Abstract
Open lichen woodlands (LWs) are degraded stands that lack the ability to regenerate naturally due to a succession of natural and/or anthropogenic disturbances. As they represent both interesting forest restoration and carbon sequestration opportunities, we tested disc scarification and planting of two sizes of containerized black spruce (Picea mariana Mill. (BSP)) seedlings for their afforestation. We compared treatment of unproductive LWs to reforestation of harvested, closed-crown black spruce-feathermoss (BSFM) stands. After one year, seedling survival and nutritional status were equivalent among stand types but despite higher root elongation index (REI), planted seedlings in LWs had lower relative growth rate, smaller total biomass and stem diameter than those in BSFM stands. Soil fertility variables, soil temperature, nor seedling water potential, helped at explaining this early growth response. Disc scarification significantly improved seedling first-year survival, biomass and foliar nutrient concentrations of P, Ca, and Mg. Smaller planting stock showed higher REI, higher shoot water potential, and higher foliar nutrient concentration of all but one of the measured nutrients (N, P, K and Mg). Hence, preliminary results suggest that planting of smaller containerized black spruce stock, combined with disc scarification, shows potential for afforestation of unproductive LWs. The impact of the lichen mat and other potential growth limiting factors on afforestation of these sites requires further investigation.
1. Introduction
The spruce-moss bioclimatic domain accounts for most of the extracted coniferous wood volume (~20 millions m3 per year) in Québec [1]. In this important (412,400 km2) ecosystem of Québec’s closed-crown boreal forest, consecutive disturbances by spruce budworm outbreaks, wildfires and harvesting can cause black spruce natural regeneration failure, leading to stable state unproductive open stands called lichen woodlands (LW) [2,3,4]. LWs are one type of open woodland (OW) characterised by their important (>40%) lichen ground cover and since 1950, there has been a notable expansion of LWs, between the 70° and 72° W meridians, consequently decreasing closed-crown pure black spruce-feathermoss (BSFM) stand cover [5], which are endemic to northeastern America [4]. This particular stand dynamic, where LWs are alternative stable-states of former BSFM stands, suggests an inherent support capacity of LWs to higher tree density after afforestation, since these stands presented a higher productivity prior to the opening process [4,6,7,8]. Management of these open stands may generate new productive forest areas and increased wood products, but it can also create increased carbon sinks and greenhouse gas offset opportunities [6,7,9].
Few studies have been carried out on the afforestation potential of LWs [7,9], but some survival and growth limitations in a similar stand type known as Kalmia-Ledum heaths—which share similarities with LWs in terms of low tree density and abundant ericaceous shrubs—have been identified [10,11,12]. Allelopathic interference, water stress and nutrient pool depletion by competitive species and/or reduced soil fertility are all possible limiting factors [7,11,13]. They can be partly counterbalanced with sufficiently aggressive site preparation, in particular soil scarification and herbicide application, that can decrease the impact of competitive vegetation on planted seedlings [7,13]. Potential nutrient limitations in LWs may be inferred through these studies on Kalmia-dominated heaths [12,14,15,16], although correspondence in site fertility between LW and Kalmia heaths has not been demonstrated.
Allelopathic influence of ground lichens on conifer seedling growth is not well understood [17]. Fisher [18] showed that the deposition of Cladina stellaris mulch over the growing medium of black spruce (Picea mariana Mill. (BSP)) seedlings reduced their growth and nitrogen and phosphorous foliar concentrations. On the other hand, Houle and Filion [19] found that although the lichen mat has a negative impact on growth and survival during the establishment phase of young white spruce seedlings, it has a positive effect on growth once the seedlings are established.
In addition, LWs are reputed to be drought-prone habitats where water stress can be a factor contributing to planted conifer growth check [7,20,21]. Water relations of planted conifers in LWs have been investigated in Hébert et al. [7], who showed that with disk scarification the water status of black spruce and jack pine (Pinus banksiana Lamb.) seedlings planted in site-prepared LWs was not different from that of seedlings planted in adjoining managed BSFM stands, known as less water limiting environments.
In harvested boreal coniferous stands, competition for light is weak and light availability at the seedling level is sufficient to achieve maximum photosynthesis [22,23]. The use of large seedlings is then not necessary and the use of smaller containerized seedlings may be advantageous in “drought prone” habitats since they are less sensitive to water stress [24]. Furthermore, smaller containerized seedlings, compared to traditional containerized stocks could be economically-sound for the afforestation of these remote boreal LWs, especially in the context of growing carbon markets where low carbon-intensive and cost-effective offset options will be the preferred ones for rapid implementation [9,25,26].
This paper presents the first year results—the short but yet critical establishment window for planted seedlings in terms of survival [7,20]—of an experimental plantation network established in LWs and BSFM stands in 2005. The experiment was designed to test the afforestation potential of LWs with different silvicultural treatments. The objectives were to evaluate if harvesting and site preparation in LWs could lead to seedling survival, growth and physiological functions comparable to those observed in BSFM stands subjected to similar disturbances. Another objective was to evaluate the performance of small containerized seedlings compared to the conventional containerized seedling stock. It is hypothesised that (i) contrary to Hébert et al. [7] where LWs and BSFM stands were not equally disturbed, similar level in disturbance intensity on LWs and BSFM stands will generate comparable seedling survival, growth and physiological functions; (ii) scarification will increase seedling survival, growth and physiological functions; and (iii) size of planting stocks will not affect seedlings’ survival, growth and physiological functions.
2. Methods
2.1. Site Description
The experiment was carried out on two different forest management units at the junction of the BSFM and the balsam fir-paper birch bioclimatic domains of Québec’s boreal forest [27], north of Lac Saint-Jean, Qc, Canada (Figure 1). The climate of this area is cool continental with a mean annual temperature varying from −1.8 °C–1.4 °C with total precipitation varying from 919.8–970.9 mm, with 237.8–309.3 mm as snow. The number of growing degree-days >5 °C ranges from 970.9–1235.4. Frost free days range from 133–151 [28].
Each of the six study blocks were selected on the basis of two criteria: (i) The proximity of a pure BSFM stand of high density to a LW (stands were adjoining in four blocks, and <1 km apart for the two other blocks) presenting the same geomorphologic characteristics (aspect, slope, soil deposit, drainage); (ii) Both stand types had to be over 70 years old with the same age (±10 years), to ensure they originated from the same major disturbance.
The BSFM stands were all dominated by black spruce, representing at least 75% of the basal area of each stand, with jack pine (Pinus banksiana Lamb.) and trembling aspen (Populus tremuloïdes Michx.) as companion species. The understory included black spruce advance regeneration, ericaceous shrubs and a dense mat of mosses.
Figure 1.
Location of the six study blocks (red star) in Québec, Canada. Small black dots represent all open woodlands, including lichen woodlands, under (red line) the northern limit of timber allocation (Québec Ministry of Natural Ressources 3rd decennial forest inventory).
Figure 1.
Location of the six study blocks (red star) in Québec, Canada. Small black dots represent all open woodlands, including lichen woodlands, under (red line) the northern limit of timber allocation (Québec Ministry of Natural Ressources 3rd decennial forest inventory).

The LWs stands had a tree crown cover <25%, with black spruce representing at least 75% basal area of each stand, with P. banksiana and P. tremuloïdes as companions species. The lichen ground cover was more than 40%, dominated by Cladonia spp. with shrub layers composed of the same species found in the BSFM stands.
Three out of the four blocks of the Péribonka site were located on deep (>100 cm), coarse textured glacial till deposit, overtopped by a 6–32 cm mor humus. The remaining block was located on a deep glaciofluvial outwash deposit overtopped by 6–14 cm mor humus. In the Mistassibi river site, one block was on a moderately deep (<100 cm), medium to coarse textured glacial deposit with an 18–32 cm mor humus, while the LW in the other block was located on a moderately deep (<100 cm), coarse textured glaciofluvial deposit, and the BSFM stand was on a thin (<50 cm), medium to coarse textured deposit. Both stands were overtopped by a 10–18 cm mor humus.
2.2. Experimental Design and Biological Material
The experimental setup is a six block factorial split-split plot design. Each block consists of 2 ha of a harvested BSFM stand adjoining 2 ha of harvested LW. Each stand type was split into two subplots which were randomly submitted to two treatments, with (S1) or without (S0) site preparation (scarification). Each subplot was then split into sub-subplots to which were randomly assigned one of two sizes of containerized black spruce seedling stock. As a result, there were eight experimental units (eu) per block, for a total of 48.
Logging operations took place in summer 2005 following careful logging around advance growth (CLAAG) stem-only method. Scarification of the S1 plots followed with either a mechanical TTS disc trencher (Péribonka site) or a hydraulic TTS disc trencher (Mistassibi site), superimposed on one half of the previously logged area.
Larger 67-50 seedling (67 cavities of 50 cm3, height = 204 mm, root collar diameter = 2.20 mm) and recently introduced smaller 126-25 (126 cavities of 25 cm3, height = 122 mm, root collar diameter = 1.39 mm) containerized black spruce seedlings produced from local seed sources grown in a mix of peat moss and vermiculite (3:1 v/v) were used. Thirty seedlings of each stock size were randomly selected in containers before plantation, in order to establish their morphological attributes (height, diameter and biomass) and nutritional status. Plantation took place during the last week of August 2005 (Péribonka site) and during the first week of September 2005 (Mistassibi river site). A total of 49,000 seedlings were planted with a two meters spacing, both in the skid trails (S0) and at the hinge of the scarification furrows (S1). On average, scarification furrows were 16.2 cm deep, 57 cm wide, corresponding to 20.2% of the total area in scarified plots of LWs, and 15.2 cm deep, 67 cm wide, representing 21.4% of the total area in scarified plots of BSFM stands.
2.3. Physiological Measurements
During summer 2006, shoot gas exchange was measured on two randomly chosen seedlings per eu (16 seedlings/block) at two sampling dates, (i) 1–7 June (4 blocks; using one-year old foliage developed in the nursery) and (ii) 8–23 August (5 blocks; using current year foliage). It was not possible to sample from all blocks due to travel time between blocks and weather. Measurements were made at full sunlight (between 10:00 and 14:00 h) to ensure photosynthetically active photon flux density above 1200 μmol photons m−2·s−1. A Li-6400 portable photosynthesis system (LI-COR, Inc., Lincoln, NE, USA) with a conifer chamber maintained at 25 °C, 400 ppm of CO2 and air flow of 500 μmol·s−1 was used.
In mid-August 2006, pre-dawn (between 02:00 and 04:00 h) xylem water potential (Ψx), was measured on two randomly chosen seedlings per eu following a minimum 24 h rain free period. Each excised apical shoot was rapidly put in a plastic bag and placed in a cooler with ice until measurement. All shoots in a block were collected within 40 min and measured within 2 h following sampling. Ψx was determined using a pressure chamber (PMS Instruments, Corvalis, OR, USA, Model 610) [29].
2.4. Survival and Morphological Measurements
Survival of 100 pre-identified seedlings/eu, was recorded in the fall of 2005 (plantation year) and the fall of 2006. For the Husky 2 block, number of seedlings was reduced to 50 in order to avoid side effects as these stands were long and narrow. Seedlings were considered alive when they showed at least 10% of their foliage turgescent and green. Morphological measurements were performed in the laboratory on three randomly selected seedlings per eu. Samples were carefully dug out during the last week of October 2005 and 2006 to extract roots down to a minimal diameter of 1 mm. After washing, the two longest roots of each seedling (Rl; nearest mm), total seedling height (Ht: nearest mm), stem diameter (1 cm above the first root) (Ds; nearest 0.1 mm) and dry mass of the stem, root and foliage (65 °C for 48 h) were recorded. To determine root elongation index (REI) (2006 seedlings only), sum of the lengths (mm) of the two longest roots of each seedling was divided by the root total biomass (g). Composite foliage samples of the current year leader of three seedlings from each eu were collected and analysed for their nutrient concentration (N kjeldahl, P, K, Ca, Mg). Analyses were made with an inductively coupled plasma spectrometer (model ICAP 61E and ICAP 9000) following a one hour digestion in concentrated sulphuric acid with selenium and hydrogen peroxide at 370 °C.
Average seedling relative growth rates (RGR) were calculated using the following equation;
where W2 is total biomass of seedling at t2 (fall 2006) and W1 is total seedling biomass at t1 (fall 2005). This equation takes into account initial seedling size and yields an unbiased estimate of RGR under all conditions [30]. The same calculations were applied on Ht and Ds, but these results are not presented as they were similar to those with biomass.
where W2 is total biomass of seedling at t2 (fall 2006) and W1 is total seedling biomass at t1 (fall 2005). This equation takes into account initial seedling size and yields an unbiased estimate of RGR under all conditions [30]. The same calculations were applied on Ht and Ds, but these results are not presented as they were similar to those with biomass.2.5. Abiotic Variable Measurements
On one block per forest management unit (2), two data loggers (CR10X, CAMPBELL Scientific, Canada Corp, Edmonton, AB, Canada), one per stand (four data loggers total), were installed to monitor mineral soil temperatures at 10 cm deep in the skid trails (2 probes/stand) and in the scarification furrows (2 probes/stand). Measurement were taken each 5 min using temperature probe (107B, CAMPBELL Scientific, Canada Corp) and averaged by hours.
Nutrient concentrations in the mineral soil (“B” horizon, seedlings’ root zone) have also been investigated. Samples were collected with an AUGER soil sampler (Soil moisture equipment, Santa Barbara, CA, USA) on 2 perpendicular transects of ten sampling spots in each eu (10 m spacing between the sampling spots). Soil samples have been pooled at the eu level and analysed for nutrient concentrations (N, K, Ca, Mg, Mn, Al, Fe, Na, S). Analyses were made with an inductively coupled plasma spectrometer (model ICAP 61E and ICAP 9000) following a one hour digestion in concentrated sulphuric acid with selenium and hydrogen peroxide at 370 °C.
2.6. Statistical Analysis
Analyses of variance (ANOVA) were performed using a six block complete split-split-plot design for each seedling morphological variable, with stand type as the main plot, site preparation as the subplot and planting stock size at the sub-subplot level. For physiological variables, the sampling dates were considered as another split level (two dates).
For seedling foliage nutrient content, plot levels were the same as for physiological variables but with three dates instead of two. In case of interaction with date, polynomial contrasts were performed to determine if it was linear or quadratic and the most significant was taken into account [31]. Additionally, another contrast was performed on the last sampling date to determine if there was a difference between stand types, site preparation treatment and planting stock in seedling foliar nutrient concentration. A Bonferroni correction was applied in order to diminish type I error rate, so p ≤ 0.025 was deemed significant [32]. For soil nutrient concentrations, ANOVAs on a six block complete split-plot design were performed with the stand type at the main plot and the treatment (S0 or S1) at the sub-plot level, significance was set to p < 0.05.
ANOVAs were performed using the REML procedure of JMPin 7.0 software (SAS Institute, Cary, NC, USA) and polynomial contrasts with the GLM procedure of SAS 9.1 software (SAS Institute, Cary, NC, USA). For each variable, homogeneity of variance was verified by visual analysis of the residuals [33] and data transformations performed when necessary [32].
3. Results
3.1. Seedling Survival and Growth
Seedling survival was high (>85%) and similar between stand types, but scarified plots (S1) showed a 6% (92% vs. 86%) higher survival rate compared to seedlings in unscarified conditions (S0). Planting stock size also significantly affected seedling survival rate with 93% vs. 87% for the larger and smaller stock, respectively (Table 1).
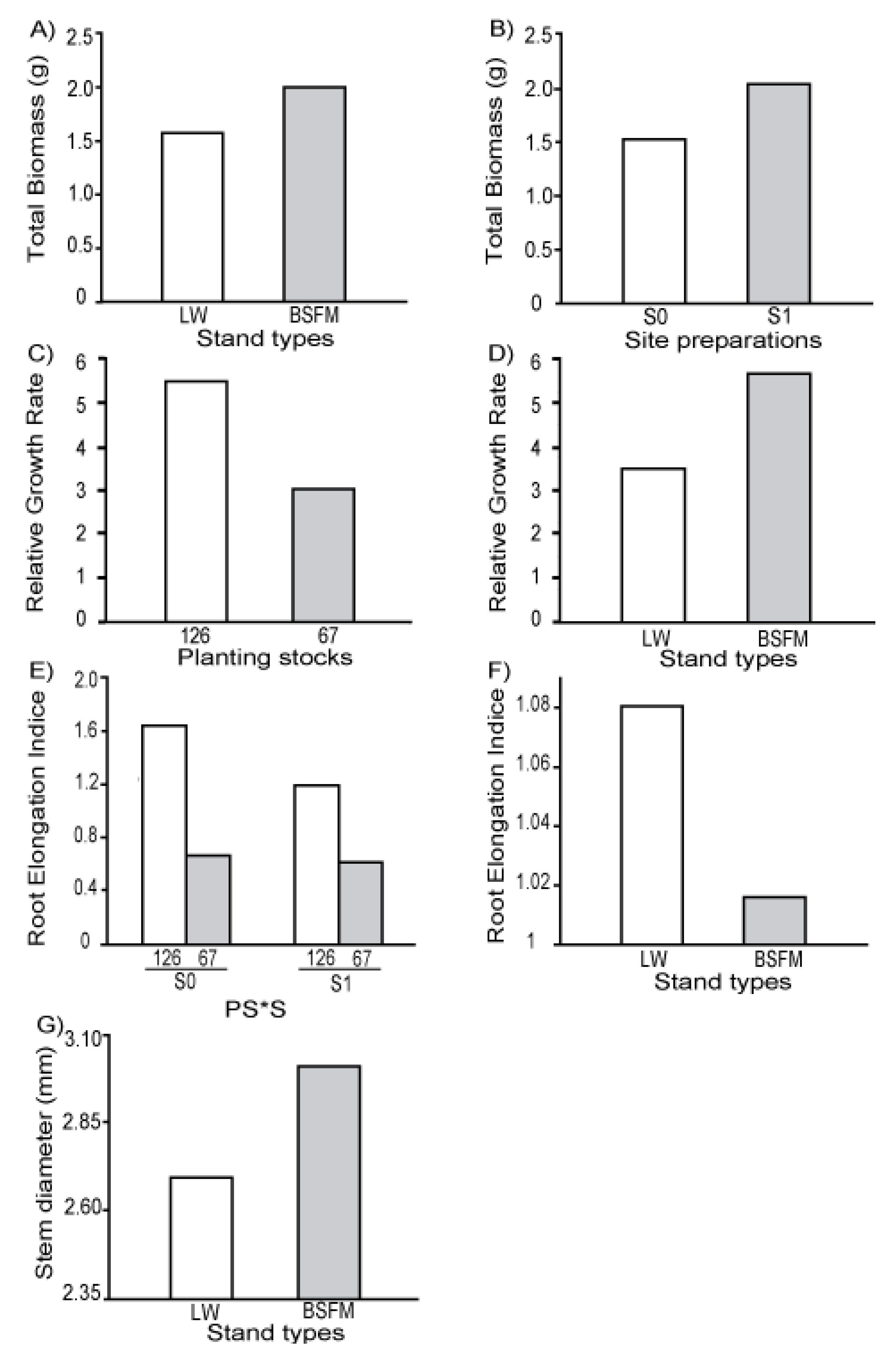
Seedlings total biomass (BT) and stem diameter (DS) had respectively 27 and 12% higher values in BSFM stands compared to LWs (Table 1, Figure 2A,G) and their RGR was also higher in BSFM stands compared to LWs (Figure 2D).
Scarification significantly increased S1 seedling biomass (33%) compared to seedlings in S0 plots (Table 1, Figure 2B). As expected for containerized seedlings with initial difference in size, BT, HT and DS were significantly (Table 1) higher in the larger stock size compared to the smaller one, but relative growth rate (RGR) of the smaller stock size was significantly higher, nearly twice that of the larger stock size (Table 1, Figure 2C).
Seedlings in LWs had higher REI values than those in BSFM stands (Table 1, Figure 2F). In fact, site preparation and planting stock size interacted to affect seedling REI resulting in smaller black spruce stock being negatively affected by scarification whereas larger seedling stock were not (Table 1, Figure 2E).
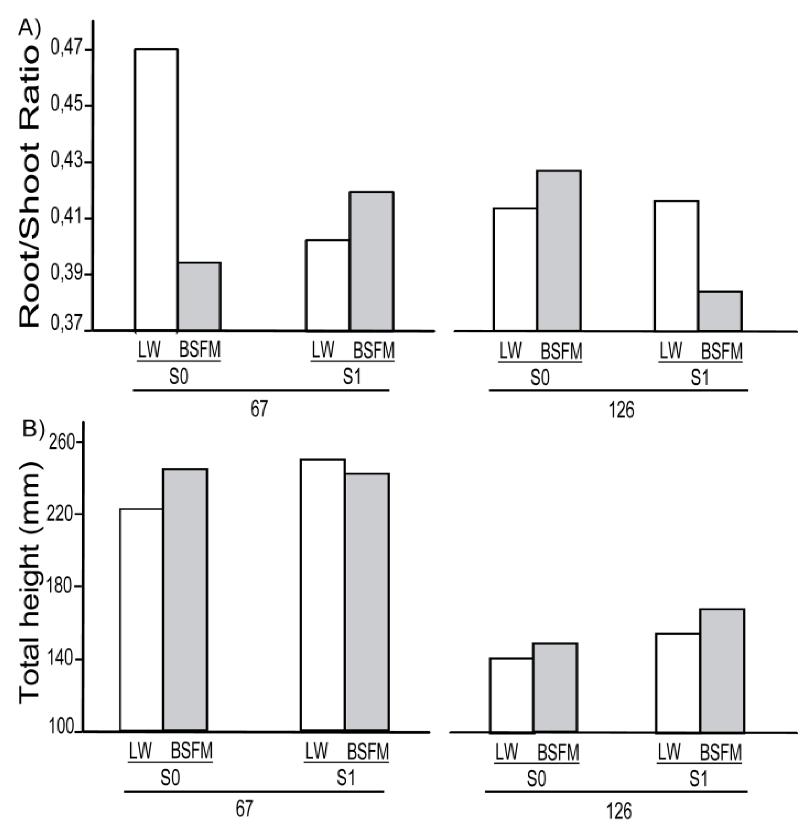
A Stand types * Site preparation * Planting stock interaction significantly influenced the seedling root/shoot dry mass ratio (R/S), the R/S of smaller seedlings being lower in scarified BSFM stands, while that of larger seedlings was significantly lower in scarified LWs (Table 1, Figure 3A). A Stand types * Site preparation * Planting stock interaction also significantly influenced seedling total height, revealing that seedlings in the BSFM were always taller than in the LWs, except for the larger seedlings in the LWs scarified plots where LWs seedling were taller than in BSFM (Table 1, Figure 3B).
Table 1.
Summary of analysis of variance (ANOVA) results for total dry biomass (BT), total height (HT), stem diameter (DS) and biomass relative growth rate (RGR), survival, root to shoot ratio (R/SRatio) and root elongation index (REI) of black spruce seedlings, one year after plantation in lichen woodlands and black spruce feather-moss stands, in scarified or unscarified plots and with smaller (126-25) or larger (67-50) containerized stock size.
| Sources of variation | BT | HT | DS | RGR | Survival | R/SRatio | REI * | ||||||||
|---|---|---|---|---|---|---|---|---|---|---|---|---|---|---|---|
| ndf | ddf | p | ddf | p | ddf | p | ddf | p | ddf | p | ddf | p | ddf | p | |
| Block | 5 | 5 | 0.2577 | 5.1 | 0.2252 | 5.09 | 0.1816 | 5 | 0.1337 | 3.996 | 0.8460 | 4.999 | 0.7512 | 5.08 | 0.0451 |
| Stand Types (ST) | 1 | 5 | 0.0116 | 5.108 | 0.0683 | 5.096 | 0.0097 | 5 | 0.0018 | 4.056 | 0.0811 | 5.045 | 0.2240 | 5.16 | 0.0447 |
| Site preparation (S) | 1 | 10 | 0.0363 | 10.05 | 0.0538 | 10.05 | 0.1516 | 10 | 0.0543 | 10.19 | 0.0012 | 9.688 | 0.6031 | 10.05 | 0.0029 |
| ST * S | 1 | 10 | 0.8284 | 10.05 | 0.4126 | 10.05 | 0.6826 | 10 | 0.6524 | 10.19 | 0.2238 | 9.696 | 0.5308 | 10.05 | 0.2298 |
| Planting Stock Sizes (PS) | 1 | 20 | <0.0001 | 19.99 | <0.0001 | 20.15 | <0.0001 | 20 | 0.0011 | 19.6 | 0.0006 | 20.9 | 0.0246 | 20.39 | <0.0001 |
| ST * PS | 1 | 20 | 0.5809 | 19.99 | 0.7759 | 20.15 | 0.6494 | 20 | 0.4026 | 19.6 | 0.8607 | 20.92 | 0.4756 | 20.39 | 0.5422 |
| S * PS | 1 | 20 | 0.4358 | 19.99 | 0.6217 | 20.15 | 0.9345 | 20 | 0.2368 | 19.6 | 0.9917 | 20.9 | 0.2778 | 20.39 | 0.0221 |
| ST * S * PS | 1 | 20 | 0.8871 | 19.99 | 0.0462 | 20.15 | 0.7170 | 20 | 0.5570 | 19.6 | 0.7443 | 20.92 | 0.0190 | 20.39 | 0.6858 |
Bold indicates significance (p ≤ 0.05); ndf = numerator degrees of freedom; ddf = denominator degrees of freedom; * = ln transformed data.
Figure 2.
Stand types, site preparation (S) and planting stock (PS) size effects on the (A,B) total dry mass, (C,D) relative growth rate, (E,F) Root Elongation Index and (G) stem diameter of containerized black spruce seedlings planted in lichen woodlands and black spruce feather-moss stands, one year after plantation (n = 72 (A–D,F,G), n = 18 (E)).
Figure 2.
Stand types, site preparation (S) and planting stock (PS) size effects on the (A,B) total dry mass, (C,D) relative growth rate, (E,F) Root Elongation Index and (G) stem diameter of containerized black spruce seedlings planted in lichen woodlands and black spruce feather-moss stands, one year after plantation (n = 72 (A–D,F,G), n = 18 (E)).

Figure 3.
Stand types * Site preparation * Planting stock interaction effects on (A) root/shoot dry mass ratio (R/S) and (B) total height of containerized black spruce seedlings planted in lichen woodlands and black spruce feather-moss stands, one year after plantation (n = 18 for each bar).
Figure 3.
Stand types * Site preparation * Planting stock interaction effects on (A) root/shoot dry mass ratio (R/S) and (B) total height of containerized black spruce seedlings planted in lichen woodlands and black spruce feather-moss stands, one year after plantation (n = 18 for each bar).

3.2. Physiological Response
Seedling nutrient foliar concentrations were similar in both stand types, with or without interactions with other factors (Table 2). For its part, scarification negatively affected some nutrient foliar concentration (P, Ca, and Mg) (Table 2, Figure 4C,E,G). Overall, smaller seedlings had significantly higher concentrations of foliar nutrients (except for Ca, Table 2, Figure 4F) throughout the experiment (Table 2, Figure 4A,B,D,F,H) but with some variation among sampling dates as expressed by the quadratic interaction with seedlings type.
Table 2.
Summary of ANOVA results for the nutrient concentration (N, P, K, Ca, Mg) in current year foliage of black spruce seedlings one year after plantation in lichen woodlands and black spruce feather-moss stands, in scarified or unscarified plots and with smaller (126-25) or larger (67-50) containerized stock size.
| Sources of variation | Foliar N | Foliar P | Foliar K | Foliar Ca | Foliar Mg | ||||||
|---|---|---|---|---|---|---|---|---|---|---|---|
| ndf | ddf | p | ddf | p | ddf | p | ddf | p | ddf | p | |
| Block (B) | 5 | 8.867 | 0.8042 | 9.056 | 0.3573 | 9.03 | 0.6334 | 8.54 | 0.4567 | 9.12 | 0.4805 |
| Date (D) | 2 | 8.886 | 0.4977 | 9.059 | 0.3156 | 9.03 | 0.1790 | 8.593 | <0.0001 | 9.13 | <0.0001 |
| Stand types (ST) | 1 | 13.87 | 0.1201 | 14.16 | 0.6597 | 13.77 | 0.8819 | 14.03 | 0.0652 | 13.56 | 0.5662 |
| D * ST | 2 | 13.87 | 0.2141 | 14.16 | 0.9292 | 13.77 | 0.5256 | 14.02 | 0.2887 | 13.56 | 0.8379 |
| Site preparation (S) | 1 | 27.84 | 0.2584 | 27.45 | 0.0095 | 27.28 | 0.9884 | 26.84 | <0.0001 | 27.35 | 0.0415 |
| D * S | 2 | 27.85 | 0.7031 | 27.45 | 0.0684 | 27.28 | 0.2891 | 26.84 | 0.0034 | 27.35 | 0.1759 |
| Contrasts | |||||||||||
| D (Linear) * S | - | - | - | - | - | - | 26.80 | 0.0002 | - | - | |
| D (Quad) * S | - | - | - | - | - | - | 26.88 | 0.0001 | - | - | |
| S0 vs. S1 (D 427) | - | - | - | - | - | - | 26.78 | 0.0024 | - | - | |
| ST * S | 1 | 27.84 | 0.5920 | 27.45 | 0.6095 | 27.28 | 0.6999 | 26.84 | 0.3278 | 27.35 | 0.9673 |
| D * ST * S | 2 | 27.85 | 0.9234 | 27.45 | 0.6169 | 27.28 | 0.6759 | 26.84 | 0.7372 | 27.35 | 0.6749 |
| Planting Stock size (PS) | 1 | 54.90 | 0.0002 | 55.03 | 0.0034 | 54.99 | <0.0001 | 54.33 | 0.3094 | 55.08 | <0.0001 |
| D * PS | 2 | 54.90 | 0.2282 | 55.03 | 0.0338 | 55.00 | <0.0001 | 54.33 | <0.0001 | 55.09 | 0.0088 |
| Contrasts | |||||||||||
| D (Linear) * PS | 1 | - | - | 54.73 | 0.0011 | 54.69 | <0.0001 | 54.21 | 0.8724 | 54.81 | 0.00014 |
| D (Quad) * PS | 1 | - | - | 55.35 | 0.0373 | 55.33 | 0.1309 | 54.45 | 0.1916 | 55.38 | 0.00013 |
| 126 vs. 67 (D 427) | 1 | - | - | 54.63 | 0.0242 | 54.58 | <0.0001 | 54.17 | 0.4629 | 54.17 | 0.4629 |
| ST * PS | 1 | 54.90 | 0.9805 | 55.03 | 0.6403 | 54.99 | 0.7788 | 54.33 | 0.9998 | 55.08 | 0.9890 |
| S * PS | 1 | 54.90 | 0.3652 | 55.03 | 0.8205 | 54.99 | 0.5825 | 54.33 | 0.6941 | 55.08 | 0.6729 |
| D * ST * PS | 2 | 54.90 | 0.8622 | 55.03 | 0.7129 | 55.00 | 0.7515 | 54.33 | 0.9413 | 55.09 | 0.6763 |
| D * S * PS | 2 | 54.90 | 0.6127 | 55.03 | 0.8093 | 55.00 | 0.6828 | 54.33 | 0.9556 | 55.09 | 0.9260 |
| ST * S * PS | 1 | 54.90 | 0.1929 | 55.03 | 0.6372 | 54.99 | 0.9855 | 54.33 | 0.8922 | 55.08 | 0.7861 |
| D * ST * S * PS | 2 | 54.90 | 0.5862 | 55.03 | 0.9430 | 55.00 | 0.7234 | 54.33 | 0.9672 | 55.09 | 0.9696 |
Bold indicates significance (p ≤ 0.05) or (p ≤ 0.025) for the contrast; ndf = numerator degrees of freedom; ddf = denominator degrees of freedom.
Figure 4.
Stand type (ST), date (D), site preparation (S) and planting stock size (PS) effects on (A) foliar N, (B) foliar K (linear D * PS interaction), (C and D (linear D * PS interaction)) Foliar P, (E (quadratic D * S interaction)) and (F (quadratic D * PS interaction)) foliar Ca and (G and H (quadratic D * PS interaction)) foliar Mg in containerized black spruce seedlings planted in lichen woodlands and black spruce feather- moss stands, one year after plantation (n = 72 (A,C,G), n = 36 (B,D), n = 24 (E,F,H)). In Figure 4B,D–F,H, the x axis represent days since plantation. The three dates shown in Figure 4B,D,H are day 1 (plantation time), day 67 and day 427.
Figure 4.
Stand type (ST), date (D), site preparation (S) and planting stock size (PS) effects on (A) foliar N, (B) foliar K (linear D * PS interaction), (C and D (linear D * PS interaction)) Foliar P, (E (quadratic D * S interaction)) and (F (quadratic D * PS interaction)) foliar Ca and (G and H (quadratic D * PS interaction)) foliar Mg in containerized black spruce seedlings planted in lichen woodlands and black spruce feather- moss stands, one year after plantation (n = 72 (A,C,G), n = 36 (B,D), n = 24 (E,F,H)). In Figure 4B,D–F,H, the x axis represent days since plantation. The three dates shown in Figure 4B,D,H are day 1 (plantation time), day 67 and day 427.

Stand types, and seedling sizes did not affect any seedling gas exchange variable (Table 3).
Table 3.
Summary of ANOVA (degrees of freedom and p-values) for gas exchange (light-saturated CO2 assimilation rate or A, stomatal conductance for water vapour or gs, and water-use efficiency or WUE) measured during the first growing season after plantation, of black spruce seedlings planted in lichen woodlands and black spruce feather-moss stands, in scarified or unscarified plots and with smaller (126-25) or larger (67-50) containerized stock size.
| Sources of variation | A | gs * | WUE | ||||
|---|---|---|---|---|---|---|---|
| ndf | ddf | p | ddf | p | ddf | p | |
| Block | 3 | 3.079 | 0.2727 | 2.991 | 0.7195 | 2.893 | 0.1593 |
| Date (D) | 1 | 3.08 | 0.0516 | 2.991 | 0.4087 | 2.893 | 0.0455 |
| Stand type (ST) | 1 | 6.172 | 0.6319 | 5.342 | 0.4799 | 3.986 | 0.8498 |
| D * ST | 1 | 6.172 | 0.1506 | 5.342 | 0.5902 | 3.986 | 0.2679 |
| Site preparation (S) | 1 | 11.73 | 0.3687 | 8.797 | 0.8045 | 9.998 | 0.8657 |
| D * S | 1 | 11.73 | 0.9808 | 8.797 | 0.7468 | 9.998 | 0.6900 |
| ST * S | 1 | 11.73 | 0.7314 | 8.797 | 0.5180 | 9.998 | 0.9575 |
| D * ST * S | 1 | 11.73 | 0.4305 | 8.797 | 0.2651 | 9.998 | 0.5686 |
| Planting stock sizes (PS) | 1 | 24.4 | 0.0669 | 18.58 | 0.1875 | 23.48 | 0.1136 |
| D * PS | 1 | 24.4 | 0.1872 | 18.58 | 0.2814 | 23.48 | 0.1211 |
| ST * PS | 1 | 24.37 | 0.4089 | 18.58 | 0.9452 | 23.46 | 0.4749 |
| S * PS | 1 | 24.39 | 0.7785 | 18.59 | 0.0788 | 23.48 | 0.6637 |
| ST * S * PS | 1 | 24.37 | 0.4348 | 18.58 | 0.2722 | 23.46 | 0.3353 |
| D * ST * PS | 1 | 24.39 | 0.5721 | 18.59 | 0.7157 | 23.48 | 0.5757 |
| D * S * PS | 1 | 24.39 | 0.4501 | 18.59 | 0.5247 | 23.48 | 0.0792 |
| D * ST * S * PS | 1 | 24.39 | 0.4122 | 18.59 | 0.6049 | 23.48 | 0.1543 |
Bold indicates significance (p ≤ 0.05); ndf = numerator degrees of freedom; ddf = denominator degrees of freedom; * Data transformed; log (Stom cond * 10,000).
Seedling water potential was significantly different between planting stock sizes, with higher values for the smaller (126-25) than the conventional (67-50) seedling stock size (Table 4, Figure 5A). A significant stand types * site preparation interaction revealed that the seedling predawn water potential was lower in LWs compared to that in BSFM stands in S0 plots, but was equal between stand types in S1 plots (Table 4, Figure 5B).
Table 4.
Summary of ANOVA (degrees of freedom and p-values) for August predawn shoot water potential (Ψx) during the first growing season after plantation, of black spruce seedlings planted in lichen woodlands and black spruce feather-moss stands, in scarified or unscarified plots and with smaller (126-25) or larger (67-50) containerized stock size.
| Sources of variation | Ψxpd | ||
|---|---|---|---|
| ndf | ddf | P | |
| Block | 3 | 3.03 | 0.1302 |
| Stand type (ST) | 1 | 3.05 | 0.3873 |
| Site preparation (S) | 1 | 6.21 | 0.1511 |
| ST * S | 1 | 6.21 | 0.0232 |
| Planting stock sizes (PS) | 1 | 12.30 | 0.0474 |
| ST * PS | 1 | 12.30 | 0.1860 |
| S * PS | 1 | 12.30 | 0.7778 |
| ST * S * PS | 1 | 12.30 | 0.9613 |
Bold indicates significance (p ≤ 0.05); ndf = numerator degrees of freedom; ddf = denominator degrees of freedom.
Figure 5.
Planting stock size (A) and Stand types * Site preparation interaction (B) effects on the predawn shoot water potential measured during the first growing season after plantation in black spruce seedlings planted in lichen woodlands and black spruce feather-moss (n = 32 (A), n =16 (B)).
Figure 5.
Planting stock size (A) and Stand types * Site preparation interaction (B) effects on the predawn shoot water potential measured during the first growing season after plantation in black spruce seedlings planted in lichen woodlands and black spruce feather-moss (n = 32 (A), n =16 (B)).

Soil analysis results revealed there was no significant difference in the concentrations of any soil mineral nutrient (see Table 5 for stand type averages).
Table 5.
Mineral soil nutrient concentrations (N = g·kg−1, and K, Ca, Mg, Mn, Al, Fe, Na, S = mg·kg−1) in scarification furrows and skid trails of harvested and scarified lichen woodlands (LW) and black spruce feather-mosse (BSFM) stands.
| Stand type | N | K | Ca | Mg | Mn | Al | Fe | Na | S |
|---|---|---|---|---|---|---|---|---|---|
| BSFM | 1.09 | 13.01 | 79.65 | 9.08 | 1.95 | 206.24 | 72.61 | 6.92 | 45.32 |
| LW | 1.31 | 14.64 | 43.48 | 5.67 | 1.43 | 200.4 | 82.38 | 7.63 | 49.3 |
Soil temperature probes revealed that the mineral soil of the scarification furrows (S1) was slightly warmer in BSFM stands than in the LWs during early spring. However, during most of the growing season LWs’ soil were up to two degrees warmer than in BSFM stands (Figure 6). For the skid trail (S0), soil temperatures of BSFM stands were always just above LWs trough the whole monitored period.
Figure 6.
Mineral soil temperature (°C, 10 cm deep) in scarification furrows (S1) and skid trail (S0) of harvested and scarified lichen woodlands (LW) and black spruce feather-mosse (BSFM) stands.
Figure 6.
Mineral soil temperature (°C, 10 cm deep) in scarification furrows (S1) and skid trail (S0) of harvested and scarified lichen woodlands (LW) and black spruce feather-mosse (BSFM) stands.

4. Discussion
4.1. Seedling Response to Stand Type
Unlike what was first hypothesised, morphological and growth variables revealed some differences between stand types. Contrarily to that hypothesised in Hébert et al. [7], where LWs were less intensively disturbed than BSFM stands (BSFM stands harvested + scarified, LWs scarified only), the present study suggests that disturbance level alone does not explain early growth differences.
These differences between BSFM and LW’s seedling early growth and morphology cannot be explained by the existing abiotic factors (slope, aspect, drainage, and soil deposit type, depth, temperature and nutrient concentrations) nor the physiological variables monitored in this study as they were equivalent. Thereby, it can be hypothesised that seedling response may at least be partially controlled by factors not related to these environmental variables. The lichen mat in LWs may have limited seedlings’ resource access via its negative effect on mycorrhizae [18,34]. The potential reduced root fungi infection in LW seedlings could have led to less efficient nutrient and water uptake [35] explaining the superior growth of BSFM seedlings and the more extensive root network (root elongation index or REI) developed by seedlings in LWs which compensate for the lack of mycorrhizae. Higher REI may have enabled seedlings in LWs to explore a larger soil volume, on a root biomass basis, improving their chance of meeting their physiological needs, in these initially less fertile soils in the soil solution [22], to the point of finding no difference in seedling foliar nutrient concentrations and photosynthetic rates between the stands. The possible allelopathic interference from competing species [11,18], and the apparent discrepancy between the nutrient availability in the soil solution in [22] and the nutrient concentrations in the mineral soil in this study, might deserve further investigation.
4.2. Planting Stock Size
As shown for Norway spruce [36], the smaller containerized stock seedlings had higher height and diameter increments (not shown) and biomass growth rates than the conventional and larger ones. Higher REI and, possibly, root hydraulic conductivity of the smaller seedlings may partly explain these differences [24,37]. As smaller containerized seedlings produced more root elongation on a biomass basis, they exposed more rapidly unsuberized and water permeable root tips [37,38,39], which could explain their higher water status (shoot water potential) compared to the conventional containerized stock [20,40,41]. A longer term assessment will be needed to value if this short term mechanism is sufficient to compensate for the initial dimensions of the smaller seedlings.
To stop height growth and improve freezing tolerance at time of planting, [42] smaller seedlings were submitted to a short day treatment at the nursery, which could have lead to the lower survival rates observed in the smaller seedlings. Short day treatment sometimes results in earlier spring dehardening and budbreak the following year, therefore increasing susceptibility to frost and mortality [43,44]. It should be noted, however, that the seedling survival absolute values were relatively high in all experimental units, including that of smaller seedlings with mean survival rate at 87%.
After one growing season, almost all foliar nutrient concentrations were higher in the smaller seedlings explaining a part of their superior growth increments. Differences in seedling’s stock REI could explain foliar nutrient concentrations, with possible enhanced hydraulic conductivity of smaller seedlings improving passive nutritional processes. On the other hand, initial (at day = 0) higher values for most of foliar nutrients suggests that the different nursery treatments for each of the containerized stock may have engendered seedlings with slightly higher nutrient loading for the smaller seedlings, which is a potential early growth advantage during the establishment window [45]. A possible “dilution effect” of nutrients in larger seedlings may have also contributed to this difference between seedling stock sizes [46].
Observed differences in nutritional and water status between planting stock sizes did not influence gas exchange measurements (results not shown), supporting the idea that black spruce seedlings do not adjust their photosynthetic rate and/or stomatal aperture to their water status [7,47,48,49,50]. Black spruce’s drought response may in fact be to maximise photosynthesis [51].
4.3. Seedling Response to Site Preparation
Disk scarification positively influenced black spruce seedlings’ survival and total biomass, while height and relative growth rate tended to be higher in scarified plots, though not significantly. Site preparation has been shown to positively influence seedlings growth and survival in numerous studies [52,53,54,55,56,57,58]. Removal of ericaceous shrub layers in the furrows of scarified plots most likely reduced resources competition for planted seedlings [14,59]. In addition, scarification increases the root zone soil temperature [54,56] which may improve root cell membrane permeability and decreases water viscosity [40,60,61,62], leading to enhanced water uptakes. In fact, seedling water potential in scarified LWs was similar to that measured in scarified BSFM stands (as observed by Hébert et al. [7]) supporting that scarification may help to overcome water limitations in “drought prone” habitats such as LWs.
Phosphorous, calcium and magnesium foliar concentrations were higher in the unscarified plots. As skid trail use during the harvest and skidding operations resulted in the soil surface close to a mechanical mixing site preparation, roots of seedlings in unscarified plots were closer to or even directly into organic soil. The absence of competition, the proximity of the incoming nutrient pool, the slightly warmer soil temperatures (in BSFM), the higher REI, and possibly the beneficial compaction effect on the soil macroporosity in coarse-textured soils during the early establishment period [63], were all plausible positive impacts of the of skid trails (S0 treatment) on seedlings’ nutritional status. Alternatively, higher growth observed in seedlings in scarified plots may have created a growth dilution of foliar nutrients [64].
5. Conclusions
Based on early growth and physiological response of black spruce seedlings, this study indicates that the afforestation of LWs can generate high survival rates of planted seedlings under the particular conditions found during the short time elapsed, with viable growth rate and physiological acclimation, be it with smaller growth values than planted seedlings in adjacent BSFM productive stands. As water and nutrient limitations do not directly explain the differences in growth between stand types, the impact of the lichen mat and the ericaceous shrubs, with their potential competitive and allelopathic interferences, requires further investigation. Nonetheless, with a sufficient site preparation, such as disk scarification, the afforestation of lichen woodlands looks feasible. The cheaper and smaller containerized planting stock (126–25), compared to the conventional stock size (67–50), showed promising potential for the LW afforestation. The lower production, transport and planting costs associated with the use of a smaller containerized stock (higher container density in nursery and transport crates, and lighter weight), should be taken into account as the afforestation of unproductive open woodlands may represent a more risky investment than that on sites of known productivity, as long term survival and growth yield of this type of stand are still unknown [65]. Altogether, the early growth results in this study are contributing to the first efforts needed to help progressing the idea of LW afforestation from a potential new niche to a productive silvicultural activity [7,9], with particular relevance as a climate change mitigation measure under the growing carbon markets [9,30,66]. Moreover, plantation could be applied as underplanting without harvest prior to site preparation [7,66], thereby, leaving a part of the local genetics in the stand and recreating structural heterogeneity that is naturally occurring in natural old forests.
Acknowledgments
We would like to thanks Esteban Gonzalez, Pierre-Luc Gaudreault, Virginie Blais, Solveil Bourque, Joël Leblond, Simon Gaboury, Nathalie Dubé, Daniel Gagnon, Jaques Allaire, Luc Godin, Sylvie Paquette for their field and laboratory assistance, Denis Walsh for the statistical advices, Sylvie Bouchard for the editing and the English revision of the manuscript, and three anonymous reviewers for their significant input in a previous version of the paper. We also want to thank Jean-Pierre Girard from Québec’s Ministère des Ressources Naturelles for his collaboration and Rock Ouimet from the Direction de la Recherche Forestière for the seedlings nutritional status and soil analyses. It would be impossible not to mention the participation of Bowater, Abitibi-Consolidated, Cooperative Forestière Chambord and Entreprise Forestière J-P Girard for the harvesting and silvicultural operations. We also want to thank the Consortium de Recherche sur la Forêt Boréale Commerciale, le Fond Québec Recherche Nature et Technologie (FQRNT, Qc, Canada) and Carbone Boréal who provides the funding for this research.
Conflict of Interest
The authors declare no conflict of interest.
References
- Coulombe, G.; Huot, J.; Arsenault, J.; Bauce, É.; Bernard, J.T.; Bouchard, A.; Liboiron, M.A.; Szaraz, G. Commission D’étude sur la Gestion de la Forêt Publique Québécoise; Bibliothèque Nationale du Québec: Québec, Canada, 2004; p. 307. [Google Scholar]
- Arseneault, D.; Payette, S. A postfire shift from lichen-spruce to lichen-tundra vegetation at tree line. Ecology 1992, 73, 1067–1081. [Google Scholar] [CrossRef]
- Payette, S.; Bhiry, N.; Delwaide, A.; Simard, M. Origin of the lichen woodland at its southern range limit in eastern Canada: The catastrophic impact of insect defoliators and fire on the spruce-moss forest. Can. J. For. Res. 2000, 30, 288–305. [Google Scholar] [CrossRef]
- Gagnon, R.; Morin, H. Les forêts d’épinette noire du Québec: Dynamique, perturbations et biodiversité. Nat. Can. 2001, 125, 26–35. [Google Scholar]
- Girard, F.; Payette, S.; Gagnon, R. Rapid expansion of lichen woodlands within the closed-crown boreal forest zone over the last 50 years caused by stand disturbances in eastern Canada. Can. J. Biogeogr. 2008, 35, 529–537. [Google Scholar] [CrossRef]
- Jasinski, J.P.P.; Payette, S. The creation of alternative stable states in the southern boreal forest, Québec, Canada. Ecol. Monogr. 2005, 75, 561–583. [Google Scholar] [CrossRef]
- Hébert, F.; Boucher, J.F.; Bernier, P.Y.; Lord, D. Growth response and water relations of 3-year-old planted black spruce and jack pine seedlings in site prepared lichen woodlands. For. Ecol. Manag. 2006, 223, 226–236. [Google Scholar] [CrossRef]
- Côté, D.; Girard, F.; Hébert, F.; Bouchard, S.; Gagnon, R.; Lord, D. Is the closed-crown boreal forest resilient after successive stand disturbances? A quantitative demonstration from a case study. J. Veg. Sci. 2013, 24, 664–674. [Google Scholar] [CrossRef]
- Gaboury, S.; Boucher, J.F.; Villeneuve, C.; Lord, D.; Gagnon, R. Estimating the net carbon balance of boreal open woodland afforestation: A case study in Québec’s closed-crown boreal forest. For. Ecol. Manag. 2009, 257, 483–494. [Google Scholar] [CrossRef]
- Mallik, A.U. Ecology of a forest weed of Newfoundland: Vegetative regeneration strategy of Kalmia angustifolia. Can. J. Bot. 1993, 71, 161–166. [Google Scholar] [CrossRef]
- Mallik, A.U. Growth and physiological responses of black spruce (Picea mariana) to sites dominated by Ledum groenlandicum. J. Chem. Ecol. 1996, 22, 575–585. [Google Scholar] [CrossRef]
- Yamasaki, S.H.; Fyles, J.W.; Egger, K.N.; Titus, B.D. The effect of Kalmia angustifolia on the growth, nutrition, and ectomycorrhizal symbiont community of black spruce. For. Ecol. Manag. 1998, 105, 197–207. [Google Scholar] [CrossRef]
- Thiffault, N.; Cyr, G.; Prégent, G.; Jobidon, R.; Charrette, L. Régénération artificielle des pessières noires à éricacées: Effets du scarifiage, de la fertilisation et du type de plants après 10 ans. For. Chron. 2004, 80, 141–149. [Google Scholar]
- Thiffault, N.; Jobidon, R. How to shift unproductive Kalmia angustifolia–Rhododendron groenlandicum heath to productive conifer plantation. Can. J. For. Res. 2006, 36, 2364–2376. [Google Scholar] [CrossRef]
- LeBel, P.; Thiffault, N.; Bradley, R. Kalmia removal increases nutrient supply and growth of black spruce seedlings: An effect fertilizer cannot emulate. For. Ecol. Manag. 2008, 256, 1780–1784. [Google Scholar] [CrossRef]
- Moroni, M.T.; Thiffault, N.; Titus, B.D.; Mante, C.; Makeschin, F. Controlling Kalmia and reestablishing conifer dominance enhances soil fertility indicators in central Newfoundland, Canada. Can. J. For. Res. 2009, 39, 1270–1279. [Google Scholar] [CrossRef]
- Steijlen, I.; Nilsson, M.C.; Zackrisson, O. Seed regeneration of scots pine in boreal forest stands dominated by lichen and feather moss. Can. J. For. Res. 1995, 25, 713–723. [Google Scholar] [CrossRef]
- Fisher, R.F. Possible allelopathic effects of reindeer-moss (Cladonia) on jack pine and white spruce. For. Sci. 1979, 25, 256–260. [Google Scholar]
- Houle, G.; Filion, L. The effects of lichens on white spruce seedling establishment and juvenile growth in a spruce-lichen woodland of subarctic Quebec. Ecoscience 2003, 10, 80–84. [Google Scholar]
- Burdett, A.N. Physiological processes in plantation establishment and the development of specifications for forest planting stock. Can. J. For. Res. 1990, 20, 415–427. [Google Scholar] [CrossRef]
- Bernier, P.Y. Comparing natural and planted black spruce seedlings 1. Water relations and growth. Can. J. For. Res. 1993, 23, 2427–2434. [Google Scholar] [CrossRef]
- Girard, F. Remise en Production des Pessières à Lichens de la Forêt Boréale Commerciale: Nutrition et Croissance de Plants D’épinette Noire Trois Ans Après Traitements de Préparation de Terrain; Université du Québec à Chicoutimi: Chicoutimi, Canada, 2004. [Google Scholar]
- Jobidon, R. Light threshold for optimal black spruce (Picea mariana) seedling growth and development under brush competition. Can. J. For. Res. 1994, 24, 1629–1635. [Google Scholar] [CrossRef]
- Lamhamedi, M.; Bernier, P.Y.; Hébert, C. Effect of shoot size on the gas exchange and growth of containerized Picea mariana seedlings under different watering regimes. New For. 1997, 13, 209–223. [Google Scholar] [CrossRef]
- Nabuurs, G.J.; Masera, O.; Andrasko, K.; Benitez-Ponce, P.; Boer, R.; Dutschke, M.; Elsiddig, E.; Ford-Robertson, J.; Frumhoff, P.; Karjalainen, T.; et al. Forestry. In Climate Change 2007: Mitigation. Contribution of Working Group III to the Fourth Assessment Report of the Intergovernmental Panel on Climate Change; Cambridge University Press: Cambridge, UK, 2007; pp. 541–584. [Google Scholar]
- Peters-Stanley, M.; Hamilton, K.; Marcello, T.; Sjardin, M. Back to the Future: State of the Voluntary Carbon Markets 2011; Ecosystem Marketplace: Washington, DC, USA, 2011; p. 93. [Google Scholar]
- Saucier, J.P.; Bergeron, J.F.; Grondin, P.; Robitaille, A. Les Régions Écologiques du Québec Méridional; Ministère des Ressources Naturelles du Québec: Ste-Foy, Canada, 2000. [Google Scholar]
- Environment Canada National Climate Data and Information Archive. Available online: http://climate.weatheroffice.gc.ca/climateData/canada_e.html (accessed on 1 April 2013).
- Scholander, P.F.; Hammel, H.T.; Bradstreet, E.D.; Hemmingsen, E.A. Sap pressure in vascular plants, negative hydrostatic pressure can be measured in plants. Science 1965, 148, 339–346. [Google Scholar]
- Hoffman, W.A.; Poorter, H. Avoiding bias in calculation of Relative Growth Rate. Ann. Bot. Lond. 2002, 80, 37–42. [Google Scholar] [CrossRef]
- Steel, R.G.D.; Torrie, J.H. Principles and Procedures of Statistics: A Biometrical Approach; McGraw-Hill Publishing Company: New York, NY, USA, 1980; p. 633. [Google Scholar]
- Zar, J.H. Biostatistical Analysis, 4th ed.; Prentice Hall: Upper Saddle River, NJ, USA, 1999; p. 266. [Google Scholar]
- Devore, J.; Peck, R. Introductory Statistics, 2nd ed.; West Publishing Company: St. Paul, MN, USA, 1994; p. 640. [Google Scholar]
- Sedia, E.G.; Ehrenfeld, J.G. Lichens and mosses promote alternate stable plant communities in the New Jersey Pinelands. Oikos 2003, 100, 447–458. [Google Scholar] [CrossRef]
- Trofymow, J.A.; van den Driessche, R. Mycorizha. In Mineral Nutrition of Conifer Seedlings; CRC Press: Boston, MA, USA, 1991; pp. 183–229. [Google Scholar]
- Johansson, K.; Nilson, U.; Lee, A.H. Interaction between soil scarification and Norway spruce seedling types. New For. 2007, 33, 13–27. [Google Scholar] [CrossRef]
- Rudinger, M.; Hallgren, S.W.; Steudle, E.; Schulze, E.D. Hydraulic and osmotic properties of spruce roots. J. Exp. Bot. 1994, 45, 1413–1425. [Google Scholar] [CrossRef]
- Kramer, P.J. Water Deficits and Plant Growth. In Water Relations of Plants; Academic Press: New York, NY, USA, 1983; pp. 342–389. [Google Scholar]
- Grossnickle, S.C. Planting stress in newly planted jack pine and white spruce 1. Factors influencing water uptake. Tree Physiol. 1988, 4, 71–83. [Google Scholar] [CrossRef]
- Kozlowski, T.T.; Davies, W.J. Control of water balance in transplanted trees. J. Arboric. 1975, 1, 1–10. [Google Scholar]
- Kramer, P.J.; Kozlowski, T.T. Physiology of Woody Plants; Academic Press Inc.: New York, NY, USA, 1979; pp. 58–112. [Google Scholar]
- Folk, R.S.; Grossnickle, S.C. Stock-type patterns of phosphorus uptake, retranslocation, net photosynthesis and morphological development in interior spruce seedlings. New For. 2000, 19, 27–49. [Google Scholar] [CrossRef]
- Colombo, S.J. Second year shoot development in black spruce Picea mariana (Mill) BSP container seedlings. Can. J. For. Res. 1986, 16, 68–73. [Google Scholar] [CrossRef]
- Bigras, F.J.; D’Aoust, A.L. Hardening and dehardening of shoot and roots of containerized black spruce and white spruce seedlings under short and long days. Can. J. For. Res. 1992, 22, 388–396. [Google Scholar] [CrossRef]
- Malik, V.; Timmer, V.R. Growth, nutrient dynamics, and interspecific competition of nutrient-loaded black spruce seedlings on a boreal mixedwood site. Can. J. For. Res. 1996, 26, 1651–1659. [Google Scholar] [CrossRef]
- Timmer, V.R.; Morrow, L.D. Predicting Fertilizer Growth Response and Nutrient Status of Jack Pine by Foliar Diagnosis. In Proceedings of the Forest Soils and Treatment Impacts, Sixth North American Forest Soils Conference, University of Tennessee, Knoxville, TN, USA, 1983; pp. 335–351.
- Givnish, T.J. Adaptation to sun and shade: A whole-plant perspective. Funct. Plant Biol. 1988, 15, 63–92. [Google Scholar]
- Canham, C.D. Different responses to gaps among shade-tolerant tree species. Ecology 1989, 70, 548–550. [Google Scholar] [CrossRef]
- Bazzaz, F.A.; Wayne, P.M. Coping with Environmental Heterogeneity: The Physiological Ecology of Tree Seedling Regeneration across the Gap-Understory Continuum. In Exploitation of Environmental Heterogeneity by Plants: Ecophysiological Processes Above- and Belowground; Caldwell, M.M., Pearcy, R.W., Eds.; Academic Press Inc.: San Diego, CA, USA, 1994; pp. 349–390. [Google Scholar]
- Walters, M.B.; Reich, P.B. Trade-offs in low-light CO2 exchange: A component of variation in shade tolerance among cold temperate tree seedlings. Funct. Ecol. 2000, 14, 155–165. [Google Scholar] [CrossRef]
- Tan, W.X.; Blake, T.J.; Boyle, T.J.B. Drought tolerance in faster-growing and slower-growing black spruce (Picea mariana) Progenies 1. Stomatal and gas exchange responses to osmotic stress. Physiol. Plant. 1992, 85, 639–644. [Google Scholar] [CrossRef]
- Bassman, J.H. Influence of two site preparation treatments on ecophysiology of planted Picea engelmannii × glauca seedlings. Can. J. For. Res. 1989, 19, 1359–1370. [Google Scholar] [CrossRef]
- Grossnickle, S.C.; Heikurinen, J. Site preparation: Water relations and growth of newly planted jack pine and white spruce. New For. 1989, 3, 99–123. [Google Scholar] [CrossRef]
- Örlander, G.; Gemmel, P.; Hunt, J. Site Preparation: A Swedish Overview; British Columbia Ministry of Forests, Canada/BC Economic & Regional Development Agreement: Victoria, BC, Canada, 1990; p. 61. [Google Scholar]
- Prévost, M. Effet du scarifiage sur les propriétés du sol et de l’ensemencement naturel dans une pessière noire à mousses de la forêt boréale québécoise. Can. J. For. Res. 1996, 26, 72–86. [Google Scholar] [CrossRef]
- Boucher, J.F.; Wetzel, S.; Munson, A.D. Leaf level response of planted eastern white pine (Pinus strobus L.) seven years after intensive silvicultural treatments. For. Ecol. Manag. 1998, 107, 291–307. [Google Scholar] [CrossRef]
- Bedford, L.; Sutton, R.F. Site preparation for establishing lodgepole pine in the sub-boreal spruce zone of interior British Columbia: The Bednesti trial, 10-year results. For. Ecol. Manag. 2000, 126, 227–238. [Google Scholar] [CrossRef]
- Thiffault, N.; Jobidon, R.; Munson, A.D. Performance and physiology of large containerized and bare-root spruce seedlings in relation to scarification and competition in Quebec (Canada). Ann. For. Sci. 2003, 60, 645–655. [Google Scholar] [CrossRef]
- Thiffault, N.; Hébert, F.; Jobidon, R. Planted Picea mariana growth and nutrition as influenced by silviculture × nursery interaction on an ericaceous-dominated site. Silva Fenn. 2012, 46, 667–682. [Google Scholar]
- Bowen, G.D. Soil Temperature, Root Growth, and Plant Function. In Plant Roots: The Hidden Half; Waisel, Y., Eshel, A., KapFkafi, U., Eds.; Marcel Dekker Inc.: New York, NY, USA, 1991; pp. 309–330. [Google Scholar]
- Dodd, I.C.; He, J.; Turnbull, C.G.N.; Lee, S.K.; Critchley, C. The influence of supra-optimal root-zone temperature on growth and stomatal conductance in Capsicum annuum L. J. Exp. Bot. 2000, 51, 239–248. [Google Scholar] [CrossRef]
- Nobel, P.S. Physicochemical & Environmental Plant Physiology; Academic Press: San Diego, CA, USA, 1999; p. 474. [Google Scholar]
- Brais, S. Persistence of soil compaction and effects on seedling growth in Northwestern Quebec. Soil Sci. Soc. Am. J. 2001, 65, 1263–1271. [Google Scholar] [CrossRef]
- Boivin, R.; Miller, B.D.; Timmer, V.R. Late-season fertilisation of Picea mariana seedlings under greenhouse culture: Biomass and nutrient dynamics. Ann. For. Sci. 2002, 59, 255–264. [Google Scholar] [CrossRef]
- Mansuy, N.; Gauthier, S.; Bergeron, Y. Afforestation opportunities when stand productivity is driven by a high risk of natural disturbance: A review of the open lichen woodland in the eastern boreal forest of Canada. Mitig. Adapt. Strateg. Glob. Change 2012, 18, 245–264. [Google Scholar] [CrossRef]
- Boucher, J.-F.; Tremblay, P.; Gaboury, S.; Villeneuve, C. Can boreal afforestation help offset incompressible GHG emissions from Canadian industries? Process Saf. Environ. 2012, 90, 459–466. [Google Scholar] [CrossRef]
© 2013 by the authors; licensee MDPI, Basel, Switzerland. This article is an open access article distributed under the terms and conditions of the Creative Commons Attribution license (http://creativecommons.org/licenses/by/3.0/).