Development and Characterization of EGCG-Loaded TPGS/Poloxamer 407 Micelles with Evaluation of In Vitro Drug Release and In Vivo Pharmacokinetics and Tolerability Observations Following Oral Administration
Abstract
1. Introduction
2. Materials and Methods
2.1. Materials
2.2. Preparation of EGCG-Loaded TPGS/Poloxamer 407 Micelle
2.3. Optimization of TPGS:Poloxamer 407 Ratio
2.4. Critical Micelle Concentration (CMC)
2.5. Particle Size, Polydispersity Index and Zeta Potential
2.6. Encapsulation Efficiency and Drug Loading Capacity
2.7. Fourier-Transform Infrared (FTIR) Spectroscopy
2.8. X-Ray Diffractometry (XRD)
2.9. Transmission Electron Microscopy (TEM)
2.10. Storage Stability
2.11. In Vitro Drug Release Study
2.12. Experimental Animals
2.13. Preliminary Tolerability Observations
2.14. In Vivo Pharmacokinetic Study
2.15. Statistical Analysis
3. Results and Discussion
3.1. Optimization of Ratio of TPGS:Poloxamer 407
3.2. Critical Micelle Concentration (CMC)
3.3. Fourier-Transform Infrared Spectroscopy (FTIR)
3.4. X-Ray Diffractometry (XRD)
3.5. Transmission Electron Microscopy (TEM)
3.6. Storage Stability
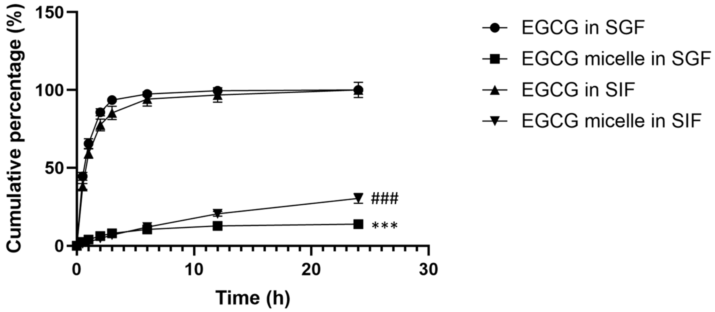
3.7. In Vitro Drug Release Study
3.8. Preliminary Tolerability Observations
3.9. In Vivo Pharmacokinetics
4. Conclusions and Recommendations
Supplementary Materials
Author Contributions
Funding
Institutional Review Board Statement
Informed Consent Statement
Data Availability Statement
Acknowledgments
Conflicts of Interest
References
- Parn, K.W.; Ling, W.C.; Chin, J.H.; Lee, S.K. Safety and Efficacy of Dietary Epigallocatechin Gallate Supplementation in Attenuating Hypertension via Its Modulatory Activities on the Intrarenal Renin-Angiotensin System in Spontaneously Hypertensive Rats. Nutrients 2022, 14, 4605. [Google Scholar] [CrossRef]
- Mohd Sabri, N.A.; Lee, S.K.; Murugan, D.D.; Ling, W.C. Epigallocatechin gallate (EGCG) alleviates vascular dysfunction in angiotensin II-infused hypertensive mice by modulating oxidative stress and eNOS. Sci. Rep. 2022, 12, 17633. [Google Scholar] [CrossRef]
- Zhu, T.; Li, M.; Zhu, M.; Liu, X.; Huang, K.; Li, W.; Wang, S.X.; Yin, Y.; Li, P. Epigallocatechin-3-gallate alleviates type 2 diabetes mellitus via β-cell function improvement and insulin resistance reduction. Iran. J. Basic Med. Sci. 2022, 25, 483–488. [Google Scholar] [CrossRef]
- Wong, C.N.; Lim, Y.M.; Liew, K.B.; Chew, Y.L.; Chua, A.L.; Lee, S.K. A review on mechanistic actions of epigallocatechin-3-gallate in targeting the ominous octet of type 2 diabetes mellitus. J. Integr. Med. 2025, 23, 344–356. [Google Scholar] [CrossRef]
- Shao, Y.; Lee, S.-K.; Chua, A.L.; Chew, Y.-L.; Liew, K.-B. Maternal EGCG intervention mitigates chronic hypertension during pregnancy in spontaneously hypertensive rats without adverse effects on pregnancy outcomes. Funct. Foods Health Dis. 2024, 14, 780–790. [Google Scholar] [CrossRef]
- Mokra, D.; Joskova, M.; Mokry, J. Therapeutic Effects of Green Tea Polyphenol (‒)-Epigallocatechin-3-Gallate (EGCG) in Relation to Molecular Pathways Controlling Inflammation, Oxidative Stress, and Apoptosis. Int. J. Mol. Sci. 2022, 24, 340. [Google Scholar] [CrossRef] [PubMed]
- Capasso, L.; De Masi, L.; Sirignano, C.; Maresca, V.; Basile, A.; Nebbioso, A.; Rigano, D.; Bontempo, P. Epigallocatechin Gallate (EGCG): Pharmacological Properties, Biological Activities and Therapeutic Potential. Molecules 2025, 30, 654. [Google Scholar] [CrossRef] [PubMed]
- Khor, Y.Y.; Lee, S.-K.; Dharmani Devi, M.; Ling, W.C. Epigallocatechin-3-gallate exerts antihypertensive effects and improves endothelial function in spontaneously hypertensive rats. Asian Pac. J. Trop Biomed. 2023, 13, 287–295. [Google Scholar] [CrossRef]
- Higdon, J.V.; Frei, B. Tea catechins and polyphenols: Health effects, metabolism, and antioxidant functions. Crit. Rev. Food Sci. Nutr. 2003, 43, 89–143. [Google Scholar] [CrossRef]
- Mokra, D.; Adamcakova, J.; Mokry, J. Green Tea Polyphenol (-)-Epigallocatechin-3-Gallate (EGCG): A Time for a New Player in the Treatment of Respiratory Diseases? Antioxidants 2022, 11, 1566. [Google Scholar] [CrossRef]
- Rietveld, A.; Wiseman, S. Antioxidant effects of tea: Evidence from human clinical trials. J. Nutr. 2003, 133, 3285S–3292S. [Google Scholar] [CrossRef] [PubMed]
- Wong, C.N.; Lim, Y.M.; Liew, K.B.; Chew, Y.-L.; Chua, A.-L.; Lee, S.-K. EGCG as a therapeutic agent: A systematic review of recent advances and challenges in nanocarrier strategies. J. Zhejiang Univ. Sci. B 2025, 26, 633–656. [Google Scholar] [CrossRef] [PubMed]
- Dai, W.; Ruan, C.; Zhang, Y.; Wang, J.; Han, J.; Shao, Z.; Sun, Y.; Liang, J. Bioavailability enhancement of EGCG by structural modification and nano-delivery: A review. J. Funct. Foods 2020, 65, 103732. [Google Scholar] [CrossRef]
- Xu, J.Z.; Yeung, S.Y.; Chang, Q.; Huang, Y.; Chen, Z.Y. Comparison of antioxidant activity and bioavailability of tea epicatechins with their epimers. Br. J. Nutr. 2004, 91, 873–881. [Google Scholar] [CrossRef]
- Cano, A.; Ettcheto, M.; Chang, J.-H.; Barroso, E.; Espina, M.; Kühne, B.A.; Barenys, M.; Auladell, C.; Folch, J.; Souto, E.B.; et al. Dual-drug loaded nanoparticles of Epigallocatechin-3-gallate (EGCG)/Ascorbic acid enhance therapeutic efficacy of EGCG in a APPswe/PS1dE9 Alzheimer’s disease mice model. J. Control. Release 2019, 301, 62–75. [Google Scholar] [CrossRef]
- Zhu, Q.Y.; Zhang, A.; Tsang, D.; Huang, Y.; Chen, Z.-Y. Stability of Green Tea Catechins. J. Agric. Food Chem. 1997, 45, 4624–4628. [Google Scholar] [CrossRef]
- Omoruyi, F.; Sparks, J.; Stennett, D.; Dilworth, L. Superoxide dismutase as a measure of antioxidant status and its application to diabetes. In Diabetes: Oxidative Stress and Dietary Antioxidants, 2nd ed.; R. Preedy, V., Ed.; Academic Press: New York, NY, USA, 2020; pp. 409–417. [Google Scholar]
- Severino, J.F.; Goodman, B.A.; Kay, C.W.M.; Stolze, K.; Tunega, D.; Reichenauer, T.G.; Pirker, K.F. Free radicals generated during oxidation of green tea polyphenols: Electron paramagnetic resonance spectroscopy combined with density functional theory calculations. Free Radic. Biol. Med. 2009, 46, 1076–1088. [Google Scholar] [CrossRef]
- Kikuchi, T.; Hayashi, A.; Ikeda, N.; Morita, O.; Tasaki, J. Multidrug resistance-associated protein 2 (MRP2) is an efflux transporter of EGCG and its metabolites in the human small intestine. J. Nutr. Biochem. 2022, 107, 109071. [Google Scholar] [CrossRef]
- Tan, H.J.; Ling, W.C.; Chua, A.L.; Lee, S.K. Oral epigallocatechin gallate reduces intestinal nadolol absorption via modulation of Oatp1a5 and Oct1 transcriptional levels in spontaneously hypertensive rats. Phytomedicine 2021, 90, 153623. [Google Scholar] [CrossRef]
- Siew-Keah, L.; Jie, T.H.; Ang-Lim, C.; Bin, L.K.; Yik-Ling, C. An Update on Impacts of Epigallocatechin Gallate Co-administration in Modulating Pharmacokinetics of Statins, Calcium Channel Blockers, and Beta-blockers. Planta Med. 2023, 89, 1229–1235. [Google Scholar] [CrossRef]
- Chen, Y.; Tang, Y.; Li, Y.; Rui, Y.; Zhang, P. Enhancing the Efficacy of Active Pharmaceutical Ingredients in Medicinal Plants through Nanoformulations: A Promising Field. Nanomaterials 2024, 14, 1598. [Google Scholar] [CrossRef]
- Mehta, M.; Bui, T.A.; Yang, X.; Aksoy, Y.; Goldys, E.M.; Deng, W. Lipid-Based Nanoparticles for Drug/Gene Delivery: An Overview of the Production Techniques and Difficulties Encountered in Their Industrial Development. ACS Mater. Au 2023, 3, 600–619. [Google Scholar] [CrossRef]
- Harwansh, R.K.; Deshmukh, R.; Rahman, M.A. Nanoemulsion: Promising nanocarrier system for delivery of herbal bioactives. J. Drug Deliv. Sci. Technol. 2019, 51, 224–233. [Google Scholar] [CrossRef]
- Ly, P.-D.; Ly, K.-N.; Phan, H.-L.; Nguyen, H.H.T.; Duong, V.-A.; Nguyen, H.V. Recent advances in surface decoration of nanoparticles in drug delivery. Front. Nanotechnol. 2024, 6, 1456939. [Google Scholar] [CrossRef]
- McClements, D.J.; Öztürk, B. Utilization of Nanotechnology to Improve the Application and Bioavailability of Phytochemicals Derived from Waste Streams. J. Agric. Food Chem. 2022, 70, 6884–6900. [Google Scholar] [CrossRef] [PubMed]
- Hu, C.; Wang, Q.; Zhao, G.; Yao, W.; Xia, Q. Improved oral absorption of (−)-epigallocatechin-3-gallate via self-double-emulsifying solid formulation. Eur. J. Lipid Sci. Technol. 2016, 118, 1115–1124. [Google Scholar] [CrossRef]
- Karaman Evren, D.; Kozgus Guldu, O.; Tut, E.; Medine, E.I. Nanoencapsulation of green tea catechin (−)-Epigallocatechin-3- Gallate (EGCG) in niosomes and assessment of its anticancer activity against lung cancer. J. Drug Deliv. Sci. Technol. 2024, 93, 105412. [Google Scholar] [CrossRef]
- Shariare, D.M.; Afnan, K.; Iqbal, F.; Altamimi, M.; Ahamad, S.R.; Aldughaim, M.S.; Alanazi, F.; Kazi, M. Development and Optimization of Epigallocatechin-3-Gallate (EGCG) Nano Phytosome Using Design of Experiment (DoE) and Their In Vivo Anti-Inflammatory Studies. Molecules 2020, 25, 5453. [Google Scholar] [CrossRef] [PubMed]
- Cheng, C.-Y.; Barro, L.; Tsai, S.-T.; Feng, T.-W.; Wu, X.-Y.; Chao, C.-W.; Yu, R.-S.; Chin, T.-Y.; Hsieh, M.F. Epigallocatechin-3-Gallate-Loaded Liposomes Favor Anti-Inflammation of Microglia Cells and Promote Neuroprotection. Int. J. Mol. Sci. 2021, 22, 3037. [Google Scholar] [CrossRef]
- Lambert, J.D.; Hong, J.; Kim, D.H.; Mishin, V.M.; Yang, C.S. Piperine Enhances the Bioavailability of the Tea Polyphenol (−)-Epigallocatechin-3-gallate in Mice. J. Nutr. 2004, 134, 1948–1952. [Google Scholar] [CrossRef] [PubMed]
- Rahman, M.A.; Shuvo, A.A.; Apu, M.M.H.; Bhakta, M.R.; Islam, F.; Rahman, M.A.; Islam, M.R.; Reza, H.M. Combination of epigallocatechin 3 gallate and curcumin improves d-galactose and normal-aging associated memory impairment in mice. Sci. Rep. 2023, 13, 12681. [Google Scholar] [CrossRef]
- Wong, C.N.; Lee, S.-K.; Lim, Y.M.; Yang, S.-B.; Chew, Y.-L.; Chua, A.-L.; Liew, K.B. Recent Advances in Vitamin E TPGS-Based Organic Nanocarriers for Enhancing the Oral Bioavailability of Active Compounds: A Systematic Review. Pharmaceutics 2025, 17, 485. [Google Scholar] [CrossRef] [PubMed]
- Gabal, Y.M.; Kamel, A.O.; Sammour, O.A.; Elshafeey, A.H. Effect of surface charge on the brain delivery of nanostructured lipid carriers in situ gels via the nasal route. Int. J. Pharm. 2014, 473, 442–457. [Google Scholar] [CrossRef] [PubMed]
- Russo, E.; Villa, C. Poloxamer Hydrogels for Biomedical Applications. Pharmaceutics 2019, 11, 671. [Google Scholar] [CrossRef]
- Mod Razif, M.R.F.; Chan, S.Y.; Widodo, R.T.; Chew, Y.L.; Hassan, M.; Hisham, S.A.; Rahman, S.A.; Ming, L.C.; Tan, C.S.; Lee, S.K.; et al. Optimization of a Luteolin-Loaded TPGS/Poloxamer 407 Nanomicelle: The Effects of Copolymers, Hydration Temperature and Duration, and Freezing Temperature on Encapsulation Efficiency, Particle Size, and Solubility. Cancers 2023, 15, 3741. [Google Scholar] [CrossRef]
- Patra, A.; Satpathy, S.; Shenoy, A.K.; Bush, J.A.; Kazi, M.; Hussain, M.D. Formulation and evaluation of mixed polymeric micelles of quercetin for treatment of breast, ovarian, and multidrug resistant cancers. Int. J. Nanomed. 2018, 13, 2869–2881. [Google Scholar] [CrossRef]
- Saxena, V.; Hussain, M.D. Poloxamer 407/TPGS mixed micelles for delivery of gambogic acid to breast and multidrug-resistant cancer. Int. J. Nanomed. 2012, 7, 713–721. [Google Scholar] [CrossRef] [PubMed]
- Li, F.; Gao, C.; Yan, P.; Zhang, M.; Wang, Y.; Hu, Y.; Wu, X.; Wang, X.; Sheng, J. EGCG Reduces Obesity and White Adipose Tissue Gain Partly Through AMPK Activation in Mice. Front. Pharmacol. 2018, 9, 1366. [Google Scholar] [CrossRef]
- Mao, D.; Guo, J.; Yang, K.; Yang, F.; Peng, J.; Jia, X.; Luo, Z.; Liu, L.; Yang, E.; Tang, R.; et al. Mechanism of epigallocatechin gallate in treating non-alcoholic fatty liver disease: Insights from network pharmacology and experimental validation. Biochem. Biophys. Res. Commun. 2024, 734, 150424. [Google Scholar] [CrossRef]
- Chan, P.; Ramot, Y.; Malarkey, D.; Blackshear, P.; Kissling, G.; Travlos, G.; Nyska, A. Fourteen-Week Toxicity Study of Green Tea Extract in Rats and Mice. Toxicol. Pathol. 2010, 38, 1070–1084. [Google Scholar] [CrossRef]
- Ishii, S.; Kitazawa, H.; Mori, T.; Kirino, A.; Nakamura, S.; Osaki, N.; Shimotoyodome, A.; Tamai, I. Identification of the Catechin Uptake Transporter Responsible for Intestinal Absorption of Epigallocatechin Gallate in Mice. Sci. Rep. 2019, 9, 11014. [Google Scholar] [CrossRef]
- Forester, S.C.; Lambert, J.D. The catechol-O-methyltransferase inhibitor, tolcapone, increases the bioavailability of unmethylated (-)-epigallocatechin-3-gallate in mice. J. Funct. Foods 2015, 17, 183–188. [Google Scholar] [CrossRef]
- Park, J.E.; Kim, T.E.; Shin, K.H. Quantitative Analysis of Four Catechins from Green Tea Extract in Human Plasma Using Ultra-Performance Liquid Chromatography-Tandem Mass Spectrometry for Pharmacokinetic Studies. Molecules 2018, 23, 984. [Google Scholar] [CrossRef]
- Dahiya, S.; Rani, R.; Dhingra, D.; Kumar, S.; Dilbaghi, N. Conjugation of epigallocatechin gallate and piperine into a zein nanocarrier: Implication on antioxidant and anticancer potential. Adv. Nat. Sci. Nanosci. Nanotechnol. 2018, 9, 035011. [Google Scholar] [CrossRef]
- Liu, R.; Yan, X.; Liu, Z.; McClements, D.J.; Liu, F.; Liu, X. Fabrication and characterization of functional protein-polysaccharide-polyphenol complexes assembled from lactoferrin, hyaluronic acid and (-)-epigallocatechin gallate. Food Funct. 2019, 10, 1098–1108. [Google Scholar] [CrossRef]
- Wang, D.; Kim, D.; Shin, C.-H.; Zhao, Y.; Park, J.-S.; Ryu, M. Evaluation of epigallocatechin gallate (EGCG) to remove Pb(II) using spectroscopic and quantum chemical calculation method. Environ. Earth Sci. 2019, 78, 138. [Google Scholar] [CrossRef]
- Sharma, P.; Chauhan, M. Optimization and evaluation of encapsulated brimonidine tartrate-loaded nanoparticles incorporation in situ gel for efficient intraocular pressure reduction. J. Solgel. Sci. Technol. 2020, 95, 190–201. [Google Scholar] [CrossRef]
- Karolewicz, B.; Gajda, M.; Górniak, A.; Owczarek, A.; Mucha, I. Pluronic F127 as a suitable carrier for preparing the imatinib base solid dispersions and its potential in development of a modified release dosage forms. J. Therm. Anal. Calorim. 2017, 130, 383–390. [Google Scholar] [CrossRef]
- Chary, P.S.; Bansode, A.; Rajana, N.; Bhavana, V.; Singothu, S.; Sharma, A.; Guru, S.K.; Bhandari, V.; Mehra, N.K. Enhancing breast cancer treatment: Comprehensive study of gefitinib-loaded poloxamer 407/TPGS mixed micelles through design, development, in-silico modelling, In-Vitro testing, and Ex-Vivo characterization. Int. J. Pharm. 2024, 657, 124109. [Google Scholar] [CrossRef]
- Cieuta-Walti, C.; Cuenca-Royo, A.; Langohr, K.; Rakic, C.; López-Vílchez, M.; Lirio, J.; González-Lamuño Leguina, D.; González, T.B.; García, J.G.; Roure, M.R.; et al. Safety and preliminary efficacy on cognitive performance and adaptive functionality of epigallocatechin gallate (EGCG) in children with Down syndrome. A randomized phase Ib clinical trial (PERSEUS study). Genet. Med. 2022, 24, 2004–2013. [Google Scholar] [CrossRef]
- Hu, J.; Webster, D.; Cao, J.; Shao, A. The safety of green tea and green tea extract consumption in adults—Results of a systematic review. Regul. Toxicol. Pharmacol. 2018, 95, 412–433. [Google Scholar] [CrossRef] [PubMed]
- Isbrucker, R.A.; Edwards, J.A.; Wolz, E.; Davidovich, A.; Bausch, J. Safety studies on epigallocatechin gallate (EGCG) preparations. Part 2: Dermal, acute and short-term toxicity studies. Food Chem. Toxicol. 2006, 44, 636–650. [Google Scholar] [CrossRef]
- Isbrucker, R.A.; Edwards, J.A.; Wolz, E.; Davidovich, A.; Bausch, J. Safety studies on epigallocatechin gallate (EGCG) preparations. Part 3: Teratogenicity and reproductive toxicity studies in rats. Food Chem. Toxicol. 2006, 44, 651–661. [Google Scholar] [CrossRef]
- Isbrucker, R.A.; Bausch, J.; Edwards, J.A.; Wolz, E. Safety studies on epigallocatechin gallate (EGCG) preparations. Part 1: Genotoxicity. Food Chem. Toxicol. 2006, 44, 626–635. [Google Scholar] [CrossRef]
- Dickson, P.W.; Qin, C.; Shijie, C.; Cheng, X.; Hui, X.; Jing, Y. Rediscovering Tocophersolan: A Renaissance for Nano-Based Drug Delivery and Nanotheranostic Applications. Curr. Drug Targets 2021, 22, 856–869. [Google Scholar] [CrossRef] [PubMed]
- Janle, E.M.; Morre, D.M.; Morre, D.J.; Zhou, Q.; Zhu, Y. Pharmacokinetics of green tea catechins in extract and sustained-release preparations. J. Diet. Suppl. 2008, 5, 248–263. [Google Scholar] [CrossRef] [PubMed]









| Observations | Category | Explanation |
|---|---|---|
| General condition | Normal | Awake, active, reacts to stimulation |
| Mild | Burrows in litter, hides, lies still but is startled when handled | |
| Severe | Immobile, little or no voluntary movement. Burrows/hides. Presses head against cage bottom. Vocalizes. Extremely afraid and/or aggressive when handled | |
| Porphyrin staining and/or eye inflammation | Absent | No discoloration, clean and clear eyes |
| Mild | Some porphyrin and/or discharge around eyes and nose | |
| Severe | Obvious porphyrin on ‘face’ and/or on legs and paws. Eye(s) closed, squints and/or discharge around eye(s) | |
| Movements and posture | Normal | Normal coordination without any difficulty in movements |
| Mild | Moderate in-coordination when animal is stimulated; hunched posture | |
| Severe | Marked in-coordination, head held at angle, hunched posture and/or back, does not support itself on all four limbs and/or paralysis | |
| Piloerection | Absent | Fur smooth and well-groomed |
| Mild | Moderate piloerection | |
| Severe | Severe piloerection, sticky and poorly groomed fur | |
| Skin | Normal | Skin covered entirely with fur. No sores or other signs of injury |
| Mild | Small sores or scabs, no infection; scratching (signs of itching) | |
| Severe | Bites or scratches itself or trauma from others. Signs of infection such as redness and/or pus or serious discharge; sticky and poorly groomed fur. Non-healing operation wounds or broken sutures | |
| Appetite/Food and water intake | Normal | Normal appetite, eating and drinking regularly |
| Mild | Reduced appetite, consume less food and water | |
| Severe | No interest in food and appears dehydrated | |
| Defecation | Normal | Firm fecal boli with brown colour |
| Mild | Feces looser or harder than normal and/or abnormal colour | |
| Severe | Diarrhea (excessive watery stool)/Constipation (no stool or very hard stool) and/or abnormal colour | |
| Urination | Normal | Normal urine colour (pale yellow to yellowish) without any odour |
| Abnormal | Abnormal urine colour and/or has strong odour | |
| Breathing Difficulties | Absent | Normal respiration, not strained or wheezy |
| Present | Breathes with open mouth, abdominal breathing or panting, crackle and/or gasping noises |
| Mean ± SEM | ||
|---|---|---|
| Parameter | EGCG | EGCG Micelle |
| AUC (ng/mL·h) | 2758.03 ± 463.91 | 6277.62 ± 1178.96 * |
| Cmax (ng/mL) | 655.70 ± 95.52 | 1202.24 ± 212.58 * |
| Tmax (h) | 1.71 ± 0.18 | 2.00 ± 0.45 |
| T1/2 (h) | 1.53 ± 0.16 | 6.51 ± 2.43 |
Disclaimer/Publisher’s Note: The statements, opinions and data contained in all publications are solely those of the individual author(s) and contributor(s) and not of MDPI and/or the editor(s). MDPI and/or the editor(s) disclaim responsibility for any injury to people or property resulting from any ideas, methods, instructions or products referred to in the content. |
© 2025 by the authors. Licensee MDPI, Basel, Switzerland. This article is an open access article distributed under the terms and conditions of the Creative Commons Attribution (CC BY) license (https://creativecommons.org/licenses/by/4.0/).
Share and Cite
Wong, C.N.; Liew, K.B.; Lim, Y.M.; Chew, Y.-L.; Chua, A.-L.; Yang, S.-B.; Lee, S.-K. Development and Characterization of EGCG-Loaded TPGS/Poloxamer 407 Micelles with Evaluation of In Vitro Drug Release and In Vivo Pharmacokinetics and Tolerability Observations Following Oral Administration. Pharmaceutics 2025, 17, 1441. https://doi.org/10.3390/pharmaceutics17111441
Wong CN, Liew KB, Lim YM, Chew Y-L, Chua A-L, Yang S-B, Lee S-K. Development and Characterization of EGCG-Loaded TPGS/Poloxamer 407 Micelles with Evaluation of In Vitro Drug Release and In Vivo Pharmacokinetics and Tolerability Observations Following Oral Administration. Pharmaceutics. 2025; 17(11):1441. https://doi.org/10.3390/pharmaceutics17111441
Chicago/Turabian StyleWong, Chee Ning, Kai Bin Liew, Yang Mooi Lim, Yik-Ling Chew, Ang-Lim Chua, Shi-Bing Yang, and Siew-Keah Lee. 2025. "Development and Characterization of EGCG-Loaded TPGS/Poloxamer 407 Micelles with Evaluation of In Vitro Drug Release and In Vivo Pharmacokinetics and Tolerability Observations Following Oral Administration" Pharmaceutics 17, no. 11: 1441. https://doi.org/10.3390/pharmaceutics17111441
APA StyleWong, C. N., Liew, K. B., Lim, Y. M., Chew, Y.-L., Chua, A.-L., Yang, S.-B., & Lee, S.-K. (2025). Development and Characterization of EGCG-Loaded TPGS/Poloxamer 407 Micelles with Evaluation of In Vitro Drug Release and In Vivo Pharmacokinetics and Tolerability Observations Following Oral Administration. Pharmaceutics, 17(11), 1441. https://doi.org/10.3390/pharmaceutics17111441

