and EKF.
Figure 13 shows error signals obtained using AH and EKF approaches, in which it can be seen that there are deviations and uneven spike variations in AH, especially from the time period of 2000 s to 4500 s, whereas the error signals in the EKF model showcase the stability of employing the EKF approach for SOC estimation as there are less fluctuations and these do not reflect erratic behavior. The results obtained without faults, similarly to the results obtained using faults, are depicted in the subsequent section for SOC estimation.
Figure 13.
Simulation outcome for SOC estimation and SOC error signals.
3.2. Without Faults
The SOC estimation of real, EKF, and AH is indicated in Figure 14, where the value of SOC decreases gradually; however, there is gap between SOC_real, SOC_EKF, and SOC_Ah. As the time in terms of seconds of increases, the distance between the conventional SOC model and SOC using EKF also increases. However, the overlap of SOC_EKF and SOC_real remains the same till it reaches 8000 s. This shows the efficacy of SOC in terms of EKF.
Figure 14.
Outcome of simulation of SOC.
The error signals of EKF and AH are depicted in Figure 14, where the error signals of EKF start from 0 and increase abruptly above 0.005; however, in the case of , the signals do not increase. Further, the error signals overlap with each other between the time of 100 and 250 s and start to deviate after 300 s.
The SOC with faults for real signals, using AH and an Extended Kalman filter, along with error signals using AH and EKF, is depicted in Figure 15. As can be seen in the Figure, the SOC decreases with respect to time and reaches 5000 s. Moreover, it can be understood that EKF provides SOC estimates which closely match the actual SOC_real; this shows that the EKF algorithm is highly precise in terms of tracking the true battery SOC value. Therefore, when SOC EKF and SOC real signals coincide with each other, this demonstrates the capability of EKF for precisely estimating the true SOC of the battery.
Figure 15.
Simulation error signals.
3.3. Output Based on Modified MLP Regression Model
The experimental outcome obtained using the modified MLP regression model for assessing the performance of BMSs based on sensor faults is depicted as follows. Figure 16, Figure 17, Figure 18 and Figure 19 show the SOH prediction using an MLP regressor for batteries 5, 6, 7, and 18, where the original SOH and predicted SOH are depicted. The original SOH refers to the actual health status of the battery at a given point in time, typically determined by factors like the current capacity of the battery when compared to its original capacity, whereas the predicted SOH is defined as an estimation of the future health status of the battery depending on different factors and predictive models. From Figure 16, Figure 17, Figure 18 and Figure 19, it can be assumed that the predicted SOH is higher because a higher predicted SOH value indicates that the battery is expected to retain more of its original capacity and remain in better health over time. Thus, the MSE, MAPE, RMSE, and R2 values obtained by the model are 0.210, 0.13%, 0.001563, and 0.9997.
Figure 16.
SOH prediction for battery 5.
Figure 17.
SOH prediction for battery 6.
Figure 18.
SOH prediction for battery 7.
Figure 19.
SOH prediction for battery 18.
Table 3 describes hyperparameters, such as the learning rate, batch size, optimizer, and activation functions, which were used to train the modified MLP model.
Table 3.
Hyperparameter and its range.
As can be seen in Table 4, the RMSE values for battery 5 demonstrate significant improvement with the proposed method, which achieves an RMSE of 0.0015, much lower than other methods. Specifically, the BPNN and LSTM models have RMSE values of 1.02 and 1.05, respectively, while BiLSTM performs better, with an RMSE of 0.47. Similarly, in Table 5 for battery 6, the proposed method also outperforms traditional models, achieving an RMSE of 0.0017. In comparison, BPNN, LSTM, and BiLSTM show RMSE values of 1.97, 1.87, and 0.72, respectively. These results highlight the effectiveness of the proposed method in providing significantly more accurate predictions for both batteries.
Table 4.
Metrics for batteries.
Table 5.
RMSE for battery 5 [30].
3.4. Comparative Analysis
A comparative analysis was used for comparing the proposed work with existing models for the NASA battery dataset, in which RMSE values of various models like BPNN, LSTM, and BiLSTM were compared with the proposed MLP model at a 70:30 ratio data split; however, the data split of the proposed model was 80:20.
As can be seen in Table 5, the RMSE values for battery 5 indicate that the proposed method significantly outperforms other models. The proposed work achieves an RMSE of 0.0015, which is much lower than the other methods. This clearly proves that the proposed method offers far more accurate predictions compared to the conventional techniques in the case of battery 5.
As can be seen in Table 6, the RMSE values for battery 6 demonstrate that the proposed method significantly outperforms traditional models. The proposed work achieves an RMSE of 0.0017, which is much lower than the other methods. Specifically, BPNN has an RMSE of 1.97; LSTM performs slightly better, with a rate of 1.87; and BiLSTM shows an RMSE of 0.72. This clearly indicates that the proposed method offers far more accurate predictions compared to the conventional techniques in the case of battery 6.
Table 6.
RMSE for battery 6 [30].
Table 7 compares RMSE values of different methods for predictive modeling. BPNN had the highest error (2.63), while LSTM improved the accuracy, with an RMSE of 1.33. BiLSTM further reduced the error to 0.76 by leveraging bidirectional data processing. The proposed work achieved a remarkably low RMSE of 0.0013, indicating superior prediction accuracy. This demonstrates the proposed method’s significant advancement over traditional approaches.
Table 7.
RMSE for battery 7 [30].
Table 8 compares the performance of two neural network models: standard MLP and modified MLP. Standard MLP shows lower error values (MAE = 0.0164, RMSE = 0.0957, MSE = 0.012) but a lower R2 value of 0.862, indicating moderate goodness of fit. In contrast, modified MLP has lower error values (MAE = 0.013, RMSE = 0.13, MSE = 0.021) and a very high R2 value of 0.9996, indicating an extremely good fit to the data.
Table 8.
Comparison analysis of MLP and modified MLP in SOH prediction [2].
Table 9 indicates metrics such as MAE and RSME and the SOC estimation under varying temperature conditions, and these can be compared with CNN-LSTM and the collaborative KF model.
Table 9.
Comparison analysis of RMSEs and MAEs of SOC estimation results under varying temperatures [3].
Table 10 compares the estimated SOC values and real SOC at specified time intervals. For each time point of 0, 10, and 20 min, the estimated SOC values are 98.5%, 95%, and 92.3%, respectively, while the real SOC values are slightly lower at 98%, 94.5%, and 92%. The minimal error, ranging from 0.3% to 0.5%, demonstrates that the estimation method used in the proposed work performs significantly better in the battery management process.
Table 10.
Comparison of estimated SOC with real SOC.
Thus, from the comparison, it can be seen that the proposed work demonstrates better performance in terms of BMS by producing lower error rate values. Hence, the experimental outcome showcases that the EKF algorithm used in the research work aids in the estimation of SOC by passing current and voltage input signals with and without faults. The NASA dataset was used for assessing the SOH of the battery sensors at different operating temperatures in BMSs via modified regression MLP, and the model was assessed using different performance metrics, obtaining a low error rate.
4. Conclusions
The present work predominantly focused on improving the performance of batteries for EVs in BMSs by analyzing the sensor faults present in the battery. In order to achieve this, the proposed work established a novel hybrid model by combining EKF with modified MLP and also focused on using current, voltage, and temperature sensors in the battery, in which the input signals of current and voltage were passed to the EKF model to estimate the SOC of the battery as the EKF algorithm takes non-linearities in the battery model into account, in addition to uncertainties and noise in input measurements, providing robust estimation of the battery state even in the presence of external disturbance. Moreover, the ability of EKF to handle non-linear relationships made it more effective than the coulomb counting method. This new approach effectively tackled the challenges presented by non-linear behaviors and potential sensor faults in battery systems. Thus, the SOC value obtained by battery 5 was 0.7137, battery 6 was 0.5825, and battery 7 and battery 18 was 0.757 and 0.7229. Further, the SOH of the battery was estimated by using the NASA battery dataset with different operating temperatures, as determining the performance of the battery based on different temperatures depending on the real time current and voltage sensor data obtained was challenging; hence, data regarding the current and voltage with temperatures present in the NASA battery dataset was fed to the modified MLP regression model, which aided in SOH estimation as it used gradient shift bias adjustment for regressing the estimated counts by adding suitable weights to the model. Eventually, the RMSE, MAPE, MSE, and R2 values for four different batteries were identified. The numerical output also reflected that low error rates were obtained using the proposed MLP model; this showcases the efficacy of the research work. Future research could incorporate advanced methodologies like DL, reinforcement learning, and data-driven approaches to enhance the accuracy and adaptability of SOC and SOH estimation. These approaches might further improve the model’s efficiency and ability to handle more complex and varied real-world battery behaviors.
Author Contributions
V.B.: Conceptualization and Supervision, M.D.S.: Implementation, Writing the initial draft, Visualization, and Validation. All authors have read and agreed to the published version of the manuscript.
Funding
This research received no funding.
Institutional Review Board Statement
Not applicable.
Informed Consent Statement
Not applicable.
Data Availability Statement
NASA Battery Data Set used Included in the Manuscript.
Acknowledgments
We are grateful to everyone who contributed to the manuscript’s development. We are also appreciative to the Vellore Institute of Technology for their help. Their collaboration and support were essential in assuring the paper’s success.
Conflicts of Interest
The authors declare no conflicts of interest.
References
- Saba, I.; Ullah, M.; Tariq, M. Advancing Electric Vehicle Battery Analysis with Digital Twins in Intelligent Transportation Systems. IEEE Trans. Intell. Transp. Syst. 2024, 25, 12141–12150. [Google Scholar] [CrossRef]
- Naeem, H.M.Y.; Bhatti, A.I.; Butt, Y.A.; Ahmed, Q.; Bai, X. Energy Efficient Solution for Connected Electric Vehicle and Battery Health Management Using Eco-driving Under Uncertain Environmental Conditions. IEEE Trans. Intell. Veh. 2024, 9, 4621–4631. [Google Scholar] [CrossRef]
- Meegoda, J.; Charbel, G.; Watts, D. Second Life of Used Lithium-Ion Batteries from Electric Vehicles in the USA. Environments 2024, 11, 97. [Google Scholar] [CrossRef]
- Gnanavendan, S.; Selvaraj, S.K.; Dev, S.J.; Mahato, K.K.; Swathish, R.S.; Sundaramali, G.; Accouche, O.; Azab, M. Challenges, solutions and future trends in EV-Technology: A Review. IEEE Access 2024, 12, 17242–17260. [Google Scholar] [CrossRef]
- Fang, T.; Vairin, C.; von Jouanne, A.; Agamloh, E.; Yokochi, A. Review of Fuel-Cell Electric Vehicles. Energies 2024, 17, 2160. [Google Scholar] [CrossRef]
- Reddy, K.; Pratyusha, D.; Sravanthi, B.; Esanakula, J. Recent AI Applications in Electrical Vehicles for Sustainability. Int. J. Mech. Eng. 2024, 11, 50–64. [Google Scholar] [CrossRef]
- Xia, X.; Li, P.; Cheng, Y. Economic and environmental evaluation of different collection models for spent power batteries. Energy 2024, 299, 131471. [Google Scholar] [CrossRef]
- Maisel, F.; Neef, C.; Marscheider-Weidemann, F.; Nissen, N.F. A forecast on future raw material demand and recycling potential of lithium-ion batteries in electric vehicles. Resour. Conserv. Recycl. 2023, 192, 106920. [Google Scholar] [CrossRef]
- Sosa, Y. The evolution of battery technology for the emerging global electric vehicle market. Tribol. Lubr. Technol. 2023, 79, 28–37. [Google Scholar]
- Lopez, F.A.; Billy, R.G.; Müller, D.B. Evaluating strategies for managing resource use in lithium-ion batteries for electric vehicles using the global MATILDA model. Resour. Conserv. Recycl. 2023, 193, 106951. [Google Scholar] [CrossRef]
- Xu, X.; Han, X.; Lu, L.; Wang, F.; Yang, M.; Liu, X.; Wu, Y.; Tang, S.; Hou, Y.; Hou, J.; et al. Challenges and opportunities toward long-life lithium-ion batteries. J. Power Sources 2024, 603, 234445. [Google Scholar] [CrossRef]
- Şen, M.; Özcan, M.; Eker, Y.R. A review on the lithium-ion battery problems used in electric vehicles. Next Sustain. 2024, 3, 100036. [Google Scholar] [CrossRef]
- Itagi, A.R.; Kallimani, R.; Pai, K.; Iyer, S.; Lopez, O.L. Cell Balancing for the Transportation Sector: Techniques, Challenges, and Future Research Directions. arXiv 2024. [Google Scholar] [CrossRef]
- Zhao, J.; Feng, X.; Tran, M.-K.; Fowler, M.; Ouyang, M.; Burke, A.F. Battery safety: Fault diagnosis from laboratory to real world. J. Power Sources 2024, 598, 234111. [Google Scholar] [CrossRef]
- Yin, X.; Pan, T.; Tian, J.; Ni, L.; Lao, L. Voltage-fault diagnosis for battery pack in electric vehicles using mutual information. J. Power Sources 2024, 608, 234636. [Google Scholar] [CrossRef]
- Singh, V.P.; Kumar, A.; Meena, C.S.; Dwivedi, G. Lithium-Ion Battery for Electric Transportation: Types, Components, Pack Design, and Technology. In Energy Efficient Vehicles; CRC Press: Boca Raton, FL, USA, 2024; pp. 156–172. [Google Scholar] [CrossRef]
- Kong, J.-Z.; Yang, F.; Zhang, X.; Pan, E.; Peng, Z.; Wang, D. Voltage-temperature health feature extraction to improve prognostics and health management of lithium-ion batteries. Energy 2021, 223, 120114. [Google Scholar] [CrossRef]
- Demirci, O.; Taskin, S.; Schaltz, E.; Demirci, B.A. Review of battery state estimation methods for electric vehicles-Part I: SOC estimation. J. Energy Storage 2024, 87, 111435. [Google Scholar] [CrossRef]
- Zheng, Y.; Che, Y.; Hu, X.; Sui, X.; Stroe, D.-I.; Teodorescu, R. Thermal state monitoring of lithium-ion batteries: Progress, challenges, and opportunities. Prog. Energy Combust. Sci. 2024, 100, 101120. [Google Scholar] [CrossRef]
- Xiong, R.; Yu, Q.; Shen, W.; Lin, C.; Sun, F. A sensor fault diagnosis method for a lithium-ion battery pack in electric vehicles. IEEE Trans. Power Electron. 2019, 34, 9709–9718. [Google Scholar] [CrossRef]
- Yu, Q.; Dai, L.; Xiong, R.; Chen, Z.; Zhang, X.; Shen, W. Current sensor fault diagnosis method based on an improved equivalent circuit battery model. Appl. Energy 2022, 310, 118588. [Google Scholar] [CrossRef]
- Theuerkauf, D. Voltage Relaxation Methods for State of Charge, and State of Health Estimation in Lithium-Ion Batteries. Master’s Thesis, Dalhousie University, Halifax, HS, Canada, 2022. [Google Scholar]
- Yang, R.; Xiong, R.; Shen, W. On-board diagnosis of soft short circuit fault in lithium-ion battery packs for electric vehicles using an extended Kalman filter. CSEE J. Power Energy Syst. 2020, 8, 258–270. [Google Scholar] [CrossRef]
- Zheng, C.; Chen, Z.; Huang, D. Fault diagnosis of voltage sensor and current sensor for lithium-ion battery pack using hybrid system modeling and unscented particle filter. Energy 2020, 191, 116504. [Google Scholar] [CrossRef]
- Zheng, Y.; Wang, J.; Qin, C.; Lu, L.; Han, X.; Ouyang, M. A novel capacity estimation method based on charging curve sections for lithium-ion batteries in electric vehicles. Energy 2019, 185, 361–371. [Google Scholar] [CrossRef]
- Hu, J.; Bian, X.; Wei, Z.; Li, J.; He, H. Residual statistics-based current sensor fault diagnosis for smart battery management. IEEE J. Emerg. Sel. Top. Power Electron. 2021, 10, 2435–2444. [Google Scholar] [CrossRef]
- Yang, X.; Chen, Y.; Li, B.; Luo, D. Battery states online estimation based on exponential decay particle swarm optimization and proportional-integral observer with a hybrid battery model. Energy 2020, 191, 116509. [Google Scholar] [CrossRef]
- Chemali, E.; Kollmeyer, P.J.; Preindl, M.; Ahmed, R.; Emadi, A.; Kollmeyer, P. Long short-term memory networks for accurate state-of-charge estimation of Li-ion batteries. IEEE Trans. Ind. Electron. 2017, 65, 6730–6739. [Google Scholar] [CrossRef]
- Chatterjee, S.; Gatla, R.K.; Sinha, P.; Jena, C.; Kundu, S.; Panda, B.; Nanda, L.; Pradhan, A. Fault detection of a Li-ion battery using SVM based machine learning and unscented Kalman filter. Mater. Today Proc. 2023, 74, 703–707. [Google Scholar] [CrossRef]
- Xu, P.; Huang, Y.; Ran, W.; Wan, S.; Guo, C.; Su, X.; Yuan, L.; Dan, Y. State of health estimation of LIB based on discharge section with multi-model combined. Heliyon 2024, 10, e25808. [Google Scholar] [CrossRef]
- Lin, Q.; Li, X.; Tu, B.; Cao, J.; Zhang, M.; Xiang, J. Stable and accurate estimation of SOC using eXogenous Kalman filter for lithium-ion batteries. Sensors 2023, 23, 467. [Google Scholar] [CrossRef]
- Rimsha; Murawwat, S.; Gulzar, M.M.; Alzahrani, A.; Hafeez, G.; Khan, F.A.; Abed, A.M. State of charge estimation and error analysis of lithium-ion batteries for electric vehicles using Kalman filter and deep neural network. J. Energy Storage 2023, 72, 108039. [Google Scholar] [CrossRef]
- Xing, L.; Ling, L.; Wu, X. Lithium-ion battery state-of-charge estimation based on a dual extended Kalman filter and BPNN correction. Connect. Sci. 2022, 34, 2332–2363. [Google Scholar] [CrossRef]
- Xue, Q.; Li, G.; Zhang, Y.; Shen, S.; Chen, Z.; Liu, Y. Fault diagnosis and abnormality detection of lithium-ion battery packs based on statistical distribution. J. Power Sources 2021, 482, 228964. [Google Scholar] [CrossRef]
- Bhattacharyya, H.S.; Choudhury, A.B.; Chanda, C.K. On-road estimation of state of charge of lithium-ion battery by extended and dual extended Kalman filter considering sensor bias. Int. J. Energy Res. 2022, 46, 15182–15197. [Google Scholar] [CrossRef]
- Al-Gabalawy, M.; Hosny, N.S.; Dawson, J.A.; Omar, A.I. State of charge estimation of a Li-ion battery based on extended Kalman filtering and sensor bias. Int. J. Energy Res. 2021, 45, 6708–6726. [Google Scholar] [CrossRef]
- Li, X.; Yuan, C.; Wang, Z. Multi-time-scale framework for prognostic health condition of lithium battery using modified Gaussian process regression and nonlinear regression. J. Power Sources 2020, 467, 228358. [Google Scholar] [CrossRef]
- Li, X.; Yuan, C.; Wang, Z. State of health estimation for Li-ion battery via partial incremental capacity analysis based on support vector regression. Energy 2020, 203, 117852. [Google Scholar] [CrossRef]
- Li, X.; Yuan, C.; Li, X.; Wang, Z. State of health estimation for Li-Ion battery using incremental capacity analysis and Gaussian process regression. Energy 2020, 190, 116467. [Google Scholar] [CrossRef]
- Akram, M.A.; Liu, P.; Tahir, M.O.; Ali, W.; Wang, Y. A state optimization model based on Kalman filtering and robust estimation theory for fusion of multi-source information in highly non-linear systems. Sensors 2019, 19, 1687. [Google Scholar] [CrossRef]
- Jafari, S.; Kim, J.; Choi, W.; Byun, Y.C. Integrating Multilayer Perceptron and Support Vector Regression for Enhanced State of Health Estimation in Lithium-Ion Batteries. IEEE Access 2024, 13, 11463–11478. [Google Scholar] [CrossRef]
- Wang, W.; Ma, B.; Hua, X.; Zou, B.; Zhang, L.; Yu, H.; Yang, K.; Yang, S. Liu, X. End-cloud collaboration approach for state-of-charge estimation in lithium batteries using CNN-LSTM and UKF. Batteries 2023, 9, 144. [Google Scholar] [CrossRef]
Disclaimer/Publisher’s Note: The statements, opinions and data contained in all publications are solely those of the individual author(s) and contributor(s) and not of MDPI and/or the editor(s). MDPI and/or the editor(s) disclaim responsibility for any injury to people or property resulting from any ideas, methods, instructions or products referred to in the content. |
© 2025 by the authors. Published by MDPI on behalf of the World Electric Vehicle Association. Licensee MDPI, Basel, Switzerland. This article is an open access article distributed under the terms and conditions of the Creative Commons Attribution (CC BY) license (https://creativecommons.org/licenses/by/4.0/).