Next Article in Journal
Integrated Measurements for Precision Forestry
Previous Article in Journal
Responses of Different Soil Microbial Communities to the Addition of Nitrogen into the Soil of Larix gmelinii var. principis-rupprechtii (Mayr) Pilg. Plantations
 
 
Font Type:
Arial Georgia Verdana
Font Size:
Aa Aa Aa
Line Spacing:
Column Width:
Background:
Article

Characterization of Shoot Growth and Carbon Accumulation in Moso Bamboo Based on Different Stand Densities

1
International Center for Bamboo and Rattan, Key Laboratory of National Forestry and Grassland Administration, Beijing 100102, China
2
National Location Observation and Research Station of the Bamboo Forest Ecosystem in Yixing, National Forestry and Grassland Administration, Yixing 214200, China
*
Author to whom correspondence should be addressed.
Forests 2025, 16(7), 1098; https://doi.org/10.3390/f16071098
Submission received: 24 April 2025 / Revised: 23 June 2025 / Accepted: 30 June 2025 / Published: 2 July 2025
(This article belongs to the Section Forest Ecology and Management)

Abstract

Bamboo forests are among China’s key strategic forest resources, characterized by rapid growth and high carbon sequestration efficiency. Traditional management practices primarily aim to maximize economic benefits by regulating stand density to enhance yields of bamboo culms and shoots. However, the influence of density regulation on the growth and carbon accumulation of spring bamboo shoots remains insufficiently understood. Therefore, this study focuses on moso bamboo (Phyllostachys edulis (Carrière) J. Houzeau) stands and investigates shoot emergence during the shooting period across four stand density levels: D1 (1400 stems/ha), D2 (2000 stems/ha), D3 (2600 stems/ha), and D4 (3200 stems/ha). The study analyzes the dynamics of shoot emergence, height development, and morphological traits under varying stand densities, and explores patterns of carbon accumulation during the shooting period, thereby clarifying the effects of stand density on shoot quantity, growth quality, and carbon sequestration. The main findings are as follows: the number of emerging shoots decreased with increasing stand density, ranging from 2592 to 4634 shoots per hectare. The peak shoot emergence period in the D1 stand was extended by 3 days compared to D2 and D3, while the D4 stand entered the peak emergence period 6 days later than D2 and D3. The rapid height growth phase in D1 occurred 3 days earlier than in D2 and D3, and 6 days earlier than in D4. Results from the variable exponent taper equation indicated that spring shoots in the D2 and D4 stands had larger basal diameters, following the order D4 > D2 > D3 > D1. Shoots in the D2 stand exhibited the smallest taper, with the order being D2 < D3 < D1 < D4. During the late stage of shoot emergence (3 May to 9 May), all stands entered a period of rapid carbon accumulation per individual shoot. In the early stage, carbon accumulation followed the order D1 > D2 > D4 > D3; in the middle stage, the order shifted to D4 > D3 > D2 > D1; and in the final stage, the trend was D1 > D4 > D3 > D2. Within the 30-day investigation period, the carbon storage in spring shoots reached up to one-quarter or even one-third of the total accumulation during the growth period. The D1 stand exhibited the highest rate of increase in the proportion of individual shoot carbon storage.

1. Introduction

China is rich in bamboo forest resources, with recent surveys indicating that the total area of moso bamboo (Phyllostachys edulis (Carrière) J. Houzeau) forests in the country spans 6,411,600 hectares, of which 73% is dominated by moso bamboo [1]. Moso bamboo possesses remarkable biological characteristics, notably its ability to produce new shoots annually through whip-shoot differentiation, achieving substantial growth within a rapid 45–60 day growth period [2,3]. This explosive growth capacity facilitates forest stand renewal and expansion over short periods, fostering a sustainable management model characterized by “one-time afforestation, perpetual utilization” [4].
The number of shoots, their morphological characteristics, and the carbon accumulation capacity of moso bamboo are influenced by the stand density. Variations in resource supply and environmental stress at different density levels impact the growth and development of the bamboo, while the quality of shoot growth and morphological traits directly affect bamboo quality and, consequently, the productivity of the entire stand. Numerous studies have demonstrated that stand density significantly influences bamboo shoot production [5,6], morphology [7,8,9], and overall stand productivity [10,11]. It has been suggested that an optimal stand density combined with appropriate harvest management can maximize the productivity of dual-purpose bamboo forests [12]. Additionally, the proportion of old bamboo in stands with varying densities and fertilization measures affects the number and quality of bamboo shoots, leading to differences in the growth of new bamboo. Moderate harvesting densities can enhance the average diameter at breast height (DBH) and the number of new bamboo shoots, thereby improving stand productivity [13,14]. While increased stand density may improve canopy cover and aboveground biomass [15], it also constrains the growth space and resource availability for individual plants, limiting their growth potential [16,17].
Amidst global climate change, moso bamboo forests have gained significant attention for their effective photosynthetic carbon sequestration capacity [18,19,20]. Recent studies have continuously highlighted the pivotal role of moso bamboo in carbon sequestration, with its rapid growth rate enabling substantial CO2 assimilation, which is subsequently stored as biomass [21]. Quantitative studies suggest that the annual carbon sequestration of moso bamboo forests can reach up to 9.43 t/hm2, outperforming broad-leaved evergreen forests in this regard [22,23]. Notably, aboveground carbon storage in bamboo forests has been found to be strongly correlated with stand density [24], although excessively high densities can limit individual bamboo growth, leading to a plateau in carbon accumulation rates [25]. In contrast, carbon storage in the underground root system follows a different trend, with some studies indicating that lower-density bamboo forests may have higher underground carbon storage, likely due to a more developed root system [26].
Given the growth characteristics of moso bamboo and the selective harvesting management practices employed, the stand density in bamboo forests is dynamic. Density management remains a core aspect of bamboo forest cultivation. Most previous research on moso bamboo density has focused primarily on enhancing the yield of bamboo timber or shoots. However, the challenge of balancing the economic benefits with the carbon sink capacity of moso bamboo forests has emerged as a critical focus in sustainable forest management. Therefore, it is of paramount importance to identify and maintain an optimal operational density for moso bamboo forests, in order to safeguard both their productivity and their carbon sink potential. The objective of this study is to examine the role of stand density in regulating bamboo shoot emergence, growth patterns, and carbon accumulation, with the goal of providing a scientific basis for achieving the dual objectives of economic and ecological benefits in moso bamboo forest management.

2. Materials and Methods

2.1. Study Site

The experimental site was established at the state-owned Yixing Forest Farm, located in Dingshu Town, Yixing City, Wuxi, Jiangsu Province, China (Figure 1). Situated at the boundary of Jiangsu and Zhejiang provinces (31°07′–31°37′ N, 119°31′–120°03′ E), this forest farm covers an area of 3400 hectares and represents the largest state-owned forest in southern Jiangsu. It supports a growing stock volume of 100,000 m3 and sustains approximately 2.5 million standing culms of moso bamboo (P. edulis), achieving a forest coverage rate of 97%. The site is characterized by a northern subtropical monsoon climate and is located at the northeastern edge of the natural distribution range of moso bamboo. Current management practices include selective cutting of bamboo stands of IV-degree (approximately 8 years old) and older, pest control, and the removal of shrubs, dead trees, and timber damaged by snow. Notably, intensive management measures such as fertilization and soil tillage are not implemented. Additionally, the area is used for the harvesting of bamboo shoots during the winter and spring, and it supports controlled ecotourism activities. All anthropogenic interventions are carefully regulated to maintain ecological sustainability.

2.2. Plot Establishment

In January 2023, following a comprehensive field survey of moso bamboo forests at the state-owned Yixing Forest Farm, four pure bamboo stands with uniform site conditions and management practices but varying stand densities were selected for experimental setup. Using a systematic plot design methodology, 12 standard plots (20 m × 20 m each) were established across four density gradients (Table 1): 1400 ± 100 stems/ha (D1), 2000 ± 100 stems/ha (D2), 2600 ± 100 stems/ha (D3), and 3200 ± 100 stems/ha (D4), with three replicates per density level.
Plots were demarcated using compass triangulation and tape measurement, ensuring closure error tolerance within 1/200. Plot boundaries were marked with PVC pipes and delineated by cloth ropes to distinguish bamboo culms inside and outside the plots. Post-establishment, all culms within each plot were surveyed for diameter at breast height (DBH) and culm age. Basic plot characteristics are summarized in Table 1. Throughout the experiment, no management interventions—including fertilization, soil tillage, or top pruning—were applied to the plots.

2.3. Spring Bamboo Shoot Growth Monitoring

Within each density-regulated plot, individual bamboo shoots were labeled using yellow ground stakes. A total of 11 growth surveys were conducted at 3-day intervals from 9 April to 9 May 2023 (33-day duration), recording emergence time, incremental height, and basal diameter at each survey. Shoots below 2 m in height were measured with a steel tape, while those exceeding 2 m were measured using an infrared laser rangefinder for precision.

2.4. Taper Equation Development for Bamboo Shoots

Taper equations describe the relationship between stem diameter and height. Bamboo shoot taper reflects potential culm morphology. We adapted Kozak’s variable-exponent taper equation [27], a widely adopted model for predicting merchantable stem dimensions, by incorporating stand density factors into its exponential component to quantify density-driven morphological variations. Ten density parameters were tested. A nonlinear mixed-effects model was developed by introducing individual-level random effects into the modified Kozak equation [28]. Parameter optimization was performed using the “nlme” package in R (version 4.2.1), with statistical metrics guiding the selection of optimal fixed and random effects.
Base Kozak Taper Equation:
d = b 1 D b 2 H b 3 X b 4 T 4 + b 5 ( 1 e D / H ) + b 6 X 0.1 + b 7 ( 1 D ) + b 8 H Q + b 9 X + ε
X = 1 h H 3 1 1.3 H 3
T = h H
Q = 1 T 3
where d is diameter (cm) at height h (m), h is measurement height above ground (m), D is diameter at breast height (DBH, cm), H is total tree height (m), b1–b9 are model parameters, and ε is error term.
In this study, three commonly used metrics are mainly used to evaluate the model fitting effect: the coefficient of determination (R2), the root mean square error (RMSE), and the total relative error (TRE), and the corresponding formulas are as follows:
R 2 = 1 i = 1 n ( x i x ^ i ) 2 / i = 1 n ( x i x ¯ i ) 2
R M S E = 1 n i = 1 n ( x i x ^ i ) 2
T R E = i = 1 n x i x ^ i / i = 1 n x ^ i
where x i is observed diameter, x ^ i is predicted diameter, and n is number of observations.

2.5. Determination of Carbon Content (Mass Fraction) in Plant Samples

Total carbon content was determined using the potassium dichromate oxidation method with external heating, following the protocol outlined in NY/T 1121.6-2006 [29]. Weigh 0.005–0.015 g of plant material dried to constant weight into a 25 mL hard glass digestion tube. Precisely add 10 mL of 0.4 mol/L potassium dichromate solution (1/6 K2Cr2O7). Rotate the tube to ensure thorough mixing. Place the tube rack into a graphite digestion block preheated to 185–190 °C. Start timing when boiling commences inside the tubes. Carefully control the block temperature to prevent violent boiling. Gently lift and swirl the rack several times during digestion to ensure uniform temperature distribution, maintaining it between 170–180 °C. After precisely 5 ± 0.5 min, remove the rack and allow it to cool briefly. Quantitatively transfer the digestate and residue from the tube into a 250 mL conical flask. Rinse the digestion tube and funnel thoroughly with distilled water, collecting all washings into the conical flask. Adjust the total volume of liquid in the flask to 50–60 mL. Add 3–4 drops of o-phenanthroline indicator solution. Titrate with standardized ferrous sulfate (FeSO4) solution. The endpoint is reached when the solution color changes from orange-yellow through bluish-green to brick red. If the volume of FeSO4 solution consumed in the sample titration is less than one-third of the volume consumed in the blank titration, the analysis should be repeated using a smaller sample weight.
Plant total carbon content (g/kg) = C × (V0 − V) × 3.0 × 1.1/m
where:
  • C = Concentration of the FeSO4 standard solution (mol/L);
  • V = Volume of FeSO4 standard solution consumed in the sample titration (mL);
  • V0 = Volume of FeSO4 standard solution consumed in the blank titration (mL);
  • 3.0 = Molar mass of 1/4 carbon atom (g/mol);
  • m = Sample mass (g);
  • 1.1 = Oxidation correction factor.

2.6. Data Analysis

Data organization was performed using Microsoft Excel 2016. Statistical analyses, including analysis of variance (ANOVA) and post hoc multiple comparisons via the Least Significant Difference (LSD) test, were conducted in IBM SPSS Statistics (Statistical Package for the Social Sciences, IBM, Chicago, IL, USA) 26.0, with statistical significance set at p < 0.05. Normality and homogeneity of variance assumptions were verified using Shapiro–Wilk’s test and Levene’s test, respectively. The variable-exponent taper model was developed in R 4.2.1. Data visualization was executed using Origin 2024 and the “ggplot2” package in R (version 4.2.1).

3. Results

3.1. Shoot Quantity Characteristics

Significant differences in shoot emergence density were observed across density treatments (Figure 2). D1 exhibited the highest shoot density (4450 shoots/ha), significantly exceeding D2 and D4 (p < 0.05), while D4 showed the lowest density (2592 shoots/ha). The shoot emergence peak occurred on 12 April across all plots, followed by a gradual decline starting 18 April (Figure 3). During the peak period (12–18 April), shoot density followed D1 > D2 > D4 > D3 (p < 0.05), with D1 reaching a maximum of 2700 shoots/ha on 12 April. D2 stands exited the peak emergence phase earlier than other treatments.

3.2. Shoot Quality Characteristics

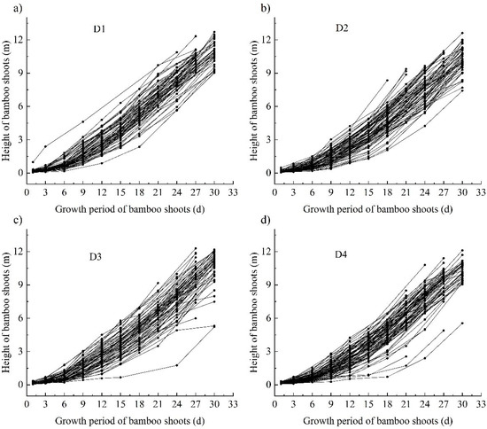
Height growth trajectories of spring shoots displayed distinct phases (Figure 4). All treatments exhibited slow height increments during the first 6 days post-emergence, followed by rapid growth between days 12 and 15. At equivalent growth stages, shoot heights in D2 and D4 were marginally lower than those in D1 and D3. Growth rate curves revealed an initial increase followed by decline, with timing variations across treatments: D1 entered rapid growth 3 days earlier than mid-density treatments (D2, D3) and 6 days earlier than high-density treatment (D4).

3.3. Model Selection and Parameter Estimation Based on Variable Taper Index

By comparing ten different density functions, parameter estimation and statistical testing were conducted using the variable taper index model. With the exception of parameter b9, all other parameters exhibited statistically significant differences from zero (p < 0.05) (Table A1). Among the tested density functions, when the density term was expressed as b 10 s d , the model achieved the highest coefficient of determination (R2) and the lowest root mean square error (RMSE). Therefore, b 10 s d was selected as the optimal density-related exponential term to be incorporated into the model equation, which is expressed as follows:
d = b 1 D b 2 H b 3 X b 4 T 4 + b 5 ( 1 e D / H ) + b 6 X 0.1 + b 7 ( 1 D ) + b 8 H Q + b 9 X + b 10 s d 3 + ε
where d represents the diameter at height h , h is the measurement height above the ground, D is the diameter at breast height (DBH), H is the total tree height, b1~b10 are model parameters to be estimated, ε is the model error term, and s d denotes bamboo stand density (stems/ha).
Using this base model (Equation (8)), we further developed a variable taper index mixed-effects model by incorporating random effects at the individual sample tree level. First, random parameters were determined by considering all possible combinations of fixed and random parameters. However, only biologically meaningful and statistically significant parameter estimations are presented in Table A2, while non-convergent or biologically insignificant parameters were omitted. Nonlinear mixed-effects model fitting was performed and the results showed that among all convergent random parameter combinations, the model fit was optimal when random effects were added to parameters b4 and b10, with the lowest AIC (55,294.034), BIC (5,367.984), and the highest log-likelihood (−2,634.02). Therefore, the final nonlinear mixed-effects model incorporated random effects on b4 and b10, expressed as follows:
d = b 1 D b 2 H b 3 X ( b 4 + μ ) T 4 + b 5 ( 1 e D / H ) + b 6 X 0.1 + b 7 ( 1 D ) + b 8 H Q + b 9 X + ( b 10 + μ ) s d 3 + ε
where d represents the diameter at height h , h is the measurement height above the ground, D is the diameter at breast height (DBH), H is the total tree height, b1~b10 are model parameters to be estimated, ε is the model error term, and s d denotes bamboo stand density (stems/ha).
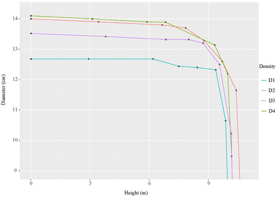
Based on this final model formulation, basal diameter and height measurements of spring bamboo shoots under different density treatments were analyzed. Representative bamboo shoots with basal diameters close to the mean value in each plot were selected for contour estimation (Figure 5). The results indicate that the diameter variation of average shoots at different heights differs among density levels. With increasing stand density, the basal diameter followed the trend D4 > D2 > D3 > D1, whereas shoot taper followed the trend D2 < D3 < D1 < D4.

3.4. Characteristics of Carbon Accumulation During the Bamboo Shoot Period

As illustrated in Figure 6, bamboo stand density influenced the spatial and temporal dynamics of carbon accumulation in spring shoots. Across all treatments, individual shoot carbon storage increased over time. In the early shoot emergence stage, carbon accumulation proceeded at a slow rate, followed by a rapid accumulation phase from 3 May to 9 May. Notably, on 9 May, individual shoot carbon storage was significantly higher than at other sampling points (p < 0.05).
From a phenological perspective, low-density plots (D1) entered the rapid carbon accumulation phase approximately 6 days earlier than other treatments. Standard shoots in D1 and D2 exhibited significantly higher carbon storage on 27 April compared to 15 April (p < 0.05). Similarly, in D3 and D4, carbon storage was significantly higher on May 3 compared to April 15 (p < 0.05).
Throughout the entire shooting period, carbon accumulation trends varied across density treatments. On 15 April (early stage), the order of carbon storage was D1 > D2 > D4 > D3. Subsequently, carbon storage in high-density stands increased, leading to an order of D4 > D3 > D2 > D1 by 27 April. In the late stage (9 May), D1 exhibited the highest carbon accumulation, followed by D1 > D4 > D3 > D2.

3.5. Proportion of Carbon Accumulation in the Shoot Growth Stage

Table 2 presents the proportion of individual shoot carbon accumulation at different growth stages relative to the total growth cycle. In the early stage (0–6 days), the proportion of carbon storage decreased with increasing density, following the order D1 > D2 > D3 > D4. During the mid-stage (12–24 days), D3 had a higher proportion than D2 and D4. In the late stage (30 days), the ranking was D1 > D3 > D4 > D2. Overall, D3 exhibited the highest proportion of shoot-phase carbon accumulation, while D1 had the greatest growth rate in carbon storage proportion. Across all treatments, shoots accumulated approximately 25–33% of their lifetime carbon storage within the 30-day shoot emergence period, highlighting the critical role of this phase in bamboo carbon sequestration.

4. Discussion

In this study, we investigated the regulatory effects of stand density on the growth dynamics, morphological characteristics, and carbon accumulation of moso bamboo spring shoots. Our results indicated that, in low-density stands, the number of shoots increased significantly and the shoots reached the bloom stage earlier. Moreover, carbon storage in individual plants peaked at the end of the shoot emergence period (Figure 6). This phenomenon is likely attributed to the resource acquisition advantages in low-density stands, where plants have access to more light, nutrients, and water, thereby accelerating their growth [30]. Moso bamboo shoots require substantial water and nutrient supply during the explosive growth phase and sap flow dynamics correspond with the growth rate of the shoots. The interannual variation in sap flow is influenced by the leaf area index [31]. Several studies have shown that thinning in North China larch forests reduces canopy depression, increases light intensity, and minimizes competition for sunlight, water, and nutrients, thereby significantly enhancing the number of naturally regenerated seedlings [32]. Distinct density stands exhibit different forest window characteristics, which affect microclimatic conditions such as light and temperature. Large forest windows favor the height, basal diameter, and biomass accumulation of naturally regenerated seedlings [33]. Conversely, small forest windows inhibit the growth of purple linden seedlings due to insufficient light capture [34]. These findings collectively support the positive impact of moderate thinning on plant growth. Notably, the elevated carbon accumulation rate observed in this study aligns with the hypothesis of optimizing carbon storage at medium density levels (60%–80%) proposed by Sterck [35], suggesting that moso bamboo forests can strike a balance between ecological benefits and carbon sequestration through density management.
In contrast, high-density stands exhibited significant phenotypic plasticity effects. Spring shoots in high-density moso bamboo forests had smaller basal diameters and exhibited greater elongation (Figure 5), resulting in a “tall and thin” morphology [36]. This adaptive strategy reflects a survival trade-off under resource constraints, where increased competition for resources in high-density stands reduces the availability of light, nutrients, and water for individual plants [37]. As stand density exceeds a certain threshold, plants prioritize light acquisition through vertical growth, with radial growth being constrained [38]. This mechanism has also been observed in cedar forests [39] and has been reported during the seed germination stage [40].
Additionally, our study highlighted the multi-objective trade-off characteristic of density management, necessitating a balance between increasing tree numbers with lower individual biomass and reducing tree numbers with higher individual biomass [41]. Gini coefficient analysis revealed that with increasing silvicultural density, individual differentiation also increased [42]. This trend led to an increase in the number of small-diameter trees and a decrease in species richness [43]. While high-density stands can enhance total carbon storage by increasing biomass per unit area [44], excessive density adversely affects the biomass accumulation of individual trees [45]. Reducing inter-tree competition can, however, enhance the breast height increment of individual plants [46]. Consequently, moso bamboo forest density management must strike a balance to ensure optimal bamboo shoot production, quality, and carbon accumulation. Additionally, appropriate retention of bamboo shoots during the emergence period is necessary to maintain stand stability. It is important to note that the present study is primarily based on data collected during the bamboo shoot emergence phase and long-term observations are required to verify changes in shoot morphology and carbon allocation patterns during the bamboo-forming stage.

5. Conclusions

The number of emerging bamboo shoots decreased with increasing stand density. Low-density stands exhibited a longer peak period of spring shoot emergence and entered the rapid height growth phase earlier, whereas high-density stands showed delayed shoot emergence and height growth. Spring shoots in the D2 and D4 stands possessed larger basal diameters, with the D2 stand exhibiting smaller taper values. During the late shoot emergence phase (3 May to 9 May), all stands entered a period of rapid carbon accumulation per individual spring shoot. The D1 stand showed higher carbon accumulation in both the early and late stages. Carbon storage in spring shoots accounted for one-quarter to one-third of the total during the growth period, indicating its critical contribution to the overall carbon sequestration of moso bamboo throughout its growth cycle.

Author Contributions

X.Z. (Xuan Zhang) wrote the first draft of manuscript, performed the experimental setup, data collection and curation, and visualization. F.G. designed this study, supervised the research, and acquired the funding. X.Z. (Xiao Zhou), Z.L., D.F., and M.L. performed the fieldwork and data collection. All the coauthors contributed to the discussion, revision, and improvement of the manuscript. All authors have read and agreed to the published version of the manuscript.

Funding

This research was supported by the National Key Research and Development Program of China (No. 2023YFD2201203).

Data Availability Statement

Dataset is available on request from the authors.

Conflicts of Interest

The authors declare no conflicts of interest.

Appendix A

Table A1. Parameter estimation and fitting statistics for chipping equations with different density expressions.
Table A1. Parameter estimation and fitting statistics for chipping equations with different density expressions.
Parameters b10 * sd b10 * sd 3 b10 * sd b10 sd 2 b10 * sd 3 b10 * log (sd) b 10 sd b 10 sd 3 b10/sd b10/ sd >b10/ sd 3 b10/log (sd)
b11.479
(0.098) ***
1.459
(0.096) ***
1.497
(0.100) ***
1.506
(0.101) ***
1.510
(1.011) ***
1.493
(0.099) ***
1.527
(0.102) ***
1.529
(0.102) ***
1.520
(0.102) ***
1.515
(0.101) ***
1.513
(0.101) ***
1.520
(0.102) ***
b20.883
(0.025) ***
0.887
(0.025) ***
0.880
(0.026) ***
0.879
(0.026) ***
0.879
(2.576) ***
0.88
(0.026) ***
0.878
(0.026) ***
0.88
(0.026) ***
0.877
(0.026) ***
0.878
(0.026) ***
0.878
(0.026) ***
0.877
(0.026) ***
b3−0.085
(0.025) ***
−0.082
(0.025) ***
−0.088
(0.025) ***
−0.090
(0.025) ***
−0.090
(2.542) ***
−0.087
(0.025) ***
−0.095
(0.026) ***
−0.097
(0.025) ***
−0.092
(0.025) ***
−0.091
(0.025) ***
−0.090
(0.025) ***
−0.092
(0.025) ***
b40.153
(0.008) ***
0.138
(0.008) ***
0.164
(0.007) ***
0.169
(0.007) ***
0.170
(7.238) ***
0.163
(0.007) ***
0.173
(0.007) ***
0.167
(0.008) ***
0.174
(0.007) ***
0.174
(0.007) ***
0.173
(0.007) ***
0.174
(0.007) ***
b5−0.202
(0.035) ***
−0.187
(0.035) ***
−0.220
(0.036) ***
−0.232
(0.036) ***
−0.238
(3.61) ***
−0.215
(0.036) ***
−0.280
(0.037) ***
−0.304
(0.037) ***
−0.257
(0.036) ***
−0.246
(0.036) ***
−0.243
(0.036) ***
−0.256
(0.036) ***
b6−0.395
(0.016) ***
−0.432
(0.017) ***
−0.366
(0.015) ***
−0.356
(0.015) ***
−0.353
(1.507) ***
−0.37
(0.015) ***
−0.345
(0.015) ***
−0.359
(0.016) ***
−0.341
(0.015) ***
−0.343
(0.015) ***
−0.345
(0.015) ***
−0.341
(0.015) ***
b71.515
(0.163) ***
1.476
(0.162) ***
1.554
(0.164) ***
1.577
(0.165) ***
1.589
(1.650) ***
1.546
(0.164) ***
1.649
(0.166) ***
1.676
(0.165) ***
1.619
(0.165) ***
1.605
(0.165) ***
1.603
(0.165) ***
1.619
(0.165) ***
b80.062
(0.006) ***
0.060
(0.006) ***
0.063
(0.006) ***
0.064
(0.006) ***
0.064
(6.240) ***
0.063
(0.006) ***
0.065
(0.006) ***
0.065
(0.006) ***
0.065
(0.006) ***
0.064
(0.006) ***
0.064
(0.006) ***
0.065
(0.006) ***
b90.025(0.02)0.027
(0.020)
0.023
(0.020)
0.021
(0.020)
0.020
(2.027)
0.023
(0.020)
0.017
(0.020)
0.015
(0.02)
0.019
(0.020)
0.020
(0.020)
0.020
(0.020)
0.019
(0.020)
b100.025
(0.003) ***
0.057
(0.006) ***
0.005
(0.001) ***
0.001
(0.00) ***
0.000
(2.173) ***
0.018
(0.003) ***
0.005
(0.010)
0.034
(0.013) **
−0.016
(0.009)
−0.037
(0.012) **
−0.075
(0.021) ***
−0.006
(0.003)
R20.8290.8320.8270.8260.8250.8270.8240.8250.8250.8250.8250.825
RMSE1.1491.1391.1571.1611.1621.1551.1651.1641.1651.1631.1621.165
rRMSE0.0970.0960.0970.0980.0980.0970.0980.0980.0980.0980.0980.098
MB−0.006−0.006−0.006−0.007−0.007−0.006−0.007−0.007−0.007−0.007−0.006−0.007
TRE0.8930.8770.9050.9110.9130.9020.9180.9150.9170.9140.9130.917
Note: R2 is the coefficient of determination, RMSE is the root-mean-square error, MB is the model mean residual, TRE is the total relative error, and sd is the density of bamboo forests (stem/ha). * indicates p ≤ 0.05, ** indicates p ≤ 0.01, *** indicates p ≤ 0.001.
Table A2. Different combination forms of random effect parameters.
Table A2. Different combination forms of random effect parameters.
ParametersAICBIClogLikR2RMSErRMSETRE
b16799.0806867.358−3387.5400.8371.1220.0940.850
b26792.5726860.850−3384.2860.8391.1170.0940.843
b36792.2946860.572−3384.1470.8391.1160.0940.841
b46656.1346724.411−3316.0670.8750.9820.0820.650
b106142.6016210.879−3059.3000.9430.6610.0560.294
b1, b26794.5726868.540−3384.2860.8391.1170.0940.843
b1, b36794.2946868.262−3384.1470.8391.1160.0940.842
b1, b46658.1346732.101−3316.0670.8750.9820.0820.650
b1, b106144.6016218.569−3059.3000.9430.6610.0560.294
b2, b36794.2946868.262−3384.1470.8391.1160.0940.842
b2, b46658.1346732.101−3316.0670.8750.9820.0820.650
b2, b106144.6016218.569−3059.3000.9430.6610.0560.294
b3, b46658.1346732.101−3316.0670.8750.9820.0820.650
b3, b106144.6016218.569−3059.3000.9430.6610.0560.294
b4, b106118.8696192.837−3046.4350.9490.6260.0530.263

References

  1. State Forestry and Grassland Administration, China Forest Resources Report; China Forestry Publishing House: Beijing, China, 2019; ISBN 978-7-5038-9982-9.
  2. Peng, Z.; Lu, T.; Li, L.; Liu, X.; Gao, Z.; Hu, T.; Yang, X.; Feng, Q.; Guan, J.; Weng, Q.; et al. Genome-Wide Characterization of the Biggest Grass, Bamboo, Based on 10,608 Putative Full-Length cDNA Sequences. BMC Plant Biol. 2010, 10, 116. [Google Scholar] [CrossRef]
  3. Chen, M.; Guo, L.; Ramakrishnan, M.; Fei, Z.; Vinod, K.K.; Ding, Y.; Jiao, C.; Gao, Z.; Zha, R.; Wang, C.; et al. Rapid Growth of Moso Bamboo (Phyllostachys edulis): Cellular Roadmaps, Transcriptome Dynamics, and Environmental Factors. Plant Cell 2022, 34, 3577–3610. [Google Scholar] [CrossRef] [PubMed]
  4. Xiao, J.H. Present Situation and Strategies of Bamboo Industry Development in China. J. Bamboo Res. 2000, 19, 1–5. [Google Scholar]
  5. Lv, B.; Niu, X.B.; Ding, W.R. Effect of Bamboo Density on Shoot Yield of Chimonobambusa Pachystachs Forest. J. Green Sci. Technol. 2024, 26, 157–160. [Google Scholar] [CrossRef]
  6. Huang, J.S.; Shi, X.D.; Zhang, Z.J.; Yu, G.X. Effects of Fertilization and Stand Density on Shoot Yield of Chimonobambusa quadrangularis. World Bamboo Ratt. 2018, 16, 30–36. [Google Scholar] [CrossRef]
  7. Zhu, T.S.; He, C.F. The Influence of Different Stand Densities on the Number of Divisions and Growth Traits of Moso Bamboo. Agric. Technol. 2015, 35, 89–90. [Google Scholar] [CrossRef]
  8. Chen, C.H.; Lai, Y.L.; Yang, C.; Chen, Y.G.; Liu, Z.X.; Zhang, Z.W. Effect of Density on Growth of Phyllostachys pubescens in Chongyang. Hubei For. Sci. Technol. 2016, 45, 10–14. [Google Scholar]
  9. Lin, L.B. Responses of Pleioblastus amarus phenotypic plasticity to the changes of plantation density. J. Jiangsu For. Sci. Technol. 2018, 45, 11–14+17. [Google Scholar] [CrossRef]
  10. Lin, X.C.; Huang, B.H.; Sun, P.J.; Yuan, X.L.; Hu, C.Z.; Fang, W. Study on the Standing Bamboo Density and Fertilization Effect in Bitter Bamboo Forests. For. Sci. Technol. 2007, 32, 19–22. [Google Scholar] [CrossRef]
  11. Liu, H.Y.; Wang, Z.; Xu, Y.W.; Ge, X.G.; Zhou, B.Z.; Jiang, Z.L. Characteristics of Carbon Storage in Phyllostulis pubescens Ecosystem with Different Stand Densities. Chin. Agric. Sci. Bull. 2022, 38, 17–21. [Google Scholar] [CrossRef]
  12. Wu, L.R.; Zhong, H.; Gao, G.B.; Pan, Y.H. The Relationship between the Density and Bamboo-shoots Yield of the Shoots andBamboo Dual-purpose Moso Bamboo Forests. J. Bamboo Res. 2014, 33, 25–28. [Google Scholar] [CrossRef]
  13. You, D.L. The influence of vertical bamboo structure and fertilization on the growth of bamboo shoots in bitter bamboo forests. Mod. Agric. Sci. Technol. 2012, 14, 127–129. [Google Scholar] [CrossRef]
  14. Li, C.; Zhou, G.M.; Shi, Y.J.; Zhou, Y.F.; Xu, X.J.; Zhang, Y.P.; Fan, Y.Q.; Shen, Z.M. Effects of old bamboo forests and relevant management measures on growth of new bamboo forests. Acta Ecol. Sin. 2016, 36, 2243–2254. [Google Scholar]
  15. Forrester, D.I.; Ammer, C.; Annighöfer, P.J.; Barbeito, I.; Bielak, K.; Bravo-Oviedo, A.; Coll, L.; Del Río, M.; Drössler, L.; Heym, M.; et al. Effects of Crown Architecture and Stand Structure on Light Absorption in Mixed and Monospecific Fagus Sylvatica and Pinus Sylvestris Forests along a Productivity and Climate Gradient through Europe. J. Ecol. 2018, 106, 746–760. [Google Scholar] [CrossRef]
  16. Lochhead, K.D.; Comeau, P.G. Relationships between Forest Structure, Understorey Light and Regeneration in Complex Douglas-Fir Dominated Stands in South-Eastern British Columbia. For. Ecol. Manag. 2012, 284, 12–22. [Google Scholar] [CrossRef]
  17. Farooq, T.H.; Shakoor, A.; Rashid, M.H.U.; Zhang, S.; Wu, P.; Yan, W. Annual Growth Progression, Nutrient Transformation, and Carbon Storage in Tissues of Cunninghamia Lanceolata Monoculture in Relation to Soil Quality Indicators Influenced by Intraspecific Competition Intensity. J. Soil. Sci. Plant Nutr. 2021, 21, 3146–3158. [Google Scholar] [CrossRef]
  18. Zhou, G.M.; Jiang, P.K.; Mo, L.F. Bamboo: A possible approach to the control of global warming. Int. J. Nonlinear Sci. Numer. Simul. 2009, 10, 547–550. [Google Scholar]
  19. Lobovikov, M.; Schoene, D.; Yping, L. Bamboo in Climate Change and Rural Livelihoods. Mitig. Adapt. Strat. Glob. Change 2012, 17, 261–276. [Google Scholar] [CrossRef]
  20. Liu, E.B.; Shi, Y.J.; Li, Y.F.; Zhou, G.M. Carbon Sequetration Potential of Moso Bamboo Forest in Zhejiang Province Based on the Non-Spatial Structure. Sci. Silvae Sin. 2012, 48, 9–14. [Google Scholar] [CrossRef]
  21. Kang, F.; Li, X.; Du, H.; Mao, F.; Zhou, G.; Xu, Y.; Huang, Z.; Ji, J.; Wang, J. Spatiotemporal Evolution of the Carbon Fluxes from Bamboo Forests and Their Response to Climate Change Based on a BEPS Model in China. Remote Sens. 2022, 14, 366. [Google Scholar] [CrossRef]
  22. Zhang, R.; Shen, G.C.; Zhang, X.D.; Zhang, L.; Gao, S.H. Carbon stock and sequestration of a Phyllostachys edulis forest in Changning, Sichuan Province. Acta Ecol. Sin. 2014, 34, 3592–3601. [Google Scholar] [CrossRef]
  23. Wang, B.; Yang, P.Q.; Guo, Q.R.; Zhao, G.D.; Fang, K. Carbon Storage and Allocation of Phyllostachys edulis Forest and Evergreen Broad-leaved Forest in Dagangshan Mountain, Jiangxi. Guihaia 2011, 31, 342–348. [Google Scholar] [CrossRef]
  24. Liu, Y.-H.; Yen, T.-M. Assessing Aboveground Carbon Storage Capacity in Bamboo Plantations with Various Species Related to Its Affecting Factors across Taiwan. For. Ecol. Manag. 2021, 481, 118745. [Google Scholar] [CrossRef]
  25. Yiping, L.; Yanxia, L.; Buckingham, K.; Henley, G.; Guomo, Z. Bamboo and Climate Change Mitigation: A comparative analysis of carbon sequestration. Int. Netw. Bamboo Ratt. 2010, 32, 1–28. [Google Scholar]
  26. Devi, A.S.; Singh, K.S. Carbon Storage and Sequestration Potential in Aboveground Biomass of Bamboos in North East India. Sci. Rep. 2021, 11, 837. [Google Scholar] [CrossRef]
  27. Kozak, A. My last words on taper equations. For. Chron. 2004, 80, 507–515. [Google Scholar] [CrossRef]
  28. Schröder, T.; Costa, E.A.; Valério, A.F.; Lisboa, S.G. Taper equations for Pinus elliottii engelm in southern paraná, brazil. For. Sci. 2015, 61, 311–319. [Google Scholar] [CrossRef]
  29. NY/T 1121.6-2006; Soil Testing Part 6: Method for Determination of Soil Organic Matter. Standrds Press of China: Beijing, China, 2006.
  30. Kholdaenko, Y.A.; Belokopytova, L.V.; Zhirnova, D.F.; Upadhyay, K.K.; Tripathi, S.K.; Koshurnikova, N.N.; Sobachkin, R.S.; Babushkina, E.A.; Vaganov, E.A. Stand Density Effects on Tree Growth and Climatic Response in Picea Obovata Ledeb. Plantations. For. Ecol. Manag. 2022, 519, 120349. [Google Scholar] [CrossRef]
  31. Zhang, M.; Chen, S.; Jiang, H.; Cao, Q. The Water Transport Profile of Phyllostachys Edulis during the Explosive Growth Phase of Bamboo Shoots. Glob. Ecol. Conserv. 2020, 24, e01251. [Google Scholar] [CrossRef]
  32. Huang, D.C.; Guo, X.; Wang, D.X.; Wang, Y.S.; Zhang, X.; Huo, X.Y. Effects of Different Management Methods on Stand Growth and Understory Vegetation of Larix principis-rupprechtii in Qinling Mountains. Sci. Silvae Sin. 2024, 60, 58–66. [Google Scholar] [CrossRef]
  33. Hu, Y.Z. Effects of Aspect and Gap Size on Numbers and Growth of Natural Regeneration Seedlings in Pinus tabulaeformis Plantation. Prot. For. Sci. Technol. 2019, 195, 11–13. [Google Scholar] [CrossRef]
  34. Hanxuan, F.; Guanzhou, X.; Fangyuan, S.; Lixue, Y. Effects of small forest gaps on the growth and leaf traits of artificially regenerated Tilia amurensis. J. Cent. South Univ. For. Technol. 2023, 43, 7–15. [Google Scholar] [CrossRef]
  35. Sterck, F.F.; Vos, M.A.; Hannula, S.E.S.; de Goede, S.S.; de Vries, W.W.; den Ouden, J.J.; Nabuurs, G.J.G.; van der Putten, W.W.; Veen, C.G. Optimizing Stand Density for Climate-Smart Forestry: A Way Forward towards Resilient Forests with Enhanced Carbon Storage under Extreme Climate Events. Soil. Biol. Biochem. 2021, 162, 108396. [Google Scholar] [CrossRef]
  36. Hu, W.J.; Pang, H.D.; Hu, X.Y.; Hu, J.L.; Li, K. Influences of Different Management Measures on Morphological Characteristics and Yield of Low Yielding Phyllostachys edulis Forest of Bamboo Shoots in Southern Hubei Province. J. Southwest For. Univ. 2019, 39, 86–91. [Google Scholar] [CrossRef]
  37. Vospernik, S.; Sterba, H. Do Competition-Density Rule and Self-Thinning Rule Agree? Ann. For. Sci. 2015, 72, 379–390. [Google Scholar] [CrossRef]
  38. Fransson, P.; Brännström, A.; Franklin, O. A tree’s quest for light–optimal height and diameter growth under a shading canopy. Tree Physiol 2020, 41, 1–11. [Google Scholar] [CrossRef]
  39. Zhang, S.S.; Duan, A.G.; Zhang, J.G.; Sun, J.J. Studies on Variable-density and Variable-exponent Taper Equation for Cunninghamia lanceolata Plantations. South China For. Sci. 2021, 49, 51–56+60. [Google Scholar] [CrossRef]
  40. Shi, H.H.; Xue, Q.; Yu, Z.L.; Wang, C.H. Effects of Density and Species Proportion on Intraspecific and Interspecific Interactions Between Salt Marsh Plants During Seed Germination. Chin. J. Plant Ecol. 2023, 47, 77–87. [Google Scholar] [CrossRef]
  41. Feng, H.; Xue, L. Competition-Density Effect of Tree Organs in Acacia Auriculiformis Stands. J. For. Res. 2019, 30, 891–898. [Google Scholar] [CrossRef]
  42. Yang, G.J.; Hu, H.F.; Sun, H.G.; Zhang, J.G.; Duan, A.G. The Influences of Stand Age, Planting Density and Self-Thinning on Relationship between Size Ineauality and Periodic Annual Increment in Chinese Fir (Cunninghamia lanceolata) Plantations. Sci. Silvae Sin. 2019, 55, 127–136. [Google Scholar] [CrossRef]
  43. Chen, B.; Liu, S.; Yu, J.; Huang, Y.; Yu, S.; Liu, H.; Zhang, T.; Liu, X.; Jin, G.; Chen, W.; et al. Stand Biomass of Pinus Sylvestris Var. Mongolica Plantations Benefits from High Density Monocultures in the Boreal Zone. For. Ecosyst. 2024, 11, 100222. [Google Scholar] [CrossRef]
  44. Long, J.N.; Vacchiano, G. A Comprehensive Framework of Forest Stand Property–Density Relationships: Perspectives for Plant Population Ecology and Forest Management. Ann. For. Sci. 2014, 71, 325–335. [Google Scholar] [CrossRef]
  45. Burkhart, H.E.; Tomé, M. Modeling Forest Trees and Stands; Springer: Dordrecht, The Netherlands, 2012; ISBN 978-94-007-1597-4. [Google Scholar]
  46. Looney, C.E.; Brodie, E.G.; Fettig, C.J.; Ritchie, M.W.; Knapp, E.E. Ecological Forestry Treatments Affect Fine-Scale Attributes within Large Experimental Units to Influence Tree Growth, Vigor, and Mortality in Ponderosa Pine/White Fir Forests in California, U.S. For. Ecol. Manag. 2024, 561, 121814. [Google Scholar] [CrossRef]
Figure 1. Location of the study area.
Figure 1. Location of the study area.
Forests 16 01098 g001
Figure 2. Shoot production characteristics in moso bamboo stands with different densities. Note: Error bars indicate the standard deviation (n = 3). Different letters indicate significant differences between densities (p < 0.05).
Figure 2. Shoot production characteristics in moso bamboo stands with different densities. Note: Error bars indicate the standard deviation (n = 3). Different letters indicate significant differences between densities (p < 0.05).
Forests 16 01098 g002
Figure 3. Temporal variation in spring shoot numbers of moso bamboo stands with different densities.
Figure 3. Temporal variation in spring shoot numbers of moso bamboo stands with different densities.
Forests 16 01098 g003
Figure 4. (ad) Characteristics of spring shoot height change with time in D1–D4 density stands.
Figure 4. (ad) Characteristics of spring shoot height change with time in D1–D4 density stands.
Forests 16 01098 g004
Figure 5. Prediction of average spring shoot silhouette in moso bamboo stands of different densities.
Figure 5. Prediction of average spring shoot silhouette in moso bamboo stands of different densities.
Forests 16 01098 g005
Figure 6. (ad) Temporal variation in carbon storage per individual bamboo shoot within D1-D4 density forest stand sample plots. Note: * Indicates p ≤ 0.05, ** indicates p ≤ 0.01, *** indicates p ≤ 0.001.
Figure 6. (ad) Temporal variation in carbon storage per individual bamboo shoot within D1-D4 density forest stand sample plots. Note: * Indicates p ≤ 0.05, ** indicates p ≤ 0.01, *** indicates p ≤ 0.001.
Forests 16 01098 g006
Table 1. Basic information of the sample sites.
Table 1. Basic information of the sample sites.
DensityPlotStand Density (Steams/ha)Mean DBH (cm)Altitude (m)
D11145010.29116
2150011.24114
3132510.96101
D24190010.41107
5195011.31109
6210011.29111
D37267511.25108
826009.41115
9257510.67110
D410330010.47120
11325010.85128
12317510.36126
Table 2. The proportion of carbon storage single plant in different growth stages of moso bamboo.
Table 2. The proportion of carbon storage single plant in different growth stages of moso bamboo.
DensityGrowth Period (d)
6121824302190
D10.07 ± 0.03 a
(0.78% ± 0.20% a)
0.27 ± 0.07 a
3.15% ± 0.98% a)
0.41 ± 0.10 a
(4.69% ± 0.95% a)
0.84 ± 0.32 a
(9.45% ± 1.86% a)
2.50 ± 0.19 a
(29.72% ± 8.20% a)
8.75 ± 1.89 a
(100.00% ± 0.00% a)
D20.06 ± 0.02 a
(0.70% ± 0.13% a)
0.23 ± 0.03 a
(3.01% ± 1.26% a)
0.59 ± 0.10 a
(7.17% ± 0.64% a)
0.83 ± 0.13 a
(10.13% ± 1.56% a)
1.91 ± 0.41 a
(24.39% ± 10.63% a)
8.36 ± 2.02 a
(100.00% ± 0.00% a)
D30.04 ± 0.02 a
(0.53% ± 0.32% a)
0.26 ± 0.07 a
(3.42% ± 0.45% a)
0.59 ± 0.12 a
(8.35% ± 3.88% a)
0.84 ± 0.08 a
(11.75% ± 4.38% a)
1.99 ± 0.60 a
(28.07% ± 13.14% a)
7.84 ± 2.72 a
(100.00% ± 0.00% a)
D40.05 ± 0.02 a
(0.47% ± 0.17% a)
0.25 ± 0.07 a
(2.83% ± 1.18% a)
0.70 ± 0.29 a
(7.51% ± 2.58% a)
0.86 ± 0.34 a
(9.47% ± 3.96% a)
2.34 ± 0.78 a
(26.48% ± 11.48% a)
9.42 ± 3.34 a
(100.00% ± 0.00% a)
Note: Different lowercase letters denote significant differences between densities at the same time point.
Disclaimer/Publisher’s Note: The statements, opinions and data contained in all publications are solely those of the individual author(s) and contributor(s) and not of MDPI and/or the editor(s). MDPI and/or the editor(s) disclaim responsibility for any injury to people or property resulting from any ideas, methods, instructions or products referred to in the content.

Share and Cite

MDPI and ACS Style

Zhang, X.; Guan, F.; Zhou, X.; Li, Z.; Fu, D.; Li, M. Characterization of Shoot Growth and Carbon Accumulation in Moso Bamboo Based on Different Stand Densities. Forests 2025, 16, 1098. https://doi.org/10.3390/f16071098

AMA Style

Zhang X, Guan F, Zhou X, Li Z, Fu D, Li M. Characterization of Shoot Growth and Carbon Accumulation in Moso Bamboo Based on Different Stand Densities. Forests. 2025; 16(7):1098. https://doi.org/10.3390/f16071098

Chicago/Turabian Style

Zhang, Xuan, Fengying Guan, Xiao Zhou, Zheng Li, Dawei Fu, and Minkai Li. 2025. "Characterization of Shoot Growth and Carbon Accumulation in Moso Bamboo Based on Different Stand Densities" Forests 16, no. 7: 1098. https://doi.org/10.3390/f16071098

APA Style

Zhang, X., Guan, F., Zhou, X., Li, Z., Fu, D., & Li, M. (2025). Characterization of Shoot Growth and Carbon Accumulation in Moso Bamboo Based on Different Stand Densities. Forests, 16(7), 1098. https://doi.org/10.3390/f16071098

Note that from the first issue of 2016, this journal uses article numbers instead of page numbers. See further details here.

Article Metrics

Back to TopTop