Abstract
Vehicle drifting control has attracted wide attention, and the study methods are divided into expert-based and theory-based. In this paper, the vehicle drifting control was based on the vehicle drifting state characteristics. The vehicle drifting state parameters were obtained by the theory-based vehicle drifting motion mechanism analysis based on a nonlinear vehicle dynamics model, which was used to express the vehicle characteristics, together with the UniTire model, by considering the vehicle longitudinal, lateral, roll, and yaw motions. A vehicle drifting controller was designed by the model predictive control (MPC) theory and a linear dynamics model with the linearized expressions of nonlinear tire forces based on the consideration of measurable errors. The control targets were the vehicle drifting state parameters obtained by calculation, and the controller performance was proved by simulation in MATLAB/Simulink, demonstrating that the controller is good to realize vehicle drifting motions. The same target drifting motions were realized at different original states, which proved that the vehicle drifting control is possible with the designed controller.
1. Introduction
With the rise of autonomous driving technology and the increasing demand for vehicle motion performance, it is focused on the fact that the vehicle moves under drifting conditions which means slip ratios are large and tire forces reach the maximum.
The vehicle can accomplish the kind of drifting, fast turning that racing car drivers make in professional competitions, which provides a reference for the study. Professional drivers accurately control rear-wheel slip ratios and front-wheel steering angles to realize drift safely based on driving experiences, in which the vehicle has lost none of turning control ability and rear-axle forces reach the maximum. According to the reference, it needs to adjust the steering angle when tire forces reach the maximum to accomplish the vehicle drifting motion control. However, it is extremely easy to case vehicle rollover accidents during drifting motions. How to accomplish vehicle drifting motion control safely is the important content of the study.
The research methods are divided into two kinds, which are expert-based methods and the theory-based methods. Expert-based methods are applied gradually in the controller design, which teaches vehicle controllers to learn how to drive under limited conditions based on the operating data of racing car drivers. High-speed driving data of drivers’ behavior in circular cornering were collected by a measuring system and are available free online in [1], which provides references for similar studies. Most expert-based method studies designed controllers by learning vehicle operational drifting motions as professional drivers based on neural networks (NNs), such as references [2,3,4], which can achieve autonomous drifting motions accurately and safely. Expert-based methods can be applied to not only drifting control, such as papers [5,6], which can realize autonomous driving without operational data of drivers. However, expert-based methods in drifting control need so much operational data of drivers to retrain the controller if replacing different vehicles that it is very difficult for most research institutes and universities.
Theory-based methods are applied to analyze drifting motion mechanisms and to design controllers based on theoretical models, which can be independent of the operational data of drivers. To analyze the drifting motion mechanism, vehicle main status parameters need to be measured to maintain the vehicle equilibria in drifting motions. The vehicle can accomplish a circle drifting motion with constant state parameters including the velocity, sideslip angle, and yaw rate. Most studies obtained constant drifting parameters based on the equilibrium and stability analysis of a 3-DOF (degree of freedom) model with the neglect of rollovers, such as reference [7]. In addition, most controllers were designed to realize vehicle drifting motions in steady states based on the turning analysis of a 3-DOF model including longitudinal, lateral, and yaw motions, such as reference [8]. A mixed open-loop and closed-loop control strategy was presented based on the linear–quadratic regulator (LQR) theory to perform a transient drifting-corning trajectory in [9]. According to steady-state condition calculation, an LQR controller was designed to accomplish vehicle drifting motions in [10], and the LQR is the most commonly used in controller design. The problems of autonomous drifting and stabilization around an equilibrium state were studied and simulated in a 3D (three dimensions) car racing simulator in [11]. Based on the vehicle equilibrium analysis by phase portrait, a torque-vectoring-based control strategy was proposed to help the driver in high-sideslip maneuvers, namely in vehicle drifting conditions, in [12]. A model-free adaptive control algorithm was used to design a steady-state drifting controller based on the analysis of the vehicle drifting dynamics in [13]. Model predictive control (MPC) is widely used in the automotive industry in [14]. The MPC theory was applied to design an open-loop controller to achieve accurate vehicle drift to the parking position in [15], but the open-loop control system lacks the self-correction ability. A robust controller based on LMIs (linear matrix inequality) was designed to realize the vehicle drifting motions by considering uncertain disturbances in [16], which requires a greater computer because of the computational complexity. Although there are the T-S fuzzy model and the LPV method, which can reduce the computational complexity of robust controllers such as reference [17], there are so many variable parameters in the controller model in this paper and [16] that these methods are not applicable. Considering the computational complexity and the self-correction ability, the controller is a close-loop controller based on the MPC theory with measurable errors.
From the above analysis, the paper studies how to realize the vehicle drifting motions by analyzing the vehicle drifting motion mechanism and designing a suitable controller based on the MPC theory. The vehicle dynamics model was established by considering longitudinal, lateral, roll, and yaw motions and rolling safety with the nonlinear tire model UniTire. The vehicle drifting motion mechanism was analyzed to obtain the vehicle drifting state parameters by the theory-based method, as shown in a previous study [16]. The paper designs a drifting controller based on the MPC theory with measurable errors to accomplish the optimal tracking problem of target drifting motions, and the controller was proved by MATLAB/Simulink simulations.
2. Vehicle Dynamics Model
The vehicle dynamics model can express the vehicle characteristics, which is the basis of the drifting mechanism analysis and the drifting controller design. This section describes the vehicle drifting dynamic characteristics by a vehicle nonlinear dynamics model with the UniTire model, which is a nonlinear tire model to express the tire dynamics characteristics during complex wheel motions.
2.1. Vehicle Dynamics Equations
The vehicle drifting analysis was based entirely on an applicable vehicle dynamics model, which also took the place of the real car in simulation and played an important role in the controller design. The vehicle dynamics model was used to describe the dynamics characteristics of the real car with simplification. The longitudinal and lateral vehicle velocities were variational, and the vehicle was rotational around the vertical direction and was dangerous because of the rotation around the longitudinal direction. To ensure rolling safety, there was no one side tire off the ground during the vehicle drifting motions in this paper.
The 4-DOF vehicle nonlinear dynamics model was established to describe the vehicle longitudinal, lateral, yaw, and rolling motions with the nonlinear tire model in Figure 1. The chassis coordinate system is expressed by the x-y-z coordinate system, the vehicle longitudinal direction is expressed by the x axis, and the vehicle lateral direction is expressed by the y axis, as shown in [16]. The coordinate systems of the front and rear tires are expressed by the xtf-ytf and the xtr-ytr coordinate systems, respectively, and the tire revolution directions are expressed by the xtf-axis and the xtr-axis.
Figure 1.
Vehicle dynamics model: (a) perspective view; (b) plan view.
The vehicle dynamics equations are as shown in Equations (1)–(4) to describe vehicle dynamics characteristics in Figure 1:
where is the vehicle mass, is the vehicle body mass (sprung mass), is the vehicle sideslip angle, is the vehicle yaw rate, is the vehicle roll angle, is the front-wheel steering angle, is the vehicle velocity, and are the distances from gravity center to the front and rear axles, respectively, is the height of the gravity center from the roll axis, , , and are moments of inertia with respect to the roll and yaw axes, , , , , , and are the longitudinal, lateral, and vertical forces at front and rear tire, respectively, and are the suspension roll stiffness and roll damping coefficients, respectively, is the aerodynamic drag force, and , , and are the air density, the aerodynamic drag coefficient, and the frontal area of the vehicle, respectively.
Considering the load transfer caused by the lateral force, the front- and rear-axle normal loads are expressed as:
where is the height of the gravity center, and is the vehicle longitudinal force shown as Equation (1).
The tire velocities along the wheel’s longitudinal and lateral axes of the front and rear wheels are given as follows:
where , , , and are the longitudinal and lateral velocities of the front and rear wheel centers, respectively.
2.2. Tire Force
UniTire, a unified nonlinear tire model, can calculate longitudinal and lateral tire forces and overturning, rolling resistance, and aligning tire moments and be applied to vehicle dynamics simulation and control under complex wheel motion inputs in [18]. In this paper, the tire model was applied to calculate longitudinal and lateral tire forces with the neglect of tire moments. With the consideration of longitudinal and lateral tire motions, the tire coordinate system is described in Figure 2, and the tire model is described as follows. The index was adopted to denote the front and rear axles, respectively, to simplify expressions.
Figure 2.
Tire coordinate system.
The longitudinal and lateral slip ratios, and and the normalized longitudinal, lateral, and combined slip ratios, , , and , at each tire are defined as [19]:
where is the wheel rotation angular velocity, is the wheel effective rolling radius, and are the longitudinal slip and cornering stiffness of the tire, respectively, and and are the longitudinal and lateral friction coefficients between tire and road surface, respectively.
In the simplified physical tire model as [19], the longitudinal and lateral forces are described as:
where is the normalized resultant force at the tire.
Satisfactory with the boundary condition of the physical tire model in [20], the semi-physical expression of the UniTire tire model is described as:
where is the curvature factor of the combined slip resultant force, and is the modification factor to express the variation trend of the resultant force.
To obtain a more accurate tire description, Equation (11) was applied to the vehicle dynamics model in simulations. In addition, to simplify the drifting motion analysis, the simplified longitudinal and lateral tire forces were employed. The utilization of the friction coefficient at each tire stays the same at the ultimate value in drifting, so that the force on each tire reaches its maximum. Combining Equations (8)–(10), the longitudinal, lateral, and resultant forces on each tire are derived as:
where is the friction coefficient between the tire and the road surface.
2.3. Roll Safety Analysis
Vehicle wheels lift off from the ground more often than not as a result of large rolling motion under drift conditions. The vehicle has a risk of rollover, when the vertical force on one side wheel equals zero, otherwise, there is no risk [21,22,23]. Therefore, the vehicle roll model is classified into two conditions: before and after the wheel lift-off, as shown in Figure 3a,b.
Figure 3.
Roll dynamics model: (a) before the wheel lift-off; (b) after the wheel lift-off. The vehicle postures with gray broken lines express the vehicle motions without rolling.
The roll dynamics expression after the wheel lift-off in Figure 3b is shown as the follow:
where and are moments of inertia with respect to the roll and yaw axes after wheel lift-off, respectively.
Combined with Equations (13) and (4), the relational expression between the safe roll angle, the safe roll rate, and the safe roll angular acceleration in critical states can be obtained.
3. Vehicle Drifting Based on Model Predictive Control
This section designs a controller based on the model predictive control theory to realize drifting motions. The vehicle model is nonlinear, and the control model is linear to simplify the controller design.
The control system was described as a state-space representation with a linearized tire model to optimize the controller design. The linearized tire model was obtained based on the UniTire model, which is similar to the linearized lateral tire force as shown in [24]. Based on Section 2.2, the longitudinal tire force mainly relates to the longitudinal slip ratio, while the lateral tire force mainly relates to the slip angle, when the vertical force, the tire velocity, and the friction coefficient are invariant. The linearized expressions of the longitudinal and lateral tire forces are derived as Equation (14)
where the linearized expressions are based on approximation points, is the TYDEX longitudinal slip ratio, and are the approximate values of the longitudinal tire force and the lateral tire force, and , , , , , and are the known slip ratio, slip angle, slip stiffness, cornering stiffness, longitudinal force, and lateral force of the approximate point, respectively. The relationship between the slip angle and the approximate value of the lateral tire force and the relationship between the slip ratio and the approximate value of the longitudinal tire force are shown in Figure 4.
Figure 4.
The UniTire tire model with an affine approximation: (a) the longitudinal tire force at ; (b) the lateral tire force at .
Combing Equations (1)–(4) and (14), the vehicle continuous-time state space representation is shown as:
where , , and are the state vector, the input vector, and the output vector, respectively, is the measurable error vector, and the state-space vehicle model is suitable for this study though the nonlinear transformation with the Jacobian matrices , , and .
The discrete-time model of the above continuous-time model is shown as:
where , , and with sampling time .
Based on the fundamental of MPC, the latest measured value is the initial condition and the predictive horizon and control horizon are and while predictive horizon is less than or equal to control horizon .
The cost function to be minimized is designed as:
where and are the target values of and , respectively.
The predictive output of the vehicle dynamic system is derived as:
where .
In order to calculate the minimum value of the cost function, the following is proposed:
where and .
Integrating Equations (18) and (19), the following equation can be obtained as:
In addition, the cost function in Equation (17) becomes . The optimal solution is derived as:
The extremum condition of Equation (21) is shown as:
The matrix is the non-zero, and thus, the second derivative is as follows:
Therefore, the solution of Equation (21) is the minimum solution of Equation (17), and the sequence of the optimal input vectors can be obtained:
The weight coefficients in the matrices and take an important part in the solution of Equation (24), and the real-time computational burden depends on the values of predictive horizon and control horizon . Through enough computation, the solution can be obtained.
Equation (24) is the solution of the open-loop system. This study designs a close-loop controller, and the first sample of Equation (24) can be used to compute the optimal steering angle and slip ratios to control vehicle drifting motions, which is equivalent to predictive horizon equaling to one with the real-time computing.
4. Results
The driving performance of the vehicle drifting is shown as follows by analyzing the motion mechanism, and the satisfying performance of the MPC controller was expressed as the simulation results in MATLAB/Simulink.
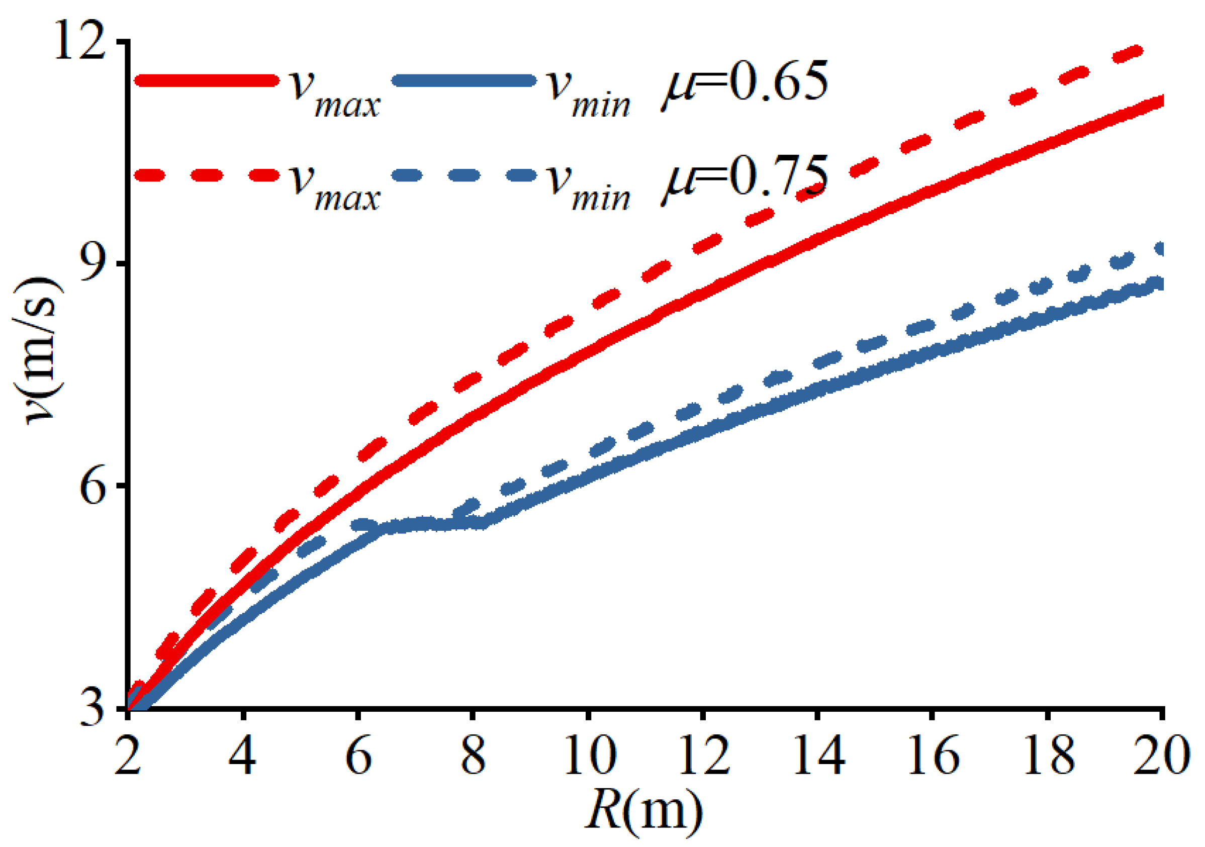
The vehicle main parameters are shown in Table 1. The vehicle drifting motion mechanism was analyzed in [16]. Considering the absolute maximum steering angle was 0.7 rad in practice, the velocity limitations are shown in Figure 5, which was obtained by the calculation to describe the maximum and minimum velocities of the vehicle in steady-state drifting motions in different road conditions and suggested the vehicle drifting motion can improve the vehicle dynamics performance.
Table 1.
The main parameters of the vehicle in simulations.
Figure 5.
The velocity limitations in steady-state drifting motions in different road conditions. The vehicle can drift at greater velocities with better road conditions.
The main vehicle state parameters in drifting motions were obtained by analyzing the drifting mechanism. There were four groups of vehicle drifting state parameters in Table 2 to reveal the characteristics of the vehicle drifting state parameters. Group (a) was one group of Figure 5 to suggest the maximum velocity when the circle equaled 12 m in the steady-state drifting motion, and group (b) was one group in Figure 5 to suggest the minimum velocity. Groups (c) and (d) were randomly chosen among all analysis results as target groups in simulations to verify the controller performance. All TYDEX longitudinal slip ratios of the rear tires in groups (a), (b), (c), and (d) were obtained by matching the theoretical tire forces and the UniTire model.
Table 2.
The main state parameters of the vehicle drifting.
All original states were uniform linear motions with different velocities to verify the controller performance. The 6 m/s original velocity was lower than the target in group (c), the second original velocity equaled 10 m/s and was higher than the target in group (c), and the original velocity equaling 8.1 m/s was very close to the target in group (c), of which the main intention was to demonstrate that the designed controller can be used to realize the vehicle drifting motions with different no-limited original states. The last two simulations with 9 m/s and 13.7 m/s original velocities for the target groups (d) and (e), respectively, were to verify that the controller can realize more than just a target drifting motion.
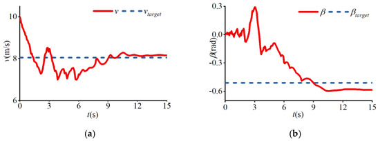
The simulation results, shown in Figure 6, Figure 7 and Figure 8, suggested that the same target vehicle drifting motion (group (c) in Table 2) can be realized with different no-limited original states and all final drifting motions were in the vicinity of the target. Combined with the simulation result in Figure 9, it suggested that the controller can realize different target drifting motions with no-limited original states. Figure 10 suggests that the controller can realize a larger target drifting motion with no-limited original states. The steering angles and the TYDEX longitudinal slip ratios of the front and rear tires were the controlled variables in this study. Considering vehicle practical working conditions, there were amplitude and gain limitations of the control parameters including the steering angle and tire slip ratios in the controller design. The final steering angles in Figure 6d, Figure 7d, Figure 8d, Figure 9d, and Figure 10d and the final TYDEX longitudinal slip ratios of the rear tires in Figure 6e, Figure 7e, Figure 8e, Figure 9e, and Figure 10e were close to the targets in small error ranges. The TYDEX longitudinal slip ratios of the front tires, in order to better realize the vehicle drifting motions, were arranged in the range from 0.15 to −0.15, where the longitudinal tire force was remarkably correlated linearly with the TYDEX longitudinal slip ratio, and the corresponding simulation results are shown in Figure 6e, Figure 7e, Figure 8e, Figure 9e and Figure 10e. Based on the controlled variables, the vehicle main states parameters, including the velocities in Figure 6a, Figure 7a, Figure 8a, Figure 9a and Figure 10a, the sideslip angles in Figure 6b, Figure 7b, Figure 8b, Figure 9d and Figure 10d, and the yaw rates in Figure 6c, Figure 7c, Figure 8c, Figure 9c and Figure 10c, were close to the targets within the little bit larger margins of errors than the controlled variables, because the UniTire semi-empirical model was not identical to the theoretical analysis. The radiuses of the vehicle motion curves approach to the targets in Figure 6f, Figure 7f, Figure 8f, Figure 9f and Figure 10f, and the vehicle motion curves are shown in Figure 6g, Figure 7g, Figure 8g, Figure 9g and Figure 10g where the coordinated origins are the starting points. Because all vehicle original states parameters had big differences with the target states in values including the sideslip angle and yaw rate and the target control parameters including the steering angle, the controller took some time to realize drifting motions, and there were some fluctuations in the results, which all finally converged nearby the targets.

Figure 6.
The simulation result with the 6 m/s original velocity and the target group (c): (a) the velocity; (b) the sideslip angle; (c) the yaw rate; (d) the steering angle; (e) the TYDEX longitudinal slip ratios of the front and rear tires; (f) the radius of the motion curve; (g) the motion curve of the vehicle. All continuous lines suggest the simulation results, while the dashed lines suggest the targets.

Figure 7.
The simulation result with the 10 m/s original velocity and the target group (c): (a) the velocity; (b) the sideslip angle; (c) the yaw rate; (d) the steering angle; (e) the TYDEX longitudinal slip ratios of the front and rear tires; (f) the radius of the motion curve; (g) the motion curve of the vehicle. All continuous lines suggest the simulation results, while the dashed lines suggest the targets.

Figure 8.
The simulation result with the 8.1 m/s original velocity and the target group (c): (a) the velocity; (b) the sideslip angle; (c) the yaw rate; (d) the steering angle; (e) the TYDEX longitudinal slip ratios of the front and rear tires; (f) the radius of the motion curve; (g) the motion curve of the vehicle. All continuous lines suggest the simulation results, while the dashed lines suggest the targets.

Figure 9.
The simulation result with the 9 m/s original velocity and the target group (d): (a) the velocity; (b) the sideslip angle; (c) the yaw rate; (d) the steering angle; (e) the TYDEX longitudinal slip ratios of the front and rear tires; (f) the radius of the motion curve; (g) the motion curve of the vehicle. All continuous lines suggest the simulation results, while the dashed lines suggest the targets.

Figure 10.
The simulation result with the 13.7 m/s original velocity and the target group (e): (a) the velocity; (b) the sideslip angle; (c) the yaw rate; (d) the steering angle; (e) the TYDEX longitudinal slip ratios of the front and rear tires; (f) the radius of the motion curve; (g) the motion curve of the vehicle. All continuous lines suggest the simulation results, while the dashed lines suggest the targets.
According to the simulation results, the vehicle drifting characteristics were revealed, and the designed controller was tested by realizing vehicle drifting motions which started with uniform linear motions. The vehicle drifting motion can take full advantage of the vehicle dynamics performance, and the vehicle drifting control study will be combined with automatic driving to improve driving safety in further studies.
5. Conclusions
How to control the vehicle moves under drifting conditions, which means slip ratios are large and tire forces reach the maximum, is a topical issue in the vehicle dynamics control. The vehicle drifting driving is too hard to be realized for most people, so there are expert-based methods and theory-based methods to study the vehicle drifting control. This paper designed a controller based on the MPC theory with the linearized expressions of nonlinear longitudinal and lateral tire forces to realize the vehicle drifting motion analyzed by the vehicle drifting motion mechanism based on the nonlinear dynamics model, together with the UniTire model, by considering vehicle longitudinal, lateral, roll, and yaw motions. The vehicle main state parameters were calculated by MATLAB/Simulink simulations. In addition, the designed controller performance was proved by realizing target drifting motions with different original states, which suggested the vehicle drifting motions can be accomplished by the designed controller to make vehicle drifting easier for most people.
Author Contributions
Methodology, D.X.; investigation, Y.H., C.G., L.Q. and R.Z.; writing—original draft preparation, D.X.; writing—review and editing, G.W. and D.X.; project administration, G.W. All authors have read and agreed to the published version of the manuscript.
Funding
This research was funded by “The National Natural Science Foundation of China (grant number: 51775548”) and “The National Natural Science Foundation of the Nei Monggol Autonomous Region (grant number: 2020MS05059”).
Institutional Review Board Statement
Not applicable.
Informed Consent Statement
Not applicable.
Data Availability Statement
The study did not report any data. All data in this study can be obtained by calculation.
Acknowledgments
The author(s) would like to thank all the researchers taking part in the experiment from College of Engineering, China Agricultural University.
Conflicts of Interest
The authors declare no conflict of interest.
References
- Katzourakis, D.I.; Velenis, E.; Abbink, D.A.; Happee, R.; Holweg, E. Race-Car Instrumentation for Driving Behavior Studies. IEEE Trans. Instrum. Meas. 2012, 61, 462–474. [Google Scholar] [CrossRef]
- Spielberg, N.A.; Brown, M.; Kapania, N.R.; Kegelman, J.C.; Gerdes, J.C. Neural network vehicle models for high-performance automated driving. Sci. Robot. 2019, 4. [Google Scholar] [CrossRef] [PubMed]
- Acosta, M.; Kanarachos, S. Teaching a vehicle to autonomously drift: A data-based approach using Neural Networks. Knowl.-Based Syst. 2018, 153, 12–28. [Google Scholar] [CrossRef]
- Cai, P.; Mei, X.; Tai, L.; Sun, Y.; Liu, M. High-Speed Autonomous Drifting with Deep Reinforcement Learning. IEEE Robot. Au-Tom. Lett. 2020, 5, 1247–1254. [Google Scholar] [CrossRef] [Green Version]
- Jin, X.; Yin, G.; Wang, J. Robust fuzzy control for vehicle lateral dynamic stability via Takagi-Sugeno fuzzy approach. In Proceedings of the American Control Conference (ACC), Seattle, WA, USA, 24–26 May 2017. [Google Scholar]
- Nguyen, A.T.; Rath, J.; Guerra, T.M.; Palhares, R.; Zhang, H. Robust Set-Invariance Based Fuzzy Output Tracking Control for Vehicle Autonomous Driving Under Uncertain Lateral Forces and Steering Constraints. IEEE Trans. Intell. Transp. Syst. 2021, 22, 5849–5860. [Google Scholar] [CrossRef]
- Hindiyeh, R.Y.; Gerdes, J.C. Equilibrium analysis of drifting vehicles for control design. In Proceedings of the ASME 2009 Dynamic Systems and Control Conference, Los Angeles, CA, USA, 12–14 October 2009. [Google Scholar]
- Velenis, E.; Katzourakis, D.; Frazzoli, E.; Tsiotras, P.; Happee, R. Steady-state drifting stabilization of RWD vehicles. Control Eng. Pract. 2011, 19, 1363–1376. [Google Scholar] [CrossRef]
- Zhang, F.; Gonzales, J.; Li, K.; Borrelli, F. Autonomous Drift Cornering Mixed Open-loop and Closed-loop Control. IFAC Pap. 2017, 50, 1916–1922. [Google Scholar] [CrossRef]
- Khan, M.A.; Youn, E.; Youn, I.; Wu, L. Steady State Drifting Controller for Vehicles Travelling in Reverse Direction. In Proceedings of the 15th International Bhurban Conference on Applied Sciences and Technology (IBCAST), Islamabad, Pakistan, 9–13 January 2018. [Google Scholar]
- Zubov, I.; Afanasyev, I.; Gabdullin, A.; Mustafin, R.; Shimchik, I. Autonomous Drifting Control in 3D Car Racing Simulator. In Proceedings of the 9th International Conference on Intelligent Systems (IS), Funchal, Portugal, 25–27 September 2018. [Google Scholar]
- Vignati, M.; Sabbioni, E.; Cheli, F.A. Torque Vectoring Control for Enhancing Vehicle performance in Drifting. Electronics 2018, 7, 394. [Google Scholar] [CrossRef] [Green Version]
- Wang, H.; Zuo, J.; Liu, S.; Zheng, W.; Wang, L. Model-free adaptive control of steady-state drift of unmanned vehicles. Control Theory Appl. 2021, 38, 23–32. [Google Scholar]
- Hrovat, D.; Di Cairano, S.; Tseng, H.E.; Kolmanovsky, I.V. The Development of Model Predictive Control in Automotive Industry: A Survey. In Proceedings of the IEEE International Conference on Control Applications (CCA), Dubrovnik, Croatia, 3–5 October 2012. [Google Scholar]
- Liu, M.; Leng, B.; Xiong, L.; Yu, Y.; Yang, X. Segment Drift Control with a Supervision Mechanism for Autonomous Vehicles. Actuators 2021, 10, 219. [Google Scholar] [CrossRef]
- Xu, D.; Wang, G.; Qu, L.; Ge, C. Robust Control with Uncertain Disturbances for Vehicle Drift Motions. Appl. Sci. 2021, 11, 4917. [Google Scholar] [CrossRef]
- Li, P.; Nguypen, A.T.; Du, H.; Wang, Y.; Zhang, H. Polytopic LPV approaches for intelligent automotive systems: State of the art and future challenges. Mech. Syst. Signal Process. 2021, 161, 107931. [Google Scholar] [CrossRef]
- Guo, K.; Lu, D. UniTire: Unified tire model for vehicle dynamic simulation. Veh. Syst. Dyn. Int. J. Veh. Mech. Mobil. 2007, 45, 79–99. [Google Scholar] [CrossRef]
- Guo, K.; Lu, D.; Chen, S.; Lin, W.; Lu, X. The UniTire model: A nonlinear and non-steady-state tyre model for vehicle dynamics simulation. Veh. Syst. Dyn. Int. J. Veh. Mech. Mobil. 2005, 43, 341–358. [Google Scholar] [CrossRef]
- Guo, K. UniTire: Unified Tire Model. J. Mech. Eng. 2016, 52, 90–99. [Google Scholar] [CrossRef]
- Yoon, J.; Kim, D.; Yi, K. Design of a rollover indexbased vehicle stability control scheme. Veh. Syst. Dyn. Int. J. Veh. Mech. Mobil. 2007, 45, 459–475. [Google Scholar] [CrossRef]
- Jia, G. The Research on Anti-Roll Control of Sport Utility Vehicle Based on Differential Braking. Master’s Thesis, Tsinghua University, Beijing, China, 2015. [Google Scholar]
- Chou, T.; Chu, T. An improvement in rollover detection of articulated vehicles using the grey system theory. Veh. Syst. Dyn. 2014, 52, 679–703. [Google Scholar] [CrossRef]
- Erlien, S.M.; Fujita, S.; Gerdes, J.C. Shared Steering Control Using Safe Envelopes for Obstacle Avoidance and Vehicle Stability. IEEE Trans. Intell. Transp. Syst. 2016, 17, 441–451. [Google Scholar] [CrossRef]
Publisher’s Note: MDPI stays neutral with regard to jurisdictional claims in published maps and institutional affiliations. |
© 2022 by the authors. Licensee MDPI, Basel, Switzerland. This article is an open access article distributed under the terms and conditions of the Creative Commons Attribution (CC BY) license (https://creativecommons.org/licenses/by/4.0/).














