Quantitative Spatiotemporal Oil Body Ultrastructure Helps to Verify the Distinct Lipid Deposition Patterns in Benzoin Endosperm and Embryo Cells
Abstract
:1. Introduction
2. Materials and Methods
2.1. Plant Material
2.2. Anatomical Observation
2.3. Lipid Analysis
2.4. Acetyl Coenzyme Carboxylase (ACC) and Diglyceride Acyltransferase (DGAT) Activities Analysis
2.5. Measurement of Oil Body Diameter and Relative Area
2.6. Statistics Analysis
3. Results
3.1. Change of Seed Morphology and Cell Ultrastructure
3.2. ROA Evolution in Endosperm and Embryo Cells
3.3. Changes in Key Enzyme Activities during Seed Lipid Synthesis
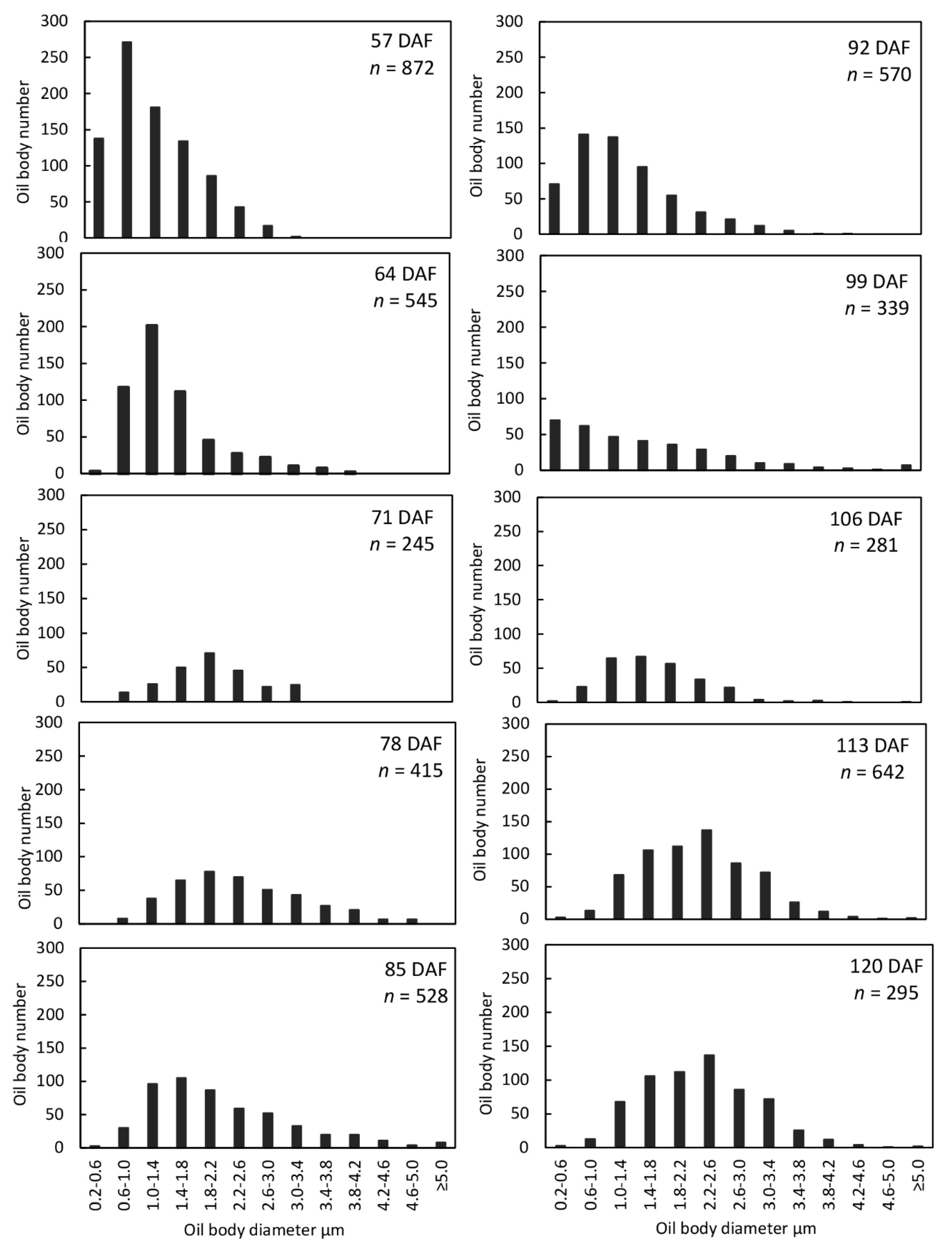
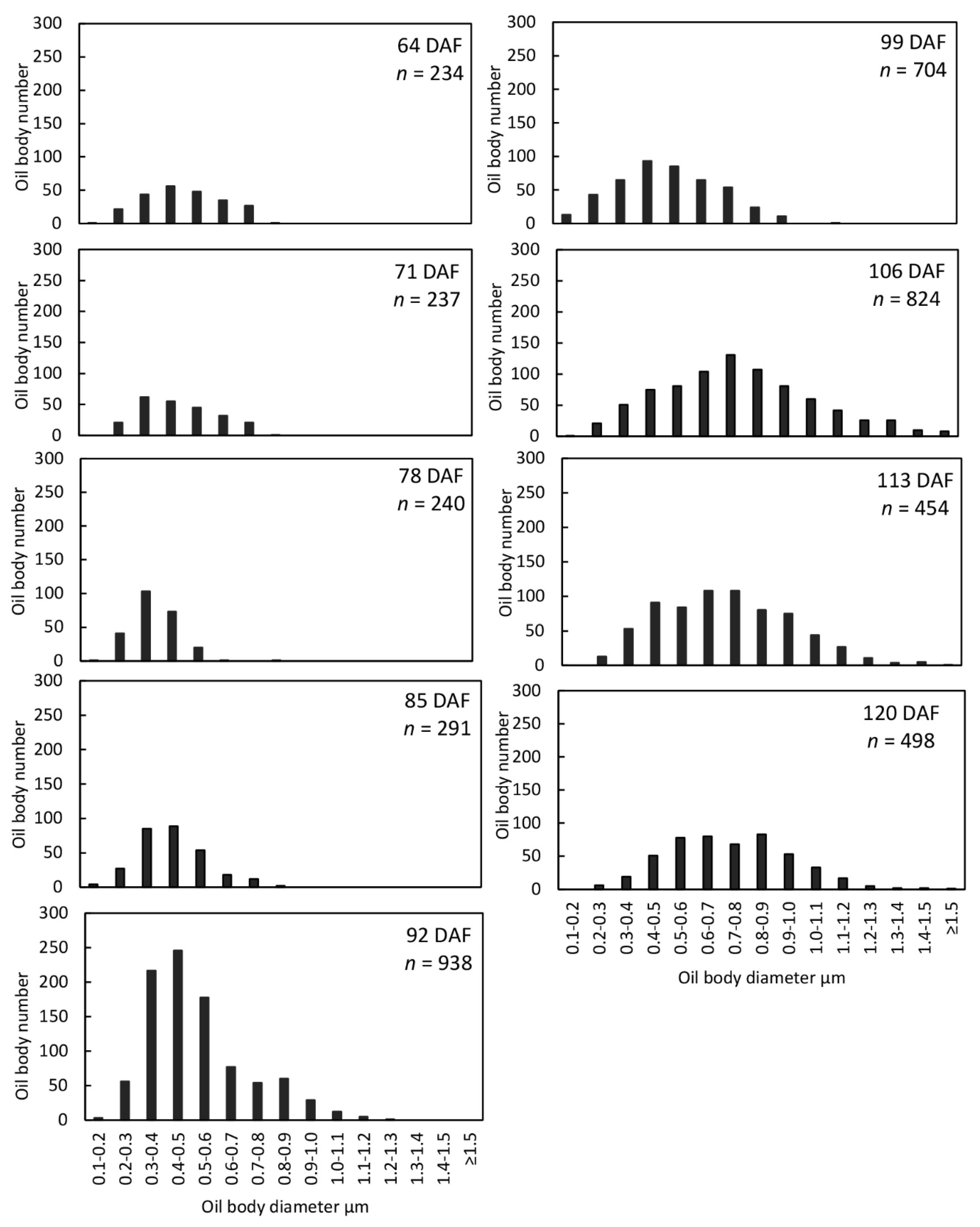
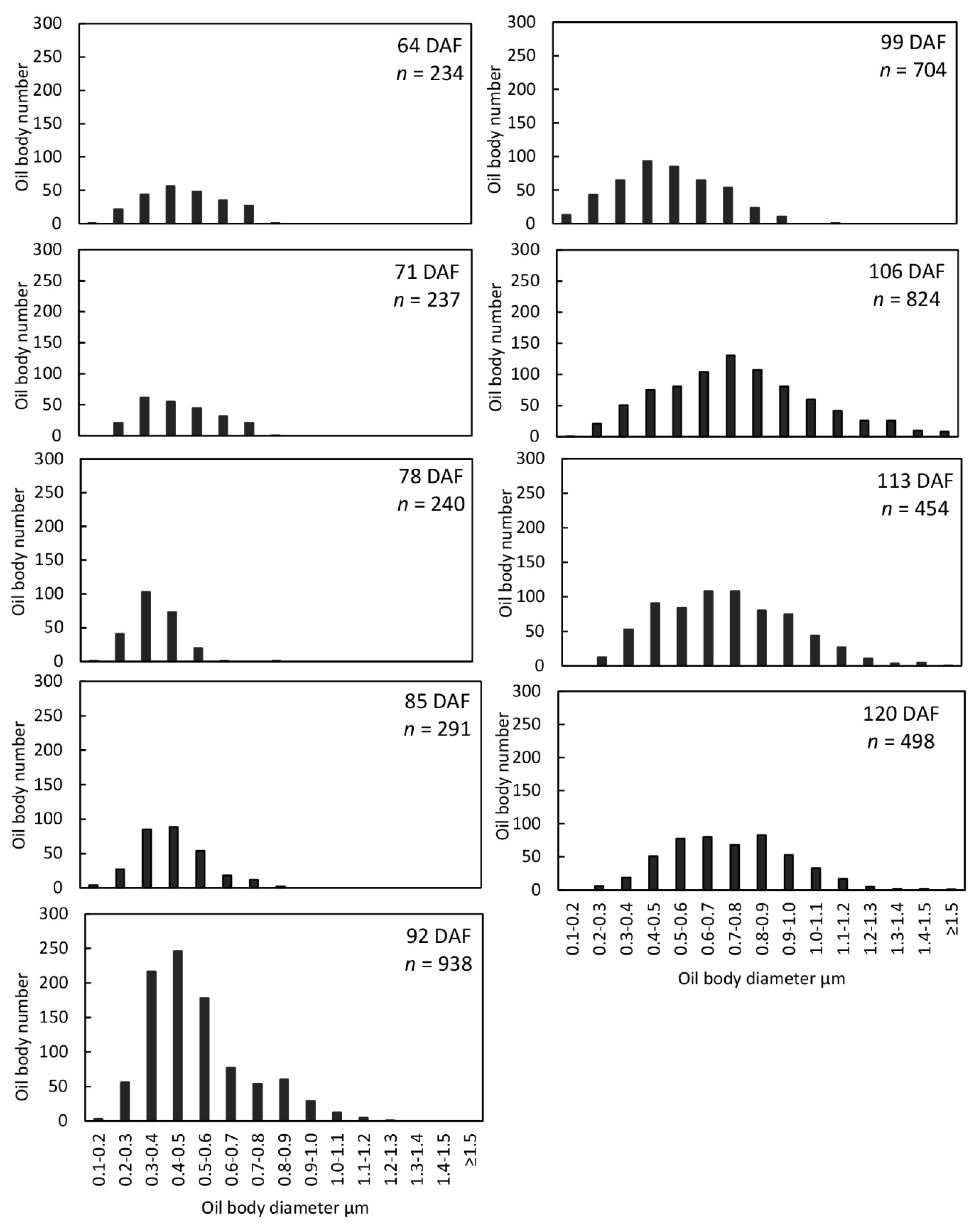
3.4. Changes of OBD in Endosperm and Embryo Cells
4. Discussion
4.1. Endosperm and Embryo Cells Exhibit Differential Oil Deposition Patterns
4.2. Benzoin Endosperm Determines Kernel Lipid Content
4.3. Relationship between Rate-Limiting Enzyme Activity and Oil Body Size Reveals Oil Biosynthesis Rhythm
5. Conclusions
6. Limitation and Outlook
Supplementary Materials
Author Contributions
Acknowledgments
Conflicts of Interest
References
- Shi, G.; Zhu, G.; Huang, H.; Li, Y.; Liu, X.; Ye, X. Refining and toxicology preliminary evaluation of Styrax tonkinesis seed oil. J. Chin. Inst. Food Sci. Technol. 2014, 14, 192–201. (In Chinese) [Google Scholar]
- Chen, W.; Li, L.; Liu, G.; Dong, Z.; Huang, Z.; Liu, H.; Chen, X.; Yu, W. Response surface methodology to optimize production of biodiesel from Styrax tonkinensis. Guangzhou Chem. Ind. 2015, 43, 46–49. (In Chinese) [Google Scholar]
- Zhang, Z.; Luo, Y.; Wang, X.; Yu, F. Fruit spray of 24-Epibrassinolide and fruit shade alter pericarp photosynthesis activity and seed lipid accumulation in Styrax tonkinensis. J. Plant Growth Regul. 2017, 1–19. [Google Scholar] [CrossRef]
- Murphy, D.J.; Vance, J. Mechanisms of lipid-body formation. Trends Biochem. Sci. 1999, 24, 109–115. [Google Scholar] [CrossRef]
- Liu, H.; Wang, C.; Chen, F.; Shen, S. Proteomic analysis of oil bodies in mature Jatropha curcas seeds with different lipid content. J. Proteom. 2015, 113, 403–414. [Google Scholar] [CrossRef] [PubMed]
- Tzen, J.T.; Cao, Y.Z.; Laurent, P.; Ratnayake, C.; Huang, A.H. Lipids, proteins, and structure of seed oil bodies from diverse species. Plant Physiol. 1993, 101, 267–276. [Google Scholar] [CrossRef] [PubMed]
- Ohlrogge, J.; Browse, J. Lipid biosynthesis. Plant Cell 1995, 7, 957–970. [Google Scholar] [CrossRef] [PubMed]
- Beisson, F.; Fert, N.; Bruley, S.; Voultoury, R.; Verger, R.; Arondel, V. Oil-bodies as substrates for lipolytic enzymes. Biochim. Biophys. Acta 2001, 1531, 47–58. [Google Scholar] [CrossRef]
- Anil, V.S.; Harmon, A.C.; Rao, K.S. Temporal association of Ca2+-dependent protein kinase with oil bodies during seed development in Santalum album L.: Its biochemical characterization and significance. Plant Cell Physiol. 2003, 44, 367–376. [Google Scholar] [CrossRef] [PubMed]
- Siloto, R.M.; Findlay, K.; Lopez-Villalobos, A.; Yeung, E.C.; Nykiforuk, C.L.; Moloney, M.M. The accumulation of oleosins determines the size of seed oilbodies in Arabidopsis. Plant Cell 2006, 18, 1961–1974. [Google Scholar] [CrossRef] [PubMed]
- Jako, C.; Kumar, A.; Wei, Y.; Zou, J.; Barton, D.L.; Giblin, E.M.; Covello, P.S.; Taylor, D.C. Seed-specific over-expression of an Arabidopsis cDNA encoding a diacylglycerol acyltransferase enhances seed oil content and seed weight. Plant Physiol. 2001, 126, 861–874. [Google Scholar] [CrossRef] [PubMed]
- Klaus, D.; Ohlrogge, J.B.; Neuhaus, H.E.; Dörmann, P. Increased fatty acid production in potato by engineering of acetyl-CoA carboxylase. Planta 2004, 219, 389–396. [Google Scholar] [CrossRef] [PubMed]
- Zhang, Z.; Wang, X.; Luo, Y.; Yu, F. Carbon competition between fatty acids and starch during benzoin seeds maturation slows oil accumulation speed. Trees–Struct. Funct. 2017, 31, 1025–1039. [Google Scholar] [CrossRef]
- Gan, F.; Zhang, Y.; Wu, Z. Research of oil accumulation in micro-endosperm super-high oil corn and Gaoyou115 corn. J. Maize Sci. 2009, 17, 18–21. (In Chinese) [Google Scholar]
- Li, X.; Wu, G.; Wu, Y.; Xiao, L.; Lu, C. The accumulation pattern of fatty acids during the development of soybean seeds. Soybean Sci. 2007, 26, 506–510. (In Chinese) [Google Scholar] [CrossRef]
- Qiu, L.; Wang, J.; Meng, Q. A preliminary study on the characteristics of protein and fat accumulation in soybean seeds. Sci. Agric. Sin. 1990, 23, 28–32. (In Chinese) [Google Scholar]
- Gan, F.; Wu, Z. Research on the changes of acetyl-CoA carboxylase activity in the micro-endosperm maize during kernel development. J. Maize Sci. 2010, 18, 82–85. (In Chinese) [Google Scholar]
- Kang, F.; Christopher, J.; Ridout, C.L.; Morgan, S.R. The activity of acetyl-CoA carboxylase is not correlated with the rate of lipid synthesis during development of oilseed rape (Brassica napus L.) embryos. Planta 1994, 193, 320–325. [Google Scholar] [CrossRef]
- Sood, A.; Chauhan, R.S. Regulation of FA and TAG biosynthesis pathway genes in endosperms and embryos of high and low oil content genotypes of Jatropha curcas L. Plant Physiol. Biochem. 2015, 94, 253–267. [Google Scholar] [CrossRef] [PubMed]
- Chen, M.; Wang, Z.; Zhu, Y.; Li, Z.; Hussain, N.; Xuan, L.; Guo, W.; Zhang, G.; Jiang, L. The effect of TRANSPARENT TESTAR2 on seed fatty acid biosynthesis and tolerance to environmental stresses during young seedling establishment in Arabidopsis. Plant Physiol. 2012, 160, 1023–1036. [Google Scholar] [CrossRef] [PubMed]
- Gao, J. Experimental Guidance for Plant Physiology; High Education Press: Beijing, China, 2006. (In Chinese) [Google Scholar]
- Sardesai, V.M.; Manning, J.A. The determination of triglycerides in plasma and tissues. Clin. Chem. 1968, 14, 156–161. [Google Scholar]
- Chaudhury, A.M.; Koltunow, A.; Payne, T.; Luo, M.; Tucker, M.R.; Dennis, E.S.; Peacock, W.J. Control of early seed development. Annu. Rev. Cell Dev. Biol. 2001, 17, 677–699. [Google Scholar] [CrossRef] [PubMed]
- Lu, X.; Chen, D.; Shu, D.; Zhang, Z.; Wang, W.; Klukas, C.; Chen, L.; Fan, Y.; Chen, M.; Zhang, C. The differential transcription network between embryo and endosperm in the early developing maize seed. Plant Physiol. 2013, 162, 440–455. [Google Scholar] [CrossRef] [PubMed]
- Errouane, K.; Doulbeau, S.; Vaissayre, V.; Leblanc, O.; Collin, M.; Kaid-Harche, M.; Dussert, S. The embryo and the endosperm contribute equally to argan seed oil yield but confer distinct lipid features to argan oil. Food Chem. 2015, 181, 270–276. [Google Scholar] [CrossRef] [PubMed]
- Liu, H.; Liu, Y.J.; Yang, M.F.; Shen, S.H. A comparative analysis of embryo and endosperm proteome from seeds of Jatropha curcas. J. Integr. Plant Biol. 2009, 51, 850–857. [Google Scholar] [CrossRef] [PubMed]
- Chen, M.S.; Wang, G.J.; Wang, R.L.; Wang, J.; Song, S.Q.; Xu, Z.F. Analysis of expressed sequence tags from biodiesel plant Jatropha curcas embryos at different developmental stages. Plant Sci. 2011, 181, 696–700. [Google Scholar] [CrossRef] [PubMed]
- Lopes, M.A.; Larkins, B.A. Endosperm origin, development, and function. Plant Cell 1993, 5, 1383–1399. [Google Scholar] [CrossRef] [PubMed]
- Liu, H.; Yang, Z.; Yang, M.; Shen, S. The differential proteome of endosperm and embryo from mature seed of Jatropha curcas. Plant Sci. 2011, 181, 660–666. [Google Scholar] [CrossRef] [PubMed]
- Brink, R.A.; Cooper, D.C. The endosperm in seed development. Bot. Rev. 1947, 13, 479–541. [Google Scholar] [CrossRef]
- Cao, H.; He, M.; Zhu, C.; Yuan, L.; Dong, L.; Bian, Y.; Zhang, W.; Yan, Y. Distinct metabolic changes between wheat embryo and endosperm during grain development revealed by 2D-DIGE-based integrative proteome analysis. Proteomics 2016, 16, 1515–1536. [Google Scholar] [CrossRef] [PubMed]
- Severino, L.S.; Mendes, B.S.; Lima, G.S. Seed coat specific weight and endosperm composition define the oil content of castor seed. Ind. Crop. Prod. 2015, 75, 14–19. [Google Scholar] [CrossRef]
- Ohlrogge, J.B.; Jaworski, J.G. Regulation of fatty acid synthesis. Annu. Rev. Plant Biol. 1997, 48, 109–136. [Google Scholar] [CrossRef] [PubMed]
- Weselake, R.J.; Byers, S.D.; Davoren, J.M.; Laroche, A.; Hodges, D.M.; Pomeroy, M.K.; Furukawa-Stoffer, T.L. Triacylglycerol biosynthesis and gene expression in microspore-derived cell suspension cultures of oilseed rape. J. Exp. Bot. 1998, 49, 33–39. [Google Scholar] [CrossRef]
- Lardizabal, K.; Effertz, R.; Levering, C.; Mai, J.; Pedroso, M.C.; Jury, T.; Aasen, E.; Gruys, K.; Bennett, K. Expression of Umbelopsis ramanniana DGAT2A in seed increases oil in soybean. Plant Physiol. 2008, 148, 89–96. [Google Scholar] [CrossRef] [PubMed]
- Chen, J.M.; Qi, W.C.; Wang, S.Y.; Guan, R.Z.; Zhang, H.S. Correlation of Kennedy pathway efficiency with seed oil content of canola (Brassica napus L.) lines. Can. J. Plant Sci. 2011, 91, 251–259. [Google Scholar] [CrossRef]










| Year | Tree Height (m) | DBH (cm) | Flowers per Tree |
|---|---|---|---|
| 2014 | 3.20 | 3.16 | 7656 |
| 2015 | 3.23 | 3.18 | 5990 |
| Variables | Kernel Enzyme Activity (U/L) | ||
|---|---|---|---|
| ACC | DGAT | ||
| Endosperm oil body number (%) with the corresponding OBD (μm) | 0.2–0.6 | −0.762 * | −0.643 |
| 0.6–1.0 | −0.763 * | −0.559 | |
| 1.0–1.4 | −0.431 | −0.372 | |
| 1.4–1.8 | 0.287 | 0.136 | |
| 0–1.8 | −0.783 * | −0.675 * | |
| 1.8–2.2 | 0.733 * | 0.47 | |
| 2.2–2.6 | 0.635 | 0.342 | |
| 2.6–3.0 | 0.762 * | 0.569 | |
| 3.0–3.4 | 0.642 | 0.438 | |
| 3.4–3.8 | 0.642 | 0.502 | |
| 3.8–4.2 | 0.769 * | 0.6 | |
| 4.2–4.6 | 0.591 | 0.426 | |
| 4.6–5.0 | 0.729 * | 0.688 * | |
| ≥5.0 | −0.295 | −0.403 | |
| ≥1.8 | 0.783 * | 0.675 * | |
| Embryo oil body number (%) with the corresponding OBD (μm) | 0.1–0.2 | −0.504 | −0.457 |
| 0.2–0.3 | 0.385 | 0.632 | |
| 0.3–0.4 | 0.631 | 0.849 ** | |
| 0.4–0.5 | 0.345 | 0.625 | |
| 0–0.5 | 0.008 | 0.540 | |
| 0.5–0.6 | −0.592 | −0.264 | |
| 0.6–0.7 | −0.724 * | −0.704 | |
| 0.7–0.8 | −0.583 | −0.759 * | |
| 0.8–0.9 | −0.245 | −0.604 | |
| 0.9–1.0 | −0.111 | −0.488 | |
| 1.0–1.1 | 0.02 | −0.376 | |
| 1.1–1.2 | −0.002 | −0.404 | |
| 1.2–1.3 | 0.013 | −0.385 | |
| 1.3–1.4 | −0.014 | −0.372 | |
| 1.4–1.5 | 0.027 | −0.376 | |
| ≥1.5 | −0.018 | −0.369 | |
| ≥0.5 | −0.008 | −0.540 | |
© 2018 by the authors. Licensee MDPI, Basel, Switzerland. This article is an open access article distributed under the terms and conditions of the Creative Commons Attribution (CC BY) license (http://creativecommons.org/licenses/by/4.0/).
Share and Cite
Zhang, Z.; Luo, Y.; Wang, X.; Yu, F. Quantitative Spatiotemporal Oil Body Ultrastructure Helps to Verify the Distinct Lipid Deposition Patterns in Benzoin Endosperm and Embryo Cells. Forests 2018, 9, 265. https://doi.org/10.3390/f9050265
Zhang Z, Luo Y, Wang X, Yu F. Quantitative Spatiotemporal Oil Body Ultrastructure Helps to Verify the Distinct Lipid Deposition Patterns in Benzoin Endosperm and Embryo Cells. Forests. 2018; 9(5):265. https://doi.org/10.3390/f9050265
Chicago/Turabian StyleZhang, Zihan, Ying Luo, Xiaojun Wang, and Fangyuan Yu. 2018. "Quantitative Spatiotemporal Oil Body Ultrastructure Helps to Verify the Distinct Lipid Deposition Patterns in Benzoin Endosperm and Embryo Cells" Forests 9, no. 5: 265. https://doi.org/10.3390/f9050265
APA StyleZhang, Z., Luo, Y., Wang, X., & Yu, F. (2018). Quantitative Spatiotemporal Oil Body Ultrastructure Helps to Verify the Distinct Lipid Deposition Patterns in Benzoin Endosperm and Embryo Cells. Forests, 9(5), 265. https://doi.org/10.3390/f9050265
