The IL6-174G/C Polymorphism Associated with High Levels of IL-6 Contributes to HCV Infection, but Is Not Related to HBV Infection, in the Amazon Region of Brazil
Abstract
1. Introduction
2. Materials and Methods
2.1. Study Design and Population
2.2. Genotyping of IL6-174G/C (rs1800795)
2.3. Laboratory Data
2.4. Quantification of Plasma IL-6 Levels
2.5. Statistical Analysis
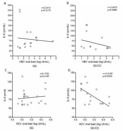
3. Results
4. Discussion
5. Conclusions
Author Contributions
Funding
Institutional Review Board Statement
Informed Consent Statement
Data Availability Statement
Acknowledgments
Conflicts of Interest
References
- WHO. Hepatitis B. Available online: https://www.who.int/news-room/fact-sheets/detail/hepatitis-b (accessed on 30 December 2021).
- Aleman, S.; Rahbin, N.; Weiland, O.; Davidsdottir, L.; Hedenstierna, M.; Rose, N.; Verbaan, H.; Stål, P.; Carlsson, T.; Norrgren, H.; et al. A risk for hepatocellular carcinoma persists long-term after sustained virologic response in patients with hepatitis C-associated liver cirrhosis. Clin. Infect. Dis. 2013, 57, 230–236. [Google Scholar] [CrossRef] [PubMed]
- Kanda, T.; Goto, T.; Hirotsu, Y.; Moriyama, M.; Omata, M. Molecular Mechanisms Driving Progression of Liver Cirrhosis towards Hepatocellular Carcinoma in Chronic Hepatitis B and C Infections: A Review. Int. J. Mol. Sci. 2019, 20, 1358. [Google Scholar] [CrossRef] [PubMed]
- Tseng, T.C.; Huang, L.R. Immunopathogenesis of Hepatitis B Virus. J. Infect. Dis. 2017, 216, S765–S770. [Google Scholar] [CrossRef] [PubMed]
- Chigbu, D.I.; Loonawat, R.; Sehgal, M.; Patel, D.; Jain, P. Hepatitis C Virus Infection: Host-Virus Interaction and Mechanisms of Viral Persistence. Cells 2019, 8, 376. [Google Scholar] [CrossRef]
- Fallahi, P.; Ferri, C.; Ferrari, S.M.; Corrado, A.; Sansonno, D.; Antonelli, A. Cytokines and HCV-related disorders. Clin. Dev. Immunol. 2012, 2012, 468107. [Google Scholar] [CrossRef]
- Xia, Y.; Protzer, U. Control of Hepatitis B Virus by Cytokines. Viruses 2017, 9, 18. [Google Scholar] [CrossRef]
- Tanaka, T.; Narazaki, M.; Masuda, K.; Kishimoto, T. Regulation of IL-6 in Immunity and Diseases. Adv. Exp. Med. Biol. 2016, 941, 79–88. [Google Scholar]
- Kelberman, D.; Fife, M.; Rockman, M.V.; Brull, D.J.; Woo, P.; Humphries, S.E. Analysis of common IL-6 promoter SNP variants and the AnTn tract in humans and primates and effects on plasma IL-6 levels following coronary artery bypass graft surgery. Biochim. Biophys. Acta 2004, 1688, 160–167. [Google Scholar] [CrossRef][Green Version]
- Fishman, D.; Faulds, G.; Jeffery, R.; Mohamed-Ali, V.; Yudkin, J.S.; Humphries, S.; Woo, P. The effect of novel polymorphisms in the interleukin-6 (IL-6) gene on IL-6 transcription and plasma IL-6 levels, and an association with systemic-onset juvenile chronic arthritis. J. Clin. Investig. 1998, 102, 1369–1376. [Google Scholar] [CrossRef]
- Iglesias, M.; Plowman, G.D.; Woodworth, C.D. Interleukin-6 and interleukin-6 soluble receptor regulate proliferation of normal, human papillomavirus-immortalized, and carcinoma-derived cervical cells in vitro. Am. J. Pathol. 1995, 146, 944–952. [Google Scholar]
- Chiaretti, A.; Pulitanò, S.; Barone, G.; Ferrara, P.; Romano, V.; Capozzi, D.; Riccardi, R. IL-1 β and IL-6 upregulation in children with H1N1 influenza virus infection. Mediat. Inflamm. 2013, 2013, 495848. [Google Scholar] [CrossRef] [PubMed]
- Zhang, G.; Tsang, C.M.; Deng, W.; Yip, Y.L.; Lui, V.W.; Wong, S.C.; Cheung, A.L.; Hau, P.M.; Zeng, M.; Lung, M.L.; et al. Enhanced IL-6/IL-6R signaling promotes growth and malignant properties in EBV-infected premalignant and cancerous nasopharyngeal epithelial cells. PLoS ONE 2013, 8, e62284. [Google Scholar] [CrossRef] [PubMed]
- Taub, R. Liver regeneration: From myth to mechanism. Nat. Rev. Mol. Cell Biol. 2004, 5, 836–847. [Google Scholar] [CrossRef]
- Pellicoro, A.; Ramachandran, P.; Iredale, J.P.; Fallowfield, J. Liver fibrosis and repair: Immune regulation of wound healing in a solid organ. Nat. Rev. Immunol. 2014, 14, 181–194. [Google Scholar] [CrossRef] [PubMed]
- Lapiński, T.W. The levels of IL-1beta, IL-4 and IL-6 in the serum and the liver tissue of chronic HCV-infected patients. Arch. Immunol. Ther. Exp. 2001, 49, 311–316. [Google Scholar]
- Migita, K.; Abiru, S.; Maeda, Y.; Daikoku, M.; Ohata, K.; Nakamura, M.; Komori, A.; Yano, K.; Yatsuhashi, H.; Eguchi, K.; et al. Serum levels of interleukin-6 and its soluble receptors in patients with hepatitis C virus infection. Hum. Immunol. 2006, 67, 27–32. [Google Scholar] [CrossRef] [PubMed]
- Barathan, M.; Riazalhosseini, B.; Iyadorai, T.; Vellasamy, K.M.; Vadivelu, J.; Chang, L.Y.; Zulpa, A.K.; Larsson, M.; Shankar, E.M.; Mohamed, R. Comparative expression of pro-inflammatory and apoptotic biosignatures in chronic HBV-infected patients with and without liver cirrhosis. Microb. Pathog. 2021, 161, 105231. [Google Scholar] [CrossRef] [PubMed]
- Ben-Ari, Z.; Mor, E.; Papo, O.; Kfir, B.; Sulkes, J.; Tambur, A.R.; Tur-Kaspa, R.; Klein, T. Cytokine gene polymorphisms in patients infected with hepatitis B virus. Am. J. Gastroenterol. 2003, 98, 144–150. [Google Scholar] [CrossRef]
- El-Maadawy, E.A.; Talaat, R.M.; Ahmed, M.M.; El-Shenawy, S.Z. Interleukin-6 promotor gene polymorphisms and susceptibility to chronic hepatitis B virus in Egyptians. Hum. Immunol. 2019, 80, 208–214. [Google Scholar] [CrossRef]
- Falleti, E.; Fabris, C.; Vandelli, C.; Colletta, C.; Cussigh, A.; Smirne, C.; Fontanini, E.; Cmet, S.; Minisini, R.; Bitetto, D.; et al. Genetic polymorphisms of interleukin-6 modulate fibrosis progression in mild chronic hepatitis C. Hum. Immunol. 2010, 71, 999–1004. [Google Scholar] [CrossRef]
- Badawy, A.A.; Othman, G.; Elabbasy, L.M.; Abd Elsalam, M.; Shrief, R.; Fahmy, E.M.; Kamel, N.M.; Osman, A.; Zaki, M.E. IL-6 -572G/C and -174G/C polymorphisms association with hepatitis C virus-induced hepatocellular carcinoma. Br. J. Biomed. Sci. 2019, 76, 201–204. [Google Scholar] [CrossRef] [PubMed]
- Santos, N.P.; Ribeiro-Rodrigues, E.M.; Ribeiro-Dos-Santos, A.K.; Pereira, R.; Gusmão, L.; Amorim, A.; Guerreiro, J.F.; Zago, M.A.; Matte, C.; Hutz, M.H.; et al. Assessing individual interethnic admixture and population substructure using a 48-insertion-deletion (INSEL) ancestry-informative marker (AIM) panel. Hum. Mutat. 2010, 31, 184–190. [Google Scholar] [CrossRef] [PubMed]
- Brasil Ministério da Saúde. Secretaria de Vigilância em Saúde. Protocolo Clínico e Diretrizes Terapêuticas Para Hepatite Viral C e Coinfecções; Brasil Ministério da Saúde: Brasília, Brasil, 2011; 144p. Available online: https://bvsms.saude.gov.br/bvs/publicacoes/protocolos_diretrizes_hepatite_viral_c_coinfeccoes.pdf (accessed on 20 June 2021).
- Bedossa, P.; Poynard, T. An algorithm for the grading of activity in chronic hepatitis C. The METAVIR Cooperative Study Group. Hepatology 1996, 24, 289–293. [Google Scholar] [CrossRef]
- Barnstorf, I.; Borsa, M.; Baumann, N.; Pallmer, K.; Yermanos, A.; Joller, N.; Spörri, R.; Welten, S.P.M.; Kräutler, N.J.; Oxenius, A. Chronic virus infection compromises memory bystander T cell function in an IL-6/STAT1-dependent manner. J. Exp. Med. 2019, 216, 571–586. [Google Scholar] [CrossRef] [PubMed]
- Tanaka, T.; Narazaki, M.; Kishimoto, T. IL-6 in inflammation, immunity, and disease. Cold Spring Harb. Perspect. Biol. 2014, 6, a016295. [Google Scholar] [CrossRef] [PubMed]
- Burzotta, F.; Iacoviello, L.; Di Castelnuovo, A.; Glieca, F.; Luciani, N.; Zamparelli, R.; Schiavello, R.; Donati, M.B.; Maseri, A.; Possati, G.; et al. Relation of the −174 G/C polymorphism of interleukin-6 to interleukin-6 plasma levels and to length of hospitalization after surgical coronary revascularization. Am. J. Cardiol. 2001, 88, 1125–1128. [Google Scholar] [CrossRef]
- Yang, X.; Jansson, P.A.; Pellmé, F.; Laakso, M.; Smith, U. Effect of the interleukin-6 (−174) g/c promoter polymorphism on adiponectin and insulin sensitivity. Obes. Res. 2005, 13, 813–817. [Google Scholar] [CrossRef]
- Ribeiro, C.S.; Visentainer, J.E.; Moliterno, R.A. Association of cytokine genetic polymorphism with hepatitis B infection evolution in adult patients. Mem. Inst. Oswaldo Cruz. 2007, 102, 435–440. [Google Scholar] [CrossRef]
- Fabris, C.; Toniutto, P.; Bitetto, D.; Fattovich, G.; Falleti, E.; Fontanini, E.; Cussigh, A.; Minisini, R.; Occhino, G.; Pirisi, M. Gene polymorphism at the interleukin 6 -174 G > C locus affects the outcome of chronic hepatitis B. J. Infect. 2009, 59, 144–145. [Google Scholar] [CrossRef]
- Cussigh, A.; Falleti, E.; Fabris, C.; Bitetto, D.; Cmet, S.; Fontanini, E.; Bignulin, S.; Fornasiere, E.; Fumolo, E.; Minisini, R.; et al. Interleukin 6 promoter polymorphisms influence the outcome of chronic hepatitis C. Immunogenetics 2011, 63, 33–41. [Google Scholar] [CrossRef]
- Motawi, T.; Shaker, O.G.; Hussein, R.M.; Houssen, M. Polymorphisms of α1-antitrypsin and Interleukin-6 genes and the progression of hepatic cirrhosis in patients with a hepatitis C virus infection. Balkan. J. Med. Genet. 2017, 19, 35–44. [Google Scholar] [CrossRef] [PubMed][Green Version]
- Lan, T.; Chang, L.; Wu, L.; Yuan, Y.F. IL-6 Plays a Crucial Role in HBV Infection. J. Clin. Transl. Hepatol. 2015, 3, 271–276. [Google Scholar] [PubMed]
- Chen, Z.; Li, Y.X.; Fu, H.J.; Ren, Y.L.; Zou, L.; Shen, S.Z.; Chen, P.; Sun, T.; Huang, C.H. Hepatitis B Virus Core Antigen Stimulates IL-6 Expression via p38, ERK and NF-κB Pathways in Hepatocytes. Cell Physiol. Biochem. 2017, 41, 91–100. [Google Scholar] [CrossRef]
- Kuo, M.L.; Chuang, S.E.; Lin, M.T.; Yang, S.Y. The involvement of PI 3-K/Akt-dependent up-regulation of Mcl-1 in the prevention of apoptosis of Hep3B cells by interleukin-6. Oncogene 2001, 20, 677–685. [Google Scholar] [CrossRef] [PubMed]
- Chou, C.H.; Lai, S.L.; Chen, C.N.; Lee, P.H.; Peng, F.C.; Kuo, M.L.; Lai, H.S. IL-6 regulates Mcl-1L expression through the JAK/PI3K/Akt/CREB signaling pathway in hepatocytes: Implication of an anti-apoptotic role during liver regeneration. PLoS ONE 2013, 8, e66268. [Google Scholar] [CrossRef]
- Al-Saffar, O.B.; Ad’hiah, A.H. Genetic variants in IL4RA, IL6, and IL12B genes and susceptibility to hepatitis B and C virus infections among Iraqi patients. J. Med. Virol. 2020, 92, 3448–3458. [Google Scholar] [CrossRef] [PubMed]
- Wang, X.; Yan, Z.; Ye, Q. Interleukin-6 gene polymorphisms and susceptibility to liver diseases: A meta-analysis. Medicine 2019, 98, e18408. [Google Scholar] [CrossRef]
- Wedemeyer, H.; He, X.S.; Nascimbeni, M.; Davis, A.R.; Greenberg, H.B.; Hoofnagle, J.H.; Liang, T.J.; Alter, H.; Rehermann, B. Impaired effector function of hepatitis C virus-specific CD8+ T cells in chronic hepatitis C virus infection. J. Immunol. 2002, 169, 3447–3458. [Google Scholar] [CrossRef]
- Missale, G.; Cariani, E.; Ferrari, C. Role of viral and host factors in HCV persistence: Which lesson for therapeutic and preventive strategies? Dig. Liver Dis. 2004, 36, 703–711. [Google Scholar] [CrossRef]
- Othman, M.S.; Aref, A.M.; Mohamed, A.A.; Ibrahim, W.A. Serum Levels of Interleukin-6 and Interleukin-10 as Biomarkers for Hepatocellular Carcinoma in Egyptian Patients. Int. Sch. Res. Not. 2013, 2013, 412317. [Google Scholar] [CrossRef]
- Shah, S.; Ma, Y.; Scherzer, R.; Huhn, G.; French, A.L.; Plankey, M.; Peters, M.G.; Grunfeld, C.; Tien, P.C. Association of HIV, hepatitis C virus and liver fibrosis severity with interleukin-6 and C-reactive protein levels. J. Infect. Dis. 2016, 213, 1079–1086. [Google Scholar] [CrossRef]
- Paquissi, F.C. Immunity and Fibrogenesis: The Role of Th17/IL-17 Axis in HBV and HCV-induced Chronic Hepatitis and Progression to Cirrhosis. Front. Immunol. 2017, 8, 1195. [Google Scholar] [CrossRef]
- Heim, M.H.; Thimme, R. Innate and adaptive immune responses in HCV infections. J. Hepatol. 2014, 61, S14–S25. [Google Scholar] [CrossRef] [PubMed]
- Pereira, G.L.; Tarragô, A.M.; Neves, W.L.L.; da Silva Neto, P.V.; de Souza, P.S.; Dos Santos Affonso, J.; de Sousa, K.S.; da Silva, J.A.; Costa, A.G.; da Silva Victoria, F.; et al. Immunological Dynamics Associated with Direct-Acting Antiviral Therapies in Naive and Experimented HCV Chronic-Infected Patients. Mediat. Inflamm. 2019, 2019, 4738237. [Google Scholar] [CrossRef] [PubMed]
- Auma, A.W.N.; Shive, C.L.; Kostadinova, L.; Anthony, D.D. Variable Normalization of Naïve CD4+ Lymphopenia and Markers of Monocyte and T Cell Activation over the Course of Direct-Acting Anti-Viral Treatment of Chronic Hepatitis C Virus Infection. Viruses 2021, 14, 50. [Google Scholar] [CrossRef] [PubMed]
- Bettelli, E.; Carrier, Y.; Gao, W.; Korn, T.; Strom, T.B.; Oukka, M.; Weiner, H.L.; Kuchroo, V.K. Reciprocal developmental pathways for the generation of pathogenic effector TH17 and regulatory T cells. Nature 2006, 441, 235–238. [Google Scholar] [CrossRef]
- Hou, W.; Jin, Y.H.; Kang, H.S.; Kim, B.S. Interleukin-6 (IL-6) and IL-17 synergistically promote viral persistence by inhibiting cellular apoptosis and cytotoxic T cell function. J. Virol. 2014, 88, 8479–8489. [Google Scholar] [CrossRef]






| Variables | HBV (n = 72) | HCV (n = 100) |
|---|---|---|
| Sex, F/M (%) | 28 (38.9)/44 (61.1) | 48 (48)/52 (52) |
| ALT (UI/L), median/IQR | 29/35.5 | 60/62.5 |
| AST (UI/L), median/IQR | 29/29.5 | 64/55.5 |
| GGT (UI/L), median/IQR | 33.5/34.3 | 71/91 |
| Viral load (log 10), median/IQR | 2.9/2.4 | 5.6/0.6 |
| Fibrosis score | ||
| 0 a 2 | 60 (83.3%) | 66 (66%) |
| 3 a 4 | 12 (16.7%) | 34 (34%) |
| Inflammatory activity | * | ** |
| 0 a 1 | 55 (86.4%) | 53 (60%) |
| 2 a 3 | 9 (13.6%) | 36 (40%) |
| Genotypic and Allelic Profile | HBV * n (%) | HCV ** n (%) | Control n (%) | p1 | p2 |
|---|---|---|---|---|---|
| GG | 51 (70.8%) | 72 (72%) | 207 (69%) | 0.9488 g | 0.5519 g |
| GC | 19 (26.4%) | 27 (27%) | 85 (28.3%) | ||
| CC | 2 (2.8%) | 1 (1%) | 8 (2.7%) | ||
| G | 0.84 | 0.86 | 0.83 | 0.9760 c | 0.8232 c |
| C | 0.16 | 0.14 | 0.17 |
| Genetic Profile | Inflammatory Activity | Fibrosis Score | ||||
|---|---|---|---|---|---|---|
| 0 to 1 | 2 to 3 | p | 0 to 2 | 3 to 4 | p | |
| n (%) | n (%) | n (%) | n (%) | |||
| HBV * | ||||||
| GG | 16 (48.5) | 2 (40.0) | 0.5388 g | 17 (47.2) | 2 (50.0) | 0.8647 g |
| GC | 16 (48.5) | 2 (40.0) | 17 (47.2) | 2 (50.0) | ||
| CC | 1 (3.0) | 1 (10.0) | 2 (5.6) | 0 (0.0) | ||
| G | 0.73 | 0.60 | 0.0722 c | 0.70 | 0.75 | 0.5264 c |
| C | 0.27 | 0.40 | 0.30 | 0.25 | ||
| HCV ** | 0.1619 g | 0.6926 g | ||||
| GG | 42 (79.2) | 22 (61.1) | 48 (72.7) | 24 (70.6) | ||
| GC | 11 (21.0) | 13 (36.1) | 17 (25.8) | 10 (29.4) | ||
| CC | 0 (0.0) | 1 (2.8) | 1 (1.5) | 0 (0.0) | ||
| G | 0.90 | 0.79 | 0.0507 c | 0.74 | 0.85 | 0.0798 c |
| C | 0.10 | 0.21 | 0.26 | 0.15 | ||
Publisher’s Note: MDPI stays neutral with regard to jurisdictional claims in published maps and institutional affiliations. |
© 2022 by the authors. Licensee MDPI, Basel, Switzerland. This article is an open access article distributed under the terms and conditions of the Creative Commons Attribution (CC BY) license (https://creativecommons.org/licenses/by/4.0/).
Share and Cite
Queiroz, M.A.F.; Santiago, A.M.; Moura, T.C.F.; Amoras, E.d.S.G.; Conde, S.R.S.d.S.; Cayres-Vallinoto, I.M.V.; Ishak, R.; Vallinoto, A.C.R. The IL6-174G/C Polymorphism Associated with High Levels of IL-6 Contributes to HCV Infection, but Is Not Related to HBV Infection, in the Amazon Region of Brazil. Viruses 2022, 14, 507. https://doi.org/10.3390/v14030507
Queiroz MAF, Santiago AM, Moura TCF, Amoras EdSG, Conde SRSdS, Cayres-Vallinoto IMV, Ishak R, Vallinoto ACR. The IL6-174G/C Polymorphism Associated with High Levels of IL-6 Contributes to HCV Infection, but Is Not Related to HBV Infection, in the Amazon Region of Brazil. Viruses. 2022; 14(3):507. https://doi.org/10.3390/v14030507
Chicago/Turabian StyleQueiroz, Maria Alice Freitas, Angélica Menezes Santiago, Tuane Carolina Ferreira Moura, Ednelza da Silva Graça Amoras, Simone Regina Souza da Silva Conde, Izaura Maria Vieira Cayres-Vallinoto, Ricardo Ishak, and Antonio Carlos Rosário Vallinoto. 2022. "The IL6-174G/C Polymorphism Associated with High Levels of IL-6 Contributes to HCV Infection, but Is Not Related to HBV Infection, in the Amazon Region of Brazil" Viruses 14, no. 3: 507. https://doi.org/10.3390/v14030507
APA StyleQueiroz, M. A. F., Santiago, A. M., Moura, T. C. F., Amoras, E. d. S. G., Conde, S. R. S. d. S., Cayres-Vallinoto, I. M. V., Ishak, R., & Vallinoto, A. C. R. (2022). The IL6-174G/C Polymorphism Associated with High Levels of IL-6 Contributes to HCV Infection, but Is Not Related to HBV Infection, in the Amazon Region of Brazil. Viruses, 14(3), 507. https://doi.org/10.3390/v14030507

