Kinetics of the Equid Herpesvirus 2 and 5 Infections among Mares and Foals from Three Polish National Studs
Abstract
1. Introduction
2. Materials and Methods
2.1. Source of Samples
2.2. Processing of Samples
2.3. Real-Time PCR Assays
2.4. Quantification
2.5. Data Analysis
3. Results
3.1. EHV-2/5 Infections among Mares and Foals
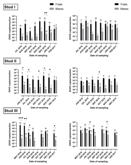
3.2. Load of EHV-2 and EHV-5 DNA
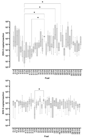
3.3. Shedding Pattern of EHV-2/5
4. Discussion
Supplementary Materials
Author Contributions
Funding
Institutional Review Board Statement
Informed Consent Statement
Data Availability Statement
Acknowledgments
Conflicts of Interest
References
- Marenzoni, M.L.; Coppola, G.; Maranesi, M.; Passamonti, F.; Cappelli, K.; Capomaccio, S.; Verini Supplizi, A.; Thiry, E.; Coletti, M. Age-dependent prevalence of equid herpesvirus 5 infection. Vet. Res. Commun. 2010, 34, 703–708. [Google Scholar] [CrossRef]
- Wang, L.; Raidal, S.L.; Pizzirani, A.; Wilcox, G.E. Detection of respiratory herpesviruses in foals and adult horses determined by nested multiplex PCR. Vet. Microbiol. 2007, 121, 18–28. [Google Scholar] [CrossRef]
- Hue, E.S.; Fortier, G.D.; Fortier, C.I.; Leon, A.M.; Richard, E.A.; Legrand, L.J.; Pronost, S.L. Detection and quantitation of equid gammaherpesviruses (EHV-2, EHV-5) in nasal swabs using an accredited standardised quantitative PCR method. J. Virol. Methods 2014, 198, 18–25. [Google Scholar] [CrossRef]
- Brault, S.A.; Maclachlan, N.J. Equid gammaherpesviruses: Persistent bystanders or true pathogens? Vet. J. 2011, 187, 14–15. [Google Scholar] [CrossRef]
- Dunowska, M.; Meers, J.; Wilks, C. Isolation of equine herpesvirus type 5 in New Zealand. N. Z. Vet. J. 1999, 47, 44–46. [Google Scholar] [CrossRef]
- Bell, S.A.; Balasuriya, U.B.; Gardner, I.A.; Barry, P.A.; Wilson, W.D.; Ferraro, G.L.; MacLachlan, N.J. Temporal detection of equine herpesvirus infections of a cohort of mares and their foals. Vet. Microbiol. 2006, 116, 249–257. [Google Scholar] [CrossRef]
- Dunowska, M.; Wilks, C.; Studdert, M.; Meers, J. Viruses associated with outbreaks of equine respiratory disease in New Zealand. N. Z. Vet. J. 2002, 50, 132–139. [Google Scholar] [CrossRef]
- Marenzoni, M.L.; Stefanetti, V.; Danzetta, M.L.; Timoney, P.J. Gammaherpesvirus infections in equids: A review. Vet. Med. 2015, 6, 91–101. [Google Scholar] [CrossRef][Green Version]
- Fortier, G.; van Erck, E.; Fortier, C.; Richard, E.; Pottier, D.; Pronost, S.; Miszczak, F.; Thiry, E.; Lekeux, P. Herpesviruses in respiratory liquids of horses: Putative implication in airway inflammation and association with cytological features. Vet. Microbiol. 2009, 139, 34–41. [Google Scholar] [CrossRef][Green Version]
- Fortier, G.; Richard, E.; Hue, E.; Fortier, C.; Pronost, S.; Pottier, D.; Lemaitre, L.; Lekeux, P.; Borchers, K.; Thiry, E. Long-lasting airway inflammation associated with equid herpesvirus-2 in experimentally challenged horses. Vet. J. 2013, 197, 492–495. [Google Scholar] [CrossRef]
- Houtsma, A.; Bedenice, D.; Pusterla, N.; Pugliese, B.; Mapes, S.; Hoffman, A.M.; Paxson, J.; Rozanski, E.; Mukherjee, J.; Wigley, M.; et al. Association between inflammatory airway disease of horses and exposure to respiratory viruses: A case control study. Multidiscip. Respir. Med. 2015, 10, 33. [Google Scholar] [CrossRef]
- Fortier, G.; Pronost, S.; Miszczak, F.; Fortier, C.; Léon, A.; Richard, E.; Van Erck, E.; Thiry, E.; Lekeux, P. Identification of equid herpesvirus-5 in respiratory liquids: A retrospective study of 785 samples taken in 2006–2007. Vet. J. 2009, 182, 346–348. [Google Scholar] [CrossRef]
- Back, H.; Ullman, K.; Berndtsson, L.T.; Riihimäki, M.; Penell, J.; Ståhl, K.; Valarcher, J.-F.; Pringle, J. Viral load of equine herpesviruses 2 and 5 in nasal swabs of actively racing Standardbred trotters: Temporal relationship of shedding to clinical findings and poor performance. Vet. Microbiol. 2015, 179, 142–148. [Google Scholar] [CrossRef]
- Hartley, C.A.; Dynon, K.J.; Mekuria, Z.H.; El-Hage, C.M.; Holloway, S.A.; Gilkerson, J.R. Equine gammaherpesviruses: Perfect parasites? Vet. Microbiol. 2013, 167, 86–92. [Google Scholar] [CrossRef]
- Nordengrahn, A.; Rusvai, M.; Merza, M.; Ekstrom, J.; Morein, B.; Belak, S. Equine herpesvirus type 2 (EHV-2) as a predisposing factor for rhodococcus equi pneumonia in foals: Prevention of the bifactorial disease with EHV-2 immunostimulating complexes. Vet. Microbiol. 1996, 51, 55–68. [Google Scholar] [CrossRef]
- Brault, S.A.; Blanchard, M.T.; Gardner, I.A.; Stott, J.L.; Pusterla, N.; Mapes, S.M.; Vernau, W.; Dejong, K.D.; Maclachlan, N.J. The immune response of foals to natural infection with equid herpesvirus-2 and its association with febrile illness. Vet. Immunol. Immunopathol. 2010, 137, 136–141. [Google Scholar] [CrossRef]
- Brault, S.A.; Bird, B.H.; Balasuriya, U.B.; MacLachlan, N.J. Genetic heterogeneity and variation in viral load during equid herpesvirus-2 infection of foals. Vet. Microbiol. 2011, 147, 253–261. [Google Scholar] [CrossRef]
- Browning, G.F.; Studdert, M.J. Genomic heterogeneity of equine betaherpesviruses. J. Gen. Virol. 1987, 68, 1441–1447. [Google Scholar] [CrossRef]
- Dunowska, M.; Holloway, S.A.; Wilks, C.R.; Meers, J. Genomic variability of equine herpesvirus-5. Arch. Virol. 2000, 145, 1359–1371. [Google Scholar] [CrossRef]
- Kershaw, O.; von Oppen, T.; Glitz, F.; Deegen, E.; Ludwig, H.; Borchers, K. Detection of equine herpesvirus type 2 (EHV-2) in horses with keratoconjunctivitis. Virus Res. 2001, 80, 93–99. [Google Scholar] [CrossRef]
- Rushton, J.O.; Kolodziejek, J.; Nell, B.; Weissenbock, H.; Nowotny, N. Keratoconjunctivitis in a group of Icelandic horses with suspected gamma-herpesvirus involvement. Equine Vet. J. 2016, 48, 427–429. [Google Scholar] [CrossRef]
- Borchers, K.; Ebert, M.; Fetsch, A.; Hammond, T.; Sterner-Kock, A. Prevalence of equine herpesvirus type 2 (EHV-2) DNA in ocular swabs and its cell tropism in equine conjunctiva. Vet. Microbiol. 2006, 118, 260–266. [Google Scholar] [CrossRef]
- Hollingsworth, S.R.; Pusterla, N.; Kass, P.H.; Good, K.L.; Brault, S.A.; Maggs, D.J. Detection of equine herpesvirus in horses with idiopathic keratoconjunctivitis and comparison of three sampling techniques. Vet. Ophthalmol. 2015, 18, 416–421. [Google Scholar] [CrossRef]
- Williams, K.J.; Maes, R.; Del Piero, F.; Lim, A.; Wise, A.; Bolin, D.C.; Caswell, J.; Jackson, C.; Robinson, N.E.; Derksen, F.; et al. Equine multinodular pulmonary fibrosis: A newly recognized herpesvirus-associated fibrotic lung disease. Vet. Pathol. 2007, 44, 849–862. [Google Scholar] [CrossRef]
- Nordengrahn, A.; Merza, M.; Ros, C.; Lindholmc, A.; Palfl, V.; Hannant, D.; Belak, S. Prevalence of equine herpesvirus types 2 and 5 in horse populations by using type-specific PCR assays. Vet. Res. 2002, 33, 251–259. [Google Scholar] [CrossRef]
- Torfason, E.G.; Thorsteinsdottir, L.; Torsteinsdottir, S.; Svansson, V. Study of equid herpesviruses 2 and 5 in Iceland with a type-specific polymerase chain reaction. Res. Vet. Sci. 2008, 85, 605–611. [Google Scholar] [CrossRef]
- Laabassi, F.; Hue, E.; Fortier, C.; Morilland, E.; Legrand, L.; Hans, A.; Pronost, S. Epidemiology and molecular detection of equine herpesviruses in western Algeria in 2011. Vet. Microbiol. 2017, 207, 205–209. [Google Scholar] [CrossRef]
- Akkutay, A.Z.; Osterrieder, N.; Damiani, A.; Tischer, B.K.; Borchers, K.; Alkan, F. Prevalence of equine gammaherpesviruses on breeding farms in Turkey and development of a TaqMan MGB real-time PCR to detect equine herpesvirus 5 (EHV-5). Arch. Virol. 2014, 159, 2989–2995. [Google Scholar] [CrossRef]
- Ataseven, V.S.; Bilge-Dagalp, S.; Oguzoglu, T.C.; Karapinar, Z.; Guzel, M.; Tan, M.T. Detection and sequence analysis of equine gammaherpesviruses from horses with respiratory tract disease in Turkey. Transbound. Emerg. Dis. 2010, 57, 271–276. [Google Scholar] [CrossRef]
- Diallo, I.S.; Hewitson, G.R.; de Jong, A.; Kelly, M.A.; Wright, D.J.; Corney, B.G.; Rodwell, B.J. Equine herpesvirus infections in yearlings in South-East Queensland. Arch. Virol. 2008, 153, 1643–1649. [Google Scholar] [CrossRef]
- McBrearty, K.A.; Murray, A.; Dunowska, M. A survey of respiratory viruses in New Zealand horses. N. Z. Vet. J. 2013, 61, 254–261. [Google Scholar] [CrossRef]
- Negussie, H.; Gizaw, D.; Tesfaw, L.; Li, Y.; Oguma, K.; Sentsui, H.; Tessema, T.S.; Nauwynck, H.J. Detection of equine herpesvirus (EHV) -1, -2, -4 and -5 in ethiopian equids with and without respiratory problems and genetic characterization of EHV-2 and EHV-5 strains. Transbound. Emerg. Dis. 2017, 64, 1970–1978. [Google Scholar] [CrossRef]
- Back, H.; Ullman, K.; Leijon, M.; Soderlund, R.; Penell, J.; Stahl, K.; Pringle, J.; Valarcher, J.F. Genetic variation and dynamics of infections of equid herpesvirus 5 in individual horses. J. Gen. Virol. 2016, 97, 169–178. [Google Scholar] [CrossRef]
- Mekuria, Z.H.; El-Hage, C.; Ficorilli, N.P.; Washington, E.A.; Gilkerson, J.R.; Hartley, C.A. Mapping B lymphocytes as major reservoirs of naturally occurring latent equine herpesvirus 5 infection. J. Gen. Virol. 2017, 98, 461–470. [Google Scholar] [CrossRef]
- Drummer, H.E.; Reubel, G.H.; Studdert, M.J. Equine gammaherpesvirus 2 (EHV2) is latent in B lymphocytes. Arch. Virol. 1996, 141, 495–504. [Google Scholar] [CrossRef]
- Rizvi, S.M.; Slater, J.D.; Wolfinger, U.; Borchers, K.; Field, H.J.; Slade, A.J. Detection and distribution of equine herpesvirus 2 DNA in the central and peripheral nervous systems of ponies. J. Gen. Virol. 1997, 78, 1115–1118. [Google Scholar] [CrossRef]
- Stasiak, K.; Dunowska, M.; Rola, J. Prevalence and sequence analysis of equid herpesviruses from the respiratory tract of Polish horses. Virol. J. 2018, 15, 106. [Google Scholar] [CrossRef]
- Dunowska, M.; Wilks, C.R.; Studdert, M.J.; Meers, J. Equine respiratory viruses in foals in New Zealand. N. Z. Vet. J. 2002, 50, 140–147. [Google Scholar] [CrossRef]
- Murray, M.J.; Eichorn, E.S.; Dubovi, E.J.; Ley, W.B.; Cavey, D.M. Equine herpesvirus type 2: Prevalence and seroepidemiology in foals. Equine Vet. J. 1996, 28, 432–436. [Google Scholar] [CrossRef]
- Fornal, A.; Kowalska, K.; Zabek, T.; Piestrzynska-Kajtoch, A.; Musial, A.D.; Ropka-Molik, K. Genetic diversity and population structure of polish konik horse based on individuals from all the male founder lines and microsatellite markers. Animals 2020, 10, 1569. [Google Scholar] [CrossRef]
- Fu, Z.F.; Robinson, A.J.; Horner, G.W.; Dickinson, L.G.; Grimmett, J.B.; Marshall, R.B. Respiratory disease in foals and the epizootiology of equine herpesvirus type 2 infection. N. Z. Vet. J. 1986, 34, 152–155. [Google Scholar] [CrossRef] [PubMed]
- Dunowska, M.; Howe, L.; Hanlon, D.; Stevenson, M. Kinetics of equid herpesvirus type 2 infections in a group of thoroughbred foals. Vet. Microbiol. 2011, 152, 176–180. [Google Scholar] [CrossRef] [PubMed]
- Thorsteinsdottir, L.; Jonsdottir, S.; Stefansdottir, S.B.; Andresdottir, V.; Wagner, B.; Marti, E.; Torsteinsdottir, S.; Svansson, V. The effect of maternal immunity on the equine gammaherpesvirus type 2 and 5 viral load and antibody response. PLoS ONE 2019, 14, e0218576. [Google Scholar] [CrossRef] [PubMed]
- Stasiak, K.; Dunowska, M.; Trewick, S.; Rola, J. Genetic variation in the glycoprotein b sequence of equid herpesvirus 5 among horses of various breeds at polish national studs. Pathogens 2021, 10, 322. [Google Scholar] [CrossRef]
- Muscat, K.E.; Padalino, B.; Hartley, C.A.; Ficorilli, N.; Celi, P.; Knight, P.; Raidal, S.; Gilkerson, J.R.; Muscatello, G. Equine transport and changes in equid herpesvirus’ status. Front. Vet. Sci. 2018, 5, 224. [Google Scholar] [CrossRef]
- Costantini, D.; Seeber, P.A.; Soilemetzidou, S.E.; Azab, W.; Bohner, J.; Buuveibaatar, B.; Czirjak, G.A.; East, M.L.; Greunz, E.M.; Kaczensky, P.; et al. Physiological costs of infection: Herpesvirus replication is linked to blood oxidative stress in equids. Sci. Rep. 2018, 8, 10347. [Google Scholar] [CrossRef]
- Lansade, L.; Foury, A.; Reigner, F.; Vidament, M.; Guettier, E.; Bouvet, G.; Soulet, D.; Parias, C.; Ruet, A.; Mach, N.; et al. Progressive habituation to separation alleviates the negative effects of weaning in the mother and foal. Psychoneuroendocrinology 2018, 97, 59–68. [Google Scholar] [CrossRef]
- Henry, S.; Sigurjonsdottir, H.; Klapper, A.; Joubert, J.; Montier, G.; Hausberger, M. Domestic foal weaning: Need for re-thinking breeding practices? Animals 2020, 10, 361. [Google Scholar] [CrossRef]





| Stud | Breed | No of Mare-Foal Pairs | No of Samples | No of Visits | Dates |
|---|---|---|---|---|---|
| Stud I | Polish Konik | 14 | 224 | 8 | July 2016–February 2017 |
| Stud II | Arabian | 9 | 126 | 7 | June 2015–December 2015 |
| Stud III | Thoroughbred | 15 * | 194 | 7 | May 2016–January 2017 |
| Total | 38 | 544 | 22 |
| Virus | Primers/Probes (5′ to 3′) | Size (bp) |
|---|---|---|
| EHV-2 | Forward: GTGGCCAGCGGGGTGTTC | 78 |
| Reverse: CCCCCAAAGGGATTYTTGAA | ||
| Probe: FAM-CCCTCTTTGGGAGCATAGTCTCGGGG-TAMRA | ||
| EHV-5 | Forward: AACCCGCCGTGCATCA | 66 |
| Reverse: AGGCGCCACACACCCTAA | ||
| Probe: FAM-ACAACACCACCAACCCCTTTCTGCTG-TAMRA |
Publisher’s Note: MDPI stays neutral with regard to jurisdictional claims in published maps and institutional affiliations. |
© 2022 by the authors. Licensee MDPI, Basel, Switzerland. This article is an open access article distributed under the terms and conditions of the Creative Commons Attribution (CC BY) license (https://creativecommons.org/licenses/by/4.0/).
Share and Cite
Stasiak, K.; Dunowska, M.; Rola, J. Kinetics of the Equid Herpesvirus 2 and 5 Infections among Mares and Foals from Three Polish National Studs. Viruses 2022, 14, 713. https://doi.org/10.3390/v14040713
Stasiak K, Dunowska M, Rola J. Kinetics of the Equid Herpesvirus 2 and 5 Infections among Mares and Foals from Three Polish National Studs. Viruses. 2022; 14(4):713. https://doi.org/10.3390/v14040713
Chicago/Turabian StyleStasiak, Karol, Magdalena Dunowska, and Jerzy Rola. 2022. "Kinetics of the Equid Herpesvirus 2 and 5 Infections among Mares and Foals from Three Polish National Studs" Viruses 14, no. 4: 713. https://doi.org/10.3390/v14040713
APA StyleStasiak, K., Dunowska, M., & Rola, J. (2022). Kinetics of the Equid Herpesvirus 2 and 5 Infections among Mares and Foals from Three Polish National Studs. Viruses, 14(4), 713. https://doi.org/10.3390/v14040713

