Clay-Polymer Nanocomposites Prepared by Reactive Melt Extrusion for Sustained Drug Release
Abstract
1. Introduction
2. Materials and Methods
2.1. Materials
2.2. Methods
2.2.1. Preparation of Nanocomposites
2.2.2. Transmission Electron (TEM) and Scanning Electronic Microscopy (SEM)
2.2.3. Differential Scanning Calorimetry (DSC)
2.2.4. X-ray Powder Diffraction (XRPD)
2.2.5. Fourier Transform Infrared Spectroscopy (FT-IR)
2.2.6. Solid-State NMR (ssNMR)
2.2.7. Dynamic Vapor Sorption (DVS)
2.2.8. Dissolution Testing
3. Results and Discussion
3.1. Preparation of Cloisite–Eudragit RS Nanocomposites and Theophylline Granules
3.2. Characterization of Cloisite–Eudragit RS Nanocomposites
3.2.1. The Nanocomposites’ Structure
3.2.2. Investigation of Cloisite–Eudragit RS Interactions Using FT-IR
3.2.3. Investigation of Cloisite Na–Eudragit RS Interactions Using ssNMR
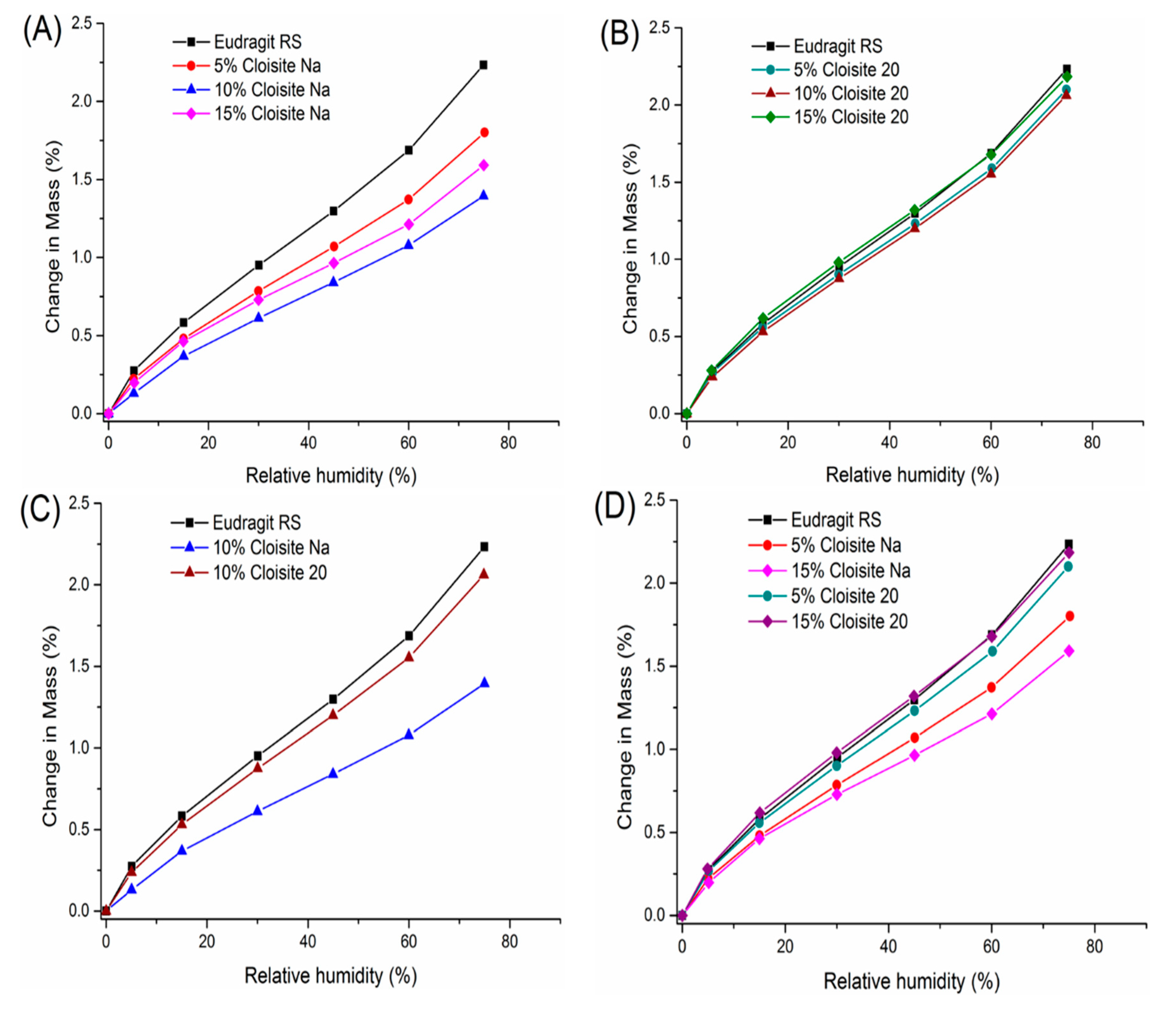
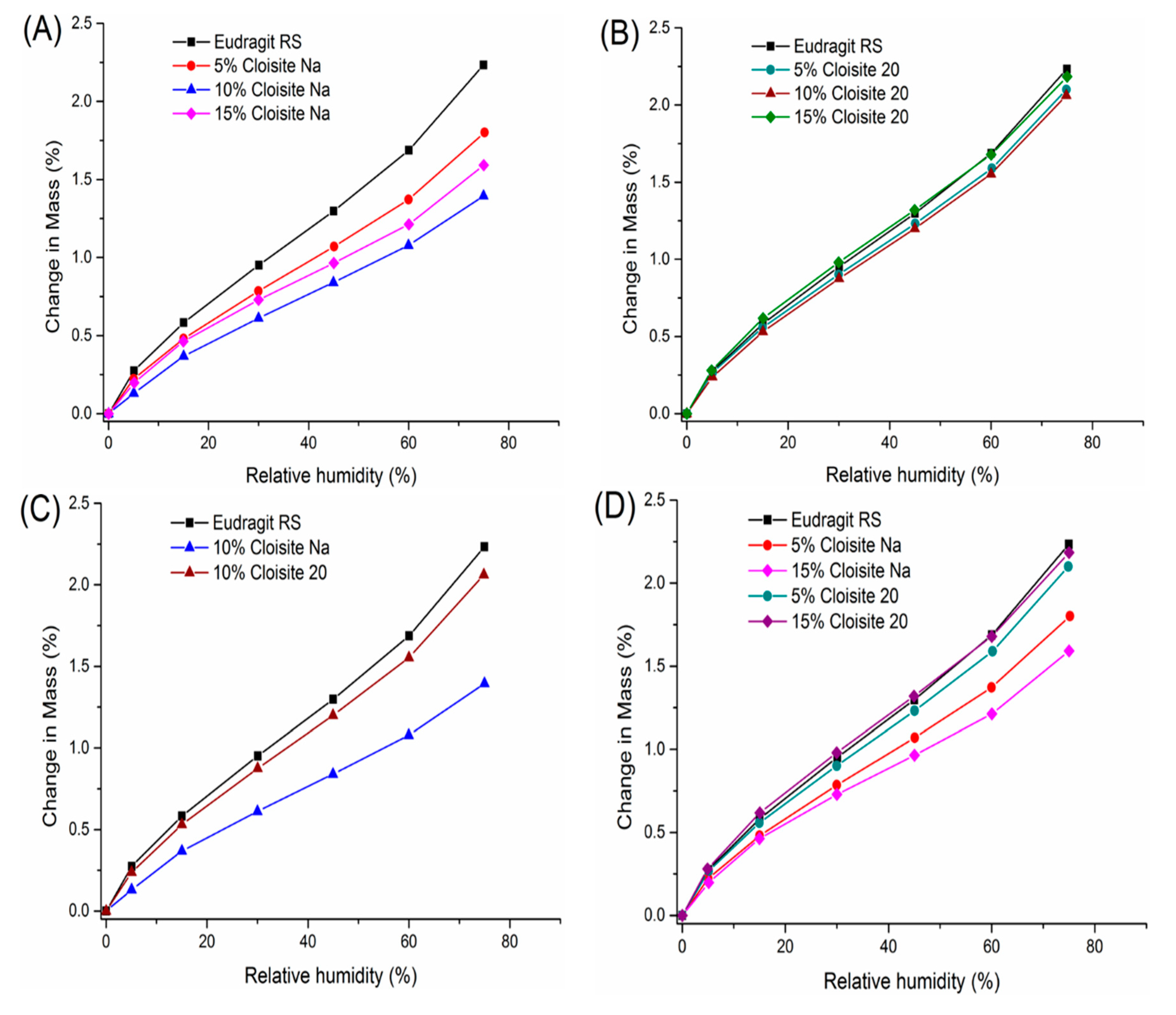
3.2.4. Hygroscopicity of Nanocomposites
3.3. Characterization of Cloisite–Eudragit RS Nanocomposites Loaded with Theophylline
3.3.1. Characterization of Physical State of Theophylline in Extrudate
3.3.2. Dissolution Study
4. Conclusions
Supplementary Materials
Author Contributions
Funding
Acknowledgments
Conflicts of Interest
References
- Wen, H.; Park, K. Oral Controlled Release Formulation Design and Drug Delivery: Theory to Practice; John Wiley & Sons: Hoboken, NJ, USA, 2011. [Google Scholar]
- Tibbitt, M.W.; Dahlman, J.E.; Langer, R. Emerging Frontiers in Drug Delivery. J. Am. Chem. Soc. 2016, 138, 704–717. [Google Scholar] [CrossRef] [PubMed]
- Nokhodchi, A.; Raja, S.; Patel, P.; Asare-Addo, K. The Role of Oral Controlled Release Matrix Tablets in Drug Delivery Systems. BioImpacts BI 2012, 2, 175–187. [Google Scholar] [CrossRef] [PubMed][Green Version]
- Siepmann, J.; Siegel, R.; Rathbone, M.J. Fundamentals and Applications of Controlled Release Drug Delivery; Springer: New York, NY, USA, 2012; pp. 1–594. [Google Scholar] [CrossRef]
- Maincent, J.; Williams, R.O. Sustained-release amorphous solid dispersions. Drug Deliv. Transl. Res. 2018, 8, 1714–1725. [Google Scholar] [CrossRef] [PubMed]
- Lu, M.; Guo, Z.; Li, Y.; Pang, H.; Lin, L.; Liu, X.; Pan, X.; Wu, C. Application of Hot Melt Extrusion for Poorly Water-Soluble Drugs: Limitations, Advances and Future Prospects. Curr. Pharm. Des. 2014, 20, 369–387. [Google Scholar] [CrossRef] [PubMed]
- Repka, M.A.; Bandari, S.; Kallakunta, V.R.; Vo, A.Q.; McFall, H.; Pimparade, M.B.; Bhagurkar, A.M. Melt extrusion with poorly soluble drugs—An integrated review. Int. J. Pharm. 2018, 535, 68–85. [Google Scholar] [CrossRef] [PubMed]
- Tiwari, R.V.; Patil, H.; Repka, M.A. Contribution of hot-melt extrusion technology to advance drug delivery in the 21st century. Expert Opin. Drug Deliv. 2016, 13, 451–464. [Google Scholar] [CrossRef]
- Bouvier, J.-M.; Campanella, O.H. Extrusion Processing Technology: Food and Non-Food Biomaterials; John Wiley & Sons: Hoboken, NJ, USA, 2014. [Google Scholar]
- Raquez, J.M.; Narayan, R.; Dubois, P. Recent Advances in Reactive Extrusion Processing of Biodegradable Polymer-Based Compositions. Macromol. Mater. Eng. 2008, 293, 447–470. [Google Scholar] [CrossRef]
- Singh, S.; Gamlath, S.; Wakeling, L. Nutritional aspects of food extrusion: A review. Int. J. Food Sci. Technol. 2007, 42, 916–929. [Google Scholar] [CrossRef]
- Lu, M. Continuous Co-crystallisation of Poorly Soluble Active Pharmaceutical Ingredients to Enhance Dissolution. In Practical Guide to Hot-Melt Extrusion: Continuous Manufacturing and Scale-Up; Maniruzzaman, M., Ed.; Smithers Rapra: Shrewsbury, UK, 2016; pp. 75–93. [Google Scholar]
- Arnfast, L.; Kamruzzaman, M.; Löbmann, K.; Aho, J.; Baldursdottir, S.; Rades, T.; Rantanen, J. Melt Extrusion of High-Dose Co-Amorphous Drug-Drug Combinations. Pharm. Res. 2017, 34, 2689–2697. [Google Scholar] [CrossRef]
- Liu, X.; Zhou, L.; Zhang, F. Reactive Melt Extrusion To Improve the Dissolution Performance and Physical Stability of Naproxen Amorphous Solid Dispersions. Mol. Pharm. 2017, 14, 658–673. [Google Scholar] [CrossRef]
- Kindermann, C.; Matthée, K.; Strohmeyer, J.; Sievert, F.; Breitkreutz, J. Tailor-made release triggering from hot-melt extruded complexes of basic polyelectrolyte and poorly water-soluble drugs. Eur. J. Pharm. Biopharm. 2011, 79, 372–381. [Google Scholar] [CrossRef] [PubMed]
- Gârea, S.A.; Voicu, A.I.; Iovu, H. Clay–Polymer Nanocomposites for Controlled Drug Release. In Clay-Polymer Nanocomposites; Elsevier: Amsterdam, The Netherlands, 2017; pp. 475–509. [Google Scholar]
- Rodrigues, L.A.D.; Figueiras, A.; Veiga, F.; de Freitas, R.M.; Nunes, L.C.C.; da Silva, E.C.; Leite, C.M.D. The systems containing clays and clay minerals from modified drug release: A review. Colloids Surf. B-Biointerfaces 2013, 103, 642–651. [Google Scholar] [CrossRef] [PubMed]
- Jayrajsinh, S.; Shankar, G.; Agrawal, Y.K.; Bakre, L. Montmorillonite nanoclay as a multifaceted drug-delivery carrier: A review. J. Drug Deliv. Sci. Technol. 2017, 39, 200–209. [Google Scholar] [CrossRef]
- Meirelles, L.M.A.; Raffin, F.N. Clay and Polymer-Based Composites Applied to Drug Release: A Scientific and Technological Prospection. J. Pharm. Pharm. Sci. 2017, 20, 115–134. [Google Scholar] [CrossRef]
- Kotal, M.; Bhowmick, A.K. Polymer nanocomposites from modified clays: Recent advances and challenges. Prog. Polym. Sci. 2015, 51, 127–187. [Google Scholar] [CrossRef]
- Sinha Ray, S.; Okamoto, M. Polymer/layered silicate nanocomposites: A review from preparation to processing. Prog. Polym. Sci. 2003, 28, 1539–1641. [Google Scholar] [CrossRef]
- Zang, Y.; Xu, W.; Qiu, D.; Chen, D.; Chen, R.; Su, S. Synthesis, characterization and thermal stability of different polystyryl quaternary ammonium surfactants and their montmorillonite complexes. Thermochim. Acta 2008, 474, 1–7. [Google Scholar] [CrossRef]
- Chiu, C.-W.; Huang, T.-K.; Wang, Y.-C.; Alamani, B.G.; Lin, J.-J. Intercalation strategies in clay/polymer hybrids. Prog. Polym. Sci. 2014, 39, 443–485. [Google Scholar] [CrossRef]
- Choudalakis, G.; Gotsis, A.D. Permeability of polymer/clay nanocomposites: A review. Eur. Polym. J. 2009, 45, 967–984. [Google Scholar] [CrossRef]
- Salahuddin, N.; Kenawy, E.-R.; Abdeen, R. Polyoxypropylene–montmorillonite nanocomposites for drug-delivery vehicles: Preparation and characterization. J. Appl. Polym. Sci. 2012, 125, E157–E166. [Google Scholar] [CrossRef]
- Pavlidou, S.; Papaspyrides, C.D. A review on polymer–layered silicate nanocomposites. Prog. Polym. Sci. 2008, 33, 1119–1198. [Google Scholar] [CrossRef]
- Bharadwaj, R.K. Modeling the barrier properties of polymer-layered silicate nanocomposites. Macromolecules 2001, 34, 9189–9192. [Google Scholar] [CrossRef]
- Riela, S.; Fakhrullin, R.F. Clay-based drug-delivery systems: What does the future hold? Ther. Deliv. 2017, 8, 633–646. [Google Scholar]
- García Guzmán, P.; Medina-Torres, L.; Calderas, F.; Josefa Bernad-Bernad, M.; Gracia-Mora, J.; Mena, B.; Manero, O. Characterization of hybrid microparticles/Montmorillonite composite with raspberry-like morphology for Atorvastatin controlled release. Colloids Surf B Biointerfaces 2018, 167, 397–406. [Google Scholar] [CrossRef]
- Sharma, A.K.; Mortensen, A.; Schmidt, B.; Frandsen, H.; Hadrup, N.; Larsen, E.H.; Binderup, M.L. In-vivo study of genotoxic and inflammatory effects of the organo-modified Montmorillonite Cloisite® 30B. Mutat. Res.-Genet. Toxicol. Environ. Mutagenesis 2014, 770, 66–71. [Google Scholar] [CrossRef]
- Khlibsuwan, R.; Siepmann, F.; Siepmann, J.; Pongjanyakul, T. Chitosan-clay nanocomposite microparticles for controlled drug delivery: Effects of the MAS content and TPP crosslinking. J. Drug Deliv. Sci. Technol. 2017, 40, 1–10. [Google Scholar] [CrossRef]
- Campbell, K.T.; Craig, D.Q.M.; McNally, T. Modification of ibuprofen drug release from poly(ethylene glycol) layered silicate nanocomposites prepared by hot-melt extrusion. J. Appl. Polym. Sci. 2014, 131. [Google Scholar] [CrossRef]
- Rives, V.; del Arco, M.; Martín, C. Intercalation of drugs in layered double hydroxides and their controlled release: A review. Appl. Clay Sci. 2014, 88, 239–269. [Google Scholar] [CrossRef]
- Rives, V.; del Arco, M.; Martín, C. Layered double hydroxides as drug carriers and for controlled release of non-steroidal antiinflammatory drugs (NSAIDs): A review. J. Control. Release 2013, 169, 28–39. [Google Scholar] [CrossRef]
- Bee, S.-L.; Abdullah, M.A.A.; Mamat, M.; Bee, S.-T.; Sin, L.T.; Hui, D.; Rahmat, A.R. Characterization of silylated modified clay nanoparticles and its functionality in PMMA. Compos. Part B Eng. 2017, 110, 83–95. [Google Scholar] [CrossRef]
- Hanada, M.; Jermain, S.V.; Lu, X.; Su, Y.; Williams, R.O. Predicting physical stability of ternary amorphous solid dispersions using specific mechanical energy in a hot melt extrusion process. Int. J. Pharm. 2018, 548, 571–585. [Google Scholar] [CrossRef]
- Tan, B.; Thomas, N.L. A review of the water barrier properties of polymer/clay and polymer/graphene nanocomposites. J. Membr. Sci. 2016, 514, 595–612. [Google Scholar] [CrossRef]
- Paul, D.R.; Robeson, L.M. Polymer nanotechnology: Nanocomposites. Polymer 2008, 49, 3187–3204. [Google Scholar] [CrossRef]
- Carretero, M.I.; Pozo, M. Clay and non-clay minerals in the pharmaceutical industry: Part I. Excipients and medical applications. Appl. Clay Sci. 2009, 46, 73–80. [Google Scholar] [CrossRef]
- Liu, K.-H.; Liu, T.-Y.; Chen, S.-Y.; Liu, D.-M. Drug release behavior of chitosan–montmorillonite nanocomposite hydrogels following electrostimulation. Acta Biomater. 2008, 4, 1038–1045. [Google Scholar] [CrossRef] [PubMed]
- Lin-Vien, D.; Colthup, N.B.; Fateley, W.G.; Grasselli, J.G. The Handbook of Infrared and Raman Characteristic Frequencies of Organic Molecules; Elsevier: Amsterdam, The Netherlands, 1991. [Google Scholar]
- He, H.P.; Zhu, J. Chapter 10—Analysis of Organoclays and Organic Adsorption by Clay Minerals. In Developments in Clay Science; Gates, W.P., Kloprogge, J.T., Madejová, J., Bergaya, F., Eds.; Elsevier: Amsterdam, The Netherlands, 2017; Volume 8, pp. 310–342. [Google Scholar]
- Madejová, J.; Gates, W.P.; Petit, S. Chapter 5—IR Spectra of Clay Minerals. In Developments in Clay Science; Gates, W.P., Kloprogge, J.T., Madejová, J., Bergaya, F., Eds.; Elsevier: Amsterdam, The Netherlands, 2017; Volume 8, pp. 107–149. [Google Scholar]
- Johnston, C.T. Chapter 9—Infrared Studies of Clay Mineral-Water Interactions. In Developments in Clay Science; Gates, W.P., Kloprogge, J.T., Madejová, J., Bergaya, F., Eds.; Elsevier: Amsterdam, The Netherlands, 2017; Volume 8, pp. 288–309. [Google Scholar]
- Xu, W.; Johnston, C.T.; Parker, P.; Agnew, S.F. Infrared study of water sorption on Na-, Li-, Ca-, and Mg-exchanged (SWy-1 and SAz-1) montmorillonite. Clays Clay Miner. 2000, 48, 120–131. [Google Scholar] [CrossRef]
- Slosiariková, H.; Bujdák, J.; Hlavatý, V. IR spectra of octadecylammonium-montmorillonite in the range of the Si-O vibrations. J. Incl. Phenom. Mol. Recognit. Chem. 1992, 13, 267–272. [Google Scholar] [CrossRef]
- Ma, Y.; Zhu, J.; He, H.; Yuan, P.; Shen, W.; Liu, D. Infrared investigation of organo-montmorillonites prepared from different surfactants. Spectrochim. Acta Part A Mol. Biomol. Spectrosc. 2010, 76, 122–129. [Google Scholar] [CrossRef]
- Martini, F.; Geppi, M.; Borsacchi, S. Chapter 9—NMR Spectroscopy of Clay–Polymer Nanocomposites A2—Jlassi, Khouloud. In Clay-Polymer Nanocomposites; Chehimi, M.M., Thomas, S., Eds.; Elsevier: Amsterdam, The Netherlands, 2017; pp. 307–325. [Google Scholar] [CrossRef]
- Lu, X.; Huang, C.; Lowinger, M.B.; Yang, F.; Xu, W.; Brown, C.D.; Hesk, D.; Koynov, A.; Schenck, L.; Su, Y. Molecular Interactions in Posaconazole Amorphous Solid Dispersions from Two-Dimensional Solid-State NMR Spectroscopy. Mol. Pharm. 2019, 16, 2579–2589. [Google Scholar] [CrossRef] [PubMed]
- Duan, P.; Schmidt-Rohr, K. Composite-pulse and partially dipolar dephased multiCP for improved quantitative solid-state 13C NMR. J. Magn. Reson. 2017, 285, 68–78. [Google Scholar] [CrossRef]
- Becker, O.; Varley, R.J.; Simon, G.P. Thermal stability and water uptake of high performance epoxy layered silicate nanocomposites. Eur. Polym. J. 2004, 40, 187–195. [Google Scholar] [CrossRef]
- Liu, X.; Wu, Q. Polyamide 66/Clay Nanocomposites via Melt Intercalation. Macromol. Mater. Eng. 2002, 287, 180–186. [Google Scholar] [CrossRef]
- Rhim, J.-W.; Hong, S.-I.; Ha, C.-S. Tensile, water vapor barrier and antimicrobial properties of PLA/nanoclay composite films. LWT—Food Sci. Technol. 2009, 42, 612–617. [Google Scholar] [CrossRef]
- Duan, Z.; Thomas, N.L.; Huang, W. Water vapour permeability of poly(lactic acid) nanocomposites. J. Membr. Sci. 2013, 445, 112–118. [Google Scholar] [CrossRef]
- Jesus, C.R.N.; Molina, E.F.; Pulcinelli, S.H.; Santilli, C.V. Highly Controlled Diffusion Drug Release from Ureasil–Poly(ethylene oxide)–Na+–Montmorillonite Hybrid Hydrogel Nanocomposites. ACS Appl. Mater. Interfaces 2018, 10, 19059–19068. [Google Scholar] [CrossRef]
- Alexandre, B.; Langevin, D.; Médéric, P.; Aubry, T.; Couderc, H.; Nguyen, Q.T.; Saiter, A.; Marais, S. Water barrier properties of polyamide 12/montmorillonite nanocomposite membranes: Structure and volume fraction effects. J. Membr. Sci. 2009, 328, 186–204. [Google Scholar] [CrossRef]
- Huskić, M.; Žigon, M.; Ivanković, M. Comparison of the properties of clay polymer nanocomposites prepared by montmorillonite modified by silane and by quaternary ammonium salts. Appl. Clay Sci. 2013, 85, 109–115. [Google Scholar] [CrossRef]
- Ianchis, R.; Cinteza, L.O.; Donescu, D.; Petcu, C.; Corobea, M.C.; Somoghi, R.; Ghiurea, M.; Spataru, C. Implications of silylated montmorillonite on montmorillonite–polyacrylate nanocomposites. Appl. Clay Sci. 2011, 52, 96–103. [Google Scholar] [CrossRef]
- Patra, C.N.; Priya, R.; Swain, S.; Kumar Jena, G.; Panigrahi, K.C.; Ghose, D. Pharmaceutical significance of Eudragit: A review. Future J. Pharm. Sci. 2017, 3, 33–45. [Google Scholar] [CrossRef]
- Azarmi, S.; Farid, J.; Nokhodchi, A.; Bahari-Saravi, S.M.; Valizadeh, H. Thermal treating as a tool for sustained release of indomethacin from Eudragit RS and RL matrices. Int. J. Pharm. 2002, 246, 171–177. [Google Scholar] [CrossRef]
- Lyons, J.G.; Holehonnur, H.; Devine, D.M.; Kennedy, J.E.; Geever, L.M.; Blackie, P.; Higginbotham, C.L. The incorporation of an organically modified layered silicate in monolithic polymeric matrices produced using hot melt extrusion. Mater. Chem. Phys. 2007, 103, 419–426. [Google Scholar] [CrossRef]
- Ha, J.U.; Xanthos, M. Drug release characteristics from nanoclay hybrids and their dispersions in organic polymers. Int. J. Pharm. 2011, 414, 321–331. [Google Scholar] [CrossRef] [PubMed]
- Dening, T.J.; Rao, S.; Thomas, N.; Prestidge, C.A. Montmorillonite-lipid hybrid carriers for ionizable and neutral poorly water-soluble drugs: Formulation, characterization and in vitro lipolysis studies. Int. J. Pharm. 2017, 526, 95–105. [Google Scholar] [CrossRef] [PubMed]











| Extrusion Time | Formula # | Clay | Polymer | Drug | Average Torque (G.m) | Extrudates Images | |
|---|---|---|---|---|---|---|---|
| Cloisite Na | Cloisite 20 | Eudragit RS | Theophylline | ||||
| 1st extrusion to prepare clay-polymer nanocomposites | 1 | - | - | 100% | - | 883 | ![]() |
| 2 | 5% | - | 95% | 841 | ![]() | ||
| 3 | - | 5% | 95% | 751 | ![]() | ||
| 4 | 10% | - | 90% | 984 | ![]() | ||
| 5 | - | 10% | 90% | 761 | ![]() | ||
| 6 | 15% | - | 85% | 1156 | ![]() | ||
| 7 | - | 15% | 85% | 887 | ![]() | ||
| 2nd extrusion to incorporate theophylline | 1-1 | - | - | 80% | 20% | 477 | ![]() |
| 2-1 | 4% | - | 76% | 781 | ![]() | ||
| 3-1 | - | 4% | 76% | 663 | ![]() | ||
| 4-1 | 8% | - | 72% | 1202 | ![]() | ||
| 5-1 | - | 8% | 72% | 734 | ![]() | ||
| 6-1 | 12% | - | 68% | 1436 | ![]() | ||
| 7-1 | - | 12% | 68% | 873 | ![]() | ||
| Components | IR Absorption Band (cm−1) | Band Assignment |
|---|---|---|
| Cloisite Na | 1636 | δ (O-H) for adsorbed H2O |
| 1078 | γ (Si-O) (out-of-plane) | |
| 1007 | γ (Si-O) (in-of-plane) | |
| 919 | δ (Al-Al-OH) | |
| Cloisite 20 | 1645 | δ (O-H) for adsorbed H2O |
| 1467 | δ (C-H) of Aliphatic | |
| 1080 | γ (Si-O) (out-of-plane) | |
| 1035 | γ (Si-O) (in-of-plane) | |
| 1027 | γ (Si-O) (in-of-plane) | |
| 919 | δ (Al-Al-OH) | |
| Eudragit RS | 1728 | δ(C=O) for ester group |
| 1448 | δ(C-H) of alkyl chains | |
| 1386 | δ(C-H) of alkyl chains | |
| 1238 | γ (O=C-O) for ester group | |
| 1147 | γ (O=C-O) for ester group |
© 2020 by the authors. Licensee MDPI, Basel, Switzerland. This article is an open access article distributed under the terms and conditions of the Creative Commons Attribution (CC BY) license (http://creativecommons.org/licenses/by/4.0/).
Share and Cite
Liu, X.; Lu, X.; Su, Y.; Kun, E.; Zhang, F. Clay-Polymer Nanocomposites Prepared by Reactive Melt Extrusion for Sustained Drug Release. Pharmaceutics 2020, 12, 51. https://doi.org/10.3390/pharmaceutics12010051
Liu X, Lu X, Su Y, Kun E, Zhang F. Clay-Polymer Nanocomposites Prepared by Reactive Melt Extrusion for Sustained Drug Release. Pharmaceutics. 2020; 12(1):51. https://doi.org/10.3390/pharmaceutics12010051
Chicago/Turabian StyleLiu, Xu, Xingyu Lu, Yongchao Su, Eucharist Kun, and Feng Zhang. 2020. "Clay-Polymer Nanocomposites Prepared by Reactive Melt Extrusion for Sustained Drug Release" Pharmaceutics 12, no. 1: 51. https://doi.org/10.3390/pharmaceutics12010051
APA StyleLiu, X., Lu, X., Su, Y., Kun, E., & Zhang, F. (2020). Clay-Polymer Nanocomposites Prepared by Reactive Melt Extrusion for Sustained Drug Release. Pharmaceutics, 12(1), 51. https://doi.org/10.3390/pharmaceutics12010051















