The Preparation of a Novel Poly(Lactic Acid)-Based Sustained H2S Releasing Microsphere for Rheumatoid Arthritis Alleviation
Abstract
:1. Introduction
2. Materials and Methods
2.1. Materials
2.2. The Preparation of SPRC-Loaded Poly(Lactic Acid) (PLA) Microsphere (SPRC@PLA)
2.3. The Production Yeild of SPRC@PLA
2.4. The Quantification of SPRC
2.5. The Morphology Study of SPRC@PLA
2.6. The Encapsulation Efficiency of SPRC@PLA
2.7. The SPRC Release In Vitro
2.8. The Measurement of H2S Release In Vivo
2.9. The SPRC@PLA Promoted H2S Release In Vivo
2.10. SPRC@PLA Showed Anti-Inflmmation Effect towards Rheumatoid Arthritis
2.11. Statistical Analysis
3. Results
3.1. The Characterization of SPRC@PLA
3.2. The Elevation of Plasma H2S Concentration by Supplementations
3.3. Supplementations Increased the Expression of CSE
3.4. Supplementations Inhibited the Paw Swollen in AIA Rats
4. Conclusions
Author Contributions
Funding
Institutional Review Board Statement
Data Availability Statement
Conflicts of Interest
References
- Guo, Q.; Wang, Y.; Xu, D.; Nossent, J.; Pavlos, N.J.; Xu, J. Rheumatoid arthritis: Pathological mechanisms and modern pharmacologic therapies. Bone Res. 2018, 6, 1–14. [Google Scholar] [CrossRef]
- McInnes, I.B.; Schett, G. The Pathogenesis of Rheumatoid Arthritis. N. Engl. J. Med. 2011, 365, 2205–2219. [Google Scholar] [CrossRef] [Green Version]
- Kim, E.J.; Seo, J.B.; Yu, J.S.; Lee, S.; Lim, J.S.; Choi, J.U.; Lee, C.-M.; Rashan, L.; Kim, K.H.; Cho, Y.-C. Anti-Inflammatory Effects of a Polyphenol, Catechin-7,4′-O-Digallate, from Woodfordia uniflora by Regulating NF-κB Signaling Pathway in Mouse Macrophages. Pharmaceutics 2021, 13, 408. [Google Scholar] [CrossRef] [PubMed]
- Ferreira-Silva, M.; Faria-Silva, C.; Viana Baptista, P.; Fernandes, E.; Ramos Fernandes, A.; Corvo, M.L. Liposomal Nanosystems in Rheumatoid Arthritis. Pharmaceutics 2021, 13, 454. [Google Scholar] [CrossRef]
- Olson, A.L.; Swigris, J.J.; Sprunger, D.B.; Fischer, A.; Fernandez-Perez, E.R.; Solomon, J.; Murphy, J.; Cohen, M.; Raghu, G.; Brown, K.K. Rheumatoid arthritis-interstitial lung disease-associated mortality. Am. J. Respir. Crit. Care Med. 2011, 183, 372–378. [Google Scholar] [CrossRef] [PubMed] [Green Version]
- Crowson, C.S.; Liao, K.P.; Davis, J.M.; Solomon, D.H.; Matteson, E.L.; Knutson, K.L.; Hlatky, M.A.; Gabriel, S.E. Rheumatoid arthritis and cardiovascular disease. Am. Heart J. 2013, 166, 622–628.e1. [Google Scholar] [CrossRef] [Green Version]
- Gremese, E.; Ferraccioli, G. The metabolic syndrome: The crossroads between rheumatoid arthritis and cardiovascular risk. Autoimmun. Rev. 2011, 10, 582–589. [Google Scholar] [CrossRef]
- Birch, J.T.; Bhattacharya, S. Emerging trends in diagnosis and treatment of rheumatoid arthritis. Prim. Care Clin. Off. Pract. 2010, 37, 779–792. [Google Scholar] [CrossRef] [PubMed]
- Burmester, G.R.; Pope, J.E. Novel treatment strategies in rheumatoid arthritis. Lancet 2017, 389, 2338–2348. [Google Scholar] [CrossRef]
- Kotak, S.; Mardekian, J.; Horowicz-Mehler, N.; Shah, A.; Burgess, A.; Kim, J.; Gemmen, E.; Boyd, H.; Koenig, A. Impact of Etanercept Therapy on Disease Activity and Health-Related Quality of Life in Moderate Rheumatoid Arthritis Patients Population from a National British Observational Cohort. Value Health 2015, 18, 817–823. [Google Scholar] [CrossRef] [PubMed] [Green Version]
- Smolen, J.S.; Aletaha, D.; McInnes, I.B. Rheumatoid arthritis. Lancet 2016, 388, 2023–2038.e1. [Google Scholar] [CrossRef]
- Lee, D.M.; Weinblatt, M.E. Rheumatoid arthritis. Lancet 2001, 358, 903–911. [Google Scholar] [CrossRef]
- Brzeziński, M.; Kost, B.; Wedepohl, S.; Socka, M.; Biela, T.; Calderón, M. Stereocomplexed PLA microspheres: Control over morphology, drug encapsulation and anticancer activity. Colloids Surf. B Biointerfaces 2019, 184, 110544. [Google Scholar] [CrossRef]
- Anderson, J.M.; Shive, M.S. Biodegradation and biocompatibility of PLA and PLGA microspheres. Adv. Drug Deliv. Rev. 1997, 28, 5–24. [Google Scholar] [CrossRef]
- Ayad, C.; Libeau, P.; Lacroix-Gimon, C.; Ladavière, C.; Verrier, B. LipoParticles: Lipid-Coated PLA Nanoparticles Enhanced In Vitro mRNA Transfection Compared to Liposomes. Pharmaceutics 2021, 13, 377. [Google Scholar] [CrossRef] [PubMed]
- Gangapurwala, G.; Vollrath, A.; De San Luis, A.; Schubert, U.S. PLA/PLGA-Based Drug Delivery Systems Produced with Supercritical CO2—A Green Future for Particle Formulation? Pharmaceutics 2020, 12, 1118. [Google Scholar] [CrossRef]
- Singhvi, M.S.; Zinjarde, S.S.; Gokhale, D.V. Polylactic acid: Synthesis and biomedical applications. J. Appl. Microbiol. 2019, 127, 1612–1626. [Google Scholar] [CrossRef] [Green Version]
- Kumari, A.; Kumar, V.; Yadav, S.K. Plant extract synthesized PLA nanoparticles for controlled and sustained release of Quercetin: A green approach. PLoS ONE 2012, 7, e41230. [Google Scholar] [CrossRef] [Green Version]
- Lee, B.K.; Yun, Y.; Park, K. PLA micro- and nano-particles. Adv. Drug Deliv. Rev. 2016, 107, 176–191. [Google Scholar] [CrossRef] [Green Version]
- Tian, Y.; Xu, J.; Li, Y.; Zhao, R.; Du, S.; Lv, C.; Wu, W.; Liu, R.; Sheng, X.; Song, Y.; et al. MicroRNA-31 Reduces Inflammatory Signaling and Promotes Regeneration in Colon Epithelium, and Delivery of Mimics in Microspheres Reduces Colitis in Mice. Gastroenterology 2019, 156, 2281–2296.e6. [Google Scholar] [CrossRef]
- Zhang, C.; Yang, L.; Wan, F.; Bera, H.; Cun, D.; Rantanen, J.; Yang, M. Quality by design thinking in the development of long-acting injectable PLGA/PLA-based microspheres for peptide and protein drug delivery. Int. J. Pharm. 2020, 585, 119441. [Google Scholar] [CrossRef] [PubMed]
- Wu, D.; Wang, H.; Teng, T.; Duan, S.; Ji, A.; Li, Y. Hydrogen sulfide and autophagy: A double edged sword. Pharmacol. Res. 2018, 131, 120–127. [Google Scholar] [CrossRef]
- Kumar, M.; Sandhir, R. Hydrogen Sulfide in Physiological and Pathological Mechanisms in Brain. CNS Neurol. Disord. Drug Targets 2018, 17, 654–670. [Google Scholar] [CrossRef] [PubMed]
- Olas, B. Hydrogen sulfide in signaling pathways. Clin. Chim. Acta 2015, 439, 212–218. [Google Scholar] [CrossRef]
- Zhao, H.L.; Wu, B.Q.; Luo, Y.; Zhang, W.Y.; Hao, Y.L.; Liang, J.J.; Fang, F.; Liu, W.; Chen, X.H. Exogenous hydrogen sulfide ameliorates high glucose-induced myocardial injury & inflammation via the CIRP-MAPK signaling pathway in H9c2 cardiac cells. Life Sci. 2018, 208, 315–324. [Google Scholar] [CrossRef] [PubMed]
- Chen, Y.; Jin, S.; Teng, X.; Hu, Z.; Zhang, Z.; Qiu, X.; Tian, D.; Wu, Y. Hydrogen sulfide attenuates LPS-induced acute kidney injury by inhibiting inflammation and oxidative stress. Oxid. Med. Cell. Longev. 2018, 2018, 6717212. [Google Scholar] [CrossRef] [PubMed] [Green Version]
- Zaorska, E.; Tomasova, L.; Koszelewski, D.; Ostaszewski, R.; Ufnal, M. Hydrogen sulfide in pharmacotherapy, beyond the hydrogen sulfide-donors. Biomolecules 2020, 10, 323. [Google Scholar] [CrossRef] [Green Version]
- Powell, C.R.; Dillon, K.M.; Matson, J.B. A review of hydrogen sulfide (H2S) donors: Chemistry and potential therapeutic applications. Biochem. Pharmacol. 2018, 149, 110–123. [Google Scholar] [CrossRef] [PubMed]
- Shin, C.C.; Moore, P.K.; Zhu, Y.Z. S-allylcysteine mediates cardioprotection in an acute myocardial infarction rat model via a hydrogen sulfide-mediated pathway. Am. J. Physiol. Heart Circ. Physiol. 2007, 293, H2693–H2701. [Google Scholar] [CrossRef] [Green Version]
- Yue, L.J.; Zhu, X.Y.; Li, R.S.; Chang, H.J.; Gong, B.; Tian, C.C.; Liu, C.; Xue, Y.X.; Zhou, Q.; Xu, T.S.; et al. S-allyl-cysteine sulfoxide (alliin) alleviates myocardial infarction by modulating cardiomyocyte necroptosis and autophagy. Int. J. Mol. Med. 2019, 44, 1943–1951. [Google Scholar] [CrossRef] [Green Version]
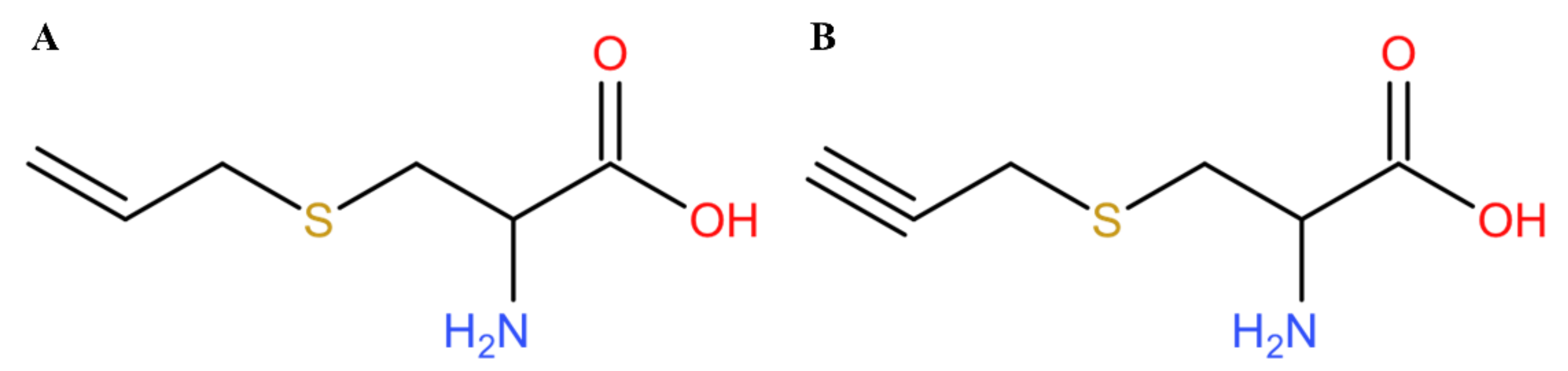
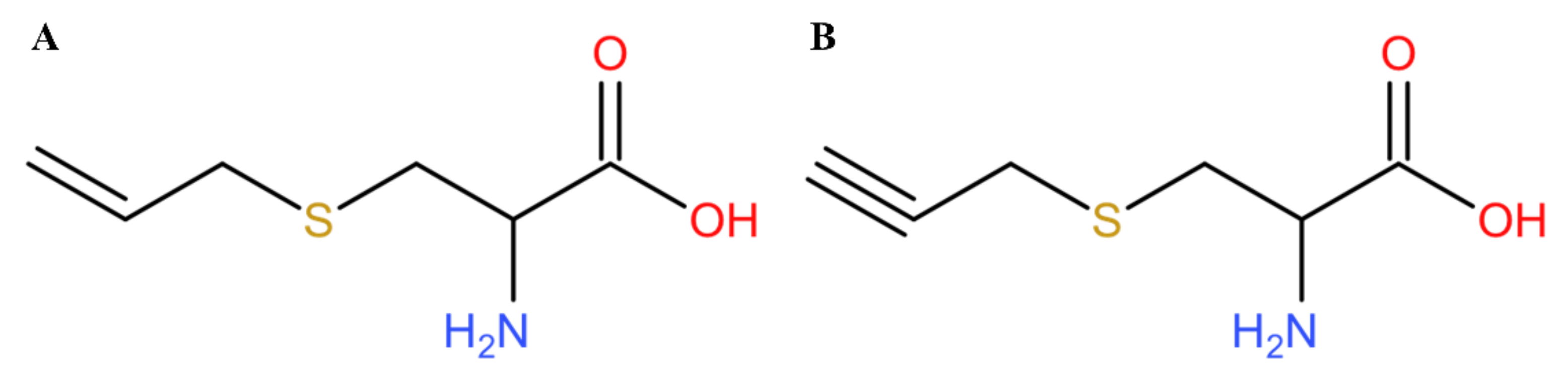
- Wu, W.J.; Jia, W.W.; Liu, X.H.; Pan, L.L.; Zhang, Q.Y.; Yang, D.; Shen, X.Y.; Liu, L.; Zhu, Y.Z. S-propargyl-cysteine attenuates inflammatory response in rheumatoid arthritis by modulating the Nrf2-ARE signaling pathway. Redox Biol. 2016, 10, 157–167. [Google Scholar] [CrossRef] [PubMed] [Green Version]
- Liang, Y.H.; Shen, Y.Q.; Guo, W.; Zhu, Y.Z. SPRC protects hypoxia and re-oxygenation injury by improving rat cardiac contractile function and Intracellular calcium handling. Nitric Oxide Biol. Chem. 2014, 41, 113–119. [Google Scholar] [CrossRef]
- MA, K.; Liu, Y.; Zhu, Q.; Liu, C.-h.; Duan, J.L.; Tan, B.K.H.; Zhu, Y.Z. H2S donor, S-propargyl-cysteine, increases CSE in SGC-7901 and cancer-induced mice: Evidence for a novel anti-cancer effect of endogenous H2S? PLoS ONE 2011, 6, e20525. [Google Scholar] [CrossRef] [PubMed]
- Wang, Q.; Wang, X.L.; Liu, H.R.; Rose, P.; Zhu, Y.Z. Protective effects of cysteine analogues on acute myocardial ischemia: Novel modulators of endogenous H2S production. Antioxid. Redox Signal. 2010, 12, 1155–1165. [Google Scholar] [CrossRef] [PubMed] [Green Version]
- Gong, Q.H.; Wang, Q.; Pan, L.L.; Liu, X.H.; Xin, H.; Zhu, Y.Z. S-Propargyl-cysteine, a novel hydrogen sulfide-modulated agent, attenuates lipopolysaccharide-induced spatial learning and memory impairment: Involvement of TNF signaling and NF-κB pathway in rats. Brain. Behav. Immun. 2011, 25, 110–119. [Google Scholar] [CrossRef]
- Gong, Q.H.; Pan, L.L.; Liu, X.H.; Wang, Q.; Huang, H.; Zhu, Y.Z. S-propargyl-cysteine (ZYZ-802), a sulphur-containing amino acid, attenuates beta-amyloid-induced cognitive deficits and pro-inflammatory response: Involvement of ERK1/2 and NF-κB pathway in rats. Amino Acids 2011, 40, 601–610. [Google Scholar] [CrossRef] [PubMed]
- Wu, W.; Qin, M.; Jia, W.; Huang, Z.; Li, Z.; Yang, D.; Huang, M.; Xiao, C.; Long, F.; Mao, J.; et al. Cystathionine-γ-lyase ameliorates the histone demethylase JMJD3-mediated autoimmune response in rheumatoid arthritis. Cell. Mol. Immunol. 2019, 16, 694–705. [Google Scholar] [CrossRef] [PubMed]
- Jia, W.; Wu, W.; Yang, D.; Xiao, C.; Su, Z.; Huang, Z.; Li, Z.; Qin, M.; Huang, M.; Liu, S.; et al. Histone demethylase JMJD3 regulates fibroblast-like synoviocyte-mediated proliferation and joint destruction in rheumatoid arthritis. FASEB J. 2018, 32, 4031–4042.e6. [Google Scholar] [CrossRef] [Green Version]
- Zheng, Y.; Liu, H.; Ma, G.; Yang, P.; Zhang, L.; Gu, Y.; Zhu, Q.; Shao, T.; Zhang, P.; Zhu, Y.; et al. Determination of S-propargyl-cysteine in rat plasma by mixed-mode reversed-phase and cation-exchange HPLC-MS/MS method and its application to pharmacokinetic studies. J. Pharm. Biomed. Anal. 2011, 54, 1187–1191. [Google Scholar] [CrossRef]
- Tran, B.H.; Huang, C.; Zhang, Q.; Liu, X.; Lin, S.; Liu, H.; Wang, S.; Zhu, Y.Z. Cardioprotective effects and pharmacokinetic properties of a controlled release formulation of a novel hydrogen sulfide donor in rats with acute myocardial infarction. Biosci. Rep. 2015, 35, 1–12. [Google Scholar] [CrossRef]
- Liu, R.; Ma, G.H.; Wan, Y.H.; Su, Z.G. Influence of process parameters on the size distribution of PLA microcapsules prepared by combining membrane emulsification technique and double emulsion-solvent evaporation method. Colloids Surfaces B Biointerfaces 2005, 45, 144–153. [Google Scholar] [CrossRef]
- Ma, G.; Zhang, L.; Zhang, P.; Bao, X.; Zhou, N.; Shi, Q.; Zheng, Y.; Liu, H.; Bu, F.; Zhang, Y.; et al. Physicochemical characteristics and gastrointestinal absorption behaviors of S-propargyl-cysteine, a potential new drug candidate for cardiovascular protection and antitumor treatment. Xenobiotica 2015, 45, 322–334. [Google Scholar] [CrossRef]
- Juhász, Á.; Ungor, D.; Berta, K.; Seres, L.; Csapó, E. Spreadsheet-based nonlinear analysis of in vitro release properties of a model drug from colloidal carriers. J. Mol. Liq. 2021, 328, 115405. [Google Scholar] [CrossRef]
- Zhu, Y.Z.; Zhong, J.W.; Ho, P.; Yoke, Y.L.; Yi, C.Z.; Shan, H.H.; Chee, S.T.; Whiteman, M.; Lu, J.; Moore, P.K. Hydrogen sulfide and its possible roles in myocardial ischemia in experimental rats. J. Appl. Physiol. 2007, 102, 261–268. [Google Scholar] [CrossRef] [PubMed]
- Bragagni, M.; Beneitez, C.; Martín, C.; De La Ossa, D.H.P.; Mura, P.A.; Gil-Alegre, M.E. Selection of PLA polymers for the development of injectable prilocaine controlled release microparticles: Usefulness of thermal analysis. Int. J. Pharm. 2013, 441, 468–475. [Google Scholar] [CrossRef]
- Shen, X.; Chakraborty, S.; Dugas, T.R.; Kevil, C.G. Hydrogen sulfide measurement using sulfide dibimane: Critical evaluation with electrospray ion trap mass spectrometry. Nitric Oxide Biol. Chem. 2014, 41, 97–104. [Google Scholar] [CrossRef] [Green Version]
- Shen, X.; Pattillo, C.B.; Pardue, S.; Bir, S.C.; Wang, R.; Kevil, C.G. Measurement of plasma hydrogen sulfide in vivo and in vitro. Free Radic. Biol. Med. 2011, 50, 1021–1031. [Google Scholar] [CrossRef] [Green Version]
- Tran, B.H.; Yu, Y.; Chang, L.; Tan, B.; Jia, W.; Xiong, Y.; Dai, T.; Zhong, R.; Zhang, W.; Le, V.M.; et al. A novel liposomal S-propargyl-cysteine: A sustained release of hydrogen sulfide reducing myocardial fibrosis via TGF-β1/smad pathway. Int. J. Nanomed. 2019, 14, 10061–10077. [Google Scholar] [CrossRef] [PubMed] [Green Version]
- Sidhapuriwala, J.N.; Hegde, A.; Ang, A.D.; Zhu, Y.Z.; Bhatia, M. Effects of s-propargyl-cysteine (sprc) in caerulein-induced acute pancreatitis in mice. PLoS ONE 2012, 7, e32574. [Google Scholar] [CrossRef] [Green Version]
- Xin, H.; Wang, M.; Tang, W.; Shen, Z.; Miao, L.; Wu, W.; Li, C.; Wang, X.; Xin, X.; Zhu, Y.Z. Hydrogen Sulfide Attenuates Inflammatory Hepcidin by Reducing IL-6 Secretion and Promoting SIRT1-Mediated STAT3 Deacetylation. Antioxid. Redox Signal. 2016, 24, 70–83. [Google Scholar] [CrossRef] [Green Version]
- Wang, M.; Xin, H.; Tang, W.; Li, Y.; Zhang, Z.; Fan, L.; Miao, L.; Tan, B.; Wang, X.; Zhu, Y.Z. AMPK Serves as a Therapeutic Target Against Anemia of Inflammation. Antioxid. Redox Signal. 2017, 27, 251–268. [Google Scholar] [CrossRef] [PubMed]








| Formulations | SPRC | W1 | PLA | DCM | HS | W2 |
|---|---|---|---|---|---|---|
| F-1 | 50 mg | 1 mL | 400 mg | 12 mL | 12,000 rpm | 100 mL |
| F-2 | 50 mg | 1 mL | 800 mg | 12 mL | 12,000 rpm | 100 mL |
| F-3 | 50 mg | 1 mL | 1200 mg | 12 mL | 12,000 rpm | 100 mL |
| F-4 | 50 mg | 1 mL | 800 mg | 12 mL | 9000 rpm | 100 mL |
| F-5 | 50 mg | 1 mL | 800 mg | 12 mL | 15,000 rpm | 100 mL |
| Arthritis Score | Degree of Inflammation |
|---|---|
| 0 | No erythema and swelling |
| 1 | Erythema and mild swelling confined to the tarsals or ankle joint |
| 2 | Erythema and mild swelling extending from the ankle to the tarsals |
| 3 | Erythema and moderate swelling extending from the ankle to metatarsal joints |
| 4 | Erythema and severe swelling encompassing the ankle, foot, and digits; ankylosis of the limb might be present |
| Samples | PLA | PY | LE | EE | Particle Size |
|---|---|---|---|---|---|
| F-1 | 400 mg | (49.81 ± 0.61)% | (10.14 ± 0.57)% | (44.94 ± 2.34)% | (13.28 ± 1.90) μm |
| F-2 | 800 mg | (50.66 ± 0.55)% | (6.10 ± 0.27)% | (52.71 ± 2.16)% | (31.61 ± 2.01) μm |
| F-3 | 1200 mg | (49.45 ± 0.55)% | (4.44 ± 0.20)% | (55.04 ± 2.19)% | (51.60 ± 2.07) μm |
| Samples | HS | PY | LE | EE | Particle Size |
|---|---|---|---|---|---|
| F-4 | 9000 rpm | (50.18 ± 0.68)% | (5.25 ± 0.36)% | (45.05 ± 3.45)% | (47.78 ± 2.84) μm |
| F-2 | 12,000 rpm | (50.66 ± 0.55)% | (6.10 ± 0.27)% | (52.71 ± 2.16)% | (31.61 ± 2.01) μm |
| F-5 | 15,000 rpm | (49.79 ± 0.69)% | (7.05 ± 0.20)% | (57.52 ± 2.54)% | (20.39 ± 2.72) μm |
Publisher’s Note: MDPI stays neutral with regard to jurisdictional claims in published maps and institutional affiliations. |
© 2021 by the authors. Licensee MDPI, Basel, Switzerland. This article is an open access article distributed under the terms and conditions of the Creative Commons Attribution (CC BY) license (https://creativecommons.org/licenses/by/4.0/).
Share and Cite
Yu, Y.; Wang, Z.; Ding, Q.; Yu, X.; Yang, Q.; Wang, R.; Fang, Y.; Qi, W.; Liao, J.; Hu, W.; et al. The Preparation of a Novel Poly(Lactic Acid)-Based Sustained H2S Releasing Microsphere for Rheumatoid Arthritis Alleviation. Pharmaceutics 2021, 13, 742. https://doi.org/10.3390/pharmaceutics13050742
Yu Y, Wang Z, Ding Q, Yu X, Yang Q, Wang R, Fang Y, Qi W, Liao J, Hu W, et al. The Preparation of a Novel Poly(Lactic Acid)-Based Sustained H2S Releasing Microsphere for Rheumatoid Arthritis Alleviation. Pharmaceutics. 2021; 13(5):742. https://doi.org/10.3390/pharmaceutics13050742
Chicago/Turabian StyleYu, Yue, Zhou Wang, Qian Ding, Xiangbin Yu, Qinyan Yang, Ran Wang, Yudong Fang, Wei Qi, Junyi Liao, Wei Hu, and et al. 2021. "The Preparation of a Novel Poly(Lactic Acid)-Based Sustained H2S Releasing Microsphere for Rheumatoid Arthritis Alleviation" Pharmaceutics 13, no. 5: 742. https://doi.org/10.3390/pharmaceutics13050742
APA StyleYu, Y., Wang, Z., Ding, Q., Yu, X., Yang, Q., Wang, R., Fang, Y., Qi, W., Liao, J., Hu, W., & Zhu, Y. (2021). The Preparation of a Novel Poly(Lactic Acid)-Based Sustained H2S Releasing Microsphere for Rheumatoid Arthritis Alleviation. Pharmaceutics, 13(5), 742. https://doi.org/10.3390/pharmaceutics13050742
