Spray-Drying Microencapsulation of Bauhinia ungulata L. var. obtusifolia Aqueous Extract Containing Phenolic Compounds: A Comparative Study Using Different Wall Materials
Abstract
1. Introduction
2. Materials and Methods
2.1. Materials
2.2. Methods
2.2.1. Preparation of Lyophilized Aqueous Extract
2.2.2. Preparation of the Encapsulated Extract
Determination of the Solution’s Viscosity
Spray-Drying of the Solutions
2.2.3. Yield of Spray-Drying Process
2.2.4. Characterization of the SD Microparticles
Morphology
Particle Size Distribution
2.2.5. Assays for the Quantitative Determination of Phenolic Compounds
Total Phenolics Retained in the SD Microparticles
Total Phenolic Compounds on the Microparticle Surface
Determination of Total Phenolic Content in the Microparticles
Determination of Total Flavonoid Content
2.2.6. Total Antioxidant Activity
DPPH Assay
ABTS Assay
2.2.7. Encapsulation Efficiency
2.2.8. Encapsulation Yield of the Phenolic Compounds
2.2.9. Thermogravimetric Analysis
2.2.10. Differential Scanning Calorimetry
2.2.11. Qualitative and Quantitative Analyses of Compounds in the Microparticles Using High-Performance Liquid Chromatography
Chromatographic Conditions
Qualitative Analyses of the Compounds
Quantitative Analyses of the Compounds
2.2.12. Statistical Analysis
3. Results
3.1. Preparation of Spray-Drying Microparticles
3.2. Yield of Spray-Drying Process
3.3. Morphology and Particle Size Distribution
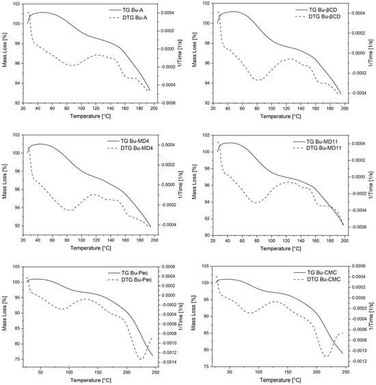
3.4. Thermal Behavior of the Microparticles
3.5. Total Phenolic Content, Total Flavonoid Content, Yield of Encapsulation, and Encapsulation Efficiency
3.6. Antioxidant Activity
3.7. Characterization and Quantification of Phenolic Compounds in the Microparticles HPLC-DAD
4. Discussion
4.1. Spray-Drying Process
4.2. Morphology and Particle Size of Spray-Dried Microparticles
4.3. Thermal Behavior of Encapsulated Extract
4.4. Phenolic Compounds
4.5. Encapsulation Efficiency
4.6. Antioxidant Activity
5. Conclusions
Supplementary Materials
Author Contributions
Funding
Institutional Review Board Statement
Informed Consent Statement
Data Availability Statement
Acknowledgments
Conflicts of Interest
References
- da Fonseca Vaz, A.M.S.; Tozzi, A.M.G.A. Bauhinia ser. Cansenia (Leguminosae: Caesalpinioideae) no Brazil. Rodriguésia 2003, 54, 55–143. [Google Scholar]
- Tropicos v3.4.2. Available online: https://www.tropicos.org/Name/100297284 (accessed on 15 May 2019).
- Flora e fauna do Brasil. Available online: http://floradobrasil.jbrj.gov.br/reflora/listaBrasil/PrincipalUC/PrincipalUC.do;jsessionid=5923F194BDA7DA1448013CFF9EB8DC9A#CondicaoTaxonCP (accessed on 14 February 2019).
- van den Berg, M.E.; da Silva, M.H.L. Contribuição ao conhecimento da flora medicinal de Roraima. Acta amazônica 1988, 18, 23–35. [Google Scholar] [CrossRef][Green Version]
- Scoles, R. Sabiduría popular y plantas medicinales: El ejemplo de la comunidad negra de Itacoã, Acará, Pará. Bol. Mus. Para. Emílio Goeldi Cienc. Nat. 2006, 1, 79–102. [Google Scholar] [CrossRef]
- da Silva Port’s, P.; Chisté, R.C.; Godoy, H.T.; Prado, M.A. The phenolic compounds and the antioxidant potential of infusion of herbs from the Brazilian Amazonian region. Food Res. Int. 2013, 53, 875–881. [Google Scholar] [CrossRef]
- Li, A.N.; Li, S.; Zhang, Y.J.; Xu, X.R.; Chen, Y.M.; Li, H.B. Resources and biological activities of natural polyphenols. Nutrients 2014, 6, 6020–6047. [Google Scholar] [CrossRef] [PubMed]
- Rudrapal, M.; Khairnar, S.J.; Khan, J.; Dukhyil, A.B.; Ansari, M.A.; Alomary, M.N.; Alshabrmi, F.M.; Palai, S.; Deb, P.K.; Devi, R. Dietary polyphenols and their role in oxidative stress-induced human diseases: Insights into protective effects, antioxidant potentials and mechanism(s) of action. Front. Pharmacol. 2022, 13, 806470. [Google Scholar] [CrossRef] [PubMed]
- Fang, Z.; Bhandari, B. Effect of spray drying and storage on the stability of bayberry polyphenols. Food Chem. 2011, 129, 1139–1147. [Google Scholar] [CrossRef] [PubMed]
- Escobar-Avello, D.; Avendaño-Godoy, J.; Santos, J.; Lozano-Castellón, J.; Mardones, C.; Von Baer, D.; Luengo, J.; Lamuela-Raventós, R.M.; Vallverdú-Queralt, A.; Gómez-Gaete, C. Encapsulation of phenolic compounds from a grape cane pilot-plant extract in hydroxypropyl beta-cyclodextrin and maltodextrin by spray drying. Antioxidants 2021, 10, 1130. [Google Scholar] [CrossRef] [PubMed]
- Poomkokrak, J.; Niamnuy, C.; Choicharoen, K.; Devahastin, S. Encapsulation of soybean extract using spray drying. J. Food Sci. Agricultural Tech. 2015, 1, 105–110. [Google Scholar]
- Lu, W.; Yang, X.; Shen, J.; Li, Z.; Tan, S.; Liu, W.; Cheng, Z. Choosing the appropriate wall materials for spray-drying microencapsulation of natural bioactive ingredients: Taking phenolic compounds as examples. Powder Technol. 2021, 394, 562–574. [Google Scholar] [CrossRef]
- Medina-Torres, L.; Santiago-Adame, R.; Calderas, F.; Gallegos-Infante, J.A.; González-Laredo, R.F.; Rocha-Guzmán, N.E.; Núñez-Ramirez, D.M.; Bernad-Bernad, M.J.; Manero, O. Microencapsulation by spray drying of laurel infusions (Litsea glaucescens) with maltodextrin. Ind. Crops Prod. 2016, 90, 1–8. [Google Scholar] [CrossRef]
- Wang, J.; Li, H.; Chen, Z.; Liu, W.; Chen, H. Characterization and storage properties of a new microencapsulation of tea polyphenols. Ind. Crops Prod. 2016, 89, 152–156. [Google Scholar] [CrossRef]
- Li, Y.; Tang, B.; Chen, J.; Lai, P. Microencapsulation of plum (Prunus salicina Lindl.) phenolics by spray drying technology and storage stability. Food Sci. Technol. 2018, 38, 530–536. [Google Scholar]
- Ahmadian, Z.; Niazmand, R.; Pourfarzad, A. Microencapsulation of saffron petal phenolic extract: Their characterization, in vitro gastrointestinal digestion, and storage stability. J. Food Sci. 2019, 84, 2745–2757. [Google Scholar] [CrossRef] [PubMed]
- Chaumun, M.; Goëlo, V.; Ribeiro, A.M.; Rocha, F.; Estevinho, B.N. In vitro evaluation of microparticles with Laurus nobilis L. extract prepared by spray-drying for application in food and pharmaceutical products. Food Bioprod. Process. 2020, 122, 124–135. [Google Scholar] [CrossRef]
- Pourashouri, P.; Shabanpour, B.; Razavi, S.H.; Jafari, S.M.; Shabani, A.; Aubourg, S.P. Oxidative stability of spray-dried microencapsulated fish oils with different wall materials. J. Aquat. Food Prod. 2014, 23, 567–578. [Google Scholar] [CrossRef]
- Caliskan, G.; Dirim, S.N. The effects of the different drying conditions and the amounts of maltodextrin addition during spray drying of sumac extract. Food Bioprod. Process 2013, 91, 539–548. [Google Scholar] [CrossRef]
- Gallegos-Infante, J.A.; Rocha-Guzmán, N.E.; González-Laredo, R.F.; Medina-Torres, L.; Gomez-Aldapa, C.A.; Ochoa-Martínez, L.A.; Martínez-Sánchez, A.E.; Hernández-Santos, B.; Rodríguez-Ramírez, J. Physicochemical properties and antioxidant capacity of oak (Quercus resinosa) leaf infusions encapsulated by spray-drying. Food Biosci. 2013, 2, 31–38. [Google Scholar] [CrossRef]
- Vidović, S.S.; Vladić, J.Z.; Vaštag, Ž.G.; Zeković, Z.P.; Popović, L.M. Maltodextrin as a carrier of health benefit compounds in Satureja montana dry powder extract obtained by spray drying technique. Powder Technol. 2014, 258, 209–215. [Google Scholar] [CrossRef]
- Vladić, J.; Ambrus, R.; Szabó-Révész, P.; Vasić, A.; Cvejin, A.; Pavlić, B.; Vidović, S. Recycling of filter tea industry by-products: Production of A. millefolium powder using spray drying technique. Ind. Crops Prod. 2016, 80, 197–206. [Google Scholar] [CrossRef]
- Nadeem, H.Ş.; Torun, M.; Özdemir, F. Spray drying of the mountain tea (Sideritis stricta) water extract by using different hydrocolloid carriers. LWT Food Sci. Technol. 2011, 44, 1626–1635. [Google Scholar] [CrossRef]
- Pasrija, D.; Ezhilarasi, P.N.; Indrani, D.; Anandharamakrishnan, C. Microencapsulation of green tea polyphenols and its effect on incorporated bread quality. LWT-Food Sci. Technol. 2015, 64, 289–296. [Google Scholar] [CrossRef]
- Pudziuvelyte, L.; Marksa, M.; Jakstas, V.; Ivanauskas, L.; Kopustinskiene, D.M.; Bernatoniene, J. Microencapsulation of Elsholtzia ciliata herb ethanolic extract by spray-drying: Impact of resistant-maltodextrin complemented with sodium caseinate, skim milk, and beta-cyclodextrin on the quality of spray-dried powders. Molecules 2019, 24, 1461. [Google Scholar] [CrossRef] [PubMed]
- Díaz-Bandera, D.; Villanueva-Carvajal, A.; Dublán-García, O.; Quintero-Salazar, B.; Dominguez-Lopez, A. Assessing release kinetics and dissolution of spray-dried Roselle (Hibiscus sabdariffa L.) extract encapsulated with different carrier agents. LWT Food Sci. Technol. 2015, 64, 693–698. [Google Scholar] [CrossRef]
- Freitas, C.M.P.; Coimbra, J.S.R.; Souza, V.G.L.; Sousa, R.C.S. Structure and applications of pectin in food, biomedical, and pharmaceutical industry: A review. Coatings 2021, 11, 922. [Google Scholar] [CrossRef]
- Kamel, S.; Ali, N.; Jahangir, K.; Shah, S.M.; El-Gendy, A.A. Pharmaceutical significance of cellulose: A review. Express Polym. Lett. 2008, 2, 758–778. [Google Scholar]
- Tchabo, W.; Ma, Y.; Kapuso, G.K.; Kwaw, E.; Cheno, R.W.; Xiao, L.; Osae, R.; Wu, M.; Farooq, M. Process analysis of mulberry (Morus alba) leaf extract encapsulation: Effects of spray drying conditions on bioactive encapsulated powder quality. Food Biopr. Technol. 2019, 12, 122–146. [Google Scholar] [CrossRef]
- Gallo, L.; Ramírez-Rigo, M.V.; Piña, J.; Palma, S.; Allemandi, D.; Bucalá, V. Valeriana officinalis dry plant extract for direct compression: Preparation and characterization. Sci. Pharm. 2012, 80, 1013–1026. [Google Scholar] [CrossRef] [PubMed]
- Brazilian Pharmacopoeia, 1st ed.; Brazilian Health Regulatory Agency: Brasilia, Brazil, 1926; p. 520.
- Brazilian Pharmacopoeia, 6th ed.; Brazilian Health Regulatory Agency: Brasilia, Brazil, 2019; Volume 1, p. 332.
- Cunha, A.M.; Menon, S.; Menon, R.; Couto, A.G.; Bürger, C.; Biavatti, M.W. Hypoglycemic activity of dried extracts of Bauhinia forficata Link. Phytomedicine 2010, 17, 37–41. [Google Scholar] [CrossRef]
- Robert, P.; Gorena, T.; Romero, N.; Sepulveda, E.; Chavez, J.; Saenz, C. Encapsulation of polyphenols and anthocyanins from pomegranate (Punica granatum) by spray drying. Int. J. Food Sci. Technol. 2010, 45, 1386–1394. [Google Scholar] [CrossRef]
- Dewanto, V.; Wu, X.; Adom, K.K.; Liu, R.H. Thermal processing enhances the nutritional value of tomatoes by increasing total antioxidant activity. J. Agric. Food Chem. 2002, 50, 3010–3014. [Google Scholar] [CrossRef]
- Remigio, M.S.N. Análise fitoquímica e avaliações bioquímica e da segurança de uso do extrato aquoso de folhas de Bauhinia ungulata var. obtusifolia (Ducke) Vaz. Ph.D. Thesis, Federal University of Pará, Belém, Brazil, 2023. [Google Scholar]
- Costa, R.S.; Teixeira, C.B.; Gabbay Alves, T.V.; Ribeiro-Costa, R.M.; Casazza, A.A.; Aliakbarian, B.; Converti, A.; Silva Júnior, J.O.C.; Perego, P. Optimization of spray drying conditions to microencapsulate cupuassu (Theobroma grandiflorum) seed by-product extract. Nat. Prod. Res. 2019, 33, 2600–2608. [Google Scholar] [CrossRef]
- Rufino, M.D.S.M.; Alves, R.E.; De Brito, E.S.; De Morais, S.M.; Sampaio, C.D.G.; Pérez-Jimenez, J.; Saura-Calixto, F.D. Metodologia Científica: Determinação da atividade antioxidante total em frutas pela captura do radical livre ABTS+. Embrapa Agroindústria Tropical Comunicado Técnico 2007, 128, 1–4. [Google Scholar]
- Rufino, M.D.S.M.; Alves, R.E.; De Brito, E.S.; De Morais, S.M.; Sampaio, C.D.G.; Pérez-Jimenez, J.; Saura-Calixto, F.D. Metodologia científica: Determinação da atividade antioxidante total em frutas pela captura do radical livre DPPH. Embrapa Agroindústria Tropical Comunicado Técnico 2007, 127, 1–4. [Google Scholar]
- Pashazadeh, H.; Zannou, O.; Ghellam, M.; Koca, I.; Galanakis, C.M.; Aldawoud, T.M. Optimization and encapsulation of phenolic compounds extracted from maize waste by freeze-drying, spray-drying, and microwave-drying using maltodextrin. Foods 2021, 10, 1396. [Google Scholar] [CrossRef]
- Zaidel, N.D.A.; Makhtar, N.A.; Jusoh, Y.M.M.; Muhamad, I.I. Efficiency and thermal stability of encapsulated anthocyanins from red dragon fruit (Hylocereus polarizes (Weber) Britton & Rose) using microwave-assisted technique. Chem. Eng. Trans. 2015, 43, 127–132. [Google Scholar]
- Gabbay Alves, T.V.; Silva Da Costa, R.; Aliakbarian, B.; Casazza, A.A.; Perego, P.; Carrera Silva Junior, J.O.; Ribeiro-Costa, R.M.; Converti, A. Microencapsulation of Theobroma cacao L. waste extract: Optimization using response surface methodology. J. Microencapsul. 2017, 34, 111–120. [Google Scholar] [CrossRef]
- Fang, Z.; Bhandari, B. Comparing the efficiency of protein and maltodextrin on spray drying of bayberry juice. Food Res. Int. 2012, 48, 478–483. [Google Scholar] [CrossRef]
- Oliveira, O.W.; Petrovick, P.R. Spray drying of plant extracts: Basic remarks and application. Rev. Bras. Farmacogn. 2010, 20, 641–650. [Google Scholar] [CrossRef]
- Komorowska, P.; Rozanska, S.; Rozanski, J. Effect of the degree of substitution on the rheology of sodium carboxymethylcellulose solutions in propylene glycol/water mixtures. Cellulose 2017, 24, 4151–4162. [Google Scholar] [CrossRef]
- Picot-Allain, M.C.N.; Ramaswamy, B.; Emmambux, M.N. Extraction, characterization, and application of pectin from tropical and sub-tropical fruits: A review. Food Rev. Int. 2020, 38, 282–312. [Google Scholar] [CrossRef]
- Bhandari, B.R.; Datta, N.; Howes, T. Problems associated with spray drying of sugar-rich foods. Dry. Technol. 1997, 15, 671–684. [Google Scholar] [CrossRef]
- Tonon, R.V.; Brabet, C.; Hubinger, M.D. Influence of process conditions on the physicochemical properties of açai (Euterpe oleraceae Mart.) powder produced by spray drying. J. Food Eng. 2008, 88, 411–418. [Google Scholar] [CrossRef]
- Krishnaiah, D.; Nithyanandam, R.; Sarbatly, R. A critical review on the spray drying of fruit extract: Effect of additives on physicochemical properties. Crit. Rev. Food Sci. Nutr. 2014, 54, 449–473. [Google Scholar] [CrossRef]
- Truong, V.; Bhandari, B.R.; Howes, T. Optimization of co-current spray drying process of sugar-rich foods. Part I-Moisture and glass transition temperature profile during drying. J. Food Eng. 2005, 71, 55–65. [Google Scholar] [CrossRef]
- Cid-Ortega, S.; Guerrero-Beltrán, J.Á. Microencapsulation of Hibiscus sabdariffa (Roselle) extracts by spray drying using maltodextrin and gum Arabic as carriers. J. Food Res. 2020, 9, 53–66. [Google Scholar] [CrossRef]
- Farías-Cervantes, V.S.; Salinas-Moreno, Y.; Chávez-Rodríguez, A.; Luna-Solano, G.; Medrano-Roldan, H.; Andrade-González, I. Stickiness and agglomeration of blackberry and raspberry spray dried juices using agave fructans and maltodextrin as carrier agents. Czech J. Food Sci. 2020, 38, 229–236. [Google Scholar] [CrossRef]
- Siemons, I.; Politiek, R.G.A.; Boom, R.M.; Van Der Sman, R.G.M.; Schutyser, M.A.I. Dextrose equivalence of maltodextrins determines particle morphology development during single sessile droplet drying. Food Res. Int. 2020, 131, 108988. [Google Scholar] [CrossRef] [PubMed]
- Sansone, F.F.; Mencherini, T.; Picerno, P.; Esposito, T.; Del Gaudio, P.; Russo, P.; Pepe, G.; Lauro, M.R.; Aquino, R.P. Microencapsulation by spray drying of Lannea microcarpa extract: Technological characteristics and antioxidant activity. J. Pharm. Pharmacogn. Res. 2014, 2, 100–109. [Google Scholar] [CrossRef]
- Jovanović, M.; Ćujić-Nikolić, N.; Drinić, Z.; Janković, T.; Marković, S.; Petrović, P.; Šavikin, K. Spray drying of Gentiana asclepiadea L. root extract: Successful encapsulation into powders with preserved stability of bioactive compounds. Ind. Crops Prod. 2021, 172, 114044. [Google Scholar]
- Labuschagne, P. Impact of wall material physicochemical characteristics on the stability of encapsulated phytochemicals: A review. Food Res. Int. 2018, 107, 227–247. [Google Scholar] [CrossRef] [PubMed]
- Shekunov, B.Y.; Chattopadhyay, P.; Tong, H.H.; Chow, A.H. Particle size analysis in pharmaceutics: Principles, methods and applications. Pharm. Res. 2007, 24, 203–227. [Google Scholar] [CrossRef] [PubMed]
- Bhandari, B.; Howes, T. Relating the stickiness property of foods undergoing drying and dried products to their surface energetics. Dry. Technol. 2005, 23, 781–797. [Google Scholar] [CrossRef]
- Vehring, R. Pharmaceutical particle engineering via spray drying. Pharm. Res. 2008, 25, 999–1022. [Google Scholar] [CrossRef] [PubMed]
- Rezende, Y.R.R.S.; Nogueira, J.P.; Narain, N. Microencapsulation of extracts of bioactive compounds obtained from acerola (Malpighia emarginata DC) pulp and residue by spray and freeze drying: Chemical, morphological and chemometric characterization. Food Chem. 2018, 254, 281–291. [Google Scholar] [CrossRef] [PubMed]
- Jinapong, N.; Suphantharika, M.; Jamnong, P. Production of instant soymilk powders by ultrafiltration, spray drying and fluidized bed agglomeration. J. Food Eng. 2008, 84, 194–205. [Google Scholar] [CrossRef]
- Keogh, M.K.; Murray, C.A.; T O’Kennedy, B. Effects of ultrafiltration of whole milk on some properties of spray-dried milk powders. Int. Dairy J. 2003, 13, 995–1002. [Google Scholar] [CrossRef]
- Sarrate, R.; Ticó, J.R.; Miñarro, M.; Carrillo, C.; Fàbregas, A.; García-Montoya, E.; Pérez-Lozano, P.; Suñé-Negre, J.M. Modification of the morphology and particle size of pharmaceutical excipients by spray drying technique. Powder Technol. 2015, 270, 244–255. [Google Scholar] [CrossRef]
- Costa, R.S.; Pinheiro, W.B.D.S.; Arruda, M.S.P.; Costa, C.E.F.; Converti, A.; Ribeiro Costa, R.M.; Silva Júnior, J.O.C. Thermoanalytical and phytochemical study of the cupuassu (Theobroma grandiflorum Schum.) seed by-product in different processing stages. J. Thermal Anal. Calorim. 2020, 147, 275–284. [Google Scholar] [CrossRef]
- Niamnuy, C.; Poomkokrak, J.; Dittanet, P.; Devahastin, S. Impacts of spray drying conditions on the stability of isoflavones in microencapsulated soybean extract. Dry. Technol. 2019, 37, 1844–1862. [Google Scholar] [CrossRef]
- Belščak-Cvitanović, A.; Lević, S.; Kalušević, A.; Špoljarić, I.; Đorđević, V.; Komes, D.; Mršić, G.; Nedović, V. Efficiency assessment of natural biopolymers as encapsulants of green tea (Camellia sinensis L.) bioactive compounds by spray drying. Food Biopro. Technol. 2015, 8, 2444–2460. [Google Scholar] [CrossRef]
- Negrão-Murakami, A.N.; Nunes, G.L.; Pinto, S.S.; Murakami, F.S.; Amante, E.R.; Petrus, J.C.C.; Prudêncio, E.S.; Amboni, R.D. Influence of DE-value of maltodextrin on the physicochemical properties, antioxidant activity, and storage stability of spray dried concentrated mate (Ilex paraguaiensis A. St. Hil.). LWT Food Sci. Technol. 2017, 79, 561–567. [Google Scholar] [CrossRef]
- Einhorn-Stoll, U.; Hatakeyama, H.; Hatakeyama, T. Influence of pectin modification on water binding properties. Food Hydrocoll. 2012, 27, 494–502. [Google Scholar] [CrossRef]
- Dürig, T.; Karan, K. Binders in wet granulation. In Handbook of Pharmaceutical Wet Granulation; Narang, A.S., Badawy, S.I.F., Eds.; Academic Press: Cambridge, MA, USA, 2019; Chapter 9; pp. 317–349. [Google Scholar]
- Nunes, G.L.; Boaventura, B.C.B.; Pinto, S.S.; Verruck, S.; Murakami, F.S.; Prudêncio, E.S.; Amboni, R.D.D.M.C. Microencapsulation of freeze concentrated Ilex paraguaiensis extract by spray drying. J. Food Eng. 2015, 151, 60–68. [Google Scholar] [CrossRef]
- Roos, Y.; Karel, M. Phase transitions of mixtures of amorphous polysaccharides and sugars. Biotechnol. Prog. 1991, 7, 49–53. [Google Scholar] [CrossRef]
- Shrestha, A.K.; Ua-Arak, T.; Adhikari, B.P.; Howes, T.; Bhandari, B.R. Glass transition behavior of spray dried orange juice powder measured by differential scanning calorimetry (DSC) and thermal mechanical compression test (TMCT). Int. J. Food Prop. 2007, 10, 661–673. [Google Scholar] [CrossRef]
- Goula, A.M.; Karapantsios, T.D.; Achilias, D.S.; Adamopoulos, K.G. Water sorption isotherms and glass transition temperature of spray dried tomato pulp. J. Food Eng. 2008, 85, 73–83. [Google Scholar] [CrossRef]
- Gallo, L.; Ramírez-Rigo, M.V.; Piña, J.; Bucalá, V. A comparative study of spray-dried medicinal plant aqueous extracts. Drying performance and product quality. Chem. Eng. Res. Des. 2015, 104, 681–694. [Google Scholar] [CrossRef]
- Sowndhararajan, K.; Kang, S.C. Free radical scavenging activity from different extracts of leaves of Bauhinia vahlii Wight & Arn. Saudi J. Biol. Sci. 2013, 20, 319–325. [Google Scholar]
- Carvalho, A.A.; Santos, L.R.D.; Farias, R.R.S.D.; Chaves, M.H.; Feitosa, C.M.; Vieira Júnior, G.M.; Araújo, M.R.S.; Ferreira, P.M.P.; Pessoa, C.D.Ó. Phenolic derivatives and antioxidant activity of polar extracts from Bauhinia pulchella. Quím. Nova 2018, 41, 405–411. [Google Scholar] [CrossRef]
- Hossain, M.A.; Pervin, R. Current antidiabetic drugs: Review of their efficacy and safety. In Nutritional and Therapeutic Interventions for Diabetes and Metabolic Syndrome, 2nd ed.; Bagchi, D., Nair, S., Eds.; Academic Press: Cambridge, MA, USA, 2018; Chapter 34; pp. 455–473. [Google Scholar]
- Palsikowski, P.A.; Besen, L.M.; Santos, K.A.; Silva, C.; Silva, E.A. Supercritical CO2 oil extraction from Bauhinia forficata link subsp. pruinosa leaves: Composition, antioxidant activity and mathematical modeling. J. Supercrit. Fluids 2019, 153, 104588. [Google Scholar]
- Vyas, P.; Braganza, V.J. Effect of solvents and extraction methods on the phenolic content, flavonoid content, and antioxidant activity of Bauhinia variegata Leptadenia reticulata. Asian J. Pharm. Pharmacol. 2019, 5, 834–840. [Google Scholar] [CrossRef]
- Boeing, J.S.; Barizão, É.O.; Montanher, P.F.; De Cinque Almeida, V.; Visentainer, J.V. Evaluation of solvent effect on the extraction of phenolic compounds and antioxidant capacities from the berries: Application of principal component analysis. Chem. Cent. J. 2014, 8, 48. [Google Scholar] [CrossRef]
- Tobar-Grande, B.; Godoy, R.; Bustos, P.; Von Plessing, C.; Fattal, E.; Tsapis, N.; Olave, C.; Gomez-Gaete, C. Development of biodegradable methylprednisolone microparticles for treatment of articular pathology using a spray-drying technique. Int. J. Nanomed. 2013, 8, 2065–2076. [Google Scholar]
- Anish, C.; Upadhyay, A.K.; Sehgal, D.; Panda, A.K. Influences of process and formulation parameters on powder flow properties and immunogenicity of spray dried polymer particles entrapping recombinant pneumococcal surface protein A. Int. J. Pharm. 2014, 466, 198–210. [Google Scholar] [CrossRef]
- Balducci, A.G.; Cagnani, S.; Sonvico, F.; Rossi, A.; Barata, P.; Colombo, G.; Colombo, P.; Buttini, F. Pure insulin highly respirable powders for inhalation. Eur. J. Pharm. Sci. 2014, 51, 110–117. [Google Scholar] [CrossRef] [PubMed]
- Jakobek, L.; Matić, P. Non-covalent dietary fiber-polyphenol interactions and their influence on polyphenol bioaccessibility. Trends Food Sci. Technol. 2019, 83, 235–247. [Google Scholar] [CrossRef]
- Navarro-Flores, M.J.; Ventura-Canseco, L.M.C.; Meza-Gordillo, R.; Ayora-Talavera, T.D.R.; Abud-Archila, M. Spray drying encapsulation of a native plant extract rich in phenolic compounds with combinations of maltodextrin and non-conventional wall materials. J. Food Sci. Technol. 2020, 57, 4111–4122. [Google Scholar] [CrossRef] [PubMed]
- Espejel-Nava, J.A.; Vega-Avila, E.; Alarcon-Aguilar, F.; Contreras-Ramos, A.; Diaz-Rosas, G.; Trejo-Aguilar, G.; Ortega-Camarillo, C. A phenolic fraction from Catharanthus roseus L. stems decreases glycemia and stimulates insulin secretion. Evid. Based Complement. Alternat. Med. 2018, 2018, 7191035. [Google Scholar] [CrossRef]
- Fortis-Barrera, M.D.L.Á.; Alarcón-Aguilar, F.J.; Becerril-García, A.; Flores-Sáenz, J.L.E.; Almanza-Pérez, J.C.; García-Lorenzana, M.; Lazzarini-Lechuga, R.C.; Román-Ramos, R.; Blancas-Flores, G. Mechanism of the hypoglycemic activity and hepatoprotective effect of the aqueous extract of Cecropia obtusifolia Bertol. J. Med. Food 2020, 23, 783–792. [Google Scholar] [CrossRef]
- Garcia, J.G.; Garcia, M.L.; Zamilpa, A.; Perez, C.J.A.; Villagomez, I.E.J.; Roman, R.R.; Alarcon-Aguilar, J.F. Chemical characterization of a hypoglycemic extract from Cucurbita ficifolia Bouche that induces liver glycogen accumulation in diabetic mice. Afr. J. Tradit. Complement. Altern. Med. 2017, 14, 218–230. [Google Scholar]
- Gandhi, G.R.; Ignacimuthu, S.; Paulraj, M.G. Solanum torvum Swartz. fruit containing phenolic compounds shows antidiabetic and antioxidant effects in streptozotocin-induced diabetic rats. Food Chem. Toxicol. 2011, 49, 2725–2733. [Google Scholar] [CrossRef] [PubMed]
- Loarca-Piña, G.; Mendoza, S.; Ramos-Gómez, M.; Reynoso, R. Antioxidant, antimutagenic, and antidiabetic activities of edible leaves from Cnidoscolus chayamansa Mc. Vaugh. J. Food Sci. 2010, 75, 68–72. [Google Scholar] [CrossRef] [PubMed]
- Hago, S.; Mahrous, E.A.; Moawad, M.; Abdel-Wahab, S.; Abdel-Sattar, E. Evaluation of antidiabetic activity of Morus nigra L. and Bauhinia variegata L. leaves as Egyptian remedies used for the treatment of diabetes. Nat. Prod. Res. 2019, 35, 829–835. [Google Scholar] [CrossRef]
- Zhao, Y.; Lu, H.; Wang, Q.; Liu, H.; Shen, H.; Xu, W.; Ge, J.; He, D. Rapid qualitative profiling and quantitative analysis of phenolics in Ribes meyeri leaves and their antioxidant and antidiabetic activities by HPLC-QTOF-MS/MS and UHPLC-MS/MS. J. Sep. Sci. 2021, 44, 1404–1420. [Google Scholar] [CrossRef] [PubMed]
- Etzbach, L.; Meinert, M.; Faber, T.; Klein, C.; Schieber, A.; Weber, F. Effects of carrier agents on powder properties, stability of carotenoids, and encapsulation efficiency of goldenberry (Physalis peruviana L.) powder produced by co-current spray drying. Curr. Res. Food Sci. 2020, 3, 73–81. [Google Scholar] [CrossRef] [PubMed]
- Zhu, J.; Li, X.; Liu, L.; Li, Y.; Qi, B.; Jiang, L. Preparation of spray-dried soybean oil body microcapsules using maltodextrin: Effects of dextrose equivalence. LWT 2022, 154, 112874. [Google Scholar] [CrossRef]
- Mahdavi, S.A.; Jafari, S.M.; Assadpoor, E.; Dehnad, D. Microencapsulation optimization of natural anthocyanins with maltodextrin, gum arabic and gelatin. Int. J. Biol. Macromol. 2016, 85, 379–385. [Google Scholar] [CrossRef] [PubMed]
- Kim, D.O.; Lee, K.W.; Lee, H.J.; Lee, C.Y. Vitamin C equivalent antioxidant capacity (VCEAC) of phenolic phytochemicals. J. Agric. Food Chem. 2002, 50, 3713–3717. [Google Scholar] [CrossRef]
- Perez-Perez, L.M.; Huerta-Ocampo, J.Á.; Ruiz-Cruz, S.; Cinco-Moroyoqui, F.J.; Wong-Corral, F.J.; Rascón-Valenzuela, L.A.; Robles-García, M.A.; González-Vega, R.I.; Rosas-Burgos, E.C.; Corella-Madueño, M.A.G.; et al. Evaluation of quality, antioxidant capacity, and digestibility of chickpea (Cicer arietinum L. cv Blanoro) stored under N2 and CO2 atmospheres. Molecules 2021, 26, 2773. [Google Scholar] [CrossRef]
- Floegel, A.; Kim, D.O.; Chung, S.J.; Koo, S.I.; Chun, O.K. Comparison of ABTS/DPPH assays to measure antioxidant capacity in popular antioxidant-rich US foods. J. Food Compos. Anal. 2011, 24, 1043–1048. [Google Scholar] [CrossRef]
- Moseley, R.; Walker, M.; Waddington, R.J.; Chen, W.Y.J. Comparison of the antioxidant properties of wound dressing materials-carboxymethylcellulose, hyaluronan benzyl ester and hyaluronan, towards polymorphonuclear leukocyte-derived reactive oxygen species. Biomaterials 2003, 24, 1549–1557. [Google Scholar] [CrossRef] [PubMed]
- Wathoni, N.; Shan, C.Y.; Shan, W.Y.; Rostinawati, T.; Indradi, R.B.; Pratiwi, R.; Muchtaridi, M. Characterization and antioxidant activity of pectin from Indonesian mangosteen (Garcinia mangostana L.) rind. Heliyon 2019, 5, e02299. [Google Scholar] [CrossRef]
- Ma, Y.; Hou, C.J.; Fa, H.B.; Huo, D.Q.; Yang, M. Synthesis and antioxidant property of hydroxycinnamoyl maltodextrin derivatives. Int. J. Food Sci. Technol. 2016, 51, 2450–2459. [Google Scholar] [CrossRef]
- López-Nicolás, J.M.; Rodríguez-Bonilla, P.; García-Carmona, F. Cyclodextrins and antioxidants. Crit. Rev. Food Sci. Nutr. 2014, 54, 251–276. [Google Scholar] [CrossRef] [PubMed]
- Augusto, T.R.; Salinas, E.S.S.; Alencar, S.M.; D’arce, M.A.B.R.; Camargo, A.C.D.; Vieira, T.M.F.D.S. Phenolic compounds and antioxidant activity of hydroalcoholic extracts of wild and cultivated murtilla (Ugni molinae Turcz.). Food Sci. Technol. 2014, 34, 667–679. [Google Scholar] [CrossRef]
- Bratu, M.M.; Birghila, S.; Popescu, A.; Negreanu-Pirjol, B.S.; Negreanu-Pirjol, T. Correlation of antioxidant activity of dried berry infusions with the polyphenols and selected microelements contents. Bull. Chem. Soc. Ethiop. 2018, 32, 1–12. [Google Scholar] [CrossRef]
- Rivero-Pérez, M.D.; Muniz, P.I.L.A.R.; González-Sanjosé, M.L. Antioxidant profile of red wines evaluated by total antioxidant capacity, scavenger activity, and biomarkers of oxidative stress methodologies. J. Agric. Food Chem. 2007, 55, 5476–5483. [Google Scholar] [CrossRef] [PubMed]
- Rice-Evans, C.A.; Miller, N.J.; Paganga, G. Structure-antioxidant activity relationships of flavonoids and phenolic acids. Free Radic. Biol. Med. 1996, 20, 933–956. [Google Scholar] [CrossRef]
- Volpe, C.M.O.; Villar-Delfino, P.H.; Dos Anjos, P.M.F.; Nogueira-Machado, J. Cellular death, reactive oxygen species (ROS) and diabetic complications. Cell Death Dis. 2018, 9, 119. [Google Scholar] [CrossRef]




| Solutions | Concentration (µg/mL) | |||
|---|---|---|---|---|
| Chlorogenic Acid | p-Coumaric Acid | Rutin | Isoquercitrin | |
| 1 | 50 | 5.00 | 200 | 15.00 |
| 2 | 25 | 2.50 | 100 | 7.50 |
| 3 | 10 | 1.00 | 40 | 3.00 |
| 4 | 5 | 0.50 | 20 | 1.50 |
| 5 | 2.5 | 0.25 | 10 | 0.75 |
| Solution | Wall Material | Solid Content (%) | Viscosity (mPa.s) | YD (%) |
|---|---|---|---|---|
| Bu-A | None | 0.8 | 1.45 ± 0.03 a | 64.71; 63.69 |
| Bu-MD4 | Maltodextrin DE 4-7 | 0.9 | 1.44 ± 0.04 a | 89.03; 88.01 |
| Bu-MD11 | Maltodextrin DE 11-14 | 0.9 | 1.43 ± 0.03 a | 74.13; 80.68 |
| Bu-βCD | β-cyclodextrin | 0.9 | 1.43 ± 0.02 a | 73.45; 83.95 |
| Bu-Pec | Pectin LM-22-CG | 0.9 | 1.41 ± 0.01 a | 72.47; 73.90 |
| Bu-CMC | Sodium carboxymethylcellulose | 0.9 | 3.46 ± 0.03 b | 77.40; 75.21 |
| Sample | Dv10 (µm) | Dv50 (µm) | Dv90 (µm) | Span |
|---|---|---|---|---|
| Bu-MD4 | 1.22 ± 0.02 a | 2.23 ± 0.17 ab | 4.66 ± 0.71 ab | 1.53 ± 0.21 a |
| Bu-MD11 | 1.19 ± 0.08 a | 2.41 ± 0.39 ab | 4.54 ± 0.79 ab | 1.40 ± 0.30 a |
| Bu-βCD | 1.15 ± 0.07 a | 2.01 ± 0.13 a | 3.76 ± 0.40 a | 1.29 ± 0.10 a |
| Bu-Pec | 1.29 ± 0.02 a | 2.50 ± 0.02 ab | 4.82 ± 0.11 ab | 1.41 ± 0.04 a |
| Bu-CMC | 1.29 ± 0.07 a | 2.87 ± 0.25 b | 5.54 ± 0.34 b | 1.50 ± 0.23 a |
| Sample | Moisture Content (%) | Tg (°C) | Tinitial Decomposition (°C) |
|---|---|---|---|
| Bu-A | 2.90 ± 0.10 a | 60.4 ± 3.5 a | 160.2 ± 1.6 a |
| Bu-MD4 | 3.43 ± 0.16 ab | 56.8 ± 2.9 a | 165.8 ± 3.6 a |
| Bu-MD11 | 3.89 ± 0.27 b | 57.6 ± 2.4 a | 163.6 ± 3.9 a |
| Bu-βCD | 3.63 ± 0.27 ab | 61.5 ± 0.4 a | 162.6 ± 6.4 a |
| Bu-Pec | 4.05 ± 0.40 b | 58.4 ± 4.8 a | 191.4 ± 0.9 b |
| Bu-CMC | 4.25 ± 0.48 b | 57.8 ± 5.6 a | 188.2 ± 1.1 b |
| Sample | TFC (mg RUTE/g Extract) | TPR (mg GAEq/g Extract) | PS (mg GAEq/g Extract) | EE (%) | YE (%) |
|---|---|---|---|---|---|
| Bu-L | 21.93 ± 0.30 a | 101.43 ± 1.68 a | ⎯ | ⎯ | ⎯ |
| Bu-A | 22.69 ± 0.45 ac | 101.28 ± 1.65 a | ⎯ | ⎯ | ⎯ |
| Bu-MD4 | 12.75 ± 0.57 b | 84.28 ± 5.47 b | 38.69 ± 0.64 a | 44.95 ± 5.17 a | 83.09 ± 5.40 a |
| Bu-MD11 | 12.69 ± 0.21 b | 90.99 ± 2.31 b | 32.82 ± 2.51 ab | 57.35 ± 2.24 b | 89.71 ± 2.28 a |
| Bu-βCD | 12.69 ± 0.31 b | 84.78 ± 1.70 b | 33.57 ± 1.28 ab | 50.49 ± 2.92 ab | 83.59 ± 1.68 a |
| Bu-Pec | 21.73 ± 0.34 a | 69.98 ± 3.44 c | 33.59 ± 3.87 ab | 35.87 ± 3.49 c | 68.99 ± 3.39 b |
| Bu-CMC | 23.07 ± 0.50 c | 75.15 ± 3.13 c | 27.96 ± 1.99 b | 46.53 ± 1.13 a | 74.09 ± 3.09 b |
| Sample | DPPH∙ | ABTS∙+ | ||
|---|---|---|---|---|
| Scavenging Percentage (%) | TAA (µM TEq/g Extract) | Scavenging Percentage (%) | TAA (µM TEq/g Extract) | |
| Bu-L | 22.09 ± 0.66 a | 308.67 ± 2.64 a | 23.97 ± 0.22 a | 956.40 ± 2.81 a |
| Bu-A | 25.65 ± 0.25 b | 323.45 ± 1.07 a | 29.49 ± 0.55 b | 1031.33 ± 8.04 b |
| Bu-MD4 | 30.41 ± 0.60 c | 345.58 ± 2.98 b | 23.84 ± 1.89 a | 955.17 ± 23.65 a |
| Bu-MD11 | 38.34 ± 1.04 d | 390.06 ± 6.66 c | 25.24 ± 1.34 a | 972.82 ± 17.26 a |
| Bu-βCD | 38.22 ± 0.43 d | 389.26 ± 2.72 c | 24.58 ± 1.26 a | 964.31 ± 16.12 a |
| Bu-Pec | 34.61 ± 1.17 e | 367.86 ± 6.65 d | 31.54 ± 0.77 bc | 1062.32 ± 11.94 bc |
| Bu-CMC | 36.10 ± 1.74 de | 376.55 ± 10.16 cd | 33.02 ± 0.92 c | 1085.72 ± 14.84 c |
| Sample | Content | Compound | |||
|---|---|---|---|---|---|
| Chlorogenic Acid | p-Coumaric Acid | Rutin | Isoquercitrin | ||
| Bu-L | µg/mL | 15.38 ± 0.22 a | 0.60 ± 0.05 a | 102.02 ± 2.52 a | 4.30 ± 0.21 a |
| Bu-A | 19.17 ± 0.51 b | 0.76 ± 0.08 a | 125.13 ± 1.12 b | 5.17 ± 0.67 a | |
| Bu-MD4 | 17.08 ± 0.06 cd | 0.58 ± 0.11 a | 108. 30 ± 0.60 c | 4.82 ± 0.27 a | |
| Bu-MD11 | 16.72 ± 0.46 d | 0.69 ± 0.01 a | 110.19 ± 1.58 cd | 4.66 ± 0.40 a | |
| Bu-βCD | 17.43 ± 0.15 cde | 0.60 ± 0.04 a | 113.07 ± 0.94 de | 4.90 ± 0.42 a | |
| Bu-Pec | 17.90 ± 0.12 e | 0.70 ± 0.04 a | 115.10 ± 0.76 e | 5.01 ± 0.12 a | |
| Bu-CMC | 17.80 ± 0.15 ce | 0.68 ± 0.10 a | 112.59 ± 1.47 de | 4.84 ± 0.30 a | |
| Bu-L | mg/g Extract | 1.669 ± 0.024 a | 0.066 ± 0.005 a | 11.077 ± 0.274 a | 0.466 ± 0.022 a |
| Bu-A | 1.975 ± 0.052 b | 0.078 ± 0.008 a | 12.886 ± 0.115 b | 0.533 ± 0.069 a | |
| Bu-MD4 | 1.769 ± 0.007 c | 0.060 ± 0.012 a | 11.216 ± 0.062 a | 0.500 ± 0.029 a | |
| Bu-MD11 | 1.740 ± 0.048 ac | 0.072 ± 0.001 a | 11.465 ± 0.164 ac | 0.485 ± 0.041 a | |
| Bu-βCD | 1.808 ± 0.016 cd | 0.062 ± 0.004 a | 11.724 ± 0.098 cd | 0.508 ± 0.044 a | |
| Bu-Pec | 1.867 ± 0.013 d | 0.073 ± 0.004 a | 12.003 ± 0.080 d | 0.522 ± 0.013 a | |
| Bu-CMC | 1.858 ± 0.016 d | 0.070 ± 0.011 a | 11.755 ± 0.153 cd | 0.505 ± 0.032 a | |
Disclaimer/Publisher’s Note: The statements, opinions and data contained in all publications are solely those of the individual author(s) and contributor(s) and not of MDPI and/or the editor(s). MDPI and/or the editor(s) disclaim responsibility for any injury to people or property resulting from any ideas, methods, instructions or products referred to in the content. |
© 2024 by the authors. Licensee MDPI, Basel, Switzerland. This article is an open access article distributed under the terms and conditions of the Creative Commons Attribution (CC BY) license (https://creativecommons.org/licenses/by/4.0/).
Share and Cite
Remígio, M.S.d.N.; Greco, T.; Silva Júnior, J.O.C.; Converti, A.; Ribeiro-Costa, R.M.; Rossi, A.; Barbosa, W.L.R. Spray-Drying Microencapsulation of Bauhinia ungulata L. var. obtusifolia Aqueous Extract Containing Phenolic Compounds: A Comparative Study Using Different Wall Materials. Pharmaceutics 2024, 16, 488. https://doi.org/10.3390/pharmaceutics16040488
Remígio MSdN, Greco T, Silva Júnior JOC, Converti A, Ribeiro-Costa RM, Rossi A, Barbosa WLR. Spray-Drying Microencapsulation of Bauhinia ungulata L. var. obtusifolia Aqueous Extract Containing Phenolic Compounds: A Comparative Study Using Different Wall Materials. Pharmaceutics. 2024; 16(4):488. https://doi.org/10.3390/pharmaceutics16040488
Chicago/Turabian StyleRemígio, Myrth Soares do Nascimento, Teresa Greco, José Otávio Carréra Silva Júnior, Attilio Converti, Roseane Maria Ribeiro-Costa, Alessandra Rossi, and Wagner Luiz Ramos Barbosa. 2024. "Spray-Drying Microencapsulation of Bauhinia ungulata L. var. obtusifolia Aqueous Extract Containing Phenolic Compounds: A Comparative Study Using Different Wall Materials" Pharmaceutics 16, no. 4: 488. https://doi.org/10.3390/pharmaceutics16040488
APA StyleRemígio, M. S. d. N., Greco, T., Silva Júnior, J. O. C., Converti, A., Ribeiro-Costa, R. M., Rossi, A., & Barbosa, W. L. R. (2024). Spray-Drying Microencapsulation of Bauhinia ungulata L. var. obtusifolia Aqueous Extract Containing Phenolic Compounds: A Comparative Study Using Different Wall Materials. Pharmaceutics, 16(4), 488. https://doi.org/10.3390/pharmaceutics16040488

