Development of Spray-Dried Micelles, Liposomes, and Solid Lipid Nanoparticles for Enhanced Stability
Abstract
1. Introduction
2. Materials and Methods
2.1. Materials
2.2. Preparation of LDV-Targeted Micelles, Liposomes, and SLNs
2.3. Preparation of Spray-Dried Micelles, Liposomes, and SLNs
2.4. Solid-State Characterization of Spray-Dried Powder Formulations
2.4.1. Process Yields of Spray-Dried Powder Formulations
2.4.2. Scanning Electron Microscopy (SEM)
2.4.3. Differential Scanning Calorimetry (DSC)
2.4.4. Moisture Content
2.5. Physicochemical Characterization of Micelles, Liposomes, and SLNs
2.5.1. Reconstitution of Spray-Dried Micelles, Liposomes, and SLNs
2.5.2. Size, Surface Charge, and Drug Content of Micelles, Liposomes, and SLNs
2.5.3. Short-Term Stability of Reconstituted Micelles, Liposomes, and SLNs
2.6. Statistical Analysis
3. Results
3.1. Spray-Drying Process Yield
3.2. Solid-State Characterization of Spray-Dried Powders
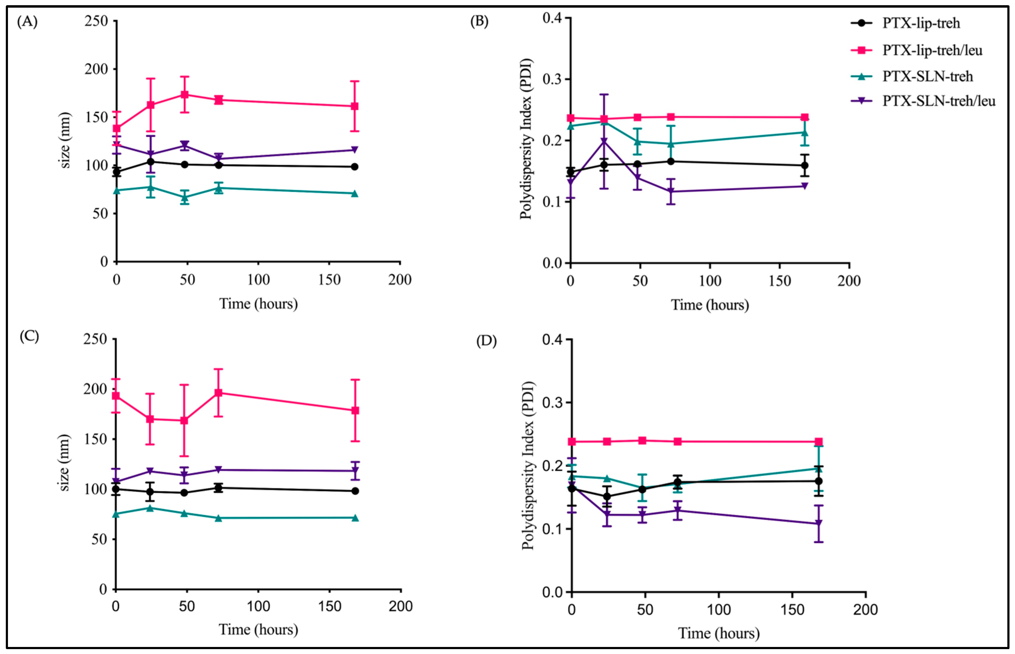
3.3. Stability of Reconstituted Micelles, Liposomes, and SLNs
3.4. Short-Term Stability of Micelles, Liposomes, and SLNs
4. Discussion
5. Conclusions
Author Contributions
Funding
Institutional Review Board Statement
Informed Consent Statement
Data Availability Statement
Acknowledgments
Conflicts of Interest
References
- Shan, X.; Gong, X.; Li, J.; Wen, J.; Li, Y.; Zhang, Z. Current approaches of nanomedicines in the market and various stage of clinical translation. Acta Pharm. Sin. B 2022, 12, 3028–3048. [Google Scholar] [CrossRef]
- Vaze, O. Pharmaceutical Nanocarriers (Liposomes and Micelles) in Cancer Therapy. J. Nanomed. Nanotechnol. 2016, 7, 3. [Google Scholar] [CrossRef]
- Zhang, Y.; Huang, Y.; Li, S. Polymeric Micelles: Nanocarriers for Cancer-Targeted Drug Delivery. Aaps Pharmscitech 2014, 15, 862–871. [Google Scholar] [CrossRef] [PubMed]
- Liu, P.; Chen, G.; Zhang, J. A Review of Liposomes as a Drug Delivery System: Current Status of Approved Products, Regulatory Environments, and Future Perspectives. Molecules 2022, 27, 1372. [Google Scholar] [CrossRef]
- German-Cortés, J.; Vilar-Hernández, M.; Rafael, D.; Abasolo, I.; Andrade, F. Solid Lipid Nanoparticles: Multitasking Nano-Carriers for Cancer Treatment. Pharmaceutics 2023, 15, 831. [Google Scholar] [CrossRef] [PubMed]
- Ingvarsson, P.T.; Yang, M.; Nielsen, H.M.; Rantanen, J.; Foged, C. Stabilization of liposomes during drying. Expert Opin. Drug Deliv. 2011, 8, 375–388. [Google Scholar] [CrossRef]
- Ball, R.L.; Bajaj, P.; Whitehead, K. Achieving long-term stability of lipid nanoparticles: Examining the effect of pH, temperature, and lyophilization. Int. J. Nanomed. 2017, 12, 305–315. [Google Scholar] [CrossRef] [PubMed]
- Hussain, M.S.; Faisal, K.S.; Clulow, A.J.; Albrecht, H.; Krasowska, M.; Blencowe, A. Influence of Lyophilization and Cryoprotection on the Stability and Morphology of Drug-Loaded Poly(ethylene glycol-b-ε-caprolactone) Micelles. Polymers 2023, 15, 1974. [Google Scholar] [CrossRef]
- Nguyen, T.-T.-L.; Duong, V.-A. Solid Lipid Nanoparticles. Encyclopedia 2022, 2, 952–973. [Google Scholar] [CrossRef]
- van Winden, E.C.A. Freeze-Drying of Liposomes: Theory and Practice. In Methods in Enzymology; Academic Press: Cambridge, MA, USA, 2003; pp. 99–110. [Google Scholar]
- Yu, J.Y.; Chuesiang, P.; Shin, G.H.; Park, H.J. Post-Processing Techniques for the Improvement of Liposome Stability. Pharmaceutics 2021, 13, 1023. [Google Scholar] [CrossRef]
- Sosnik, A.; Seremeta, K.P. Advantages and challenges of the spray-drying technology for the production of pure drug particles and drug-loaded polymeric carriers. Adv. Colloid Interface Sci. 2015, 223, 40–54. [Google Scholar] [CrossRef] [PubMed]
- Haggag, Y.A.; Faheem, A.M. Evaluation of nano spray drying as a method for drying and formulation of therapeutic peptides and proteins. Front. Pharmacol. 2015, 6, 140. [Google Scholar] [CrossRef] [PubMed]
- Dattani, S.; Li, X.; Lampa, C.; Lechuga-Ballesteros, D.; Barriscale, A.; Damadzadeh, B.; Jasti, B.R. A comparative study on micelles, liposomes and solid lipid nanoparticles for paclitaxel delivery. Int. J. Pharm. 2023, 631, 122464. [Google Scholar] [CrossRef]
- Dattani, P. Development and Characterization of LDV Peptide Targeted Nanocarriers for Paclitaxel Delivery: A Comparative Study of Micelles, Liposomes and Solid Lipid Nanoparticles. Ph.D. Thesis, University of the Pacific, Stockton, CA, USA, 2019. Available online: https://scholarlycommons.pacific.edu/uop_etds/3623 (accessed on 8 January 2025).
- Saraf, P.; Li, X.; Wrischnik, L.; Jasti, B. In Vitro and In Vivo Efficacy of Self-Assembling RGD Peptide Amphiphiles for Targeted Delivery of Paclitaxel. Pharm. Res. 2015, 32, 3087–3101. [Google Scholar] [CrossRef] [PubMed]
- Zhang, J.A.; Anyarambhatla, G.; Ma, L.; Ugwu, S.; Xuan, T.; Sardone, T.; Ahmad, I. Development and characterization of a novel Cremophor® EL free liposome-based paclitaxel (LEP-ETU) formulation. Eur. J. Pharm. Biopharm. 2005, 59, 177–187. [Google Scholar] [CrossRef]
- Correia, M.G.S.; Briuglia, M.L.; Niosi, F.; Lamprou, D.A. Microfluidic manufacturing of phospholipid nanoparticles: Stability, encapsulation efficacy, and drug release. Int. J. Pharm. 2017, 516, 91–99. [Google Scholar] [CrossRef] [PubMed]
- Joshi, S.; Hussain, M.T.; Roces, C.B.; Anderluzzi, G.; Kastner, E.; Salmaso, S.; Kirby, D.J.; Perrie, Y. Microfluidics based manufacture of liposomes simultaneously entrapping hydrophilic and lipophilic drugs. Int. J. Pharm. 2016, 514, 160–168. [Google Scholar] [CrossRef]
- Kulkarni, J.A.; Darjuan, M.M.; Mercer, J.E.; Chen, S.; van der Meel, R.; Thewalt, J.L.; Tam, Y.Y.C.; Cullis, P.R. On the Formation and Morphology of Lipid Nanoparticles Containing Ionizable Cationic Lipids and siRNA. ACS Nano 2018, 12, 4787–4795. [Google Scholar] [CrossRef] [PubMed]
- Chen, K.-H.; Mueannoom, W.; Gaisford, S.; Kett, V.L. Investigation into the effect of varying l-leucine concentration on the product characteristics of spray-dried liposome powders. J. Pharm. Pharmacol. 2012, 64, 1412–1424. [Google Scholar] [CrossRef]
- Degobert, G.; Aydin, D. Lyophilization of Nanocapsules: Instability Sources, Formulation and Process Parameters. Pharmaceutics 2021, 13, 1112. [Google Scholar] [CrossRef]
- Levit, S.L.; Stwodah, R.M.; Tang, C. Rapid, Room Temperature Nanoparticle Drying and Low-Energy Reconstitution via Electrospinning. J. Pharm. Sci. 2018, 107, 807–813. [Google Scholar] [CrossRef]
- Drake, A.C.; Lee, Y.; Burgess, E.M.; Karlsson, J.O.M.; Eroglu, A.; Higgins, A.Z. Effect of water content on the glass transition temperature of mixtures of sugars, polymers, and penetrating cryoprotectants in physiological buffer. PLoS ONE 2018, 13, e0190713. [Google Scholar] [CrossRef] [PubMed]
- Olusanya, T.O.B.; Haj Ahmad, R.R.; Ibegbu, D.M.; Smith, J.R.; Elkordy, A.A. Liposomal Drug Delivery Systems and Anticancer Drugs. Molecules 2018, 23, 907. [Google Scholar] [CrossRef] [PubMed]
- Xia, D.; Shrestha, N.; van de Streek, J.; Mu, H.; Yang, M. Spray drying of fenofibrate loaded nanostructured lipid carriers. Asian J. Pharm. Sci. 2016, 11, 507–515. [Google Scholar] [CrossRef]
- Munir, M.; Kett, V.L.; Dunne, N.J.; McCarthy, H.O. Development of a Spray-Dried Formulation of Peptide-DNA Nanoparticles into a Dry Powder for Pulmonary Delivery Using Factorial Design. Pharm. Res. 2022, 39, 1215–1232. [Google Scholar] [CrossRef] [PubMed]
- Lechuga-Ballesteros, D.; Charan, C.; Stults, C.L.; Stevenson, C.L.; Miller, D.P.; Vehring, R.; Tep, V.; Kuo, M. Trileucine improves aerosol performance and stability of spray-dried powders for inhalation. J. Pharm. Sci. 2008, 97, 287–302. [Google Scholar] [CrossRef] [PubMed]
- Yue-Xing, C.; Fei-Fei, Y.; Han, W.; Tao-Tao, F.; Chun-Yu, L.; Li-Hui, Q.; Yong-Hong, L. The effect of l -leucine on the stabilization and inhalability of spray-dried solid lipid nanoparticles for pulmonary drug delivery. J. Drug Deliv. Sci. Technol. 2018, 46, 474–481. [Google Scholar] [CrossRef]
- Chougule, M.; Padhi, B.; Misra, A. Development of spray dried liposomal dry powder inhaler of dapsone. Aaps Pharmscitech 2008, 9, 47–53. [Google Scholar] [CrossRef] [PubMed]
- Mehanna, M.M.; Mohyeldin, S.M.; Elgindy, N.A. Rifampicin-Carbohydrate Spray-Dried Nanocomposite: A Futuristic Multiparticulate Platform For Pulmonary Delivery. Int. J. Nanomed. 2019, 14, 9089–9112. [Google Scholar] [CrossRef] [PubMed]
- Miao, L.; Huang, L. Exploring the tumor microenvironment with nanoparticles. Cancer Treat Res. 2015, 166, 193–226. [Google Scholar]
- Li, L.; Wang, H.; Ye, J.; Chen, Y.; Wang, R.; Jin, D.; Liu, Y. Mechanism Study on Nanoparticle Negative Surface Charge Modification by Ascorbyl Palmitate and Its Improvement of Tumor Targeting Ability. Molecules 2022, 27, 4408. [Google Scholar] [CrossRef] [PubMed]
- Ghezzi, M.; Pescina, S.; Padula, C.; Santi, P.; Del Favero, E.; Cantù, L.; Nicoli, S. Polymeric micelles in drug delivery: An insight of the techniques for their characterization and assessment in biorelevant conditions. J. Control. Release 2021, 332, 312–336. [Google Scholar] [CrossRef] [PubMed]
- Fonte, P.; Soares, S.; Costa, A.; Andrade, J.C.; Seabra, V.; Reis, S.; Sarmento, B. Effect of cryoprotectants on the porosity and stability of insulin-loaded PLGA nanoparticles after freeze-drying. Biomatter 2012, 2, 329–339. [Google Scholar] [CrossRef] [PubMed]
- Gao, H.; He, Q. The interaction of nanoparticles with plasma proteins and the consequent influence on nanoparticles behavior. Expert. Opin. Drug Deliv. 2014, 11, 409–420. [Google Scholar] [CrossRef]
- Singh, V.; Dolovich, M.; Xing, Z.; Cranston, E.D.; Thompson, M.R. Effect of leucine as an aerosolization enhancer on the bioactivity of spray dried viral-vectored vaccines for inhalation. RSC Pharm. 2024, 1, 775–785. [Google Scholar] [CrossRef]
- Jyothi, V.G.S.; Bulusu, R.; Rao, B.V.K.; Pranothi, M.; Banda, S.; Bolla, P.K.; Kommineni, N. Stability characterization for pharmaceutical liposome product development with focus on regulatory considerations: An update. Int. J. Pharm. 2022, 624, 122022. [Google Scholar] [CrossRef] [PubMed]
- Wessman, P.; Edwards, K.; Mahlin, D. Structural effects caused by spray- and freeze-drying of liposomes and bilayer disks. J. Pharm. Sci. 2010, 99, 2032–2048. [Google Scholar] [CrossRef] [PubMed]
- Sawant, K.K.; Varia, J.K.; Dodiya, S.S. Cyclosporine a loaded solid lipid nanoparticles: Optimization of formulation, process variable and characterization. Curr. Drug Deliv. 2008, 5, 64–69. [Google Scholar] [CrossRef] [PubMed]
- Nguyen, V.H.; Le, K.N.M.; Nguyen, M.C.N. Spray-dried Solid Lipid Nanoparticles for Enhancing Berberine Bioavailability via Oral Administration. Curr. Pharm. Des. 2023, 29, 3050–3059. [Google Scholar] [CrossRef] [PubMed]





| Nanocarrier | Nanocarrier (wt %) | Trehalose (wt %) | L-Leucine (wt %) | Concentration Feedstock (mg/mL) |
|---|---|---|---|---|
| PTX-micelle | 2.5 | 97.5 | - | 20 |
| PTX-liposome | 2.5 | 97.5 | - | 20 |
| PTX-SLN | 2.5 | 97.5 | - | 20 |
| PTX-micelle | 2.5 | 77.5 | 20 | 20 |
| PTX-liposome | 2.5 | 77.5 | 20 | 20 |
| PTX-SLN | 2.5 | 77.5 | 20 | 20 |
| Nanocarrier | Spray Drying Excipients | Process Yield (%) | Tg Onset (°C) | Mid-Point Tg (°C) | Moisture Content (%) |
|---|---|---|---|---|---|
| PTX-micelle | trehalose | 71.50 | 97.65 ± 0.83 | 100.77 ± 0.00 | 1.29 ± 0.05 |
| PTX-liposome | trehalose | 79.50 | 94.26 ± 2.97 | 98.91 ± 0.00 | 1.85 ± 0.01 |
| PTX-SLN | trehalose | 80.50 | 96.33 ± 0.02 | 98.10 ± 0.10 | 1.42 ± 0.01 |
| PTX-micelle | trehalose/L-leucine | 74.50 | 92.11 ± 0.09 | 95.07 ± 0.86 | 1.08 ± 0.03 |
| PTX-liposome | trehalose/L-leucine | 83.50 | 90.98 ± 0.80 | 95.17 ± 1.43 | 1.44 ± 0.04 |
| PTX-SLN | trehalose/L-leucine | 79.50 | 95.39 ± 0.77 | 98.23 ± 0.77 | 1.01 ± 0.03 |
| Nanocarrier | Spray-Drying Excipients | Observation upon Reconstitution | PTX Recovery (%) | Ratio (Si/Sf) |
|---|---|---|---|---|
| PTX-micelle | trehalose | clear solution | 98.79 | ND |
| PTX-liposome | trehalose | clear solution | 96.74 | 1.08 |
| PTX-SLN | trehalose | clear solution | 70.58 | 1.09 |
| PTX-micelle | Trehalose/L-leucine | cloudy solution | 96.08 | ND |
| PTX-liposome | Trehalose/L-leucine | cloudy solution | 88.27 | 0.72 |
| PTX-SLN | Trehalose/L-leucine | cloudy solution | 65.85 | 0.64 |
Disclaimer/Publisher’s Note: The statements, opinions and data contained in all publications are solely those of the individual author(s) and contributor(s) and not of MDPI and/or the editor(s). MDPI and/or the editor(s) disclaim responsibility for any injury to people or property resulting from any ideas, methods, instructions or products referred to in the content. |
© 2025 by the authors. Licensee MDPI, Basel, Switzerland. This article is an open access article distributed under the terms and conditions of the Creative Commons Attribution (CC BY) license (https://creativecommons.org/licenses/by/4.0/).
Share and Cite
Dattani, S.; Li, X.; Lampa, C.; Barriscale, A.; Damadzadeh, B.; Lechuga-Ballesteros, D.; Jasti, B.R. Development of Spray-Dried Micelles, Liposomes, and Solid Lipid Nanoparticles for Enhanced Stability. Pharmaceutics 2025, 17, 122. https://doi.org/10.3390/pharmaceutics17010122
Dattani S, Li X, Lampa C, Barriscale A, Damadzadeh B, Lechuga-Ballesteros D, Jasti BR. Development of Spray-Dried Micelles, Liposomes, and Solid Lipid Nanoparticles for Enhanced Stability. Pharmaceutics. 2025; 17(1):122. https://doi.org/10.3390/pharmaceutics17010122
Chicago/Turabian StyleDattani, Shradha, Xiaoling Li, Charina Lampa, Amanda Barriscale, Behzad Damadzadeh, David Lechuga-Ballesteros, and Bhaskara R. Jasti. 2025. "Development of Spray-Dried Micelles, Liposomes, and Solid Lipid Nanoparticles for Enhanced Stability" Pharmaceutics 17, no. 1: 122. https://doi.org/10.3390/pharmaceutics17010122
APA StyleDattani, S., Li, X., Lampa, C., Barriscale, A., Damadzadeh, B., Lechuga-Ballesteros, D., & Jasti, B. R. (2025). Development of Spray-Dried Micelles, Liposomes, and Solid Lipid Nanoparticles for Enhanced Stability. Pharmaceutics, 17(1), 122. https://doi.org/10.3390/pharmaceutics17010122
