Quantifying Multi-Scale Carbon Sink Capability in Urban Green Spaces Using Integrated LiDAR
Abstract
1. Introduction
2. Data and Methods
2.1. Study Area and Sampling
2.2. Data Acquisition
2.2.1. Dual-Platform LiDAR Survey
- (1)
- Backpack LiDAR (Understory): An OSlam RTK-SLAM-R6 system was used to scan the understory and tree trunks. This system integrates RTK and SLAM technologies to provide high-density point clouds (relative accuracy: 2–4 cm) in GNSS-denied environments, such as beneath dense canopies where UAV signals are obstructed.
- (2)
- UAV LiDAR (Canopy): A DJI MATRICE 350 RTK UAV (Da-Jiang Innovations, Shenzhen, China) equipped with a Zenith L2 sensor was deployed to map the upper canopy surface. The UAV platform utilized RTK positioning to ensure centimeter-level absolute geolocation accuracy, complementing the ground-based backpack data.
2.2.2. Field Measurements
2.2.3. Acquisition of Ecological Parameters
2.3. Data Processing and Feature Extraction
2.3.1. Multi-Platform Fusion and Registration
2.3.2. Individual Tree Segmentation
2.3.3. Phenology-Based Variable Extraction
2.4. Carbon Sink Estimation Framework
2.4.1. Calculation of Carbon Storage
- (1)
- Biomass (B) estimation
- (2)
- Carbon storage (CS) calculation
- (3)
- Carbon density (CD) calculation
2.4.2. Calculation of Carbon Sequestration
- (1)
- Green area (GA)
- (2)
- Net assimilation rate (NAR)
- (3)
- Carbon sequestration (CSeq)
- (4)
- Carbon sequestration efficiency (CSE)
2.5. Accuracy Validation
2.6. Statistical Analysis
- (1)
- Data Screening and Descriptive Statistics
- (2)
- Hierarchical Clustering for Typology
3. Results
3.1. Multi-Scale Assessment of Carbon Sink Capability
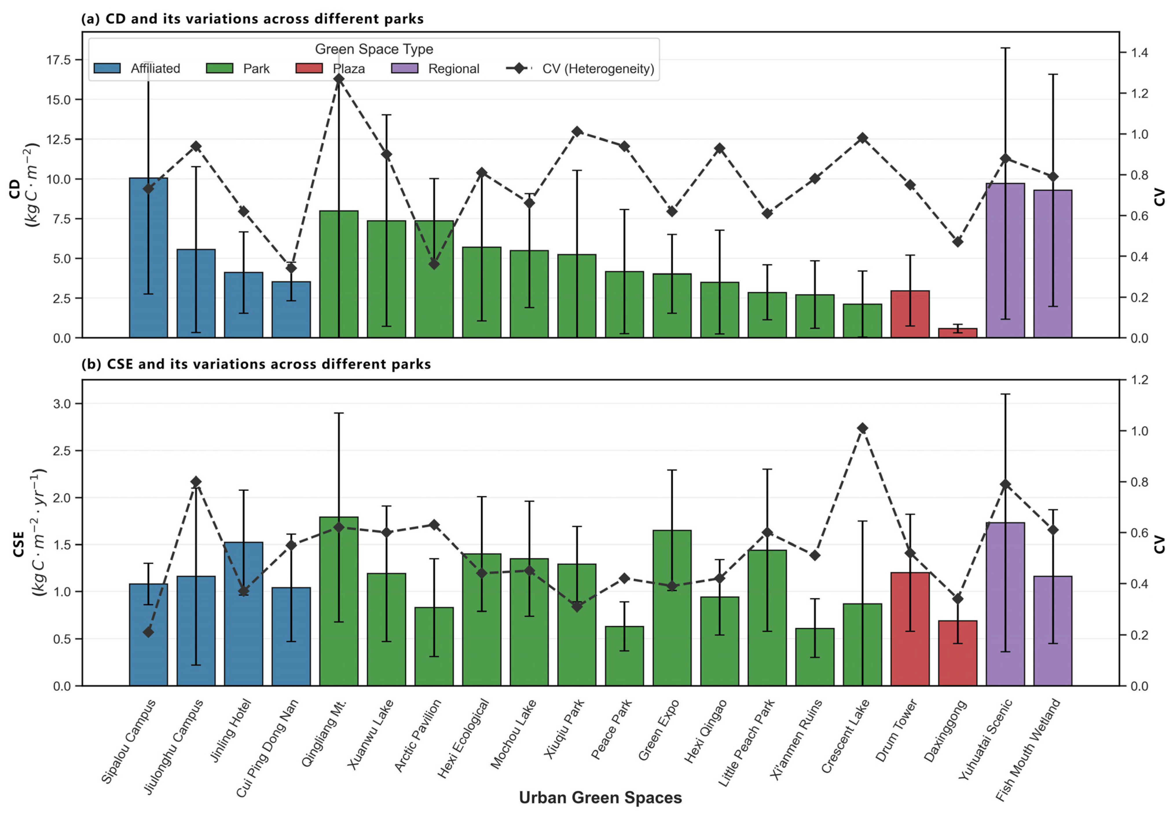
3.1.1. Green Space Scale
3.1.2. Communities Scale
3.1.3. Species Scale
3.2. Functional Classification of Carbon Sink Capability
3.2.1. Evergreen Broadleaved Trees
3.2.2. Deciduous Broadleaved Trees
3.2.3. Coniferous Trees
4. Discussion
4.1. Decoupling of Carbon Storage and Sequestration Across Scales
4.1.1. Green Space Scale: Site Typology and Ecological Structure
- High-CD, High- CSE: Regional parks acting as both reservoirs and active sinks.
- Low-CD, High- CSE: Younger plantings or herbaceous patches with rapid uptake but limited storage.
- High-CD, Low- CSE: Mature communities where growth rates may have stabilized despite high biomass.
- Low-CD, Low-CSE: Areas with structural deficits suitable for enhancement.
4.1.2. Community Scale: Vertical Stratification and Composition
4.1.3. Species Scale: Functional Traits and Trade-Offs
4.2. Implications for Urban Green Space Management
4.2.1. Optimize Green Space and Vegetation Types
4.2.2. Enhancing Structural Complexity and Species Configuration
4.2.3. Selection of High-Performance Species
4.2.4. Strategies for Multi-Source LiDAR Data Acquisition
4.3. Limitations and Future Research
5. Conclusions
Author Contributions
Funding
Data Availability Statement
Conflicts of Interest
Abbreviations
| Carbon sequestration | CSeq |
| Carbon sequestration efficiency | CSE |
| Carbon storage | CS |
| Carbon density | CD |
| Carbon fraction | CF |
| Root-to-Shoot Ratio | RSR |
| Diameter at Breast Height | DBH |
| Canopy height | CH |
| Crown Width | CW |
| Crown area | CA |
| Leaf Area Index | LAI |
| Net photosynthetic rate | NPR |
| Net assimilation rate | NAR |
| Biomass | B |
| Green area | GA |
| EB | Evergreen Broadleaf Forest |
| DB | Deciduous Broadleaf Forest |
| EC | Evergreen Coniferous Forest |
| DC | Deciduous Coniferous Forest |
| EDCM | Evergreen-Deciduous Conifer Mixed Forest |
| EDBM | Evergreen-Deciduous Broadleaf Mixed Forest |
| EDCBM | Evergreen-Deciduous Conifer-Broadleaf Mixed Forest |
| ES | Evergreen shrub |
| CS | Deciduous shrub |
| MS | Mixed shrub |
| EG | Evergreen groundcover |
| DG | Deciduous groundcover |
| MG | Mixed groundcover |
| Standard Deviation | SD |
| Coefficient of Variation | CV |
Appendix A
| Type of Green Space | Name of Green Space | No. | Number of Communities | |
|---|---|---|---|---|
| Park green space | Comprehensive Park (waterfront) | Xuanwu Lake Park | 1 | 60 |
| Mochou Lake Park | 2 | 30 | ||
| Crescent Lake Park | 3 | 20 | ||
| Xiuqiu Park | 4 | 20 | ||
| Little Peach Park | 5 | 20 | ||
| Comprehensive Park (Mountain) | Qingliang mountain-Stone city Park | 6 | 30 | |
| Arctic Pavilion Park | 7 | 20 | ||
| Neighborhood park | Peace Park | 8 | 5 | |
| Specialty park | Hexi Qingao Forest Park (other specialized parks) | 9 | 30 | |
| Nanjing China Greening Expo Park (other specialized parks) | 10 | 35 | ||
| Hexi Ecological Park (other specialized parks) | 11 | 30 | ||
| Xi’anmen Ruins Park (Ruins Specialized Park) | 12 | 15 | ||
| Plaza green space | Daxinggong Civic Plaza | 13 | 5 | |
| Drum Tower Plaza | 14 | 10 | ||
| Affiliated green space | Campus | Jiulonghu Campus of Southeast University | 15 | 20 |
| Sipalou Campus of Southeast University | 16 | 10 | ||
| Commercial | Jinling Riverside Hotel | 17 | 15 | |
| Residential | Cui Ping Dong Nan | 18 | 20 | |
| Regional green space | Scenic | Yuhuatai Scenic Area | 19 | 20 |
| Wetlands | Fish Mouth Wetland Park | 20 | 30 | |
| Types | RSR | CF | Types | RSR | CF |
|---|---|---|---|---|---|
| Pinus sylvestris var. mongolica | 0.236 | 0.486 | Betula platyphylla | 0.236 | 0.506 |
| Pinus yunnanensis | 0.236 | 0.508 | Eucalyptus spp. | 0.226 | 0.525 |
| Pinus kesiya var. langbianensis | 0.236 | 0.501 | Firmiana simplex | 0.236 | 0.423 |
| Pinus elliottii | 0.236 | 0.474 | Platanus × acerifolia | 0.236 | 0.441 |
| Pinus massoniana | 0.236 | 0.525 | Acer spp. | 0.236 | 0.45 |
| Larix gmelinii | 0.236 | 0.489 | Ginkgo biloba | 0.236 | 0.447 |
| Pinus hwangshanensis | 0.236 | 0.506 | Sapindus mukorossi | 0.236 | 0.435 |
| Pinus taeda | 0.284 | 0.511 | Koelreuteria paniculata | 0.236 | 0.424 |
| Pinus armandii | 0.174 | 0.523 | Celtis sinensis | 0.236 | 0.422 |
| Pinus densata | 0.235 | 0.501 | Liquidambar formosana | 0.236 | 0.418 |
| Pinus koraiensis | 0.215 | 0.511 | Bischofia polycarpa | 0.236 | 0.436 |
| Pinus thunbergii | 0.28 | 0.515 | Schima superba | 0.236 | 0.471 |
| Pinus tabuliformis | 0.236 | 0.517 | Michelia chapensis | 0.236 | 0.443 |
| Pinus densiflora | 0.236 | 0.515 | Alnus trabeculosa | 0.236 | 0.45 |
| Cedrus deodara | 0.236 | 0.454 | Populus tomentosa | 0.236 | 0.471 |
| Quercus spp. | 0.153 | 0.48 | Populus spp. | 0.236 | 0.43 |
| Betula spp. | 0.212 | 0.487 | Salix matsudana | 0.236 | 0.432 |
| Picea spp. | 0.236 | 0.49 | Salix spp. | 0.236 | 0.465 |
| Abies spp. | 0.181 | 0.496 | Ulmus spp. | 0.236 | 0.421 |
| Cryptomeria fortunei | 0.236 | 0.514 | Sophora japonica | 0.236 | 0.444 |
| Metasequoia glyptostroboides | 0.236 | 0.439 | Robinia spp. | 0.236 | 0.502 |
| Cunninghamia lanceolata | 0.236 | 0.446 | Prunus salicina | 0.236 | 0.44 |
| Sabina chinensis | 0.236 | 0.45 | Prunus spp. | 0.236 | 0.46 |
| Cunninghamia lanceolata | 0.236 | 0.499 | Prunus armeniaca | 0.236 | 0.43 |
| Cupressus spp. | 0.365 | 0.485 | Pyrus spp. | 0.236 | 0.46 |
| Tilia spp. | 0.201 | 0.475 | Syringa spp. | 0.236 | 0.43 |
| Machilus pingii | 0.199 | 0.485 | Malus spp. | 0.236 | 0.45 |
| Cinnamomum spp. | 0.236 | 0.434 | Forsythia spp. | 0.236 | 0.43 |
| Magnolia spp. | 0.236 | 0.434 | Broadleaf species | 0.236 | 0.48 |
| Osmanthus fragrans | 0.236 | 0.434 | Coniferous species | 0.236 | 0.489 |
| Fraxinus chinensis | 0.236 | 0.488 |
| Species | LAI | NPR | Species | LAI | NPR |
|---|---|---|---|---|---|
| Evergreen broadleaved tree | Evergreen scrub | ||||
| Cinnamomum camphora | 3.04 | 13.66 | Fatsia japonica | 5.18 | 6.35 |
| Cinnamomum glanduliferum | 2.55 | 13.66 | Buxus sinica | 4.25 | 13.31 |
| Cinnamomum burmanni | 2.31 | 13.66 | Buxus microphylla | 4.25 | 13.31 |
| Phoebe zhennan | 3.26 | 6.2 | Buxus harlandii | 4.25 | 13.31 |
| Trachycarpus fortunei | 2.31 | 2.81 | Buxus microphylla var. variegata | 4.66 | 13.31 |
| Michelia maudiae | 2.01 | 6.73 | Euonymus alatus | 4.66 | 4.23 |
| Michelia chapensis | 2.01 | 6.73 | Euonymus japonicus | 4.66 | 4.23 |
| Michelia alba | 2.13 | 6.73 | Pittosporum tobira | 4.33 | 15.2 |
| Magnolia grandiflora | 4.878 | 11.714 | Rhododendron pulchrum | 3.97 | 12.74 |
| Ilex chinensis | 3.6 | 6.27 | Rhododendron simsii | 3.97 | 12.74 |
| Photinia serratifolia | 1.67 | 13.51 | Rhododendron indicum | 3.97 | 12.74 |
| Eriobotrya japonica | 3.6 | 3.13 | Camellia japonica | 1.96 | 4.22 |
| Ardisia crenata | 3.71 | 10.85 | Camellia sinensis | 3.5 | 3.35 |
| Myrica rubra | 2.89 | 2.81 | Camellia oleifera | 3.5 | 3.35 |
| Vitex negundo var. cannabifolia | 2.43 | 1.196 | Camellia sasanqua | 3.5 | 3.35 |
| Elaeocarpus decipiens | 1.494 | 6.985 | Aucuba japonica ‘Variegata’ | 5.67 | 5.56 |
| Ligustrum lucidum | 2.16 | 11.61 | Mahonia fortunei | 4.61 | 3.79 |
| Osmanthus fragrans | 3.53 | 8.13 | Mahonia bealei | 4.61 | 3.79 |
| Osmanthus fragrans var. thunbergii | 3.53 | 8.13 | Jasminum mesnyi | 2.51 | 3.88 |
| Cyclobalanopsis glauca | 1.85 | 10.66 | Ligustrum japonicum | 2.28 | 2.57 |
| Lithocarpus glaber | 1.85 | 15.27 | Ligustrum sinense ‘Silver Star’ | 2.28 | 4.325 |
| Acer cinnamomifolium | 1.57 | 3.85 | Gardenia jasminoides | 2.49 | 2.08 |
| Citrus reticulata | 2.25 | 7.66 | Serissa japonica | 3.25 | 3.82 |
| Citrus medica | 2.25 | 7.66 | Loropetalum chinense var. rubrum | 4.89 | 7.4 |
| Phyllostachys edulis | 1.25 | 6.7 | Loropetalum chinense | 4.89 | 7.4 |
| Deciduous broadleaved tree | Pyracantha fortuneana | 1.98 | 7.74 | ||
| Platanus × acerifolia | 2.23 | 4.04 | Elaeagnus pungens | 4.33 | 5.17 |
| Sassafras tzumu | 2.55 | 8.9 | Ilex crenata | 1.242 | 6.2 |
| Lindera glauca | 3.22 | 8.9 | Ilex cornuta | 4.49 | 4.97 |
| Lindera benzoin | 1.63 | 8.9 | Hypericum monogynum | 3.36 | 4.13 |
| Ginkgo biloba | 2.27 | 9.34 | Nandina domestica | 2.04 | 3.75 |
| Triadica sebifera | 2.06 | 8.71 | Yucca gloriosa | 2.31 | 4.53 |
| Bischofia polycarpa | 2.06 | 8.71 | Yucca filamentosa | 2.31 | 4.53 |
| Sapindus mukorossi | 1.09 | 11.72 | Michelia figo | 4.23 | 3.65 |
| Koelreuteria paniculata | 3.2 | 15 | Nerium oleander | 2.06 | 5.57 |
| Koelreuteria bipinnata | 3.2 | 15 | Vinca major ‘Variegata’ | 4.32 | 5 |
| Acer mono | 1.57 | 13.46 | Vinca major | 4.32 | 5 |
| Acer buergerianum | 2.73 | 13.459 | Juniperus sabina | 1.91 | 2.46 |
| Acer truncatum | 1.57 | 13.46 | Ficus pumila | 4.32 | 2.63 |
| Acer palmatum var. dissectum | 1.74 | 13.46 | Rhapis excelsa | 1.95 | 3.65 |
| Aesculus chinensis | 2.66 | 6.53 | Vaccinium bracteatum | 4.33 | 5.17 |
| Liriodendron chinense | 1.91 | 8.519 | Cycas revoluta | 1.95 | 0.82 |
| Magnolia denudata | 2.13 | 8.05 | Phyllostachys aureosulcata | 1.84 | 3.61 |
| Magnolia × soulangeana | 2.13 | 13.55 | Pleioblastus fortunei | 1.84 | 3.61 |
| Magnolia liliflora | 2.134 | 7.159 | Indocalamus tessellatus | 1.84 | 3.61 |
| Salix babylonica | 3.88 | 18.78 | Bambusa multiplex | 1.84 | 3.61 |
| Salix alba | 3.88 | 18.78 | Phyllostachys violascens | 1.84 | 3.61 |
| Salix matsudana ‘Pendula’ | 2.052 | 18.783 | Deciduous scrub | ||
| Salix matsudana | 1.6 | 18.78 | Sambucus chinensis | 2.18 | 8.53 |
| Populus × canadensis | 3.88 | 11.149 | Lonicera maackii | 1.47 | 8.53 |
| Populus tomentosa | 3.88 | 11.149 | Lonicera japonica | 1.47 | 8.53 |
| Celtis sinensis | 1.46 | 8.206 | Abelia chinensis | 1.47 | 8.53 |
| Zelkova schneideriana | 2.7 | 4.216 | Weigela florida | 1.47 | 8.53 |
| Ulmus pumila | 2.07 | 10.95 | Cytisus scoparius | 2.18 | 4.8 |
| Ulmus parvifolia | 2.04 | 12.03 | Wisteria sinensis | 2.12 | 4.8 |
| Prunus serrulata ‘Kanzan’ | 1.71 | 5.36 | Forsythia suspensa | 2.28 | 3.88 |
| Prunus serrulata ‘Somei-yoshino’ | 1.17 | 5.62 | Forsythia × intermedia | 4.32 | 11.3 |
| Prunus serrulata | 1.95 | 5.62 | Jasminum nudiflorum | 4.32 | 11.3 |
| Prunus speciosa | 1.95 | 5.62 | Ligustrum × vicaryi | 2.28 | 2.57 |
| Prunus jamasakura | 1.34 | 5.42 | Ligustrum quihoui | 2.28 | 2.57 |
| Prunus × blireiana | 1.95 | 4.54 | Ligustrum ovalifolium | 2.28 | 2.57 |
| Amygdalus davidiana | 1.422 | 6.83 | Ligustrum sinense ‘Variegatum’ | 2.28 | 2.57 |
| Prunus persica ‘Versicolor’ | 1.422 | 6.83 | Ligustrum sinense | 2.28 | 4.325 |
| Prunus persica f. atropurpurea | 1.422 | 5.53 | Ligustrum lucidum | 2.28 | 3.325 |
| Prunus persica ‘Pendula’ | 1.422 | 5.53 | Spiraea × vanhouttei | 2.69 | 5.9 |
| Prunus armeniaca | 1.422 | 5.53 | Spiraea salicifolia | 2.69 | 5.9 |
| Prunus persica | 1.422 | 5.53 | Spiraea prunifolia | 2.69 | 5.9 |
| Prunus persica ‘Chrysanthemum’ | 1.422 | 5.53 | Rosa rugosa | 3.36 | 4.25 |
| Prunus cerasifera ‘Atropurpurea’ | 3.24 | 4.19 | Rosa chinensis | 4.36 | 4.25 |
| Prunus mume | 1.95 | 5.36 | Rosa multiflora | 6.36 | 4.25 |
| Prunus triloba | 1.95 | 5.36 | Kerria japonica | 5.36 | 4.25 |
| Crataegus pinnatifida var. major | 1.422 | 5.53 | Photinia × fraseri | 3.46 | 13.51 |
| Malus spectabilis | 1.7 | 4.54 | Paeonia suffruticosa | 8.36 | 7.88 |
| Malus halliana | 1.7 | 4.54 | Hydrangea macrophylla | 1.62 | 3.5 |
| Malus hupehensis | 1.7 | 4.54 | Berberis thunbergii ‘Atropurpurea’ | 2.69 | 5.9 |
| Malus micromalus | 1.7 | 4.54 | Berberis thunbergii | 2.69 | 5.9 |
| Chaenomeles speciosa | 1.94 | 6.82 | Cornus alba | 2.69 | 10.25 |
| Chaenomeles sinensis | 2.89 | 4.54 | Sanguisorba officinalis | 2.69 | 8.5 |
| Pyrus bretschneideri | 2.03 | 6.15 | Plumeria rubra | 2.69 | 5.57 |
| Crataegus pinnatifida | 2.14 | 6.23 | Annual or biennial herbaceous ground cover | ||
| Gleditsia sinensis | 3.9 | 18.07 | Bromus inermis | 0.92 | 6.69 |
| Robinia pseudoacacia | 4.5 | 18.07 | Poa pratensis | 0.92 | 6.69 |
| Sophora japonica | 2.61 | 18.07 | Stellaria media | 0.92 | 6.69 |
| Sophora japonica ‘Golden Stem’ | 1.386 | 18.07 | Cerastium glomeratum | 0.92 | 6.69 |
| Sophora japonica ‘Pendula’ | 2.67 | 15.72 | Parthenocissus tricuspidata | 0.92 | 6.69 |
| Albizia julibrissin | 1.86 | 6.13 | Bidens pilosa | 0.92 | 6.69 |
| Pterocarpus indicus | 1.86 | 6.13 | Coreopsis tinctoria | 0.92 | 6.69 |
| Cercis chinensis | 1.92 | 7.57 | Conyza canadensis | 0.92 | 6.69 |
| Melia azedarach | 2.89 | 5.63 | Brassica napus | 0.92 | 6.69 |
| Toona sinensis | 4.3 | 5.63 | Orychophragmus violaceus | 0.84 | 8.55 |
| Acer rubrum | 3.93 | 5.02 | Veronica arvensis | 0.92 | 6.69 |
| Acer spp. | 5.27 | 5.02 | Veronica persica | 0.92 | 6.69 |
| Acer palmatum | 1.85 | 5.02 | Corydalis yanhusuo | 0.92 | 6.69 |
| Firmiana simplex | 3.43 | 17.03 | Papaver rhoeas | 0.92 | 6.69 |
| Hibiscus mutabilis | 1.84 | 5.98 | Primula spp. | 0.92 | 6.69 |
| Hibiscus syriacus | 1.84 | 5.98 | Astragalus sinicus | 0.92 | 6.69 |
| Lagerstroemia indica | 2.33 | 16.96 | Brassica oleracea | 0.92 | 6.69 |
| Punica granatum | 1.94 | 4.88 | Capsella bursa-pastoris | 0.92 | 6.69 |
| Ailanthus altissima | 3.132 | 16.42 | Perennial herbaceous groundcover | ||
| Liquidambar formosana | 1.602 | 4.984 | Ophiopogon japonicus | 0.92 | 6.69 |
| Morus alba | 1.99 | 3.73 | Liriope platyphylla | 1.3 | 11.13 |
| Broussonetia papyrifera | 2.062 | 8.73 | Ophiopogon bodinieri | 0.92 | 6.69 |
| Cudrania tricuspidata | 2.062 | 8.73 | Hosta plantaginea | 0.92 | 6.69 |
| Pterocarya stenoptera | 1.926 | 12.4 | Aspidistra elatior | 0.92 | 6.69 |
| Carya cathayensis | 1.26 | 4.24 | Aspidistra spp. | 0.92 | 6.69 |
| Juglans regia | 1.26 | 4.24 | Agave americana | 0.92 | 6.69 |
| Juglans nigra | 1.26 | 4.24 | Reineckea carnea | 0.92 | 4.02 |
| Pistacia chinensis | 1.57 | 4.197 | Tulipa gesneriana | 0.92 | 6.69 |
| Sapindus delavayi | 1.57 | 12.6 | Ophiopogon japonicus ‘Variegatus’ | 0.92 | 11.13 |
| Alangium chinense | 1.22 | 5.591 | Oxalis corniculata | 0.92 | 6.69 |
| Cornus officinalis | 2.18 | 11.9 | Oxalis corymbosa | 0.92 | 6.69 |
| Quercus acutissima | 1.85 | 7.402 | Trifolium repens | 0.92 | 6.69 |
| Quercus variabilis | 4.16 | 7.402 | Medicago sativa | 0.92 | 6.69 |
| Paulownia fortunei | 1.8 | 20.81 | Lolium perenne | 0.92 | 6.69 |
| Paulownia tomentosa | 1.8 | 20.81 | Cynodon dactylon | 1.2 | 5.2 |
| Diospyros kaki | 3.71 | 10.12 | Phragmites australis | 0.92 | 6.69 |
| Eucommia ulmoides | 2.66 | 16.91 | Cortaderia selloana | 0.92 | 6.69 |
| Catalpa bungei | 2.46 | 7.44 | Arundo donax | 0.93 | 17.5 |
| Tilia miqueliana | 3.25 | 9.15 | Stipa capillata | 0.92 | 6.69 |
| Ziziphus jujuba | 2.74 | 11.88 | Miscanthus sinensis | 0.92 | 6.69 |
| Syringa oblata | 1.97 | 12.5 | Zephyranthes candida | 0.92 | 6.69 |
| Euonymus bungeanus | 2.32 | 8.63 | Lycoris radiata | 0.92 | 6.69 |
| Davidia involucrata | 4.18 | 7.15 | Allium victorialis | 0.92 | 6.69 |
| Camptotheca acuminata | 2.7 | 7.27 | Dianthus chinensis | 0.92 | 6.69 |
| Zanthoxylum bungeanum | 2.57 | 11.13 | Euonymus fortunei | 0.92 | 6.69 |
| Viburnum macrocephalum | 1.51 | 11.9 | Trachelospermum jasminoides | 0.92 | 6.69 |
| Viburnum dilatatum | 2.18 | 11.9 | Dichondra repens | 0.92 | 6.69 |
| Chimonanthus praecox | 4.72 | 4.36 | Iris tectorum | 0.75 | 4.63 |
| Vitex negundo | 1.84 | 5.98 | Iris germanica | 0.92 | 4.63 |
| Hydrangea paniculata | 2.18 | 11.9 | Artemisia argyi | 0.92 | 6.69 |
| Edgeworthia chrysantha | 1.84 | 2.99 | Anemone tomentosa | 0.92 | 6.69 |
| Coniferous tree | Jacobaea maritima | 0.92 | 6.69 | ||
| Pinus bungeana | 2.02 | 3.96 | Bellis perennis | 0.92 | 6.69 |
| Pinus thunbergii | 3.4 | 3.97 | Acorus calamus | 0.92 | 6.69 |
| Pinus massoniana | 1.31 | 6.39 | Campsis grandiflora | 0.92 | 6.69 |
| Pinus tabuliformis | 2.02 | 3.91 | Viola philippica | 0.92 | 6.69 |
| Pinus parviflora | 2.02 | 2.13 | Viola tricolor | 0.92 | 6.69 |
| Cedrus deodara | 3.11 | 10.778 | Viola cornuta | 0.92 | 6.69 |
| Larix gmelinii var. principis-rupprechtii | 2.23 | 3.58 | Hydrocotyle vulgaris | 0.92 | 6.69 |
| Pinus elliottii | 3.33 | 4.6 | Rosmarinus officinalis | 0.92 | 6.69 |
| Pinus taeda | 3.33 | 2.52 | Hydrocotyle sibthorpioides | 0.92 | 6.69 |
| Picea pungens ‘Glauca’ | 4.626 | 1.7 | Petunia hybrida | 0.92 | 6.69 |
| Cunninghamia lanceolata | 1.89 | 3.45 | Woodwardia japonica | 0.92 | 6.69 |
| Taxodium ascendens | 4.626 | 8.5 | Ipomoea cairica | 0.92 | 6.69 |
| Taxodium distichum | 5.34 | 8.5 | Canna indica | 0.92 | 6.69 |
| Metasequoia glyptostroboides | 3.34 | 8.5 | Juncus effusus | 0.92 | 6.69 |
| Juniperus chinensis ‘Kaizuka’ | 4.59 | 4.71 | Begonia semperflorens | 0.92 | 6.69 |
| Juniperus formosana | 3.88 | 4.71 | Sedum lineare | 0.92 | 6.69 |
| Juniperus chinensis ‘Pfitzeriana Aurea’ | 4.23 | 4.71 | Hemerocallis fulva | 0.92 | 6.69 |
| Cupressus funebris | 2.484 | 1.47 | Paeonia lactiflora | 0.92 | 6.69 |
| Cryptomeria japonica | 2.58 | 5.25 | |||
| Cryptomeria fortunei | 2.58 | 5.25 | |||
| Platycladus orientalis | 4.35 | 1.89 | |||
| Podocarpus macrophyllus | 1.77 | 2.46 | |||
| Torreya grandis | 1.89 | 5.05 | |||
| Species | Aboveground Biomass (kg) | Belowground Biomass (kg) | Whole Tree Biomass (kg) | Modeling Area |
|---|---|---|---|---|
| Cupressus funebris | Jiangsu | |||
| Pinus thunbergii | Anhui | |||
| Pinus massoniana | Zhejiang | |||
| Cunninghamia lanceolata | Zhejiang | |||
| Cryptomeria fortunei | Jiangsu | |||
| Metasequoia glyptostroboides | Jiangsu | |||
| Cinnamomum camphora | Shanghai | |||
| Robinia pseudoacacia | Jiangsu | |||
| Elaeocarpus decipiens | Shanghai | |||
| Quercus spp. | Henan | |||
| Ulmus spp. | Liaoning | |||
| Ligustrum lucidum | Shanghai | |||
| Magnolia grandiflora | Shanghai | |||
| Hard broadleaf species/Hardwood species | Zhejiang | |||
| Populus spp. | Jiangsu | |||
| Paulownia spp. | Anhui | |||
| Koelreuteria bipinnata | Shanghai | |||
| Liriodendron chinense | Shanghai | |||
| Soft broadleaf species/Softwood broadleaves | Zhejiang | |||
| Eucommia ulmoides | Henan | |||
| Ginkgo biloba | Shanghai | |||
| Mixed broadleaf species | Guizhou | |||
| Phyllostachys edulis | Shanghai | |||
| Prunus persica (D = ground diameter) | Shanghai | |||
| Shrub cluster/Shrub layer | Zhejiang | |||
| Coniferous tree species/Conifers | National | |||
| Broadleaf tree species/Broadleaves | National |



References
- Feng, Y.; Fang, C.; Jia, X.; Song, P.; Zhou, L.; Xu, X.; Wang, K.; He, R.; Guo, N.; Ge, S. Dual pathways of carbon neutrality in urban green spaces: Assessment and regulatory strategies. Sustain. Cities Soc. 2025, 125, 106311. [Google Scholar] [CrossRef]
- Zhao, D.; Cai, J.; Xu, Y.; Liu, Y.; Yao, M. Carbon sinks in urban public green spaces under carbon neutrality: A bibliometric analysis and systematic literature review. Urban For. Urban Green. 2023, 86, 128037. [Google Scholar] [CrossRef]
- Zhang, R.; Cheng, X.; Chen, W.; Lu, F.; Liu, S.; Shi, H.; Ni, Z.; Chen, Y.; Li, D.; Zhou, Y.; et al. Effects of different urban vegetation cover and green space types on soil greenhouse gas emissions and carbon sequestration. Front. Environ. Sci. 2025, 13, 1555628. [Google Scholar] [CrossRef]
- Zhuang, Q.; Shao, Z.; Gong, J.; Li, D.; Huang, X.; Zhang, Y.; Xu, X.; Dang, C.; Chen, J.; Altan, O.; et al. Modeling carbon storage in urban vegetation: Progress, challenges, and opportunities. Int. J. Appl. Earth Obs. Geoinf. 2022, 114, 103058. [Google Scholar] [CrossRef]
- Coops, N.C.; Irwin, L.A.; Seely, H.S.; Hardy, S.J. Advances in laser scanning to assess carbon in forests: From ground-based to space-based sensors. Curr. For. Rep. 2025, 11, 11. [Google Scholar] [CrossRef]
- Timilsina, S.; Aryal, J.; Kirkpatrick, J.B. Mapping urban tree cover changes using object-based convolution neural network (OB-CNN). Remote. Sens. 2020, 12, 3017. [Google Scholar] [CrossRef]
- Yang, M.; Zhou, X.; Liu, Z.; Li, P.; Tang, J.; Xie, B.; Peng, C. A review of general methods for quantifying and estimating urban trees and biomass. Forests 2022, 13, 616. [Google Scholar] [CrossRef]
- Fang, Y.; Zhang, X.; Cao, Y. Digital technologies framework and future trends of carbon sequestration research in urban green spaces: A review. Int. J. Environ. Sci. Technol. 2025, 22, 13277–13296. [Google Scholar] [CrossRef]
- Kleingeld, E.; van Hove, B.; Elbers, J.; Jacobs, C. Carbon dioxide fluxes in the city centre of Arnhem, A middle-sized Dutch city. Urban Clim. 2018, 24, 994–1010. [Google Scholar] [CrossRef]
- Preston, P.D.; Dunk, R.M.; Smith, G.R.; Cavan, G. Examining regulating ecosystem service provision by brownfield and park typologies and their urban distribution. Urban For. Urban Green. 2024, 95, 128311. [Google Scholar] [CrossRef]
- Musthafa, M.; Singh, G. Improving forest above-ground biomass retrieval using multi-sensor L-and C-band SAR data and multi-temporal spaceborne LiDAR data. Front. For. Glob. Change 2022, 5, 822704. [Google Scholar] [CrossRef]
- Balestra, M.; Choudhury, M.A.M.; Pierdicca, R.; Chiappini, S.; Marcheggiani, E. UAV-Spherical Data Fusion Approach to Estimate Individual Tree Carbon Stock for Urban Green Planning and Management. Remote Sens. 2024, 16, 2110. [Google Scholar] [CrossRef]
- Su, R.; Du, W.; Shan, Y.; Ying, H.; Rihan, W.; Li, R. Aboveground carbon stock estimation based on backpack LiDAR and UAV multispectral imagery at the forest sample plot scale. Remote Sens. 2024, 16, 3927. [Google Scholar] [CrossRef]
- Mitchell, M.G.; Johansen, K.; Maron, M.; McAlpine, C.A.; Wu, D.; Rhodes, J.R. Identification of fine scale and landscape scale drivers of urban aboveground carbon stocks using high-resolution modeling and mapping. Sci. Total Environ. 2018, 622–623, 57–70. [Google Scholar] [CrossRef]
- Yang, Z.; Fang, C.; Mu, X.; Li, G.; Xu, G. Urban green space quality in China: Quality measurement, spatial heterogeneity pattern and influencing factor. Urban For. Urban Green. 2021, 66, 127381. [Google Scholar] [CrossRef]
- Wang, V.; Gao, J. Estimation of carbon stock in urban parks: Biophysical parameters, thresholds, reliability, and sampling load by plant type. Urban For. Urban Green. 2020, 55, 126852. [Google Scholar] [CrossRef]
- Ellenberg, D.; Mueller-Dombois, D. Aims and Methods of Vegetation Ecology; Wiley: New York, NY, USA, 1974; Volume 547. [Google Scholar]
- Nowak, D.; Crane, D.; Stevens, J.; Hoehn, R.; Walton, J.; Bond, J. A ground-based method of assessing urban forest structure and ecosystem services. Arboric. Urban For. 2008, 34, 347–358. [Google Scholar] [CrossRef]
- Heo, H.K.; Lee, D.K.; Park, J.H.; Thorne, J.H. Estimating the heights and diameters at breast height of trees in an urban park and along a street using mobile LiDAR. Landsc. Ecol. Eng. 2019, 15, 253–263. [Google Scholar] [CrossRef]
- Hirose, T.; Werger, M. Maximizing daily canopy photosynthesis with respect to the leaf nitrogen allocation pattern in the canopy. Oecologia 1987, 72, 520–526. [Google Scholar] [CrossRef] [PubMed]
- Goudriaan, J. Crop Micrometeorology: A Simulation Study; Wageningen University and Research: Wageningen, The Netherlands, 1977. [Google Scholar]
- Yao, X.; Ou, C.; Xia, L.; Yao, X.; Chen, Y.; Wang, N. Benefit evaluation of carbon sequestration, oxygen release, cooling and humidifying of the main landscape tree species in small towns along Huaihe River in Anhui Province. Chin. J. Ecol. 2021, 40, 1293. [Google Scholar]
- Hyyppä, E.; Yu, X.; Kaartinen, H.; Hakala, T.; Kukko, A.; Vastaranta, M.; Hyyppä, J. Comparison of backpack, handheld, under-canopy UAV, and above-canopy UAV laser scanning for field reference data collection in boreal forests. Remote Sens. 2020, 12, 3327. [Google Scholar] [CrossRef]
- Liang, X.; Kankare, V.; Hyyppä, J.; Wang, Y.; Kukko, A.; Haggrén, H.; Yu, X.; Kaartinen, H.; Jaakkola, A.; Guan, F.; et al. Terrestrial laser scanning in forest inventories. ISPRS J. Photogramm. Remote Sens. 2016, 115, 63–77. [Google Scholar] [CrossRef]
- Huang, J.; Song, P.; Liu, X.; Li, A.; Wang, X.; Liu, B.; Feng, Y. Carbon Sequestration and Landscape Influences in Urban Greenspace Coverage Variability: A High-Resolution Remote Sensing Study in Luohe, China. Forests 2024, 15, 1849. [Google Scholar] [CrossRef]
- Li, X.; Jiang, Y.; Liu, Y.; Sun, Y.; Li, C. The impact of landscape spatial morphology on green carbon sink in the urban riverfront area. Cities 2024, 148, 104919. [Google Scholar] [CrossRef]
- Guo, Y.; Ren, Z.; Wang, C.; Zhang, P.; Ma, Z.; Hong, S.; Hong, W.; He, X. Spatiotemporal patterns of urban forest carbon sequestration capacity: Implications for urban CO2 emission mitigation during China’s rapid urbanization. Sci. Total Environ. 2024, 912, 168781. [Google Scholar] [CrossRef] [PubMed]
- Nayak, L.; Adavi, S.B.; Lal, P.; Behera, L.; Sahu, U.R.; Altaf, M.A.; Kumar, A.; Kumar, R.; Tiwari, R.K.; Lal, M.K. Urban Forests and Carbon Sequestration. In Urban Forests, Climate Change and Environmental Pollution; Springer: Cham, Switzerland, 2024; pp. 373–390. [Google Scholar]
- Li, X.; Jia, B.; Li, F.; Ma, J.; Liu, X.; Feng, F.; Liu, H. Effects of multi-scale structure of blue-green space on urban forest carbon density: Beijing, China case study. Sci. Total Environ. 2023, 883, 163682. [Google Scholar] [CrossRef]
- Francini, G.; Hui, N.; Jumpponen, A.; Kotze, D.J.; Setälä, H. Vegetation type and age matter: How to optimize the provision of ecosystem services in urban parks. Urban For. Urban Green. 2021, 66, 127392. [Google Scholar] [CrossRef]
- Pregitzer, C.C.; Hanna, C.; Charlop-Powers, S.; Bradford, M.A. Estimating carbon storage in urban forests of New York City. Urban Ecosyst. 2022, 25, 617–631. [Google Scholar] [CrossRef]
- Livesley, S.J.; McPherson, E.G.; Calfapietra, C. The urban forest and ecosystem services: Impacts on urban water, heat, and pollution cycles at the tree, street, and city scale. J. Environ. Qual. 2016, 45, 119–124. [Google Scholar] [CrossRef] [PubMed]
- Bahrami, B.; Hildebrandt, A.; Thober, S.; Rebmann, C.; Fischer, R.; Samaniego, L.; Rakovec, O.; Kumar, R. Developing a parsimonious canopy model (PCM v1. 0) to predict forest gross primary productivity and leaf area index of deciduous broadleaved forest. Geosci. Model Dev. 2022, 15, 6957–6984. [Google Scholar] [CrossRef]
- Nowak, D.J.; Greenfield, E.J.; Hoehn, R.E.; Lapoint, E. Carbon storage and sequestration by trees in urban and community areas of the United States. Environ. Pollut. 2013, 178, 229–236. [Google Scholar] [CrossRef] [PubMed]
- Morgenroth, J.; Buchan, G.D. Soil moisture and aeration beneath pervious and impervious pavements. Arboric. Urban For. 2009, 35, 135–141. [Google Scholar] [CrossRef]
- Stephenson, N.L.; Das, A.J.; Condit, R.; Russo, S.E.; Baker, P.J.; Beckman, N.G.; Coomes, D.A.; Lines, E.R.; Morris, W.K.; Rüger, N.; et al. Rate of tree carbon accumulation increases continuously with tree size. Nature 2014, 507, 90–93. [Google Scholar] [CrossRef]
- Liu, X.; Trogisch, S.; He, J.; Niklaus, P.A.; Bruelheide, H.; Tang, Z.; Erfmeier, A.; Scherer-Lorenzen, M.; Pietsch, K.A.; Yang, B.; et al. Tree species richness increases ecosystem carbon storage in subtropical forests. Proc. R. Soc. B 2018, 285, 20181240. [Google Scholar] [CrossRef] [PubMed]
- Pretzsch, H. Integrative Ecosystem Management Through the Diversification of Structure and Tree Species. In Progress in Botany; Springer: Cham, Switzerland, 2024; Volume 85, pp. 333–360. [Google Scholar]
- Salbitano, F. Guidelines on Urban and Peri-Urban Forestry; FAO: Rome, Italy, 2016. [Google Scholar]
- Wang, M.; Xu, H.; Zhao, J.; Sun, C.; Liu, Y.; Li, J. The Carbon Sequestration Potential of Skyscraper Greenery: A Bibliometric Review (2003–2023). Sustainability 2025, 17, 1774. [Google Scholar] [CrossRef]
- Wang, Y.; Chang, Q.; Li, X. Promoting sustainable carbon sequestration of plants in urban greenspace by planting design: A case study in parks of Beijing. Urban For. Urban Green. 2021, 64, 127291. [Google Scholar] [CrossRef]
- Warner, E.; Cook-Patton, S.C.; Lewis, O.T.; Brown, N.; Koricheva, J.; Eisenhauer, N.; Ferlian, O.; Gravel, D.; Hall, J.S.; Jactel, H.E.; et al. Young mixed planted forests store more carbon than monocultures—A meta-analysis. Front. For. Glob. Change 2023, 6, 1226514. [Google Scholar] [CrossRef]
- Gülçin, D.; van den Bosch, C.C.K. Assessment of above-ground carbon storage by urban trees using LiDAR data: The case of a university campus. Forests 2021, 12, 62. [Google Scholar] [CrossRef]
- Bratman, G.N.; Anderson, C.B.; Berman, M.G.; Cochran, B.; De Vries, S.; Flanders, J.; Folke, C.; Frumkin, H.; Gross, J.J.; Hartig, T.; et al. Nature and mental health: An ecosystem service perspective. Sci. Adv. 2019, 5, eaax0903. [Google Scholar] [CrossRef]
- Ziter, C.D.; Pedersen, E.J.; Kucharik, C.J.; Turner, M.G. Scale-dependent interactions between tree canopy cover and impervious surfaces reduce daytime urban heat during summer. Proc. Natl. Acad. Sci. USA 2019, 116, 7575–7580. [Google Scholar] [CrossRef]
- McHale, M.R.; Burke, I.C.; Lefsky, M.A.; Peper, P.J.; McPherson, E.G. Urban forest biomass estimates: Is it important to use allometric relationships developed specifically for urban trees? Urban Ecosyst. 2009, 12, 95–113. [Google Scholar] [CrossRef]
- Gollob, C.; Ritter, T.; Nothdurft, A. Forest inventory with long range and high-speed personal laser scanning (PLS) and simultaneous localization and mapping (SLAM) technology. Remote Sens. 2020, 12, 1509. [Google Scholar] [CrossRef]








| Category | Variable | Data Source | Reference |
|---|---|---|---|
| Tree Structure | Canopy Height (CH) | LiDAR Point Cloud | Max value from fused UAV + Backpack data (Winter priority for stem top detection) |
| Diameter at Breast Height (DBH) | Extracted from Winter point cloud to minimize occlusion | ||
| Crown Width (CW) | Extracted from Summer point cloud for maximum canopy extent | ||
| Crown Area (CA) | Calculated assuming a circular crown projection based on the average Crown Width (CW) | ||
| Physiology | Leaf Area Index (LAI) | Field Instrument | Measured using DC-2000 Canopy Analyzer during Summer |
| Carbon Estimation | Biomass (B) | Calculation | Estimated using allometric equations based on CH and DBH |
| Root-to-Shoot Ratio (RSR) | Literature | Regional standard coefficients for specific tree species | |
| Carbon Fraction (CF) | Conversion factors (typically 0.45–0.50) based on species | ||
| Net Photosynthetic Rate (NPR) | Species-specific photosynthetic rates from physiological studies |
| No. | Green Space Types | Number of Green Spaces | CSE () | CD () |
|---|---|---|---|---|
| 1 | Park | 12 | 1.17 | 6.07 |
| 2 | Plaza | 2 | 0.95 | 3.08 |
| 3 | Affiliated | 4 | 1.20 | 7.12 |
| 4 | Regional | 2 | 1.44 | 10.80 |
Disclaimer/Publisher’s Note: The statements, opinions and data contained in all publications are solely those of the individual author(s) and contributor(s) and not of MDPI and/or the editor(s). MDPI and/or the editor(s) disclaim responsibility for any injury to people or property resulting from any ideas, methods, instructions or products referred to in the content. |
© 2025 by the authors. Licensee MDPI, Basel, Switzerland. This article is an open access article distributed under the terms and conditions of the Creative Commons Attribution (CC BY) license.
Share and Cite
Fang, Y.; Song, W.; Cao, Y.; Su, S.; Cheng, Y. Quantifying Multi-Scale Carbon Sink Capability in Urban Green Spaces Using Integrated LiDAR. Forests 2026, 17, 34. https://doi.org/10.3390/f17010034
Fang Y, Song W, Cao Y, Su S, Cheng Y. Quantifying Multi-Scale Carbon Sink Capability in Urban Green Spaces Using Integrated LiDAR. Forests. 2026; 17(1):34. https://doi.org/10.3390/f17010034
Chicago/Turabian StyleFang, Yuhao, Wenling Song, Yilun Cao, Shuge Su, and Yuning Cheng. 2026. "Quantifying Multi-Scale Carbon Sink Capability in Urban Green Spaces Using Integrated LiDAR" Forests 17, no. 1: 34. https://doi.org/10.3390/f17010034
APA StyleFang, Y., Song, W., Cao, Y., Su, S., & Cheng, Y. (2026). Quantifying Multi-Scale Carbon Sink Capability in Urban Green Spaces Using Integrated LiDAR. Forests, 17(1), 34. https://doi.org/10.3390/f17010034

