Electric Vehicle Ultra-Fast Battery Chargers: A Boost for Power System Stability?
Abstract
1. Introduction
- a constant frequency (e.g., 50 or 60 );
- a constant voltage amplitude;
- a sinusoidal voltage supply with low harmonic content and limited harmonic interactions;
- protection of the system in case of faults.
- additional high frequency losses in electrical equipment (e.g., transformers, motors ⋯);
- worse performance of electric motors and generators directly connected to the grid;
- poorly damped resonances between different components connected to the same grid;
- disturbances in electronic equipment;
- unwanted intervention of protection devices (e.g., breakers).
- the VSC algorithm is a plug-in addon for standard UFCs, enabling them to support the grid;
- with respect to the early grid supporting UFCs, the VSC-based control is capable of providing both static (permanent) and dynamic (transient during faults) grid support;
- the already available VSM-based AFEs are either partial (frequency control only) or put the VSM in charge of the complete management of the UFC, therefore not being an easy plug-in solution.
2. Ultra-Fast Charging Stations
3. Active Front-End Control
3.1. S-VSC Model
- Power Calculation: calculation of the active and reactive power of the S-VSC from its virtual phase currents and the grid voltages.
- Mechanical Emulation: this is the virtual rotor of the machine. This block provides the virtual speed and angle of the VSM and frequency support to the grid.
- Excitation Control: reactive channel management, virtual excitation flux control for reactive support during faults and short circuit current injection.
- Electrical and Magnetic Model: virtual stator and optional virtual dampers. Provides tunable harmonic compensation.
3.1.1. Power Calculation
3.1.2. Mechanical Emulation
3.1.3. Excitation Control
3.1.4. Electrical and Magnetic Model
4. Experimental Validation
- Test 1: inertial contribution in response to a grid power unbalance;
- Test 2: reactive power reference step variation;
- Test 3: harmonic compensation;
- Test 4: voltage dip.
4.1. Test 1: Inertial Action
4.2. Test 2: Reactive Power Generation
4.3. Test 3: Harmonic Compensation
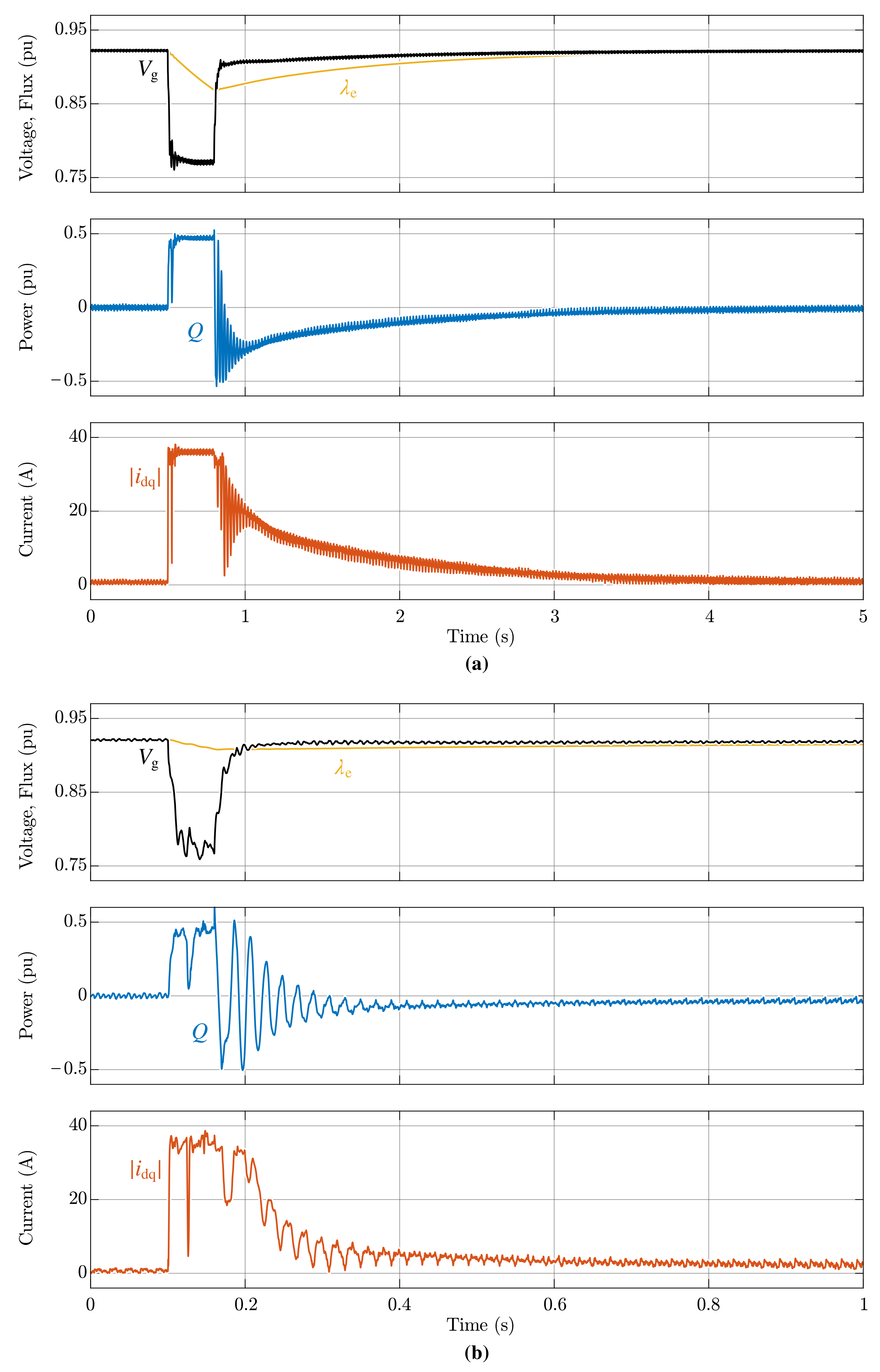
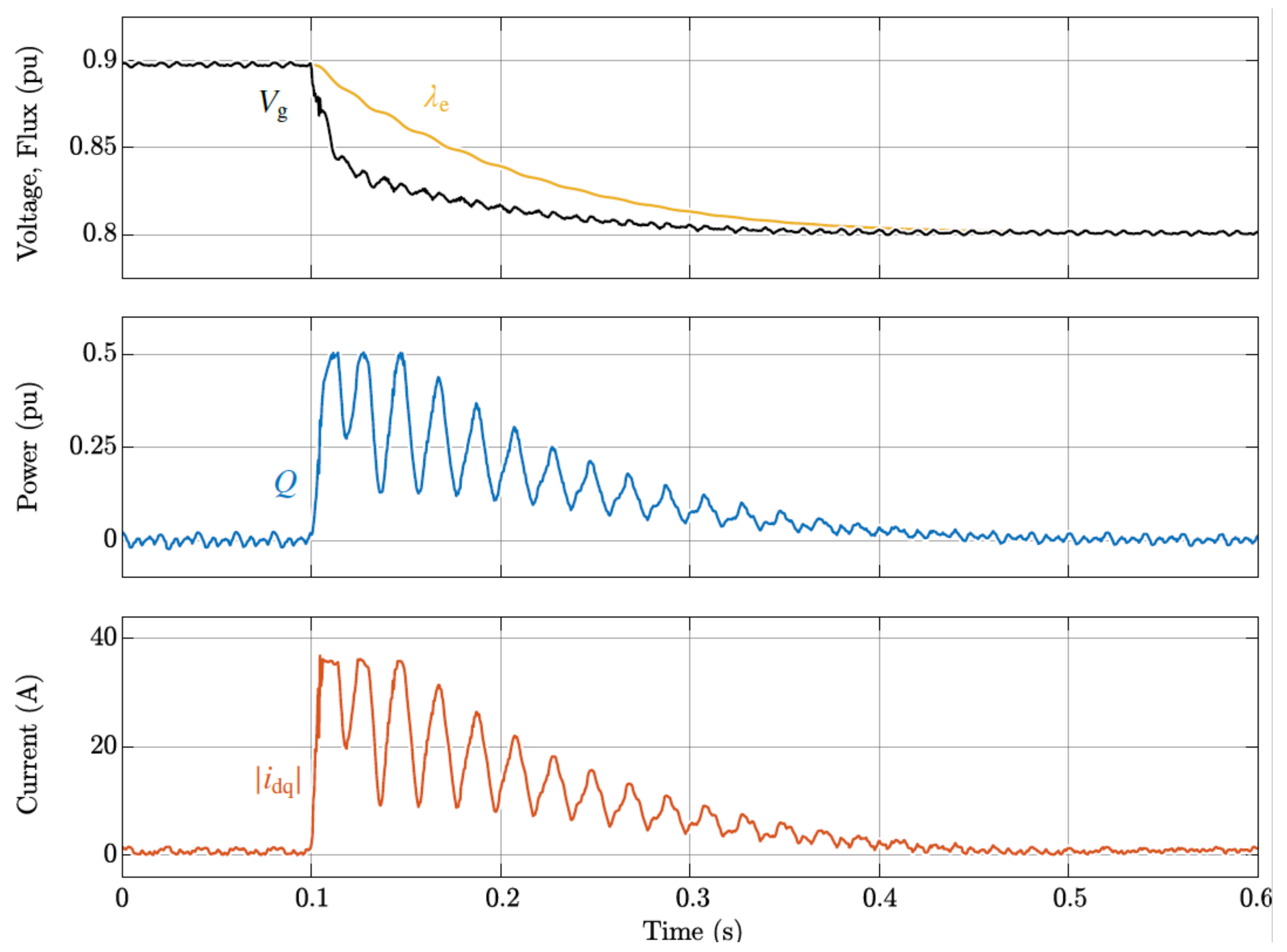
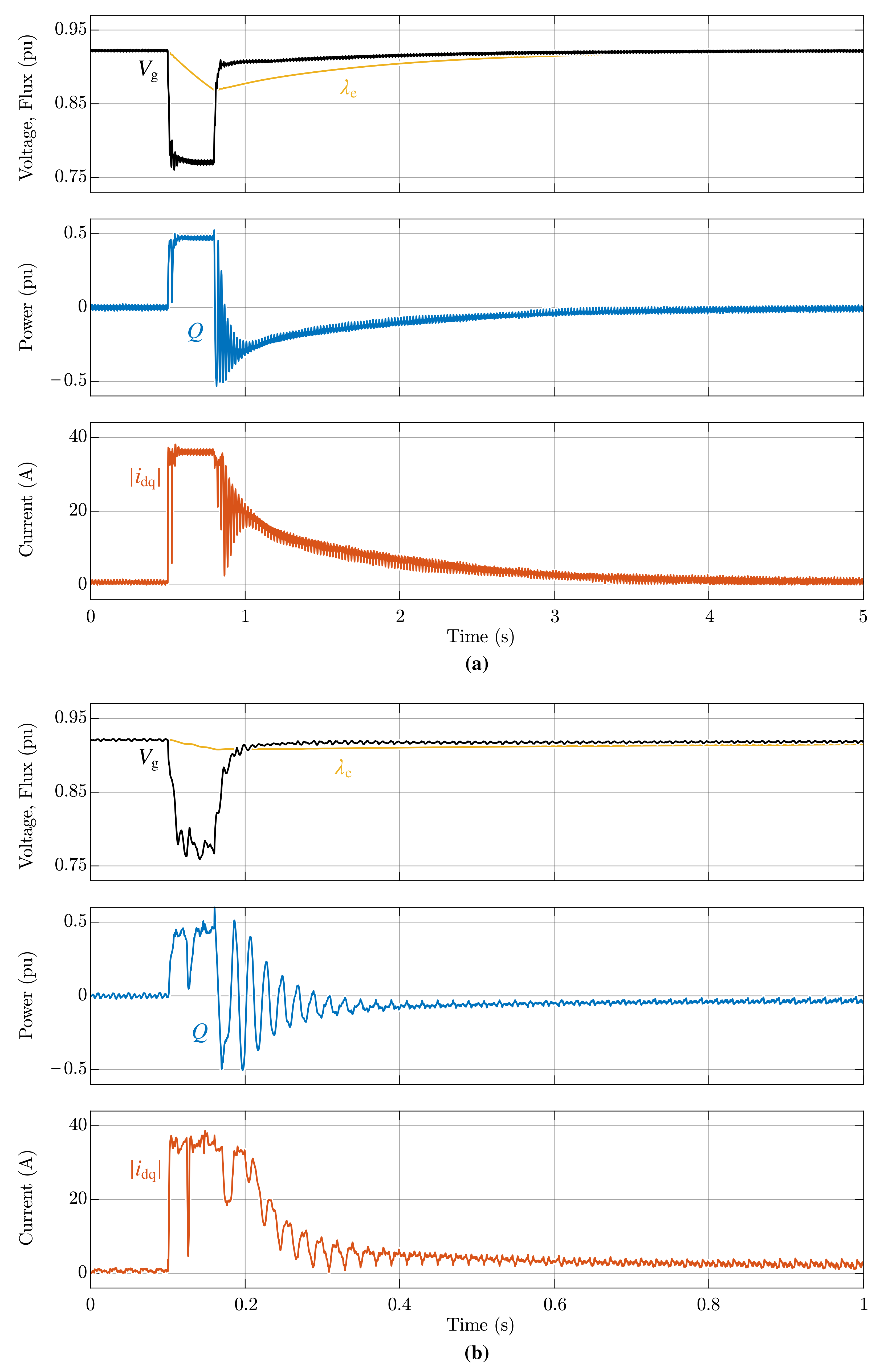
4.4. Test 4: Fault Current Injection
- Dip 1: and 300 duration;
- Dip 2: and 60 duration.
4.5. Performance Comparison with D-STATCOM
4.5.1. Inertial Action
4.5.2. Reactive Power Generation and Fault Current Injection
- Reactive Power Control: the STATCOM tracks an external reactive power reference, coming, e.g., from the grid operator. Figure 17 shows the response of the D-STATCOM for Test 2, where a reactive power step from 0.3 pu to 0.4 pu occurs. In this case, no differences are identified between the D-STATCOM and the proposed S-VSC solution.
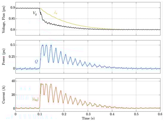
- AC Voltage Amplitude Control: a proportional integral (PI) voltage amplitude control is implemented, generating the necessary reactive power references. This controller is able to support the grid voltage during faults, by injecting reactive current. However, in case of a permanent voltage dip, the injected current remains constant, as shown in Figure 18. On the contrary, the results reported in Figure 19 demonstrate how the S-VSC injects reactive fault current in the same way as a synchronous machine (i.e., exponential transient of the fault current).
4.5.3. Harmonic Compensation
4.5.4. Overview
5. Conclusions
- frequency support with inertial action;
- reactive power generation for grid voltage support;
- harmonic compensation;
- fault current injection in case of grid-side faults to trigger the utility protections.
Author Contributions
Funding
Conflicts of Interest
References
- Manzetti, S.; Mariasiu, F. Electric Vehicle Battery Technologies: From Present State to Future Systems. Renew. Sustain. Energy Rev. 2015, 51, 1004–1012. [Google Scholar] [CrossRef]
- Clement-Nyns, K.; Haesen, E.; Driesen, J. The Impact of Charging Plug—In Hybrid Electric Vehicles on a Residential Distribution Grid. IEEE Trans. Power Syst. 2010, 25, 371–380. [Google Scholar] [CrossRef]
- Tu, H.; Feng, H.; Srdic, S.; Lukic, S. Extreme Fast Charging of Electric Vehicles: A Technology Overview. IEEE Trans. Transp. Electrif. 2019, 5, 861–878. [Google Scholar] [CrossRef]
- Nicholas, M.; Hall, D. Lessons Learned on Early Electric Vehicle Fast-Charging Deployments; International Council on Clean Transportation: Washington, DC, USA, 2018; p. 54. [Google Scholar]
- IEA. Global EV Outlook 2020—Analysis; IEA: Paris, France, 2020. [Google Scholar]
- Khaligh, A.; Dusmez, S. Comprehensive Topological Analysis of Conductive and Inductive Charging Solutions for Plug-In Electric Vehicles. IEEE Trans. Veh. Technol. 2012, 61, 3475–3489. [Google Scholar] [CrossRef]
- Yilmaz, M.; Krein, P.T. Review of Battery Charger Topologies, Charging Power Levels, and Infrastructure for Plug-In Electric and Hybrid Vehicles. IEEE Trans. Power Electron. 2013, 28, 2151–2169. [Google Scholar] [CrossRef]
- Gautam, D.S.; Musavi, F.; Edington, M.; Eberle, W.; Dunford, W.G. An Automotive Onboard 3.3-kW Battery Charger for PHEV Application. IEEE Trans. Veh. Technol. 2012, 61, 3466–3474. [Google Scholar] [CrossRef]
- Cittanti, D.; Gregorio, M.; Mandrile, F.; Bojoi, R. Full Digital Control of an All-Si On-Board Charger Operating in Discontinuous Conduction Mode. Electronics 2021, 10, 203. [Google Scholar] [CrossRef]
- Channegowda, J.; Pathipati, V.K.; Williamson, S.S. Comprehensive Review and Comparison of DC Fast Charging Converter Topologies: Improving Electric Vehicle Plug-to-Wheels Efficiency. In Proceedings of the IEEE International Symposium on Industrial Electronics (ISIE), Buzios, Brazil, 3–5 June 2015; pp. 263–268. [Google Scholar] [CrossRef]
- Aggeler, D.; Canales, F.; Zelaya-De La Parra, H.; Coccia, A.; Butcher, N.; Apeldoorn, O. Ultra-Fast DC-Charge Infrastructures for EV-Mobility and Future Smart Grids. In Proceedings of the IEEE PES Innovative Smart Grid Technologies Conference Europe (ISGT Europe), Gothenberg, Sweden, 11–13 October 2010. [Google Scholar] [CrossRef]
- Srdic, S.; Lukic, S. Toward Extreme Fast Charging: Challenges and Opportunities in Directly Connecting to Medium-Voltage Line. IEEE Electrif. Mag. 2019, 7, 22–31. [Google Scholar] [CrossRef]
- Shareef, H.; Islam, M.M.; Mohamed, A. A Review of the Stage-of-the-Art Charging Technologies, Placement Methodologies, and Impacts of Electric Vehicles. Renew. Sustain. Energy Rev. 2016, 64, 403–420. [Google Scholar] [CrossRef]
- Ma, C.T. System Planning of Grid-Connected Electric Vehicle Charging Stations and Key Technologies: A Review. Energies 2019, 12, 4201. [Google Scholar] [CrossRef]
- Negarestani, S.; Fotuhi-Firuzabad, M.; Rastegar, M.; Rajabi-Ghahnavieh, A. Optimal Sizing of Storage System in a Fast Charging Station for Plug-in Hybrid Electric Vehicles. IEEE Trans. Transp. Electrif. 2016, 2, 443–453. [Google Scholar] [CrossRef]
- Oureilidis, K.; Malamaki, K.N.; Gallos, K.; Tsitsimelis, A.; Dikaiakos, C.; Gkavanoudis, S.; Cvetkovic, M.; Mauricio, J.M.; Maza Ortega, J.M.; Ramos, J.L.M. Ancillary Services Market Design in Distribution Networks: Review and Identification of Barriers. Energies 2020, 13, 917. [Google Scholar] [CrossRef]
- Kundur, P. Power System Stability and Control; McGraw-Hill Education: New York City, NY, USA, 1994. [Google Scholar]
- Kirschbaum, E. Germany to Close all 84 of Its Coal-Fired Power Plants, will Rely Primarily on Renewable Energy; Los Angeles Times: El Segundo, CA, USA, 2019. [Google Scholar]
- Urdal, H.; Ierna, R.; Zhu, J.; Ivanov, C.; Dahresobh, A.; Rostom, D. System Sstrength Considerations in a Converter Dominated Power System. IET Renew. Power Gener. 2015, 9, 10–17. [Google Scholar] [CrossRef]
- Beck, H.; Hesse, R. Virtual Synchronous Machine. In Proceedings of the International Conference on Electrical Power Quality and Utilisation (EPCU), Barcelona, Spain, 9–11 October 2007. [Google Scholar] [CrossRef]
- Tamrakar, U.; Shrestha, D.; Maharjan, M.; Bhattarai, B.P.; Hansen, T.M.; Tonkoski, R. Virtual Inertia: Current Trends and Future Directions. Appl. Sci. 2017, 7, 654. [Google Scholar] [CrossRef]
- Chen, M.; Zhou, D.; Blaabjerg, F. Modelling, Implementation, and Assessment of Virtual Synchronous Generator in Power Systems. J. Mod. Power Syst. Clean Energy 2020, 8, 399–411. [Google Scholar] [CrossRef]
- Yan, X.; Zhang, W. Review of VSG Control-Enabled Universal Compatibility Architecture for Future Power Systems with High-Penetration Renewable Generation. Appl. Sci. 2019, 9, 1484. [Google Scholar] [CrossRef]
- Kesler, M.; Kisacikoglu, M.C.; Tolbert, L.M. Vehicle-to-Grid Reactive Power Operation Using Plug-In Electric Vehicle Bidirectional Offboard Charger. IEEE Trans. Ind. Electron. 2014, 61, 6778–6784. [Google Scholar] [CrossRef]
- Yong, J.Y.; Ramachandaramurthy, V.K.; Tan, K.M.; Mithulananthan, N. Bi-Directional Electric Vehicle Fast Charging Station with Novel Reactive Power Compensation for Voltage Regulation. Int. J. Electr. Power Energy Syst. 2015, 64, 300–310. [Google Scholar] [CrossRef]
- Dhingra, K.; Singh, M. Frequency Support in a Micro-Grid Using Virtual Synchronous Generator Based Charging Station. IET Renew. Power Gener. 2018, 12, 1034–1044. [Google Scholar] [CrossRef]
- Suul, J.A.; D’Arco, S.; Guidi, G. Virtual Synchronous Machine-Based Control of a Single-Phase Bi-Directional Battery Charger for Providing Vehicle-to-Grid Services. IEEE Trans. Ind. Appl. 2016, 52, 3234–3244. [Google Scholar] [CrossRef]
- Yan, X.; Li, J.; Zhang, B.; Jia, Z.; Tian, Y.; Zeng, H.; Lv, Z. Virtual Synchronous Motor Based-Control of a Three-Phase Electric Vehicle Off-Board Charger for Providing Fast-Charging Service. Appl. Sci. 2018, 8, 856. [Google Scholar] [CrossRef]
- Cittanti, D.; Gregorio, M.; Bojoi, R. Digital Multi-Loop Control of a 3-Level Rectifier for Electric Vehicle Ultra-Fast Battery Chargers. In Proceedings of the AEIT International Annual Conference (AEIT), Catania, Italy, 23–25 September 2020. [Google Scholar] [CrossRef]
- Cittanti, D.; Gregorio, M.; Armando, E.; Bojoi, R. Digital Multi-Loop Control of an LLC Resonant Converter for Electric Vehicle DC Fast Charging. In Proceedings of the IEEE Energy Conversion Congress and Exposition (ECCE), Detroit, MI, USA, 11–15 October 2020; pp. 4423–4430. [Google Scholar] [CrossRef]
- Cittanti, D.; Vico, E.; Gregorio, M.; Mandrile, F.; Bojoi, R. Iterative Design of a 60 kW All-Si Modular LLC Converter for Electric Vehicle Ultra-Fast Charging. In Proceedings of the AEIT International Conference of Electrical and Electronic Technologies for Automotive (AEIT AUTOMOTIVE), Torino, Italy, 18–20 November 2020. [Google Scholar]
- Liserre, M.; Blaabjerg, F.; Hansen, S. Design and Control of an LCL-Filter-Based Three-Phase Active Rectifier. IEEE Trans. Ind. Appl. 2005, 41, 1281–1291. [Google Scholar] [CrossRef]
- Cittanti, D.; Mandrile, F.; Bojoi, R. Optimal Design of Grid-Side LCL Filters for Electric Vehicle Ultra-Fast Battery Chargers. In Proceedings of the International Universities Power Engineering Conference (UPEC), Torino, Italy, 1–4 September 2020. [Google Scholar] [CrossRef]
- Tahir, S.; Wang, J.; Baloch, M.H.; Kaloi, G.S. Digital Control Techniques Based on Voltage Source Inverters in Renewable Energy Applications: A Review. Electronics 2018, 7, 18. [Google Scholar] [CrossRef]
- Teodorescu, R.; Liserre, M.; Rodriguez, P. Grid Converters for Photovoltaic and Wind Power Systems; John Wiley & Sons: Hoboken, NJ, USA, 2011. [Google Scholar]
- Mandrile, F.; Carpaneto, E.; Armando, E.; Bojoi, R. Simple Tuning Method of Virtual Synchronous Generators Reactive Control. In Proceedings of the 2020 IEEE Energy Conversion Congress and Exposition (ECCE), Detroit, MI, USA, 11–15 October 2020; pp. 2779–2785. [Google Scholar] [CrossRef]
- Mandrile, F.; Carpaneto, E.; Bojoi, R. Grid-Feeding Inverter with Simplified Virtual Synchronous Compensator Providing Grid Services and Grid Support. IEEE Trans. Ind. Appl. 2020, 57, 559–569. [Google Scholar] [CrossRef]
- VDE. VDE-AR-N 4120—Connection and Operation to High-Voltage Grid and Their Operation; VDE: Frankfurt am Main, Germany, 2018. [Google Scholar]
- IEC. IEC TR 61000–61002-8:2002—Electromagnetic compatibility (EMC)—Part 2-8: Environment—Voltage Dips and Short Interruptions on Public Electric Power Supply Systems with Statistical Measurement Results; IEC: Geneva, Switzerland, 2002. [Google Scholar]
- Rao, P.; Crow, M.L.; Yang, Z. STATCOM Control for Power System Voltage Control Applications. IEEE Trans. Power Deliv. 2000, 15, 1311–1317. [Google Scholar] [CrossRef]
- Mishra, M.K.; Ghosh, A.; Joshi, A. Operation of a DSTATCOM in Voltage Control Mode. IEEE Trans. Power Deliv. 2003, 18, 258–264. [Google Scholar] [CrossRef]
- Liu, Y.; Yang, S.; Zhang, S.; Peng, F.Z. Comparison of Synchronous Condenser and STATCOM for Inertial Response Support. In Proceedings of the IEEE Energy Conversion Congress and Exposition (ECCE), Pittsburgh, PA, USA, 14–18 September 2014; pp. 2684–2690. [Google Scholar] [CrossRef]
- Kumar, C.; Mishra, M.K. A Voltage-Controlled DSTATCOM for Power-Quality Improvement. IEEE Trans. Power Deliv. 2014, 29, 1499–1507. [Google Scholar] [CrossRef]




















| Parameter | Description | Value |
|---|---|---|
| base voltage | ||
| base power | 15 | |
| f | grid frequency | 50 |
| switching and control frequency | 10 | |
| LCL filter inverter-side inductance | 545 | |
| LCL filter capacitance | 22 | |
| LCL filter grid-side inductance | 390 | |
| S-VSC virtual inductance | 0.1 pu | |
| S-VSC virtual resistance | 0.02 pu | |
| H | S-VSC virtual inertia constant | 4 |
| S-VSC excitation time constant | 1 | |
| S-VSC virtual damper inductance | 0.71 pu | |
| S-VSC virtual damper time constant |
Publisher’s Note: MDPI stays neutral with regard to jurisdictional claims in published maps and institutional affiliations. |
© 2021 by the authors. Licensee MDPI, Basel, Switzerland. This article is an open access article distributed under the terms and conditions of the Creative Commons Attribution (CC BY) license (http://creativecommons.org/licenses/by/4.0/).
Share and Cite
Mandrile, F.; Cittanti, D.; Mallemaci, V.; Bojoi, R. Electric Vehicle Ultra-Fast Battery Chargers: A Boost for Power System Stability? World Electr. Veh. J. 2021, 12, 16. https://doi.org/10.3390/wevj12010016
Mandrile F, Cittanti D, Mallemaci V, Bojoi R. Electric Vehicle Ultra-Fast Battery Chargers: A Boost for Power System Stability? World Electric Vehicle Journal. 2021; 12(1):16. https://doi.org/10.3390/wevj12010016
Chicago/Turabian StyleMandrile, Fabio, Davide Cittanti, Vincenzo Mallemaci, and Radu Bojoi. 2021. "Electric Vehicle Ultra-Fast Battery Chargers: A Boost for Power System Stability?" World Electric Vehicle Journal 12, no. 1: 16. https://doi.org/10.3390/wevj12010016
APA StyleMandrile, F., Cittanti, D., Mallemaci, V., & Bojoi, R. (2021). Electric Vehicle Ultra-Fast Battery Chargers: A Boost for Power System Stability? World Electric Vehicle Journal, 12(1), 16. https://doi.org/10.3390/wevj12010016

