Next Article in Journal
Research Progress on Data-Driven Methods for Battery States Estimation of Electric Buses
Next Article in Special Issue
A Charging Guidance Optimization Model for Electric Vehicle Travel by Considering Multi-Dimensional Preferences of Users
Previous Article in Journal
Collaborative Planning of Community Charging Facilities and Distribution Networks
 
 
Font Type:
Arial Georgia Verdana
Font Size:
Aa Aa Aa
Line Spacing:
Column Width:
Background:
Article

Understanding Travel Behavior of Electric Car-Sharing Users under Impact of COVID-19

1
School of Traffic and Transportation, Beijing Jiaotong University, Beijing 100044, China
2
Department of Built Environment, Oslo Metropolitan University, 0166 Oslo, Norway
*
Author to whom correspondence should be addressed.
World Electr. Veh. J. 2023, 14(6), 144; https://doi.org/10.3390/wevj14060144
Submission received: 6 April 2023 / Revised: 14 May 2023 / Accepted: 19 May 2023 / Published: 1 June 2023

Abstract

The outbreak of the COVID-19 pandemic has raised concerns about the use of public transport, with a surge in people considering personal car usage. However, owning private cars is costly and wasteful of resources. Electric car-sharing (ECS) is considered a safer and more private mode of transportation compared with public transportation. The COVID-19 pandemic has affected transport on transportation policies and travel willingness. What is the effect of the COVID-19 pandemic on CS travel, especially considering the safety issues during the COVID-19 pandemic? This study analyses the differences in the travel characteristics of private car owners and nonowners while using CS under the influence of the COVID-19 pandemic. Quantitative analysis during four months before and four months after the outbreak of the COVID-19 pandemic is conducted based on CS order data in Lanzhou, China. It was found that the number of CS orders fell by 55.8% during the COVID-19 pandemic. Travel behavior during the pandemic is different from that before the outbreak of the pandemic. Additionally, both private car owners and nonowners use CS while having differences in travel characteristics. Based on the results, business suggestions are introduced on the distribution of vehicles to help improve the profit of CS operators.

1. Introduction

Since early 2020, the COVID-19 pandemic has spread explosively across the world. The COVID-19 pandemic is highly contagious. During the pandemic, people have been encouraged to reduce their trips and to practice social distancing. Therefore, the pandemic has had a great impact on global transport regarding transportation policy and travel willingness [1]. The load rate and frequency of public transportation are limited. The agglomeration of public transportation has led to a decrease in the adoption rate of public transportation [2]. In a follow-up study, the study confirmed that the private car is the clear winner in the COVID-19 pandemic [3]. Private car owners can travel in private cars, which are safe and flexible. However, it is costly and a waste of resources to buy a private car for private car nonowners. However, people still need to travel by car for medium and long distances, especially travelers who do not have private cars. Electric car-sharing (ECS) is regarded as a means of transportation between public transportation and private cars. ECS can provide the driving experience of private cars [4] and help improve the efficiency of vehicle utilization [5]. The COVID-19 pandemic has changed travelers’ attitudes toward mobility choices. Safety factors are taken as the main criteria [3]. So, ECS got more attention after the outbreak of the COVID-19 pandemic. Understanding the usage behavior of ECS users can improve the sustainable development of the ECS industry after the outbreak of the pandemic [6].
ECS is a new type of car rental industry in which cars are owned by ECS companies. ECS is generally divided into station-based and free-floating ECS, depending on whether the vehicle should be rented at the dedicated station [7]. Station-based ECS is easy to manage vehicles, so it is popular in many counties, such as China, Norway, and Sweden. This study focuses on station-based ECS. In station-based ECS, users reserve cars through smart devices, such as smart mobile phones [8]. After users place an order, they will pick up the car at a pick-up station and return the car at a drop-off station. In this way, users can have a travel experience similar to that of a private car. Thus, ECS has the potential to reduce the number of private cars.
During the pandemic, ECS can make up for the shortage of the high cost of private cars and the aggregation of public transport. There is a market for developing ECS [9,10]. However, there is still a challenge for the development of ECS due to the reduced travel numbers of users. The reduction of mobility behavior was even more severe for recreational, retailing, and working purposes [11]. Understanding how to develop ECS in this situation is crucial for ECS operators. There is a call for studies that help to understand travel behaviors when making operation decisions during and after the COVID-19 pandemic. Aiming at this, this study research on the effect of the COVID-19 pandemic on the ECS. The differences in travel behaviors by ECS are analyzed under the influence of the COVID-19 pandemic. More specifically, for users who do not own a private car, ECS has provided a private space making it possible to avoid cross-infection caused by crowded public transportation. At the same time, ECS users who are private car owners prefer to use private cars during the pandemic. So, a question arises about whether there are differences between private car owners and nonowners in the use of ECS. In addition, special periods, such as the period of the COVID-19 pandemic, may have an impact on ECS choices. Who prefers to choose ECS under the impact of COVID-19?
This study analyzed the differences between private car owners and nonowners under the influence of the COVID-19 pandemic. Moreover, the difference between ECS preference and non-preference groups is explored, which can lay the foundation for business strategies. A questionnaire and order data of Lanzhou, China on the characteristics of ECS travel were obtained to explore the characteristics of ECS users’ travel behavior. The questionnaire involves the perception of users’ willingness to use ECS, psychology, and travel scenarios before and after the outbreak of the pandemic. Moreover, the order data presented the ECS travel characteristics before and after the outbreak of the pandemic is obtained. This study constructs the following analysis based on the two kinds of data. First, a structural equation model (SEM) is constructed to compare the characteristics of ECS users who own private cars (UOs) and ECS users who do not own private cars (UNs). Second, UOs are subdivided into those who prefer ECS (UOPs) and those who do not prefer ECS (UONs). A binary logistic regression model is constructed to predict user types and to analyze their behavioral characteristics. Finally, the UN group is further divided into users with a preference for ECS (UNPs) and users with no preference (UNNs). A binary logistic regression model is constructed to predict user types, and the differences in behavioral characteristics are analyzed.
This study contributes to academic perspectives and business practice. First, this study provides a new angle to analyze the ECS adoption willingness and travel behaviors before and during the COVID-19 pandemic. The quantitative analysis methods are used to prove that the ownership of private cars has an effect on ECS travel behaviors from four aspects. Second, business suggestions during the COVID-19 pandemic are introduced to help improve the profit of car-sharing operators.
The rest of the paper is organized as follows. Section 2 reviews the literature on ECS users. Section 3 introduces the data, and Section 4 describes the methodology of this study. The results are shown in Section 5. Section 6 provides suggestions and policy implications based on the results. The final section concludes the paper and suggests future research.

2. Literature Review

Analyzing the behavior of ECS users is important for ECS companies to develop operational strategies. The literature regarding ECS users’ behavior is mainly divided into two aspects, i.e., studies on the willingness to use ECS and comparisons of the behavior of ECS users.
Existing studies focus on the willingness to choose ECS mainly to compare and analyze the attitudes and travel characteristics of ECS users and nonusers [8,12,13]. Variables such as social attributes, family structure, and purpose of the trip are compared between users and non-users. Luca et al. [14]. focused on the willingness to use ECS for intercity travel and user characteristics. They found that intercity ECS services can replace cars as a transportation mode and be a choice that supplements the public transportation system. Namazu et al. [15]. focused on the willingness of users to use free-floating ECS and compared the characteristics of different travel choices. Shaheen et al. [16] focused on the willingness of older adults to choose ECS. Acheampong et al. [17] analyzed the determinants of young people’s willingness to adopt ECS, namely, attitudes, perceived benefits, travel expectations, and sociodemographic factors. Jin et al. [18] compared electric ECS, fuel ECS, and ECS non-users based on an SEM-logit model. Their results indicated that private car owners are reluctant to use ECS. Some studies have found travel characteristics between travelers who use ECS and who do not use ECS. Jin et al. [17] found that the ECS starting point of morning peak travel is residential and that the endpoint is a business district or green space. Commuting and long-distance travel are more sensitive to drops in prices. Wang et al. [5] introduced the differences in usage patterns between ECS users and private car users. However, these studies mainly focused on comparing travelers who use ECS and who do not use ECS. There is no comprehensive analysis of the differences in the use of ECS between UOs and UNs.
Some studies classified ECS users and analyzed behavioral differences, which is helpful in making recommendations for vehicle allocation. Burghard et al. [19] compared early users and late users. Early user behavior can be used to predict later ECS users. Qian et al. [20] divided users into five groups and analyzed their behaviors. The results showed that the users were mainly college students and people in office buildings and commercial districts. Most users’ travel demands were temporary and involved a short or medium distance. Users who used shared cars frequently for a long time aimed to commute. Hui et al. [21] showed that the behavioral patterns of users with different usage frequencies are different. The behavioral patterns of users in the highest frequency group are similar to the characteristics of commuters. Chicco and Diana [22] explored the impacts of ECS on air pollutants and greenhouse gas emissions. Abbasi et al. [23] investigated the factors that influence car-sharing operators’ selection of car-sharing station locations and demand based on rental transaction data. Ye et al. [24] analyzed the impacts of car-sharing on selling cars, giving up, and delaying purchasing a car in Shanghai based on survey data on vehicle ownership from users and actual operations data.
There is limited existing research on transportation methods during the pandemic, which is urgently needed. Hossain [25] explored the attitudes toward sharing economy during COVID-19 but did not focus on car-sharing. Garaus [3] focused on ECS usage intention during the COVID-19 pandemic. Esfandabadi et al. [26] focused on the status of car-sharing services in Italy before and after the COVID-19 pandemic. The provided insights indicate that the pandemic outbreak has had significant impacts on car-sharing services. However, behavioral differences between private car owners and nonowners were not analyzed. The pandemic has brought opportunities for the expansion of ECS users. Therefore, studying the behavior of ECS users in the post-pandemic era holds great significance.
Most existing studies have focused on ECS users and nonusers, but they have not analyzed the differences in travel characteristics among station-based ECS users. Thus, resources cannot be reasonably allocated. To fill these gaps, this study classifies ECS users who are classified as private car owners and nonowners. Studying the differences in travel characteristics will help to discover diversified demands and then reasonably allocate vehicle resources. It is helpful to study the role of ECS as a supplement to and substitute for private cars and to integrate ECS into the urban transportation system. Moreover, users who prefer and who do not prefer ECS are analyzed, which will promote the rational allocation of ECS resources and maximize benefits.

3. Survey and Data Collection

3.1. Study Area

The study area is Lanzhou City, Gansu Province, China. Lanzhou introduced the station-based ECS in 2017. The ECS system is operated by a business entity. There are 58 ECS stations with 400 vehicles in the main urban area of Lanzhou. Fifty thousand people have become car-sharing members since its inception. The map of the main urban area of Lanzhou city is shown in Figure 1.
COVID-19 has affected traffic policies in Lanzhou. On 25 January 2020, Lanzhou launched a first-level response to major public health emergencies. Residents are asked to reduce the number of travels. On 8 February, the residential quarters implemented closed management. The frequency of public transport is limited. On 21 February, the emergency response level for epidemic prevention and control in Lanzhou was adjusted from first-level emergency response to third-level emergency response. The frequency of public transport is increasing. Traffic basically returned to normal in May.

3.2. Order Data

Order data are obtained from car-sharing operators, which is the actual travel behavior of car-sharing users. The data sample is shown in Table 1.
Some definitions are as follows.
Target time span: The outbreak of the COVID-19 pandemic in Lanzhou is on February 2020. In order to analyze the effect of the COVID-19 pandemic on car-sharing, eight months from 1 October 2019 to 31 May 2020 is defined as the target time span, that is, four months before the outbreak of the COVID-19 pandemic and four months after the outbreak of a pandemic.
Target users: ECS users who used ECS during the target time span. A total of 121,019 pieces of ECS order data were generated during the target time span in Lanzhou. A total of 8100 users who rented ECS during the target time span are defined as target users.

3.3. Questionnaire Survey of Target Users

In this study, users’ travel attitudes were obtained through an online questionnaire conducted in June 2020. We send messages to the target users with the attached link to the questionnaire. The messages are randomly sent to the users to ensure the representativeness of the collected sample. A total of 2000 questionnaires were distributed to target users. Moreover, 240 valid questionnaires were obtained. The amount of data obtained is sufficient to analyze the car-sharing travel characteristics. Garaus et al. [3] also invested 240 qualified participants, indicating that the sample size of 240 is valid. The content of the questionnaire is shown in Appendix A.
A total of 240 pieces of survey data and 4300 pieces of order data of 240 target users are obtained. Users were matched between the survey data and the order data according to users’ telephone numbers. Consequently, each of the 240 users surveyed has a piece of surveyed data and several pieces of order data. For each target user, travel characteristics by ECS are obtained from order data. Meanwhile, travel attitude is obtained from survey data. Therefore, comprehensive car-sharing travel information of each user can be obtained from two kinds of data.
In the questionnaire, the question “Whether the user owns a private car” was used to classify users as UNs and UOs. The question “Whether ECS was chosen as the preferred means of transportation for trips” was used to classify users as those who prefer and those who do not prefer ECS. Among the 240 respondents, 136 users are UNs, accounting for 57% of all users. A total of 104 users are UOs, accounting for 43%.

4. Methodology

This research includes three analyses. The diagram of the research framework is shown in Figure 2. Three analyses are introduced. First, UOs and UNs are compared based on the SEM. Second, we analyze users in depth based on their preferences. A comparison of UOPs and UONs based on the logit model is conducted. Finally, a comparison of UNPs and UNNs based on the logit model is conducted. The specific method is detailed as follows.

4.1. Behavioral Comparison of UOs and UNs Based on an SEM

This study examines whether the variables of users who own a private car influence their attitudes and ECS choice behavior. The correlation between an independent variable and multiple dependent variables is analyzed. The SEM is used to model the causal relationship. We build SEM to analyze whether the ownership of vehicles leads to the difference in users’ attitudes and ECS choice behavior, as shown in Figure 3. e is the residual error. An SEM can analyze multilevel causal relationships without splitting the model, which cannot be realized by traditional regression analysis. Therefore, this study uses an SEM to construct multiple linear models, which is more intuitive.
The SEM is composed of a set of linear regression equations, as shown in Equation (1). The differences in seven types of variables in Appendix A between UOs and UNs are analyzed. The linear equations are constructed based on the 48 variables listed in Appendix A. Each linear equation is composed of a dependent variable and an independent variable, that is, whether a person owns a private car.
Y i = β i X + e i
where X is whether the user owns a private car; Y i is the explained variables in Appendix A; e i is the residual; and β i is the coefficient.
The path diagram of the SEM is shown in Figure 3. The relationship between variables is determined by whether the coefficients are statistically significant. The maximum likelihood method is used for parameter estimation. The t-test was used to test the significance of the parameters. If p < 0.05, the null hypothesis is rejected, and the influence of variables is considered significant. Each regression equation has a coefficient of determination, R i 2 , which represents the proportion of the variance of the corresponding variable that can be explained by equation i. ( 1 R i 2 ) represents the unexplainable part of the remaining equation. For a path analysis model that includes multiple variables, its coefficient of determination is a comprehensive index. The calculation is shown in Equations (2)–(4).
R SEM 2 = 1 ( 1 R 1 2 ) ( 1 R 2 2 ) ( 1 R i 2 ) ( 1 R n 2 )
Q = 1 R before   simplify 2 1 R after   simplify 2
The W statistic can be calculated based on Q. W conforms to the chi-square distribution with d degrees of freedom.
W = ( n d ) l n Q
where n is the number of equations and d is the number of deleted models after simplifying the model.

4.2. Comparison of Users Who Prefer and Users Who Do Not Prefer ECS Based on a Logit Model

First, the behavioral characteristics of UOPs and UONs are analyzed. Based on the questionnaire, ECS users who own private cars are divided into those who prefer ECS and those who do not prefer ECS, according to the question “whether ECS is the preferred choice”. Among the 136 UNs, 85 are UNPs, accounting for 62.5% of all users. A total of 51 users are UNNs, accounting for 37.5%. The user’s preference for ECS is predicted based on the binary logistic regression model. The dependent variable is the proportion of log occurrences in the logit model. The prediction ratio for the two types of users is within a reasonable range and cannot exceed 1. This study uses the logit model to classify and predict ECS users.
The maximum likelihood method is used to estimate the parameters. The binary logit model is designed to analyze UOPs and UONs, as shown in Equation (5).
log ( P ( Y = 1 X i ) 1 P ( Y = 1 X i ) ) = E ( Y ) = β 0 + β 1 X 1 + β 2 X 2 + + β n X n
where P ( Y = 1 X i ) is the probability of Y = 1 under the condition of X i and β i is estimated based on maximum likelihood estimation.
The explained variable is the binary categorical variable, that is, whether car users are UOPs or UONs. The explanatory variables are the ECS travel characteristic variables in Appendix A. Whether there is a significant linear relationship between each explanatory variable and LogitP is calculated. In this study, the Wald test is used to test the significance of the coefficient. To avoid the influence of the correlation between the variables on the solution results, a stepwise regression method is used to determine the final explanatory variable based on the likelihood function value, which ensures that the variables are linearly independent.
In this study, the value of the goodness of fit can evaluate the impact of each variable on the user’s profit contribution. M c F a d d e n R 2 is used to calculate the goodness of fit, as shown in Equation (6).
M c F a d d e n R 2 = 1 l ( β ^ ) / l ( β ˜ )
where l ( β ^ ) is the maximum value of the log-likelihood function and l ( β ˜ ) is the maximum value of the likelihood function when all coefficients are restricted to 0 except for the constant.
Moreover, the behavioral characteristics of UNPs and UNNs are compared. Based on the questionnaire, ECS users who do not own private cars are divided into users who prefer ECS and users who do not prefer ECS, according to the question “whether ECS is the preferred choice”. Among the 104 UNs, 36 users are UNPs, accounting for 34.6% of all users. A total of 68 users are UNNs, accounting for 65.4%. The user’s preference for ECS is predicted based on the binary logistic regression model. The maximum likelihood method is used to estimate the parameters.

5. Results and Analysis

5.1. Comparison of UOs and UNs

5.1.1. Statistical Description

A statistical description is provided to introduce the characteristics of UOs and UNs. Statistical methods are used to bring the numbers into graphical analysis to uncover patterns. The variables are defined as shown in Table 2. The results are shown in Figure 4. Before the pandemic, UNs used ECS for travel alone and to visit relatives and friends. As shown in Figure 4a, there was a larger proportion of UOs who chose ECS to commute and take trains or airplanes. As shown in Figure 4b, during the pandemic, UNs used ECS to travel alone, go shopping, and visit relatives and friends. There was a larger proportion of UOs who use ECS to commute and take trains and airplanes. Compared with the nonpandemic period, UNs had an increased demand for ECS to go shopping.
As shown in Figure 5a, before the pandemic, travel time and cost had significant impacts on users’ choice of ECS. The variables are defined as shown in Table 3. Indeed, ECS can compensate for the shortcomings of public transportation and subways, such as long delays. In this way, ECS is able to meet personalized travel demands. Meanwhile, compared to private cars and taxis, ECS has cheaper travel costs. Due to these advantages, ECS was attractive to users and caused them to choose it. Note that UOs paid more attention to walking distance than UNs. UNs chose ECS because they wanted the travel experience of a private car, that is, private space and a lower delay time.
As shown in Figure 5b, during the pandemic, UNs believed that avoiding contact with people by ECS was a safe way to travel. When driving family members, UNs preferred to use ECS. UOs chose ECS when public transportation was not convenient. This conclusion is consistent with the research results from the previous literature, which show that ECS is a substitute for transit when transit is not adequately provided during operation. Moreover, during the pandemic period, UOs seldom chose ECS, and they still preferred private cars for reasons of safety.
The variables are defined as shown in Table 4. As shown in Figure 6, ECS users held the view that ECS is a clean and environmentally friendly travel tool. In addition, 63% of UNs used ECS because they did not want to buy a private car. This result indicates that ECS can satisfy their travel demands and save on costs.

5.1.2. Results of the Comparison between UOs and UNs Based on the SEM

The SEM model is used to model the differences in user choices. After removing the nonsignificant variables, the goodness-of-fit index (GFI) = 1, which shows satisfactory goodness of fit. Table 5 shows the results of the differences in variables between UOs and UNs obtained from the SEM. In the following content, the user’s travel difference will be analyzed in detail regarding the variables in Table 5. p is the probability. If p < 0.05, the variable is considered significant. S.E. is the standard error of the estimate. C.R. is the value of statistics. The conclusions from the survey data are verified by the conclusions from the order data.
(1)
The impact of travel purposes on spatiotemporal demand
It is possible to draw conclusions from the travel purpose results of the questionnaire. As shown in columns 1–10 of Table 5, UOs used ECS to commute, take a one-way plane trip, and travel during the nonoperational hours of public transportation. UNs traveled by ECS to visit relatives, drive family members, and travel with luggage.
Based on different travel purposes, UOs used a greater proportion of ECS in the mornings and evenings, while UNs had a greater demand for ECS during flat periods. To verify these conclusions, the spatiotemporal distribution is shown in Figure 7. The vertical axis is the station number. At the same time, the number of car rentals is different at different stations, which shows that there is indeed a large difference in the pick-up time and drop-off time between UOs and UNs. For UNs, the pick-up time is mainly distributed between 10:00 and 18:00, while for UOs, it is concentrated at 10:00 and at 18:00. In terms of space, the peak times of travel of UOs and UNs are distributed at different stations.
As shown in Figure 8, the total number of orders during the pandemic declined. Moreover, comparing November 2019 and February 2020, the pick-up time is more concentrated between 10:00 and 18:00. Night trips are almost nonexistent.
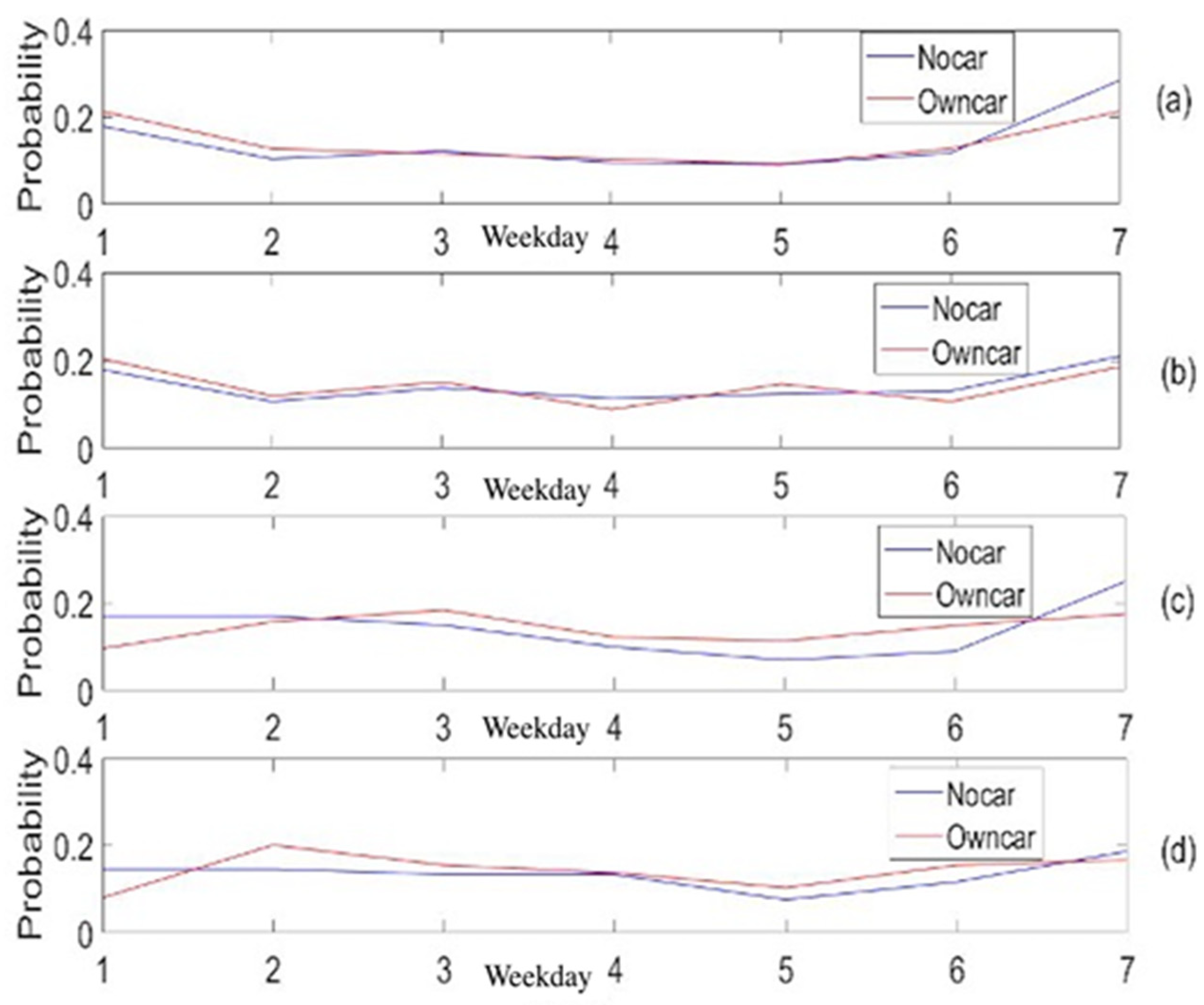
The variation in travel proportion is shown by weekday in Figure 9. Great demands are observed on Saturdays and Mondays. Compared with UOs, UNs preferred to use ECS on Saturdays. During the pandemic, UOs increased the proportion of orders during workdays. In other words, there is a large difference in the spatiotemporal demand for ECS between UOs and UNs.
The study shows that among ECS users, there are both UOs and UNs. UOs will not give up ECS and choose private cars only. The ECS behavior of private car owners is different from that of nonowners. UOs will replace some of their travel with ECS. This conclusion is consistent with that of Liao et al. [27] Therefore, private cars and ECS will coexist for a period of time to satisfy users’ diversified demands. The focus of management should be on the complementarity of multimodal transportation
(2)
Differences in users’ choice of car types
As shown in column 19 of Table 5, UNs had higher requirements for vehicle types. Based on the travel purpose, as shown in columns 1–10 of Table 5, UNs preferred to travel with family members. Thus, they may choose large vehicles. UOs used ECS to commute when it was difficult to find parking spots. Therefore, the destinations of UOs may be in commercial districts and areas with a high rate of utilization. UOs mainly used small cars. The corresponding car types can be matched at stations based on the characteristics of the vehicles used during vehicle allocation. The study analyzed type selection based on the order data.
The choice of vehicle type in the order data can reflect the differences in user demands. Table 6 shows the types and the number of vehicles launched. Although there are differences in the total proportion of the various types of cars available for ECS users in Lanzhou, different stations are equipped with various types for users to choose from. Therefore, the car type selected by a user can reflect the user’s preference for the car type.
Among the four existing types, due to the differences in the total number of vehicles, EC200 has the largest usage ratio, and EX260 has the smallest usage ratio, as shown in Figure 10. Moreover, UNs had a larger proportion of BYD E5, while UOs had a larger proportion of ZE200. UNs had higher requirements for large and comfortable cars, while UOs had a demand for small two-seater models, which provides a reference for vehicle configuration.
During the pandemic, UNs increased the proportion of EX260 and decreased the proportion of EC200. This result means that the number of trips made by individuals rather than family members increased for purposes of safety.
(3)
Differences in ECS demand before and after the pandemic
The results indicate that UOs reduced their ECS and used private cars during the pandemic, as shown in columns 40–45 of Table 5. During the pandemic, UNs reduced the number of bus trips due to the clustering of people involved in public transportation. For purposes of safety during the pandemic, increasing the intensity of disinfection in cars increased the proportion of ECS trips.
Figure 11 shows the differences in ECS travel demand before and during the pandemic. The stations are ranked based on demand in Figure 11a,b. The demand in February 2020, when the pandemic was the most severe, was the lowest. Orders fell by 55.8% compared with January. After February, demand started to grow. The orders in March fell by 34.2% compared with January. The demand curve for 24 h over eight months is shown in Figure 11c,d. The total demand of the operator is shown in Figure 11a,c. The demand of the questionnaire respondents is shown in Figure 11b,d. The ratio of the demands of private car users and nonusers is shown by the red line.
In February 2020 and March 2020, because students and some private car nonusers left Lanzhou Province and people were asked not to go out, the ratio was low. However, the ratio increased in April. After the outbreak of the pandemic, UNs became the main users of ECS. In terms of vehicle allocation, the preference for multimatched vehicles to gather stations for UNs is helpful for the reasonable allocation of vehicles, thereby increasing the operators’ profit.
The travel mileage was different because the travel purposes before and during the pandemic were different. As shown in Figure 12, the mileage was different between UNs and UOs. Before the pandemic, UOs preferred to drive 8 km by ECS, while in February 2020, UOs had an increased probability of driving 5 km by ECS. In addition, UOs had an increased probability of driving 15 km by ECS and a decreased probability of driving longer than 20 km by ECS. UNs preferred short trips by ECS. UNs decreased the proportion of long-distance trips in February 2020, similar to UOs. Overall, UOs preferred to travel a longer distance by ECS than UNs. During the pandemic, both UOs and UNs decreased the proportion of long-distance trips.
(4)
Impact of ECS on the number of private cars
From an economic perspective, UNs thought that ECS was cheaper than private cars; thus, they did not want to buy private cars, as shown in column 29 and column 48 of Table 5. If ECS is reasonably matched to meet the travel demands of users, ECS can be used as a substitute for private cars. Liao et al. [27] show that if ECS can fulfill the demand for travel, it is likely to reduce the demand for car ownership. Therefore, it can achieve the goal of reducing the number of private cars and reducing the waste of resources to some extent.

5.2. Comparison between UNPs and UNNs Based on the Logit Model

Due to the heterogeneity between UOs and UNs, it is more accurate to separately analyze the differences between those who prefer ECS and those who do not prefer ECS. Based on the questionnaire, UNs are divided based on whether they prefer to choose ECS when they need to travel by car. The logit model is used to construct the classification prediction model. Based on the results, the accuracy meets the requirements. The GFI is −2 times the log-likelihood, which is 25.040. The Cox and Snell R-squared is 0.649. The Nagelkerke R-squared is 0.885. The overall fitting accuracy is 95.6%.
Conclusions regarding the differences between UNPs and UNNs can be drawn based on Table 7.
(1)
UNPs chose ECS because of their preference for private space, for travel alone, and because of the lower delay and waiting time. Driving family members and ensuring sufficient power attracted UNPs.
(2)
UNNs preferred to travel by ECS when carrying luggage, and a discount was offered.
(3)
UNPs believed that it is safer to use ECS during the pandemic. Increasing the number of vehicles at a station prompted them to use ECS.

5.3. Comparison between UOPs and UONs Based on the Logit Model

Based on the questionnaire, UOs are divided based on whether they prefer to choose ECS when they need to travel by car. The logit model is used to construct the classification prediction model. Based on the results, the accuracy meets the requirements.
The GFI is −2 times the log likelihood, which is 29.261. The Cox and Snell R-squared is 0.605. The Nagelkerke R-squared is 0.832. The overall fitting accuracy is 91.1%.
Conclusions regarding the differences between UOPs and UONs can be drawn based on Table 8.
(1)
When it is difficult to find parking spaces for private cars, UOPs preferred to use ECS. This conclusion is consistent with Liao et al. [27]. Kim [28] illustrates that the number of parking spaces has a negative relationship with ECS. Therefore, areas with a shortage of parking spaces have a high demand for ECS.
(2)
UONs preferred to use ECS to go shopping or to take a one-way plane or train trip.
(3)
UOPs chose ECS during the pandemic because it is safe. During the pandemic, UOPs did not give up ECS and only used private cars.

6. Discussions

The objective of this study is to obtain a deeper understanding of the ECS travel characteristics during the COVID-19 pandemic. Furthermore, we investigate the effect of private car ownership on ECS choice behaviors. The ECS system is operated by a business entity. Understanding the impact of private car ownership on ECS choice behavior can assist ECS operators in optimizing operation strategy, including ECS demand prediction and vehicle distribution plans. Understanding the impact of the ownership of private cars on the ECS choice behavior can help the ECS operator optimize operation strategy, including the ECS demand prediction and vehicle distribution plans. Moreover, exploring the preference of ECS users can assist the operator in developing user-related strategies to maximize profit. In this study, it is possible to draw business strategies in terms of four aspects, namely, pick-up and drop-off times, travel purposes, influencing factors, and sociality. The differences in user behavior before and after the outbreak of the COVID-19 pandemic are introduced.
Pick-up and drop-off times: There are differences in the spatiotemporal demands of UOs and UNs. For UOs, the pick-up time is distributed in the morning and evening peaks. For UNs, it is distributed in flat periods. During the pandemic, the total number of orders declined. Moreover, compared with the number of orders before the pandemic, the pick-up time was more concentrated between 10:00 and 18:00. During the pandemic, the pick-up time was more dispersed. In addition, there was variation in the travel proportion by weekday. Great demands occurred on Saturdays and Mondays. Compared with UOs, UNs preferred to use ECS on Saturdays. During the pandemic, UOs increased the proportion during workdays. Understanding the differences in user travel time can help in formulating scheduling plans based on the spatiotemporal differences in demand.
Travel purposes: UNs uses ECS to travel, visit relatives and friends, drive family members, and carry luggage. UOs used ECS to commute during nonoperating bus hours and to take one-way train and plane trips. Some UOs preferred to use ECS when it is difficult to find parking spaces for private cars. Therefore, large-capacity models can be located in places where private car nonusers gather. There are UOs who prefer to use ECS to commute; thus, vehicles can be properly dispatched during commuting. Small cars are the main vehicle type that fully meets such users’ demands. When it is difficult to find a parking space for a private car, UOPs preferred to use ECS. Therefore, ECS stations can be set up in densely populated areas where parking spaces are difficult to find, such as commercial areas and scenic spots.
Influencing factors: For ECS users, among the main considerations, driving time, price, and comfort account for a large proportion. UOs paid more attention to walking distance than UNs. UNs chose ECS because they want to have the travel experience of a private car, that is, private space and a lower delay time. Users with cars are more concerned about the number of vehicles available, while users without cars have higher requirements for hygiene and car types.
During the pandemic, UNs believed that ECS is a safe way to travel that makes it possible to avoid personal contact. Therefore, UNs increased the proportion of ECS. When driving family members, UNs preferred to use ECS. During the pandemic, UNs reduced the number of bus trips due to the clustering of people on buses. For safe traveling during the pandemic, increasing disinfection efforts increased the proportion of UNs choosing ECS. During the pandemic period, UOs seldom choose ECS when going out. They still prefer private cars.
Sociality: ECS users generally believe that ECS is a clean and environmentally friendly travel tool. A large proportion of UNs do not want to buy a private car because of ECS. When ECS can meet the travel demands of UNs, the goal of reducing the number of private cars can be achieved.
The management policies can be implied according to the analysis results as follows.
First, the ownership of private cars has a significant impact on ECS travel behaviors. In order to make the vehicle distribution strategy, ECS operators should know about the vehicle ownership status of the users. The vehicles can be relocated to the stations at specific times according to the travel behaviors of UOs and UNs. Due to the number of vehicles being limited, the matching between demand and vehicles is designed based on the analysis of ECS travel behaviors. For example, UNs prefer to use ECS on Saturdays compared with UOs. So, more vehicles should gather at the pick-up stations of UNs on Saturdays.
Second, UNs and UOs have different travel purposes when traveling by ECS. Different types of vehicles should be configured in fleet configuration. UNs prefer to choose large-size vehicles. UOs use ECS to commute and take one-way trains. Therefore, small-size vehicles can satisfy the demand of UOs. Multi-type vehicles are recommended to configure the fleet.
Third, during the pandemic, UNs increase the proportion of ECS, while UOs seldom chose ECS. Therefore, it is possible to increase the number of vehicles in UN areas during the pandemic period, which will help attract car users. At the same time, vehicles can be allocated in a timely manner to ensure user satisfaction.

7. Conclusions

This study focuses on the travel characteristics of ECS between private car owners and nonowners under the influence of COVID-19. Preference analysis of car-sharing users is performed using order data and survey data. ECS should be used as a supplement to and substitute for private cars. The focus of the business strategy should be integrating ECS into the urban transportation system.
This study analyses ECS users and obtains the difference in the travel characteristics of users based on three models. First, it is found that there are large differences in the travel behavior of UOs and UNs. Vehicle resources can be rationally allocated based on the differences in spatiotemporal characteristics of travel. Diversified demands are analyzed based on order data and survey data. Second, this study builds two models to predict users who prefer and users who do not prefer ECS, which will help operators construct user-centric management strategies. This study believes that ECS and private cars will coexist for a period of time. ECS can be used as a supplement to and substitute for private cars. Reasonable suggestions are provided for ECS operators. Complementary advantages can better optimize the urban traffic structure; thus, researchers should focus on studying the rational allocation of resources due to travel differences.
Due to the limited survey data, this study may have limits on the generalizability of the results. We combine user survey data and order data to verify the results. In future research, we will continue to conduct surveys and design more variables to explore the characteristics of users in other cities. Additionally, after obtaining user orders, the demand for ECS will be predicted based on pandemic control efforts. A time series model of ECS will be constructed under the influence of the pandemic.

Author Contributions

Conceptualization, J.B.; Methodology, Q.S.; Validation, X.Z., W.G. and C.L.; Writing—original draft, Q.S.; Writing—review & editing, J.B. and X.Z.; Supervision, J.B. All authors have read and agreed to the published version of the manuscript.

Funding

This research was funded by the National Natural Science Foundation of China (Nos. 72171019) and the Norwegian Agency for International Cooperation and Quality Enhancement in Higher Education (Diku) (No. UTF-2020/10115).

Data Availability Statement

The data is not available due to business data privacy.

Conflicts of Interest

The authors declare no conflict of interest.

Appendix A

The survey is as follows. The answer to all of the questions was yes (x = 1) or no (x = 0).
Table A1. The content of the questionnaire.
Table A1. The content of the questionnaire.
CategoryVariablesQuestionnaire Content
OPDo you own a private car?
FDo you choose ECS as your preferred means of transportation for driving trips?
AimA1-CYou used ECS before the pandemic with the aim of commuting.
A2-AYou used ECS before the pandemic with the aim of driving travel alone.
A3-SYou used ECS before the pandemic with the aim of going shopping.
A4-OYou used ECS before the pandemic with the aim of taking a one-way plane or train trip.
A5-VYou used ECS before the pandemic with the aim of visiting friends and relatives.
A6-TWhen do you choose to travel by ECS? When I am traveling.
A7-LWhen do you choose to travel by ECS? When I am carrying luggage.
A8-FWhen do you choose to travel by ECS? When I am driving family members.
A9-BWhen do you choose to travel by ECS? When I am going on business travel.
A10-PWhen do you choose to travel by ECS? When public transport is not operating.
ComfortableC1-CThe following is an important consideration in choosing ECS—comfort.
C2-PThe following is an important consideration in choosing ECS—private space.
C3-AThe following is an important consideration in choosing ECS –driving alone.
C4-WThe following is an important consideration in choosing ECS—walking distance.
C5-RYou will increase the percentage of your ECS usage to reduce your walking distance.
C6-SYou will increase the percentage of your ECS usage to have improved sanitary conditions.
C7-IYou choose ECS during the pandemic because driving alone can avoid cross-infection.
C8-BWhen will you choose ECS? During bad weather.
C9-TYou will increase the percentage of your ECS usage to increase your vehicle types.
E-AimEA1-CYou have used ECS during the pandemic with the aim of commuting.
EA2-TYou have used ECS during the pandemic with the aim of self-driving travel.
EA3-SYou have used ECS during the pandemic with the aim of going shopping.
EA4-OYou have used ECS during the pandemic with the aim of taking a one-way plane or train.
EA5-VYou have used ECS during the pandemic with the aim of visiting friends and relatives.
EA6-PYou have used ECS during the pandemic with the aim of avoiding wasting time on public transportation.
EA7-LYou have used ECS during the pandemic with the aim of making it easy to carry luggage.
EA8-FYou have used ECS during the pandemic with the aim of driving family members.
PricePri1-RYou will increase the percentage of your ECS use to reduce fees.
Pri2-CWhen do you choose ECS? When it is cheaper than using a private car.
Pri3-TWhen do you choose ECS? When it is cheaper than a taxi.
Pri4-FThe following is an important consideration in choosing ECS—fees.
ReliableR1-MYou will increase the percentage of your ECS use when more cars are available.
R2-PWhen do you choose ECS? When it is hard to find a parking spot for a private car.
R3-DThe following is an important consideration in choosing your travel mode—the travel duration.
R4-PThe following is an important consideration in choosing ECS—there is no need to worry about parking.
R5-WThe following is an important consideration in choosing ECS—the delay time (including waiting time).
R6-CYou will increase the percentage of your ECS used to guarantee enough charge.
R7-EWhen do you choose ECS? During an emergency.
R8-BWhen do you choose ECS? When taking a bus wastes time.
SafeS1-SI would like to spend the time to receive education on standard driving and safe driving while ECS.
S2-IYou choose ECS during the pandemic because ECS makes it possible to avoid cross-infection and is safer.
S3-DDuring the pandemic, I will increase my proportion of ECS use if more efforts are made to disinfect the vehicles.
S4-MYou will increase the percentage of your ECS use if the vehicles are regularly maintained.
S5-UDuring the pandemic, I have given up public transportation because it is unsafe due to the crowds of people.
S6-GDuring the pandemic, for safety reasons, I have tried my best to give up ECS and use private cars instead.
SocialW1-CeYou think electric ECS vehicles are clean energy and environmentally friendly.
W2-TcYou think electric ECS vehicles can reduce urban traffic congestion.
W3-BpYou choose ECS because you do not want to buy a private car.

References

  1. Rahimi, E.; Shabanpour, R.; Shamshiripour, A. Perceived risk of using shared mobility services during the COVID-19 pandemic. Transp. Res. Part F Traffic Psychol. Behav. 2021, 81, 71–281. [Google Scholar] [CrossRef] [PubMed]
  2. Hu, S.; Chen, P. Who left riding transit? Examining socioeconomic disparities in the impact of COVID-19 on ridership. Transp. Res. Part D Transp. Environ. 2021, 90, 102654. [Google Scholar] [CrossRef]
  3. Garaus, M.; Garaus, C. The Impact of the COVID-19 Pandemic on Consumers’ Intention to Use Shared-Mobility Services in German Cities. Front. Psychol. 2021, 12, 367. [Google Scholar] [CrossRef] [PubMed]
  4. Zhou, F.; Zheng, Z.; Whitehead, J.; Perrons, R.K.; Washington, S.; Page, L. Examining the impact of car-sharing on private vehicle ownership. Transp. Res. Part A Policy Pract. 2020, 138, 322–341. [Google Scholar] [CrossRef]
  5. Wang, W.; Zhang, Q.; Peng, Z.; Shao, Z.; Li, X. An empirical evaluation of different usage pattern between car-sharing battery electric vehicles and private ones. Transp. Res. Part A Policy Pract. 2020, 135, 115–129. [Google Scholar] [CrossRef]
  6. Kopp, J.; Gerike, R.; Axhausen, K.W. Do sharing people behave differently? An empirical evaluation of the distinctive mobility patterns of free-floating car-sharing members. Transportation 2015, 42, 449–469. [Google Scholar] [CrossRef]
  7. Zhang, C.; Li, Y.; Cao, J.; Wen, X. On the mass COVID-19 vaccination scheduling problem. Comput. Oper. Res. 2022, 141, 105704. [Google Scholar] [CrossRef]
  8. Kim, J.; Rasouli, S.; Timmermans, H. Satisfaction and uncertainty in car-sharing decisions: An integration of hybrid choice and random regret-based models. Transp. Res. Part A Policy Pract. 2017, 95, 13–33. [Google Scholar] [CrossRef]
  9. Le Vine, S.; Lee-Gosselin, M.; Sivakumar, A.; Polak, J. A new approach to predict the market and impacts of round-trip and point-to-point CS systems: Case study of London. Transp. Res. Part D Transp. Environ. 2014, 32, 218–229. [Google Scholar] [CrossRef]
  10. Münzel, K.; Piscicelli, L.; Boon, W.; Frenken, K. Different business models—Different users? Uncovering the motives and characteristics of business-to-consumer and peer-to-peer CS adopters in The Netherlands. Transp. Res. Part D Transp. Environ. 2019, 73, 276–306. [Google Scholar] [CrossRef]
  11. Google. Google COVID-19 Community Mobility Report. 2020. Available online: https://www.google.com/Covid19/mobility/ (accessed on 27 December 2020).
  12. Fleury, S.; Tom, A.; Jamet, E.; Colas-Maheux, E. What drives corporate CS acceptance? A French case study. Transp. Res. Part F Traffic Psychol. Behav. 2017, 45, 218–227. [Google Scholar] [CrossRef]
  13. Heinrichs, M.; Von Schmidt, A.; Krajzewicz, D.; Cyganski, R. Introduction of car sharing into existing car fleets in microscopic travel demand modelling. Pers. Ubiquitous Comput. 2017, 21, 1055–1065. [Google Scholar] [CrossRef]
  14. Luca, S.D.; Pace, R.D. Modelling users’ behavior in inter-urban CS program: A stated preference approach. Transp. Res. Part A 2015, 71, 59–76. [Google Scholar]
  15. Namazu, M.; MacKenzie, D.; Zerriffi, H.; Dowlatabadi, H. Is CS for everyone? Understanding the diffusion of CS services. Transp. Policy 2018, 63, 189–199. [Google Scholar] [CrossRef]
  16. Shaheen, S.; Cano, L.; Camel, M. Exploring electric vehicle carsharing as a mobility option for older adults: A case study of a senior adult community in the San Francisco Bay Area. Int. J. Sustain. Transp. 2016, 10, 406–417. [Google Scholar] [CrossRef]
  17. Acheampong, R.A.; Siiba, A. Modelling the determinants of car-sharing adoption intentions among young adults: The role of attitude, perceived benefits, travel expectations and socio-demographic factors. Transportation 2020, 47, 2557–2580. [Google Scholar] [CrossRef]
  18. Jin, F.; Yao, E.; An, K. Analysis of the potential demand for battery electric vehicle sharing: Mode share and spatiotemporal distribution. J. Transp. Geogr. 2020, 82, 102630. [Google Scholar] [CrossRef]
  19. Burghard, U.; Duetschke, E. Who wants shared mobility? Lessons from early adopters and mainstream drivers on electric CS in Germany. Transp. Res. Part D 2019, 71, 96–109. [Google Scholar] [CrossRef]
  20. Qian, C.; Li, W.; Ding, M.; Hui, Y.; Xu, Q.; Yang, D. Mining CS Use Patterns from Rental Data: A Case Study of Chefenxiang in Hangzhou, China. Transp. Res. Procedia 2017, 25, 2587–2606. [Google Scholar] [CrossRef]
  21. Hui, Y.; Wang, W.; Ding, M.; Liu, Y. Behavior Patterns of Long-term Car-sharing Users in China. Transp. Res. Procedia 2017, 25, 4662–4678. [Google Scholar] [CrossRef]
  22. Chicco, A.; Diana, M. Air emissions impacts of modal diversion patterns induced by one-way car sharing: A case study from the city of Turin. Transp. Res. Part D Transp. Environ. 2021, 91, 102685. [Google Scholar] [CrossRef]
  23. Abbasi, S.; Ko, J.; Kim, J. Carsharing station location and demand: Identification of associated factors through Heckman selection models. J. Clean. Prod. 2021, 279, 123846. [Google Scholar] [CrossRef]
  24. Ye, J.; Wang, D.; Li, X.; Axhausen, K.W.; Jin, Y. Assessing one-way carsharing’s impacts on vehicle ownership: Evidence from Shanghai with an international comparison. Transp. Res. Part A Policy Pract. 2021, 150, 16–32. [Google Scholar] [CrossRef]
  25. Hossain, M. The effect of the COVID-19 on sharing economy activities. J. Clean. Prod. 2021, 280, 124782. [Google Scholar] [CrossRef]
  26. Esfandabadi, Z.; Ranjbari, M.; Scagnelli, S. The pandemic implications for carsharing: An Italian Context. Future Transp. 2023, 3, 274–285. [Google Scholar] [CrossRef]
  27. Liao, F.; Molin, E.; Timmermans, H.; van Wee, B. CS: The impact of system characteristics on its potential to replace private car trips and reduce car ownership. Transportation 2020, 47, 935–970. [Google Scholar] [CrossRef]
  28. Kim, K. Can CS meet the mobility needs for the low-income neighborhoods? Lessons from CS usage patterns in New York City. Transp. Res. Part A Policy Pract. 2015, 77, 249–260. [Google Scholar] [CrossRef]
Figure 1. Study area and ECS stations.
Figure 1. Study area and ECS stations.
Wevj 14 00144 g001
Figure 2. Framework of the analyses.
Figure 2. Framework of the analyses.
Wevj 14 00144 g002
Figure 3. Structure of the SEM.
Figure 3. Structure of the SEM.
Wevj 14 00144 g003
Figure 4. ECS travel aim before the pandemic (a) and during the pandemic (b).
Figure 4. ECS travel aim before the pandemic (a) and during the pandemic (b).
Wevj 14 00144 g004
Figure 5. The reasons for choosing ECS before the pandemic (a) and after the pandemic (b).
Figure 5. The reasons for choosing ECS before the pandemic (a) and after the pandemic (b).
Wevj 14 00144 g005
Figure 6. Social attitudes of ECS users.
Figure 6. Social attitudes of ECS users.
Wevj 14 00144 g006
Figure 7. Among ECS users, the spatiotemporal distribution of pick-up stations for UNs (a), pick-up stations for UOs (b), return stations for UNs (c), and return stations for UOs (d) in November 2019.
Figure 7. Among ECS users, the spatiotemporal distribution of pick-up stations for UNs (a), pick-up stations for UOs (b), return stations for UNs (c), and return stations for UOs (d) in November 2019.
Wevj 14 00144 g007
Figure 8. Among ECS users, the spatiotemporal distribution of pick-up stations for UNs (a), pick-up stations for UOs (b), return stations for UNs (c), and return stations for UOs (d) in February 2020.
Figure 8. Among ECS users, the spatiotemporal distribution of pick-up stations for UNs (a), pick-up stations for UOs (b), return stations for UNs (c), and return stations for UOs (d) in February 2020.
Wevj 14 00144 g008
Figure 9. Variation in travel proportion by weekday in (a) November 2019, (b) December 2019, (c) February 2020, and (d) March 2020.
Figure 9. Variation in travel proportion by weekday in (a) November 2019, (b) December 2019, (c) February 2020, and (d) March 2020.
Wevj 14 00144 g009
Figure 10. Type and usage percentage of ECS in November 2019 (a) and February 2020 (b).
Figure 10. Type and usage percentage of ECS in November 2019 (a) and February 2020 (b).
Wevj 14 00144 g010
Figure 11. Demand changes: (a) all users’ demand changes at 58 stations over 8 months; (b) respondents’ demand changes at 58 stations over 8 months; (c) all users’ demand changes for 24 h over 8 months; and (d) respondents’ demand changes for 24 h over 8 months.
Figure 11. Demand changes: (a) all users’ demand changes at 58 stations over 8 months; (b) respondents’ demand changes at 58 stations over 8 months; (c) all users’ demand changes for 24 h over 8 months; and (d) respondents’ demand changes for 24 h over 8 months.
Wevj 14 00144 g011
Figure 12. Variation in travel proportion by mileage in (a) November 2019, (b) December 2019, (c) February 2020, and (d) March 2020.
Figure 12. Variation in travel proportion by mileage in (a) November 2019, (b) December 2019, (c) February 2020, and (d) March 2020.
Wevj 14 00144 g012
Table 1. Example of order data.
Table 1. Example of order data.
User IDTelCar IDTimeRental StationReturn StationDuration/min
1034355340011918810652145car_543545 March 2020 9:58:08Baiyun stationBaohua station186
Table 2. Variables and their explanations are shown in Figure 4.
Table 2. Variables and their explanations are shown in Figure 4.
VariablesQuestionnaire Content
A1-CYou used ECS before the pandemic with the aim of commuting.
A2-AYou used ECS before the pandemic with the aim of driving travel alone.
A3-SYou used ECS before the pandemic with the aim of going shopping.
A4-OYou used ECS before the pandemic with the aim of taking a one-way plane or train trip.
A5-VYou used ECS before the pandemic with the aim of visiting friends and relatives.
Table 3. Variables and their explanations are shown in Figure 5.
Table 3. Variables and their explanations are shown in Figure 5.
VariablesQuestionnaire Content
C1-CThe following is an important consideration in choosing ECS—comfort.
C2-PThe following is an important consideration in choosing ECS—private space.
C3-AThe following is an important consideration in choosing ECS—driving alone.
C4-WThe following is an important consideration in choosing ECS—walking distance.
C6-SYou will increase the percentage of your ECS usage to have improved sanitary conditions.
EA7-LYou have used ECS during the pandemic with the aim of making it easy to carry luggage.
EA8-FYou have used ECS during the pandemic with the aim of driving family members.
Pri4-FThe following is an important consideration in choosing ECS—fees.
R3-DThe following is an important consideration in choosing your travel mode—the travel duration.
R5-WThe following is an important consideration in choosing ECS—the delay time (including waiting time).
R8-BWhen do you choose ECS? When taking a bus wastes time.
S2-IYou choose ECS during the pandemic because ECS makes it possible to avoid cross-infection and is safer.
Table 4. Variables and their explanations are shown in Figure 6.
Table 4. Variables and their explanations are shown in Figure 6.
VariablesQuestionnaire Content
W1-CeYou think electric ECS vehicles are clean energy and environmentally friendly.
W2-TcYou think electric ECS vehicles can reduce urban traffic congestion.
W3-BpYou choose ECS because you do not want to buy a private car
Table 5. Results of the SEM.
Table 5. Results of the SEM.
ColVariableQuestionnaire ContentEstimateS.E.C.R.p
1A1-CYou used ECS before the pandemic with the aim of commuting.0.1550.0752.0620.039
2A2-AYou used ECS before the pandemic with the aim of driving travel alone.−0.3030.07−4.312***
3A3-SYou used ECS before the pandemic with the aim of going shopping.0.0090.0750.1260.9
4A4-OYou used ECS before the pandemic with the aim of taking a one-way plane or train trip.0.1670.0722.3230.02
5A5-VYou used ECS before the pandemic with the aim of visiting friends and relatives.−0.2060.075−2.7460.006
6A6-TWhen do you choose to travel by ECS? When I am traveling.−0.1950.06−3.240.001
7A7-LWhen do you choose to travel by ECS? When I am carrying luggage.−0.0950.075−1.2550.209
8A8-FWhen do you choose to travel by ECS? When I am driving family members.−0.3340.072−4.605***
9A9-BWhen do you choose to travel by ECS? When I am going on business travel.−0.0450.046−0.9770.329
10A10-PWhen do you choose to travel by ECS? When public transport is not operating.0.1820.0752.4170.016
11C1-CThe following is an important consideration in choosing ECS—comfort.−0.0210.077−0.2750.783
12C2-PThe following is an important consideration in choosing ECS—private space.−0.0750.077−0.9820.326
13C3-AThe following is an important consideration in choosing ECS—driving alone.−0.1740.073−2.3960.017
14C4-WThe following is an important consideration in choosing ECS—walking distance.0.050.0730.6830.495
15C5-RYou will increase the percentage of your ECS usage to reduce your walking distance.−0.0750.077−0.9820.326
16C6-SYou will increase the percentage of your ECS usage to have improved sanitary conditions.−0.1350.048−2.7860.005
17C7-IYou choose ECS during the pandemic because driving alone can avoid cross-infection.−0.1330.076−1.7570.079
18C8-BWhen will you choose ECS? During bad weather.−0.0380.075−0.5030.615
19C9-TYou will increase the percentage of your ECS usage to increase your vehicle types.−0.220.067−3.2790.001
20EA1-CYou have used ECS during the pandemic with the aim of commuting.0.0710.0760.940.347
21EA2-TYou have used ECS during the pandemic with the aim of self-driving travel.−0.2030.063−3.2070.001
22EA3-SYou have used ECS during the pandemic with the aim of going shopping.−0.0720.075−0.9630.336
23EA4-OYou have used ECS during the pandemic with the aim of taking a one-way plane or train.0.0860.0681.2610.207
24EA5-VYou have used ECS during the pandemic with the aim of visiting friends and relatives.−0.110.074−1.4840.138
25EA6-PYou have used ECS during the pandemic with the aim of avoiding wasting time on public transportation.0.0870.0691.2680.205
26EA7-LYou have used ECS during the pandemic with the aim of making it easy to carry luggage.−0.1830.075−2.4350.015
27EA8-FYou have used ECS during the pandemic with the aim of driving family members.−0.3010.071−4.255***
28Pri1-RYou will increase the percentage of your ECS use to reduce fees.−0.0830.077−1.0810.28
29Pri2-CWhen do you choose ECS? When it is cheaper than using a private car.−0.1550.071−2.1870.029
30Pri3-TWhen do you choose ECS? When it is cheaper than a taxi.−0.0970.073−1.3320.183
31Pri4-FThe following is an important consideration in choosing ECS—fees.−0.1330.076−1.7570.079
32R1-MYou will increase the percentage of your ECS use when more cars are available.0.1160.0761.5170.129
33R2-PWhen do you choose ECS? When it is hard to find a parking spot for a private car.0.1190.0721.6510.099
34R3-DThe following is an important consideration in choosing your travel mode—the travel duration.−0.1340.073−1.8310.067
35R4-PThe following is an important consideration in choosing ECS—there is no need to worry about parking.0.570.05210.978***
36R5-WThe following is an important consideration in choosing ECS –the delay time (including waiting time).−0.0870.07−1.2480.212
37R6-CYou will increase the percentage of your ECS used to guarantee enough charge.−0.0670.077−0.8720.383
38R7-EWhen do you choose ECS? During an emergency.0.0450.0730.6070.544
39R8-BWhen do you choose ECS? When taking a bus wastes time.0.1210.0731.6610.097
40S1-SI would like to spend the time to receive education on standard driving and safe driving while ECS.−0.0490.075−0.6480.517
41S2-IYou choose ECS during the pandemic because ECS makes it possible to avoid cross-infection and is safer.−0.2290.074−3.0780.002
42S3-DDuring the pandemic, I will increase my proportion of ECS use if more efforts are made to disinfect the vehicles.−3.90.104−37.502***
43S4-MYou will increase the percentage of your ECS use if the vehicles are regularly maintained.−0.1020.07−1.4520.146
44S5-UDuring the pandemic, I have given up public transportation because it is unsafe due to the crowds of people.−3.4150.136−25.086***
45S6-GDuring the pandemic, for safety reasons, I have tried my best to give up ECS and use private cars instead.0.4940.0529.423***
46W1-CeYou think electric ECS vehicles are clean energy and environmentally friendly.−0.1370.074−1.8530.064
47W2-TcYou think electric ECS vehicles can reduce urban traffic congestion.−0.0750.071−1.060.289
48W3-BpYou choose ECS because you do not want to buy a private car0.2730.069−3.973***
Codes: *** Significant at 99% confidence level.
Table 6. The types and number of vehicles launched.
Table 6. The types and number of vehicles launched.
TypeNumberAttributes
EX26029Economical type, two seats
E C 200200Economical type, four seats
ZE20090Economical type, four seats, more expensive and comfortable than EC200
BYDE594Comfortable type, five seats
Table 7. Results of the logit model for UNPs and UNNs.
Table 7. Results of the logit model for UNPs and UNNs.
VariableQuestionnaire ContentBS.E.Waldp
Pri1-RYou will increase the percentage of your ECS used to reduce fees.2.5321.1734.6580.031
C2-PThe following is an important consideration in choosing ECS—private space.4.2172.0664.1650.041
C7-IYou choose ECS during the pandemic because driving alone can avoid cross-infection.4.1181.8844.7790.029
R5-WThe following is an important consideration in choosing ECS—the delay time (including waiting time).5.0192.0535.9770.014
R6-CYou will increase the percentage of your ECS used to guarantee enough charge.6.2292.8434.8020.028
Pri1-RYou will increase the percentage of your ECS use to reduce fees.−10.9574.7115.4090.020
Pri2-CWhen do you choose ECS? When it is cheaper than using a private car.−7.4373.2605.2030.023
S2-IYou choose ECS during the pandemic because ECS makes it possible to avoid cross-infection and is safer.15.8626.6035.7700.016
A7-LWhen do you choose to travel by ECS? When I am carrying luggage.−12.0705.2825.2210.022
A8-FWhen do you choose to travel by ECS? When I am driving family members.6.8633.0465.0750.024
constant −10.7584.4375.8800.015
Table 8. Results of the logit model for UOPs and UONs.
Table 8. Results of the logit model for UOPs and UONs.
VariableQuestionnaire ContentBS.E.Waldp
Pri1-RYou will increase the percentage of your ECS used to reduce fees.2.9351.0248.2070.004
R2-PWhen do you choose ECS? When it is hard to find a parking spot for a private car.−7.3943.0925.7190.017
S2-IYou choose ECS during the pandemic because ECS makes it possible to avoid cross-infection and is safer.8.3863.2276.7530.009
S5-UDuring the pandemic, I have given up public transportation because it is unsafe due to the crowds of people.−5.5111.9248.2030.004
W1-CeYou think electric ECS vehicles are clean energy and environmentally friendly.5.0161.8657.2320.007
A3-SYou used ECS before the pandemic with the aim of going shopping.4.6341.9435.6860.017
A4-OYou used ECS before the pandemic with the aim of taking a one-way plane or train trip.5.8482.1627.3160.007
constant −14.7135.1158.2740.004
Disclaimer/Publisher’s Note: The statements, opinions and data contained in all publications are solely those of the individual author(s) and contributor(s) and not of MDPI and/or the editor(s). MDPI and/or the editor(s) disclaim responsibility for any injury to people or property resulting from any ideas, methods, instructions or products referred to in the content.

Share and Cite

MDPI and ACS Style

Sai, Q.; Bi, J.; Zhao, X.; Guan, W.; Lu, C. Understanding Travel Behavior of Electric Car-Sharing Users under Impact of COVID-19. World Electr. Veh. J. 2023, 14, 144. https://doi.org/10.3390/wevj14060144

AMA Style

Sai Q, Bi J, Zhao X, Guan W, Lu C. Understanding Travel Behavior of Electric Car-Sharing Users under Impact of COVID-19. World Electric Vehicle Journal. 2023; 14(6):144. https://doi.org/10.3390/wevj14060144

Chicago/Turabian Style

Sai, Qiuyue, Jun Bi, Xiaomei Zhao, Wei Guan, and Chaoru Lu. 2023. "Understanding Travel Behavior of Electric Car-Sharing Users under Impact of COVID-19" World Electric Vehicle Journal 14, no. 6: 144. https://doi.org/10.3390/wevj14060144

APA Style

Sai, Q., Bi, J., Zhao, X., Guan, W., & Lu, C. (2023). Understanding Travel Behavior of Electric Car-Sharing Users under Impact of COVID-19. World Electric Vehicle Journal, 14(6), 144. https://doi.org/10.3390/wevj14060144

Article Metrics

Back to TopTop