Assessing Forest Degradation in the Congo Basin: The Need to Broaden the Focus from Logging to Small-Scale Agriculture (A Systematic Review)
Abstract
1. Introduction
2. Materials and Methods
2.1. Bibliographical Research and Articles Selection
2.2. Articles Analysis and Data Extraction
3. Results and Discussion
3.1. Selected Articles
3.2. Towards a Typology of Anthropogenic Causes of Forest Degradation Relevant to Monitoring Forest Degradation in the Congo Basin
3.2.1. Selective Industrial Timber Harvesting
| Categories | Sub-Categories | Other Sub-Categories | Articles (Number) | Articles (%) | Ref. |
|---|---|---|---|---|---|
| Selective wood extraction | Timber | Industrial forest logging | 74 | 63.8% | [10,26,36,38,41,42,44,48,49,50,51,52,53,54,55,56,57,58,59,60,61,62,63,64,65,66,67,68,69,70,71,72,73,74,75,76,77,78,79,80,81,82,83,84,85,86,87,88,89,90,91,92,93,94,95,96,97,98,99,100,101,102,103,104,105,106,107,108,109,110,111,112,113,114] |
| Artisanal forest logging | 10 | 8.7% | [41,84,111,114,115,116,117,118,119,120] | ||
| No specified | 5 | 4.3% | [121,122,123,124,125] | ||
| Wood energy | Charcoal production and fuel wood production | 6 | 5.2% | [10,115,119,126,127,128] | |
| Agriculture | Shifting cultivation with slash-and-burn or small-scale agriculture | 33 | 28.7% | [36,41,48,52,80,84,88,90,92,99,115,117,118,119,120,123,128,129,130,131,132,133,134,135,136,137,138,139,140,141,142,143,144] | |
| cash crops or agroforests | 9 | 7.8% | [36,41,129,130,133,134,142,145,146] | ||
| No specified | 1 | 0.9% | [147] | ||
| Anthropogenic fires | 14 | 12.2% | [10,86,90,122,124,125,128,134,140,147,148,149,150,151] | ||
| Hunting | 9 | 7.8% | [58,65,71,94,99,100,122,152,153] | ||
| Collection of Non-Timber Forest Products (NTFPs) | 8 | 7.0% | [92,100,119,122,154,155,156,157] | ||
| Livestock grazing in forest | 5 | 4.3% | [100,122,125,128,147] | ||
3.2.2. Selective Artisanal Forest Logging
3.2.3. Wood Charcoal Production or Fuel Wood Production
3.2.4. Shifting Cultivation with Slash-And-Burn
3.2.5. Anthropogenic Fires
3.2.6. The Collection of Non-Timber Forest Products (NTFPs)
3.2.7. Hunting
3.3. Approaches for Characterizing the Degradation of Dense Tropical Forests in the Congo Basin
3.3.1. Forest Degradation Indicators and Measurement Approaches
3.3.2. Relative Importance of Different Causes of Forest Degradation
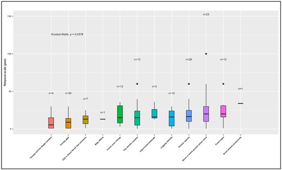
3.3.3. Considering the Temporal Scale
4. Conclusions
Author Contributions
Funding
Data Availability Statement
Conflicts of Interest
References
- Stephenson, N.L.; Das, A.J.; Condit, R.; Russo, S.E.; Baker, P.J.; Beckman, N.G.; Coomes, D.A.; Lines, E.R.; Morris, W.K.; Rüger, N.; et al. Rate of Tree Carbon Accumulation Increases Continuously with Tree Size. Nature 2014, 507, 90–93. [Google Scholar] [CrossRef] [PubMed]
- Hubau, W.; Lewis, S.L.; Phillips, O.L.; Affum-Baffoe, K.K.; Beeckman, H.; Cuni-Sanchez, A.; Daniels, A.K.; Ewango, C.E.N.; Fauset, S.; Mukinzi, J.M.; et al. Asynchronous Carbon Sink Saturation in African and Amazonian Tropical Forests. Nature 2020, 579, 80–87. [Google Scholar] [CrossRef] [PubMed]
- Réjou-Méchain, M.; Mortier, F.; Bastin, J.-F.; Cornu, G.; Barbier, N.; Bayol, N.; Bénédet, F.; Bry, X.; Dauby, G.; Deblauwe, V.; et al. Unveiling African Rainforest Composition and Vulnerability to Global Change. Nature 2021, 593, 90–94. [Google Scholar] [CrossRef] [PubMed]
- Hosonuma, N.; Herold, M.; De Sy, V.; De Fries, R.S.; Brockhaus, M.; Verchot, L.; Angelsen, A.; Romijn, E. An Assessment of Deforestation and Forest Degradation Drivers in Developing Countries. Environ. Res. Lett. 2012, 7, 044009. [Google Scholar] [CrossRef]
- Vásquez-Grandón, A.; Donoso, P.J.; Gerding, V. Forest Degradation: When Is a Forest Degraded? Forests 2018, 9, 726. [Google Scholar] [CrossRef]
- Gao, Y.; Skutsch, M.; Paneque-Gálvez, J.; Ghilardi, A. Remote Sensing of Forest Degradation: A Review. Environ. Res. Lett. 2020, 15, 103001. [Google Scholar] [CrossRef]
- Nepstad, D.C.; Veríssimo, A.; Alencar, A.; Nobre, C.; Lima, E.; Lefebvre, P.; Schlesinger, P.; Potter, C.; Moutinho, P.; Mendoza, E.; et al. Large-Scale Impoverishment of Amazonian Forests by Logging and Fire. Nature 1999, 398, 505–508. [Google Scholar] [CrossRef]
- Sasaki, N.; Putz, F.E. Critical Need for New Definitions of “Forest” and “Forest Degradation” in Global Climate Change Agreements. Conserv. Lett. 2009, 2, 226–232. [Google Scholar] [CrossRef]
- Hirschmugl, M.; Steinegger, M.; Gallaun, H.; Schardt, M. Mapping Forest Degradation Due to Selective Logging by Means of Time Series Analysis: Case Studies in Central Africa. Remote Sens. 2014, 6, 756–775. [Google Scholar] [CrossRef]
- Pearson, T.R.H.; Brown, S.; Murray, L.; Sidman, G. Greenhouse Gas Emissions from Tropical Forest Degradation: An Underestimated Source. Carbon Balance Manag. 2017, 12, 3. [Google Scholar] [CrossRef]
- Qin, Y.; Xiao, X.; Wigneron, J.P.; Ciais, P.; Brandt, M.; Fan, L.; Li, X.; Crowell, S.; Wu, X.; Doughty, R.; et al. Carbon Loss from Forest Degradation Exceeds That from Deforestation in the Brazilian Amazon. Nat. Clim. Chang. 2021, 11, 442–448. [Google Scholar] [CrossRef]
- FAO. Évaluation des Ressources Forestières Mondiales 2020, Principaux Résultats; FAO: Rome, Italy, 2020. [Google Scholar] [CrossRef]
- Ernst, C.; Mayaux, P.; Verhegghen, A.; Bodart, C.; Christophe, M.; Defourny, P. National Forest Cover Change in Congo Basin: Deforestation, Reforestation, Degradation and Regeneration for the Years 1990, 2000 and 2005. Glob. Change Biol. 2013, 19, 1173–1187. [Google Scholar] [CrossRef] [PubMed]
- Angelsen, A.; Brockhaus, M.; Sunderlin, W.D.; Verchot, L. (Eds.) Analysing REDD+: Challenges and Choices; CIFOR: Bogor, Indonesia, 2012; (In Japanese). [Google Scholar] [CrossRef]
- Simula, M. Vers une Définition de la Dégradation des Forêts: Analyse Comparative des Définitions Existantes; FAO: Rome, Italy, 2009. [Google Scholar]
- Conseil de l’UE. Le Conseil Approuve de Nouvelles Règles Afin de Réduire la Déforestation et la Dégradation Des Forêts à l’Échelle Mondiale. Communiqué de Presse du 28 Juin 2022. Available online: https://www.consilium.europa.eu/fr/press/press-releases/2022/06/28/council-agrees-on-new-rules-to-drive-down-deforestation-and-forest-degradation/ (accessed on 20 March 2024).
- République du Congo. Strategie Nationale Redd+ de la Republique du Congo. 2016. Available online: https://www.cafi.org/sites/default/files/2021-02/RCongo%20National%20REDD%2B%20Strategy-%20%20validated%20version%2016%20July%202016%29%20%281%29.pdf (accessed on 15 January 2024).
- Conseil National Climat de la République du Gabon. Gabon’s Proposed National REDD + Forest Reference Level. 2021. Available online: https://redd.unfccc.int/media/gabon_frl_submitted_feb2021.pdf (accessed on 15 January 2024).
- République du Congo. Niveau d’émission de Référence des Forêts Pour la Réduction des Émissions Dues à la Déforestation En République Démocratique du Congo. 2018. Available online: https://redd.unfccc.int/media/2018_frel_submission_drc.pdf (accessed on 15 January 2024).
- Thompson, I.D.; Guariguata, M.R.; Okabe, K.; Bahamondez, C.; Nasi, R.; Heymell, V.; Sabogal, C. An Operational Framework for Defining and Monitoring Forest Degradatio. Ecol. Soc. 2013, 18, 23p. [Google Scholar] [CrossRef]
- Dupuis, C.; Lejeune, P.; Michez, A.; Fayolle, A. How Can Remote Sensing Help Monitor Tropical Moist Forest Degradation?—A Systematic Review. Remote Sens. 2020, 12, 1087. [Google Scholar] [CrossRef]
- Ghazoul, J.; Burivalova, S.; Garcia-Ulloa, J.; King, A.L. Conceptualizing Forest Degradation. Trends Ecol. Evol. 2015, 30, 622–632. [Google Scholar] [CrossRef]
- Moher, D.; Liberati, A.; Tetzlaff, J.; Altman, D.G.; PRISMA, T.G. Preferred Reporting Items for Systematic Reviews and Meta-Analyses: The PRISMA Statement. PLoS Med. 2009, 6, e1000097. [Google Scholar] [CrossRef]
- Murdiyarso, D.; Skutsch, M.; Guariguata, M.; Kanninen, M.; Luttrell, C.; Verweij, P.; Martins, S.O. How Do We Measure and Monitor Forest Degradation? In Moving Ahead with REDD Issues, Options and Implications; Angelsen, A., Ed.; CIFOR: Bogor, Indonesia, 2008; pp. 99–156. [Google Scholar]
- Abernethy, K.A.; Coad, L.; Taylor, G.; Lee, M.E.; Maisels, F. Extent and Ecological Consequences of Hunting in Central African Rainforests in the Twenty-First Century. Philos. Trans. R. Soc. B Biol. Sci. 2013, 368, 20120303. [Google Scholar] [CrossRef]
- Hirschmugl, M.; Gallaun, H.; Dees, M.; Datta, P.; Deutscher, J.; Koutsias, N.; Schardt, M. Methods for Mapping Forest Disturbance and Degradation from Optical Earth Observation Data: A Review. Curr. For. Rep. 2017, 3, 32–45. [Google Scholar] [CrossRef]
- Poudyal, H.B.; Maraseni, T.; Cockfield, G.; Hari Poudyal, B.; Maraseni, T.; Cockfield, G. Evolutionary Dynamics of Selective Logging in the Tropics: A Systematic Review of Impact Studies and Their Effectiveness in Sustainable Forest Management. For. Ecol. Manag. 2018, 430, 166–175. [Google Scholar] [CrossRef]
- Mitchell, A.L.; Rosenqvist, A.; Mora, B. Current Remote Sensing Approaches to Monitoring Forest Degradation in Support of Countries Measurement, Reporting and Verification (MRV) Systems for REDD+. Carbon Balance Manag. 2017, 12, 9. [Google Scholar] [CrossRef]
- Jackson, C.M.; Adam, E. Remote Sensing of Selective Logging in Tropical Forests: Current State and Future Directions. iForest 2020, 13, 286–300. [Google Scholar] [CrossRef]
- André, M.; Mahy, G.; Lejeune, P.; Bogaert, J. Vers une Synthèse de la Conception et une Définition des Zones Dans le Gradient Urbain-Rural. Base 2014, 18, 61–74. [Google Scholar]
- Lewis, S.L.; Sonké, B.; Sunderland, T.; Begne, S.K.; Lopez-Gonzalez, G.; van der Heijden, G.M.F.; Phillips, O.L.; Affum-Baffoe, K.; Baker, T.R.; Banin, L.; et al. Above-Ground Biomass and Structure of 260 African Tropical Forests. Philos. Trans. R. Soc. B Biol. Sci. 2013, 368, 20120295. [Google Scholar] [CrossRef] [PubMed]
- Chave, J.; Andalo, C.; Brown, S.; Cairns, M.A.; Chambers, J.Q.; Eamus, D.; Fölster, H.; Fromard, F.; Higuchi, N.; Kira, T.; et al. Tree Allometry and Improved Estimation of Carbon Stocks and Balance in Tropical Forests. Oecologia 2005, 145, 87–99. [Google Scholar] [CrossRef]
- Picard, N. Dispositifs Permanents Pour le Suivi des Forêts en Afrique Centrale: Un État des Lieux. HAL 2007, cirad-00146347. [Google Scholar]
- White, L.J.T.; Masudi, E.B.; Ndongo, J.D.; Matondo, R.; Soudan-Nonault, A.; Ngomanda, A.; Averti, I.S.; Ewango, C.E.N.; Sonké, B.; Lewis, S.L. Congo Basin Rainforest—Invest US$150 Million in Science. Nature 2021, 598, 411–414. [Google Scholar] [CrossRef]
- Kissinger, G.M.; Herold, V.D.S. Drivers of Deforestation and Forest Degradation; Lexeme Consulting: Vancouver, QC, Canada, 2012. [Google Scholar]
- Molinario, G.; Hansen, M.; Potapov, P.; Tyukavina, A.; Stehman, S. Contextualizing Landscape-Scale Forest Cover Loss in the Democratic Republic of Congo (DRC) between 2000 and 2015. Land 2020, 9, 23. [Google Scholar] [CrossRef]
- Tchatchou, B.; Sonwa, D.J.; Ifo, S.; Tiani, A.M. Déforestation et Dégradation des Forêts Dans le Bassin du Congo: État des Lieux, Causes Actuelles et Perspectives; Center for International Forestry Research (CIFOR) and World Agroforestry Centre (ICRAF): Bogor, Indonesia, 2015. [Google Scholar] [CrossRef]
- Chervier, C.; Ximenes, A.C.; Mihigo, B.P.N.; Doumenge, C. Impact of Industrial Logging Concession on Deforestation and Forest Degradation in the DRC. World Dev. 2024, 173, 106393. [Google Scholar] [CrossRef]
- Bayol, N.; Borie, J.-M. Itinéraires Techniques d’aménagement Des Forêts de Production En Afrique Centrale. Bois For. Trop. 2004, 281, 35–49. [Google Scholar]
- Karsenty, A.; Ferron, C. Recent Evolutions of Forest Concessions Status and Dynamics in Central Africa. Int. For. Rev. 2017, 19, 10–26. [Google Scholar] [CrossRef]
- Shapiro, A.; D’Annunzio, R.; Desclée, B.; Jungers, Q.; Kondjo, H.K.; Iyanga, J.M.; Gangyo, F.I.; Nana, T.; Obame, C.V.; Milandou, C.; et al. Small Scale Agriculture Continues to Drive Deforestation and Degradation in Fragmented Forests in the Congo Basin (2015–2020). Land Use Policy 2023, 134, 106922. [Google Scholar] [CrossRef]
- Sullivan, M.K.; Vleminckx, J.; Bissiemou, P.A.M.; Niangadouma, R.; Mayoungou, M.I.; Temba, J.L.; Bénédet, F.; Abernethy, K.; Queenborough, S.A.; Comita, L.S. Low-Intensity Logging Alters Species and Functional Composition, but Does Not Negatively Impact Key Ecosystem Services in a Central African Tropical Forest. Glob. Ecol. Conserv. 2024, 53, e02996. [Google Scholar] [CrossRef]
- Burivalova, Z.; Şekercioǧlu, Ç.H.; Koh, L.P. Thresholds of Logging Intensity to Maintain Tropical Forest Biodiversity. Curr. Biol. 2014, 24, 1893–1898. [Google Scholar] [CrossRef] [PubMed]
- Decocq, G.; Beina, D.; Jamoneau, A.; Gourlet-Fleury, S.; Closset-Kopp, D. Don’t Miss the Forest for the Trees! Evidence for Vertical Differences in the Response of Plant Diversity to Disturbance in a Tropical Rain Forest. Perspect. Plant Ecol. Evol. Syst. 2014, 16, 279–287. [Google Scholar] [CrossRef]
- Durrieu de Madron, L.; Fontez, B.; Dipapoundji, B. Dégats d’exploitation et de Débardage En Fonction de l’intensité d’exploitation En Forêt Dense Humide d’Afrique Centrale. Bois For. Trop. 2000, 264, 57–60. [Google Scholar]
- Sist, P.; Ferreira, F.N. Sustainability of Reduced-Impact Logging in the Eastern Amazon. For. Ecol. Manag. 2007, 243, 199–209. [Google Scholar] [CrossRef]
- Clark, C.J.; Poulsen, J.R.; Malonga, R.; Elkan, P.W. Logging Concessions Can Extend the Conservation Estate for Central African Tropical Forests. Conserv. Biol. 2009, 23, 1281–1293. [Google Scholar] [CrossRef]
- Gemerden, V.S.B.; Shu, N.G.; Olff, H. Recovery of Conservation Values in Central African Rain Forest after Logging and Shifting Cultivation. Biodivers. Conserv. 2003, 12, 1553–1570. [Google Scholar] [CrossRef]
- Hall, J.S.; Harris, D.J.; Medjibe, V.; Ashton, P.M.S. The Effects of Selective Logging on Forest Structure and Tree Species Composition in a Central African Forest: Implications for Management of Conservation Areas. For. Ecol. Manag. 2003, 183, 249–264. [Google Scholar] [CrossRef]
- De Wasseige, C.; Defourny, P.; De Wasseige, C.; Defourny, P. Remote Sensing of Selective Logging Impact for Tropical Forest Management. For. Ecol. Manag. 2004, 188, 161–173. [Google Scholar] [CrossRef]
- Karsenty, A.; Gourlet-Fleury, S. Assessing Sustainability of Logging Practices in the Congo Basin’s Managed Forests: The Issue of Commercial Species Recovery. Ecol. Soc. 2006, 11, 26. [Google Scholar] [CrossRef]
- Makana, J.R.; Thomas, S.C. Impacts of Selective Logging and Agricultural Clearing on Forest Structure, Floristic Composition and Diversity, and Timber Tree Regeneration in the Ituri Forest, Democratic Republic of Congo. Biodivers. Conserv. 2006, 15, 1375–1397. [Google Scholar] [CrossRef]
- Laporte, N.T.; Stabach, J.A.; Grosch, R.; Lin, T.S.; Goetz, S.J. Expansion of Industrial Logging in Central Africa. Science 2007, 316, 1451. [Google Scholar] [CrossRef] [PubMed]
- Ibrahima, A.; Ze, A.D.M.; Ntonga, J.C. Fine Root Production and Distribution in the Tropical Rainforests of South-Western Cameroon: Effects of Soil Type and Selective Logging. iForest 2010, 3, 130–136. [Google Scholar] [CrossRef]
- De Madron, L.D.; Bauwens, S.; Giraud, A.; Hubert, D.; Billand, A.; De Madron, L.D.; Bauwens, S. Estimation de l’Impact de Différents Modes d’Exploitation Forestière Sur Les Stocks de Carbone En Afrique Centrale. Bois For. Trop. 2011, 308, 75–86. [Google Scholar] [CrossRef]
- Daïnou, K.; Bauduin, A.; Bourland, N.; Fétéké, F.; Doucet, J. Soil Seed Bank Characteristics in Cameroonian Rainforests and Implications for Post-Logging Forest Recovery. Ecol. Eng. 2011, 37, 1499–1506. [Google Scholar] [CrossRef]
- Ouédraogo, D.; Beina, D.; Picard, N.; Mortier, F.; Baya, F.; Gourlet-fleury, S. Thinning after Selective Logging Facilitates Floristic Composition Recovery in a Tropical Rain Forest of Central Africa. For. Ecol. Manag. 2011, 262, 2176–2186. [Google Scholar] [CrossRef]
- Poulsen, J.R.P.; Lark, C.J.C.; Bolker, B.M. Decoupling the Effects of Logging and Hunting on an Afrotropical Animal Community. Ecol. Appl. 2011, 21, 1819–1836. [Google Scholar] [CrossRef]
- Nils, B.; Yao Lambert, K.; Philippe, L.; Bonaventure, S.; Julien, P.; Kasso, D.; Fousséni, F.; Jean-Loui, D. Ecology of Pericopsis Elata (Fabaceae), an Endangered Timber Species in Southeastern Cameroon. Biotropica 2012, 44, 840–847. [Google Scholar] [CrossRef]
- Bourbier, V.G.L.; Cornu, G.; Pennec, A.; Brognoli, C.; Gond, V. Large-Scale Estimation of Forest Canopy Opening Using Remote Sensing in Central Africa. Bois For. Trop. 2013, 315, 3–9. [Google Scholar] [CrossRef]
- Deutscher, J.; Perko, R.; Gutjahr, K.; Hirschmugl, M.; Schardt, M. Mapping Tropical Rainforest Canopy Disturbances in 3D by COSMO-SkyMed Spotlight InSAR-Stereo Data to Detect Areas of Forest Degradation. Remote Sens. 2013, 5, 648–663. [Google Scholar] [CrossRef]
- Gourlet-Fleury, S.; Mortier, F.; Fayolle, A.; Baya, F.; Ouédraogo, D.; Bénédet, F.; Picard, N. Tropical Forest Recovery from Logging: A 24 Year Silvicultural Experiment from Central Africa. Philos. Trans. R. Soc. B Biol. Sci. 2013, 368, 20120302. [Google Scholar] [CrossRef] [PubMed]
- Gourlet-fleury, S.; Beina, D.; Fayolle, A.; Ouédraogo, D.; Mortier, F.; Bénédet, F.; Closset-Kopp, D.; Decocq, G. Silvicultural Disturbance Has Little Impact on Tree Species Diversity in a Central African Moist Forest. For. Ecol. Manag. 2013, 304, 322–332. [Google Scholar] [CrossRef]
- Medjibe, V.P.; Putz, F.E.; Romero, C. Certified and Uncertified Logging Concessions Compared in Gabon: Changes in Stand Structure, Tree Species, and Biomass. Environ. Manag. 2013, 51, 524–540. [Google Scholar] [CrossRef]
- Poulsen, J.R.; Clark, C.J.; Palmer, T.M. Ecological Erosion of an Afrotropical Forest and Potential Consequences for Tree Recruitment and Forest Biomass. Biol. Conserv. 2013, 163, 122–130. [Google Scholar] [CrossRef]
- Mayaka, T.B.; Eba’a-Atyi, R.; Nkie, M.C. On Volume Recovery Index and Implications for Sustainable Logging in Congo Basin. For. Ecol. Manag. 2014, 313, 292–299. [Google Scholar] [CrossRef]
- Neba, G.S.; Kanninen, M.; Atyi, E.R.; Sonwa, J.D. Assessment and Prediction of Above-Ground Biomass in Selectively Logged Forest Concessions Using Field Measurements and Remote Sensing Data: Case Study in South East Cameroon. For. Ecol. Manag. 2014, 329, 177–185. [Google Scholar] [CrossRef]
- Obiang, N.L.E.; Ngomanda, A.; Hymas, O.; Chézeauxl, É.; Picard, N. Diagnosing the Demographic Balance of Two Light-Demanding Tree Species Populations in Central Africa from Their Diameter Distribution. For. Ecol. Manag. 2014, 313, 55–62. [Google Scholar] [CrossRef]
- Pearson, T.R.H.H.; Brown, S.; Casarim, F.M. Carbon Emissions from Tropical Forest Degradation Caused by Logging. Environ. Res. Lett. 2014, 9, 034017. [Google Scholar] [CrossRef]
- Cazzolla Gatti, R.; Castaldi, S.; Lindsell, J.A.; Coomes, D.A.; Marchetti, M.; Maesano, M.; Di Paola, A.; Paparella, F.; Valentini, R. The Impact of Selective Logging and Clearcutting on Forest Structure, Tree Diversity and above-Ground Biomass of African Tropical Forests. Ecol. Res. 2015, 30, 119–132. [Google Scholar] [CrossRef]
- Bahaa-el-din, L.; Sollmann, R.; Hunter, L.T.B.; Slotow, R.; Macdonald, D.W.; Henschel, P. Effects of Human Land-Use on Africa’s Only Forest-Dependent Felid: The African Golden Cat Caracal Aurata. Biol. Conserv. 2016, 199, 1–9. [Google Scholar] [CrossRef]
- Kleinschroth, F.; Healey, J.R.; Sist, P.; Mortier, F.; Gourlet-Fleury, S. How Persistent Are the Impacts of Logging Roads on Central African Forest Vegetation ? J. Appl. Ecol. 2016, 53, 1127–1137. [Google Scholar] [CrossRef]
- Noutcheu, R.; Snook, L.K.; Tchatat, M.; Taedoumg, H.; Tchingsabe, O.; Tieguhong, J.C. Do Logging Concessions Decrease the Availability to Villagers of Foods from Timber Trees? A Quantitative Analysis for Moabi (Baillonella toxisperma), Sapelli (Entandrophragma cylindricum) and Tali (Erythrophleum suaveolens) in Cameroon. For. Ecol. Manag. 2016, 381, 279–288. [Google Scholar] [CrossRef]
- Picard, N.; Henry, M.; Fonton, N.H.; Kondaoule, J.; Fayolle, A.; Birigazzi, L.; Sola, G.; Poultouchidou, A.; Trotta, C.; Maïdou, H. Error in the Estimation of Emission Factors for Forest Degradation in Central Africa. J. For. Res. 2016, 21, 23–30. [Google Scholar] [CrossRef]
- Sufo Kankeu, R.; Sonwa, D.J.; Eba’a Atyi, R.; Moankang Nkal, N.M. Quantifying Post Logging Biomass Loss Using Satellite Images and Ground Measurements in Southeast Cameroon. J. For. Res. 2016, 27, 1415–1426. [Google Scholar] [CrossRef]
- Tchiadje, S.N.; Sonwa, D.J.; Nkongmeneck, B.A.; Cerbonney, L.; Sufo Kankeu, R. Preliminary Estimation of Carbon Stock in a Logging Concession with a Forest Management Plan in East Cameroon. J. Sustain. For. 2016, 35, 355–368. [Google Scholar] [CrossRef]
- Carlson, B.S.; Koerner, S.E.; Medjibe, V.P.; White, L.J.T.; Poulsen, J.R. Deadwood Stocks Increase with Selective Logging and Large Tree Frequency in Gabon. Glob. Change Biol. 2017, 23, 1648–1660. [Google Scholar] [CrossRef]
- Cerutti, O.P.; Suryadarma, D.; Nasi, R.; Forni, E.; Medjibe, V.; Delion, S.; Bastin, D. The Impact of Forest Management Plans on Trees and Carbon: Modeling a Decade of Harvesting Data in Cameroon. J. For. Econ. 2017, 27, 1–9. [Google Scholar] [CrossRef]
- Kleinschroth, F.; Healey, J.R.; Gourlet-Fleury, S.; Mortier, F.; Stoica, R.S. Effects of Logging on Roadless Space in Intact Forest Landscapes of the Congo Basin. Conserv. Biol. 2017, 31, 469–480. [Google Scholar] [CrossRef]
- Potapov, P.; Hansen, M.C.; Laestadius, L.; Turubanova, S.; Yaroshenko, A.; Thies, C.; Smith, W.; Zhuravleva, I.; Komarova, A.; Minnemeyer, S.; et al. The Last Frontiers of Wilderness: Tracking Loss of Intact Forest Landscapes from 2000 to 2013. Sci. Adv. 2017, 3, e1600821. [Google Scholar] [CrossRef]
- Rossi, V.; Claeys, F.; Bastin, D.; Gourlet-Fleury, S.; Guizol, P.; Eba’a-Atyi, R.; Sonwa, D.J.; Lescuyer, G.; Picard, N. Could REDD+ Mechanisms Induce Logging Companies to Reduce Forest Degradation in Central Africa? J. For. Econ. 2017, 29, 107–117. [Google Scholar] [CrossRef]
- Fuller, T.L.; Narins, T.P.; Nackoney, J.; Bonebrake, T.C.; Sesink, P.; Katy, C.; Anthony, M.; Bongwele, E.; Njabo, K.Y.; Anthony, N.M.; et al. Assessing the Impact of China’s Timber Industry on Congo Basin Land Use Change. Area 2018, 51, 340–349. [Google Scholar] [CrossRef]
- Ibrahima, A.; Ntonga, J.C.; Ze, A.D.M. Litterfall, Litter Standing Crops and Nutrient Dynamics as Influenced by Selective Logging in Tropical Rainforest of Ebom, Southwest Cameroon. J. Ecol. Nat. Environ. 2018, 10, 205–220. [Google Scholar] [CrossRef]
- Kranz, O.; Schoepfer, E.; Tegtmeyer, R.; Lang, S. Earth Observation Based Multi-Scale Assessment of Logging Activities in the Democratic Republic of the Congo. ISPRS J. Photogramm. Remote Sens. 2018, 144, 254–267. [Google Scholar] [CrossRef]
- Muvatsi, P.; Kahindo, J.; Snook, L.K. Can the Production of Wild Forest Foods Be Sustained in Timber Concessions ? Logging and the Availability of Edible Caterpillars Hosted by Sapelli (Entandrophragma cylindricum) and Tali (Erythrophleum suaveolens) Trees in the Democratic Republic of Co. For. Ecol. Manag. 2018, 410, 56–65. [Google Scholar] [CrossRef]
- Tyukavina, A.; Hansen, M.C.; Potapov, P.; Parker, D.; Okpa, C.; Stehman, S.V.; Kommareddy, I.; Turubanova, S. Congo Basin Forest Loss Dominated by Increasing Smallholder Clearing. Sci. Adv. 2018, 4, eaat2993. [Google Scholar] [CrossRef]
- Biwolé, A.B.; Ouédraogo, D.Y.; Betti, J.L.; Picard, N.; Rossi, V.; Delion, S.; Lagoute, P.; Gourlet-Fleury, S.; Lejeune, P.; Doucet, J.L. Dynamique Des Populations d’azobé, Lophira alata Banks Ex C. F. Gaertn., et Implications Pour Sa Gestion Durable Au Cameroun. Bois For. Trop. 2019, 342, 55–68. [Google Scholar] [CrossRef]
- Iponga, D.M.; Grace, R.; Joël, J.M.; Nicolas, L. The Effect of Different Anthropogenic Disturbances on Litterfall of a Dominant Pioneer Rain Forest Tree in Gabon. Afr. J. Ecol. 2020, 58, 281–290. [Google Scholar] [CrossRef]
- Lontsi, R.T.; Corre, M.D.; Van Straaten, O.; Veldkamp, E. Changes in Soil Organic Carbon and Nutrient Stocks in Conventional Selective Logging versus Reduced-Impact Logging in Rainforests on Highly Weathered Soils in Southern Cameroon. For. Ecol. Manag. 2019, 451, 117522. [Google Scholar] [CrossRef]
- Maxwell, S.L.; Evans, T.; Watson, J.E.M.; Morel, A.; Grantham, H.; Duncan, A.; Harris, N.; Potapov, P.; Runting, R.K.; Venter, O.; et al. Degradation and Forgone Removals Increase the Carbon Impact of Intact Forest Loss by 626%. Sci. Adv. 2019, 5, eaax2546. [Google Scholar] [CrossRef]
- Morgan, D.; Strindberg, S.; Winston, W.; Stephens, C.R.; Traub, C.; Ayina, C.E.; Thony, S.; Ebika, N.; Mayoukou, W. Impacts of Selective Logging and Associated Anthropogenic Disturbance on Intact Forest Landscapes and Apes of Northern Congo. Front. For. Glob. Chang. 2019, 2, 28. [Google Scholar] [CrossRef]
- Ngansop, T.M.; Biye, E.H.; Fongnzossie, F.E.; Forbi, P.F.; Chimi, D.C. Using Transect Sampling to Determine the Distribution of Some Key Non-Timber Forest Products across Habitat Types near Boumba-Bek National Park, South-East Cameroon. BMC Ecol. 2019, 19, 3. [Google Scholar] [CrossRef] [PubMed]
- Umunay, P.M.; Gregoire, T.G.; Gopalakrishna, T.; Ellis, P.W.; Putz, F.E. Selective Logging Emissions and Potential Emission Reductions from Reduced-Impact Logging in the Congo Basin. For. Ecol. Manag. 2019, 437, 360–371. [Google Scholar] [CrossRef]
- Ginath Yuh, Y.; N’Goran, P.K.; Dongmo, Z.N.; Tracz, W.; Tangwa, E.; Agunbiade, M.; Kühl, H.S.; Sop, T.; Fotang, C. Mapping Suitable Great Ape Habitat in and around the Lobéké National Park, South-East Cameroon. Ecol. Evol. 2020, 10, 14282–14299. [Google Scholar] [CrossRef]
- Lontsi, R.T.; Corre, M.D.; Iddris, N.A.; Veldkamp, E. Soil Greenhouse Gas Fluxes Following Conventional Selective and Reduced-Impact Logging in a Congo Basin Rainforest. Biogeochemistry 2020, 151, 153–170. [Google Scholar] [CrossRef]
- Poulsen, J.R.; Medjibe, V.P.; White, L.J.T.; Miao, Z.; Chris, L.B.; Connie, B.; Cuni-sanchez, A.; Disney, M.; Lee, J.D.M.E.; Lewis, S.L.; et al. Old Growth Afrotropical Forests Critical for Maintaining Forest Carbon. Glob. Ecol. Biogeogr. 2020, 29, 1785–1798. [Google Scholar] [CrossRef]
- Tritsch, I.; Le Velly, G.; Mertens, B.; Meyfroidt, P.; Sannier, C.; Makak, J.S.; Houngbedji, K. Do Forest-Management Plans and FSC Certification Help Avoid Deforestation in the Congo Basin? Ecol. Econ. 2020, 175, 106660. [Google Scholar] [CrossRef]
- Antropov, O.; Rauste, Y.; Praks, J.; Seifert, F.M.; Häme, T. Mapping Forest Disturbance Due to Selective Logging in the Congo Basin with RADARSAT-2 Time Series. Remote Sens. 2021, 13, 740. [Google Scholar] [CrossRef]
- Fotang, C.; Bröring, U.; Roos, C.; Enoguanbhor, E.C.; Abwe, E.E.; Dutton, P.; Schierack, P.; Angwafo, T.E.; Birkhofer, K. Human Activity and Forest Degradation Threaten Populations of the Nigeria–Cameroon Chimpanzee (Pan troglodytes ellioti) in Western Cameroon. Int. J. Primatol. 2021, 42, 105–129. [Google Scholar] [CrossRef]
- Maicher, V.; Clark, C.J.; Harris, D.J.; Medjibe, V.P.; Poulsen, J.R. From Town to National Park: Understanding the Long-Term Effects of Hunting and Logging on Tree Communities in Central Africa. For. Ecol. Manag. 2021, 499, 119571. [Google Scholar] [CrossRef]
- Zebaze, D.; Fayolle, A.; Daïnou, K.; Libalah, M.; Droissart, V.; Sonké, B.; Doucet, J.L. Land Use Has Little Influence on the Soil Seed Bank in a Central African Moist Forest. Biotropica 2021, 54, 100–112. [Google Scholar] [CrossRef]
- Aquino, C.; Mitchard, E.T.A.; McNicol, I.M.; Carstairs, H.; Burt, A.; Puma Vilca, B.L.; Obiang Ebanéga, M.; Modinga Dikongo, A.; Dassi, C.; Mayta, S.; et al. Reliably Mapping Low-Intensity Forest Disturbance Using Satellite Radar Data. Front. For. Glob. Change 2022, 5, 1018762. [Google Scholar] [CrossRef]
- Carstairs, H.; Mitchard, E.T.A.; McNicol, I.; Aquino, C.; Burt, A.; Ebanega, M.O.; Dikongo, A.M.; Bueso-Bello, J.L.; Disney, M. An Effective Method for InSAR Mapping of Tropical Forest Degradation in Hilly Areas. Remote Sens. 2022, 14, 452. [Google Scholar] [CrossRef]
- Carstairs, H.; Mitchard, E.T.A.; McNicol, I.; Aquino, C.; Chezeaux, E.; Ebanega, M.O.; Dikongo, A.M.; Disney, M. Sentinel-1 Shadows Used to Quantify Canopy Loss from Selective Logging in Gabon. Remote Sens. 2022, 14, 4233. [Google Scholar] [CrossRef]
- Sullivan, M.K.; Biessiemou, P.A.M.; Niangadouma, R.; Abernethy, K.; Queenborough, S.A.; Comita, L. A Decade of Diversity and Forest Structure: Post-Logging Patterns across Life Stages in an Afrotropical Forest. For. Ecol. Manag. 2022, 513, 120169. [Google Scholar] [CrossRef]
- Dupuis, C.; Fayolle, A.; Bastin, J.F.; Latte, N.; Lejeune, P. Monitoring Selective Logging Intensities in Central Africa with Sentinel-1: A Canopy Disturbance Experiment. Remote Sens. Environ. 2023, 298, 113828. [Google Scholar] [CrossRef]
- Houngbégnon, F.G.A.; Gillet, J.F.; Michaux, J.; Brostaux, Y.; Zébazé, D.; Lhoest, S.; Vermeulen, C.; Sonké, B.; Doucet, J.L. Seed Dispersal by Duikers in Selectively Logged Rainforests: Overlooked Dispersal of an Important Animal Community. For. Ecol. Manag. 2023, 529, 120650. [Google Scholar] [CrossRef]
- Tene, L.K.; Momo, C.; Stéphane, S.; Takoudjou, M.; Rodrigue, S.; Arnaud, M. Forest Activities Drive Diversity and Structure in the Tropical Rainforest. Afr. J. Ecol. 2023, 61, 689–698. [Google Scholar] [CrossRef]
- Mounmemi, K.H.; Rodrigue, M.; Eku, M.; Forbi, F.P.; Paul, L.; Kabelong, R.; Tiokeng, B.; Liliane, N.; Maffo, M.; Jean, L.; et al. Heliyon Assessing Plant Diversity Change in Logged and Unlogged Dense Semi-Deciduous Production Forest of Eastern Cameroon. Heliyon 2023, 9, e16199. [Google Scholar] [CrossRef]
- Welsink, A.; Reiche, J.; De Sy, V.; Carter, S.; Slagter, B.; Suarez, D.R.; Batros, B.; Peña-Claros, M.; Herold, M. Towards the Use of Satellite-Based Tropical Forest Disturbance Alerts to Assess Selective Logging Intensities. Environ. Res. Lett. 2023, 18, 054023. [Google Scholar] [CrossRef]
- Zebaze, D.; Gorel, A.; Gillet, J.F.; Houngbégnon, F.; Barbier, N.; Ligot, G.; Lhoest, S.; Kamdem, G.; Libalah, M.; Droissart, V.; et al. Natural Regeneration in Tropical Forests along a Disturbance Gradient in South-East Cameroon. For. Ecol. Manag. 2023, 547, 121402. [Google Scholar] [CrossRef]
- Keany, J.M.; Burns, P.; Abraham, A.J.; Jantz, P.; Makaga, L.; Saatchi, S.; Maisels, F.; Abernethy, K.; Doughty, C.E. Using Multiscale Lidar to Determine Variation in Canopy Structure from African Forest Elephant Trails. Remote Sens. Ecol. Conserv. 2024, 10, 655–667. [Google Scholar] [CrossRef]
- Mokake, S.E.; Chuyong, G.B.; Egbe, E.A. Long-Term Impacts of Selective Logging in a Tropical Rainforest in the East Region of Cameroon. Afr. J. Ecol. 2024, 62, e13341. [Google Scholar] [CrossRef]
- Sagang, L.B.T.; Favrichon, S.; Dalagnol, R.; Ordway, E.M.; Medjibe, V.; Manfoumbi, F.; Obame, C.; Waggner, F.; George-Chacon, S.; White, L.; et al. Unveiling Spatial Variations of High Forest Live Biomass Carbon Stocks of Gabon Using Advanced Remote Sensing Techniques. Environ. Res. Lett. 2024, 19, 074038. [Google Scholar] [CrossRef]
- Fokeng, M.R.; Gadinga Forje, W.; Meli Meli, V.; Nyuyki Bodzemo, B. Multi-Temporal Forest Cover Change Detection in the Metchie-Ngoum Protection Forest Reserve, West Region of Cameroon. Egypt. J. Remote Sens. Space Sci. 2020, 23, 113–124. [Google Scholar] [CrossRef]
- Piabuo, S.M.; Minang, P.A.; Tieguhong, C.J.; Foundjem-tita, D.; Nghobuoche, F. Illegal Logging, Governance Effectiveness and Carbon Dioxide Emission in the Timber—Producing Countries of Congo Basin. Environ. Dev. Sustain. 2021, 23, 14176–14196. [Google Scholar] [CrossRef]
- Depecker, J.; Asimonyio, J.A.; Miteho, R.; Hatangi, Y.; Kambale, J.-L.; Verleysen, L.; Stoffelen, P.; Janssens, S.B.; Dhed’a, B.; Vandelook, F.; et al. The Association between Rainforest Disturbance and Recovery, Tree Community Composition, and Community Traits in the Yangambi Area in the Democratic Republic of the Congo. J. Trop. Ecol. 2022, 38, 426–436. [Google Scholar] [CrossRef]
- Kengne, O.C.; Feukeng, S.S.K.; Ngansop, E.T.; Meyan-ya, R.G.D.; Zapfack, L. Floristic Composition, Growth Temperament and Conservation Status of Woody Plant Species in the Cameroonian Tropical Rainforests. Ecol. Process. 2022, 11, 50. [Google Scholar] [CrossRef]
- Michel, O.O.; Yu, Y.; Fan, W.; Lubalega, T.; Chen, C.; Kachaka, C.; Kaiko, S. Impact of Land Use Change on Tree Diversity and Aboveground Carbon Storage in the Mayombe Tropical Forest of the Democratic Republic of Congo. Land 2022, 11, 787. [Google Scholar] [CrossRef]
- Nesha, K.; Herold, M.; Reiche, J.; Masolele, R.N.; Hergoualc’h, K.; Swails, E.; Murdiyarso, D.; Ewango, C.E.N. An Assessment of Recent Peat Forest Disturbances and Their Drivers in the Cuvette Centrale, Africa. Environ. Res. Lett. 2024, 19, 104031. [Google Scholar] [CrossRef]
- Mitchard, E.T.A.; Saatchi, S.S.; Lewis, S.L.; Feldpausch, T.R.; Woodhouse, I.H.; Sonké, B.; Rowland, C.; Meir, P. Measuring Biomass Changes Due to Woody Encroachment and Deforestation/Degradation in a Forest-Savanna Boundary Region of Central Africa Using Multi-Temporal L-Band Radar Backscatter. Remote Sens. Environ. 2011, 115, 2861–2873. [Google Scholar] [CrossRef]
- Laurance, W.F.; Carolina Useche, D.; Rendeiro, J.; Kalka, M.; Bradshaw, C.J.A.; Sloan, S.P.; Laurance, S.G.; Campbell, M.; Abernethy, K.; Alvarez, P.; et al. Averting Biodiversity Collapse in Tropical Forest Protected Areas. Nature 2012, 489, 290–293. [Google Scholar] [CrossRef] [PubMed]
- Zhuravleva, I.; Turubanova, S.; Potapov, P.; Hansen, M.; Tyukavina, A.; Minnemeyer, S.; Laporte, N.; Goetz, S.; Verbelen, F.; Thies, C. Satellite-Based Primary Forest Degradation Assessment in the Democratic Republic of the Congo, 2000–2010. Environ. Res. Lett. 2013, 8, 2000–2010. [Google Scholar] [CrossRef]
- Vancutsem, C.; Achard, F.; Pekel, J.F.; Vieilledent, G.; Carboni, S.; Simonetti, D.; Gallego, J.; Aragão, L.E.O.C.; Nasi, R. Long-Term (1990–2019) Monitoring of Forest Cover Changes in the Humid Tropics. Sci. Adv. 2021, 7, eabe1603. [Google Scholar] [CrossRef] [PubMed]
- Ceccarelli, V.; Ekué, M.; Fremout, T.; Gaisberger, H.; Kettle, C.; Taedoumg, H.; Wouters, H.; Vanuytrecht, E.; De Ridder, K.; Thomas, E. Vulnerability Mapping of 100 Priority Tree Species in Central Africa to Guide Conservation and Restoration Efforts. Biol. Conserv. 2022, 270, 109554. [Google Scholar] [CrossRef]
- Sulaiman, C.; Abdul-rahim, A.S.; Mohd-shahwahid, H.O.; Chin, L. Wood Fuel Consumption, Institutional Quality, and Forest Degradation in Sub-Saharan Africa: Evidence from a Dynamic Panel Framework. Ecol. Indic. 2017, 74, 414–419. [Google Scholar] [CrossRef]
- Sulaiman, C.; Abdul-rahim, A.S. Relationship between Wood Fuel Energy Consumption and Forest Degradation at Regional and Sub—Regional Levels of Sub—Saharan Africa: The Role of Control of Corruption and Government Effectiveness. Environ. Sci. Pollut. Res. 2022, 29, 74512–74525. [Google Scholar] [CrossRef]
- Ernst, Y.; Archibald, S.; Balzter, H.; Chevallier, F.; Ciais, P.; Fischer, C.G.; Gaubert, B.; Higginbottom, T.; Higgins, S.; Lawal, S.; et al. The African Regional Greenhouse Gases Budget (2010–2019). Global. Biogeochem. Cycles 2024, 38, e2023GB008016. [Google Scholar] [CrossRef]
- Waltert, M.; Bobo, K.S.; Sainge, N.M.; Fermon, H.; Mühlenberg, M. From Forest to Farmland: Habitat Effects on Afrotropical Forest Bird Diversity. Ecol. Appl. 2005, 15, 1351–1366. [Google Scholar] [CrossRef]
- Bobo, K.S.; Waltert, M.; Sainge, N.M.; Njokagbor, J.; Fermon, H.; Mühlenberg, M. From Forest to Farmland: Species Richness Patterns of Trees and Understorey Plants along a Gradient of Forest Conversion in Southwestern Cameroon. Biodivers. Conserv. 2006, 15, 4097–4117. [Google Scholar] [CrossRef]
- Robiglio, V.; Sinclair, F. Maintaining the Conservation Value of Shifting Cultivation Landscapes Requires Spatially Explicit Interventions. Environ. Manag. 2011, 48, 289–306. [Google Scholar] [CrossRef] [PubMed]
- Molinario, G.; Hansen, M.C.; Potapov, P.V.; Tyukavina, A.; Stehman, S.; Barker, B.; Humber, M. Quantification of Land Cover and Land Use within the Rural Complex of the Democratic Republic of Congo. Environ. Res. Lett. 2017, 12, 104001. [Google Scholar] [CrossRef]
- Silatsa, F.B.T.; Yemefack, M.; Ewane-Nonga, N.; Kemga, A.; Hanna, R. Modeling Carbon Stock Dynamics under Fallow and Cocoa Agroforest Systems in the Shifting Agricultural Landscape of Central Cameroon. Agrofor. Syst. 2017, 91, 993–1006. [Google Scholar] [CrossRef]
- Temgoua, L.F.; Momo Solefack, M.C.; Nguimdo Voufo, V.; Tagne Belibi, C.; Tanougong, A. Spatial and Temporal Dynamic of Land-Cover/Land-Use and Carbon Stocks in Eastern Cameroon: A Case Study of the Teaching and Research Forest of the University of Dschang. For. Sci. Technol. 2018, 14, 181–191. [Google Scholar] [CrossRef]
- Bauters, M.; Vercleyen, O.; Vanlauwe, B.; Six, J.; Bonyoma, B.; Badjoko, H.; Hubau, W.; Hoyt, A.; Boudin, M.; Verbeeck, H.; et al. Long-Term Recovery of the Functional Community Assembly and Carbon Pools in an African Tropical Forest Succession. Biotropica 2019, 51, 319–329. [Google Scholar] [CrossRef]
- Moone, P.C.J.; Verbist, B.; Bosela, F.B.; Norgrove, L.; Dondeyne, S.; Van Meerbeek, K.; Kearsley, E.; Verbeeck, H.; Vermeir, P.; Boeckx, P.; et al. Disentangling How Management Affects Biomass Stock and Productivity of Tropical Forest Fallows. Sci. Total Environ. 2019, 659, 101–114. [Google Scholar] [CrossRef]
- Opelele, O.M.; Fan, W.Y.; Yu, Y.; Kachaka, S.K. Analysis of Land Use/Land Cover Change and Its Prediction in the Mambasa Sector, Democratic Republic of Congo. Appl. Ecol. Environ. Res. 2020, 18, 5627–5644. [Google Scholar] [CrossRef]
- Bauters, M.; Moonen, P.; Summerauer, L.; Doetterl, S.; Wasner, D.; Griepentrog, M.; Mumbanza, F.M.; Kearsley, E.; Ewango, C.; Boyemba, F.; et al. Soil Nutrient Depletion and Tree Functional Composition Shift Following Repeated Clearing in Secondary Forests of the Congo Basin. Ecosystems 2021, 24, 1422–1435. [Google Scholar] [CrossRef]
- Makelele, I.A.; Verheyen, K.; Boeckx, P.; Cizungu, L.; Basile, N.; Bazirake, M.; Ewango, C.; Bauters, M. Journal of Vegetation Science Afrotropical Secondary Forests Exhibit Fast Diversity and Functional Recovery, but Slow Compositional and Carbon Recovery after Shifting Cultivation. J. Veg. Sci. 2021, 32, e13071. [Google Scholar] [CrossRef]
- Cirezi, N.C.; Bastin, J.F.; Tshibasu, E.; Lonpi, E.T.; Chuma, G.B.; Mugumaarhahama, Y.; Sambieni, K.R.; Karume, K.C.; Lumbuenamo, R.S.; Bogaert, J. Contribution of ‘Human Induced Fires’ to Forest and Savanna Land Conversion Dynamics in the Luki Biosphere Reserve Landscape, Western Democratic Republic of Congo. Int. J. Remote Sens. 2022, 43, 6406–6429. [Google Scholar] [CrossRef]
- Mumbanza, F.M.; Bauters, M.; Makelele, I.; Meunier, F.; Kearsley, E.; Boeckx, P.; Verheyen, K.; Ewango, C.; Mbula, I.M.; Lubini, C.A.; et al. Lianas Rapidly Colonize Early Stages of Tropical Forests, Presumably through Leaf Trait Diversification. J. Veg. Sci. 2022, 33, e13162. [Google Scholar] [CrossRef]
- Teutscherová, N.; Maňourová, A.; Lojka, B.; Tejnecký, V.; Drábek, O.; Křížová, P.; Penížek, V.; Akama, P.D.; Šobotník, J.; Sillam-Dussès, D. Effect of Farming on the Vegetation Structure, Soil Properties and Termite Assemblages in the Northern Congo Basin. Land Degrad. Dev. 2022, 33, 2050–2061. [Google Scholar] [CrossRef]
- Soliday, V.; Louat, A.; Miezi, E.; Fruth, B. Investigating the Impact of a Long-Term Research and Conservation Project on the Expansion of Land Use and Land Cover in a Remote Area of Central DRC. Trees For. People 2023, 11, 100368. [Google Scholar] [CrossRef]
- Bernhard, K.P.; Shapiro, A.C.; D’Annunzio, R.; Kabuanga, J.M. Transboundary Central African Protected Area Complexes Demonstrate Varied Effectiveness in Reducing Predicted Risk of Deforestation Attributed to Small-Scale Agriculture. Remote Sens. 2024, 16, 204. [Google Scholar] [CrossRef]
- Straaten, V.O.; Corre, M.D.; Wolf, K.; Tchienkoua, M.; Cuellar, E.; Matthews, R.B.; Veldkamp, E.; Vitousek, P.M. Conversion of Lowland Tropical Forests to Tree Cash Crop Plantations Loses up to One-Half of Stored Soil Organic Carbon. Proc. Natl. Acad. Sci. USA 2015, 112, 9956–9960. [Google Scholar] [CrossRef]
- Jong, Y.W.; Beirne, C.; Meunier, Q.; Mekui Biyogo, A.P.; Ebang Mbélé, A.; Stewart, C.G.; Poulsen, J.R. Expected Carbon Emissions from a Rubber Plantation in Central Africa. For. Ecol. Manag. 2021, 480, 118668. [Google Scholar] [CrossRef]
- Chaplin-Kramer, R.; Ramler, I.; Sharp, R.; Haddad, N.M.; Gerber, J.S.; West, P.C.; Mandle, L.; Engstrom, P.; Baccini, A.; Sim, S.; et al. Degradation in Carbon Stocks near Tropical Forest Edges. Nat. Commun. 2015, 6, 10158. [Google Scholar] [CrossRef]
- Kganyago, M.; Shikwambana, L. Assessing Spatio-Temporal Variability of Wildfires and Their Impact on Sub-Saharan Ecosystems and Air Quality Using Multisource Remotely Sensed Data and Trend Analysis. Sustainability 2019, 11, 6811. [Google Scholar] [CrossRef]
- Saatchi, S.; Longo, M.; Xu, L.; Wilson, S.N.; Brumby, S.; Elmore, A.C. Detecting Vulnerability of Humid Tropical Forests to Multiple Stressors Detecting Vulnerability of Humid Tropical Forests to Multiple Stressors. One Earth 2021, 4, 988–1003. [Google Scholar] [CrossRef]
- Shapiro, A.C.; Grantham, H.S.; Aguilar-Amuchastegui, N.; Murray, N.J.; Gond, V.; Bonfils, D.; Rickenbach, O. Forest Condition in the Congo Basin for the Assessment of Ecosystem Conservation Status. Ecol. Indic. 2021, 122, 107268. [Google Scholar] [CrossRef]
- Zhao, Z.; Li, W.; Ciais, P.; Santoro, M.; Cartus, O.; Peng, S.; Yin, Y.; Yue, C.; Yang, H.; Yu, L.; et al. Fire Enhances Forest Degradation within Forest Edge Zones in Africa. Nat. Geosci. 2021, 14, 479–483. [Google Scholar] [CrossRef]
- Vanthomme, H.; Bellé, B.; Forget, P.M. Bushmeat Hunting Alters Recruitment of Large-Seeded Plant Species in Central Africa. Biotropica 2010, 42, 672–679. [Google Scholar] [CrossRef]
- Beirne, C.; Meier, A.C.; Mbele, A.E.; Menie Menie, G.; Froese, G.; Okouyi, J.; Poulsen, J.R. Participatory Monitoring Reveals Village-Centered Gradients of Mammalian Defaunation in Central Africa. Biol. Conserv. 2019, 233, 228–238. [Google Scholar] [CrossRef]
- Guedje, N.M.; Lejoly, J.; Nkongmeneck, B.A.; Jonkers, W.B.J. Population Dynamics of Garcinia lucida (Clusiaceae) in Cameroonian Atlantic Forests. For. Ecol. Manag. 2003, 177, 231–241. [Google Scholar] [CrossRef]
- Tchatat, M.; Ndoye, O. Étude Des Produits Forestiers Non Ligneux d’Afrique Centrale: Réalités et Perspectives. Bois For. Trop. 2006, 288, 27–39. [Google Scholar]
- Ndumbe, N.L.; Ingram, V.; Enukwa, E.H.; Namuene, S.K. The Socio-Economic Importance and Sustainability of the Major Non-Timber Forest Products Collected in the South West and Littoral Regions of Cameroon. Asian J. Res. Agric. For. 2022, 8, 20–36. [Google Scholar] [CrossRef]
- Lonpi Tipi, E.; Sambieni Kouagou, R.; Messina Ndzomo, J.P.; Nsevolo Miankeba, P.; Looli Boyombe, L.; Lumande Kasali, J.; Khasa, D.; Malaisse, F.; Bogaert, J. Diversity and Availability of Edible Caterpillar Host Plants in the Luki Biosphere Reserve Landscape in the Democratic Republic of the Congo. Trees For. People 2024, 18, 100719. [Google Scholar] [CrossRef]
- Lescuyer, G.; Cerutti, P.O.; Essiane Mendoula, E.; Eba’a Atyi, R.; Nasi, R. Evaluation Du Secteur Du Sciage Artisanal Dans Le Bassin Du Congo. In Les Forêts du Bassin du Congo: Etat des Forêts 2010; de Wasseige, C., de Marcken, P., Bayol, N., Hiol Hiol, F., Mayaux, P., Desclée, B., Nasi, R., Billand, A., Eds.; Office des Publications de l’Union Européenne: Luxembourg, 2012; pp. 97–107. [Google Scholar]
- Tshimpanga, P.O.; Lescuyer, G.; Vleminckx, J.; Abdala, B.A.; Lokombe, D. Utilité d’Une Typologie Des Exploitants Artisanaux de Bois Pour Contribuer à La Formulation d ‘ Une Politique Publique En Province Orientale (RD Congo). Biotechnol. Agron. Soc. Environ. 2016, 20, 468–481. [Google Scholar]
- Lescuyer, G.; Cerutti, P.O.; Tshimpanga Ongona, C.P.; Biloko, F.; Adebu-abdala, B.; Tsanga, R.; Yembe-Yembe, R.I.; Essiane-Mendoula, E. Le Marché Domestique du Sciage Artisanal en République Démocratique du Congo: Etat des Lieux, Opportunités, Defis. Document Occasionnel 110; Center for International Forestry Research (CIFOR): Bogor, Indonésie, 2014. [Google Scholar]
- International Energy Agency (IEA). Energy Access Outlook 2017 from Poverty to Prosperity. Available online: https://www.iea.org/reports/energy-access-outlook-2017 (accessed on 28 May 2025).
- Wright, S.J. The Future of Tropical Forests. Ann. N. Y. Acad. Sci. 2010, 1195, 1–27. [Google Scholar] [CrossRef]
- Schure, J.; Dkamela, G.P.; Van Der Goes, A.; Mcnally, R. An Approach to Promote REDD+ Compatible Wood-Fuel Value Chains; SNV REDD+ Energy and Agriculture Programme: Hanoi, Vietnam, 2014. [Google Scholar]
- Schure, J.; Pinta, F.; Cerutti, P.O.; Kasereka-Muvatsi, L. Efficiency of Charcoal Production in Sub-Saharan Africa: Solutions beyond the Kiln. Bois For. Trop. 2019, 340, 57–70. [Google Scholar] [CrossRef]
- Kotto-Same, J.; Woomer, P.L.; Appolinaire, M.; Louis, Z. Carbon Dynamics in Slash-and-Burn Agriculture and Land Use Alternatives of the Humid Forest Zone in Cameroon. Agric. Ecosyst. Environ. 1997, 65, 245–256. [Google Scholar] [CrossRef]
- De Wachter, P. Économie et Impact de l’Agriculture Itinérante Badjoué. Civilisations 1997, 44, 62–93. [Google Scholar] [CrossRef]
- Cochrane, M.A.; Laurance, W.F. Fire as a Large-Scale Edge Effect in Amazonian Forests. J. Trop. Ecol. 2002, 18, 311–325. [Google Scholar] [CrossRef]
- Redford, K.H. The Empty Forest. Bioscience 1992, 42, 412–422. [Google Scholar] [CrossRef]
- Nasi, R.; Taber, A.; Vliet, N. Van. Empty Forests, Empty Stomachs? Bushmeat and Livelihoods in the Congo and Amazon Basins. Int. For. Rev. 2011, 13, 355–368. [Google Scholar] [CrossRef]
- Osuri, A.M.; Ratnam, J.; Varma, V.; Avarez-Loayza, P.; Astaiza, J.H.; Bradford, M.; Fletcher, C.; Ndoundou-Hockemba, M.; Jansen, P.A.; Kenfack, D.; et al. Contrasting Effects of Defaunation on Aboveground Carbon Storage across the Global Tropics. Nat. Commun. 2016, 7, 11351. [Google Scholar] [CrossRef]
- White, L.J.T. Biomass of Rain Forest Mammals in the Lopé Reserve, Gabon. J. Anim. Ecol. 1994, 63, 499–512. [Google Scholar] [CrossRef]
- Pardini, R.; Bueno, A.D.A.; Gardner, T.A.; Ina, P.; Metzger, J.P. Beyond the Fragmentation Threshold Hypothesis: Regime Shifts in Biodiversity Across Fragmented Landscapes. PLoS ONE 2010, 5, e13666. [Google Scholar] [CrossRef]
- Reiche, J.; Mullissa, A.; Slagter, B.; Gou, Y.; Tsendbazar, N.E.; Odongo-Braun, C.; Vollrath, A.; Weisse, M.J.; Stolle, F.; Pickens, A.; et al. Forest Disturbance Alerts for the Congo Basin Using Sentinel-1. Environ. Res. Lett. 2021, 16, 024005. [Google Scholar] [CrossRef]
- Bourgoin, C.; Betbeder, J.; Couteron, P.; Blanc, L.; Dessard, H.; Oszwald, J.; Le Roux, R.; Cornu, G.; Reymondin, L.; Mazzei, L.; et al. UAV-Based Canopy Textures Assess Changes in Forest Structure from Long-Term Degradation. Ecol. Indic. 2020, 15, 106386. [Google Scholar] [CrossRef]
- Bastin, J.F.; Barbier, N.; Couteron, P.; Adams, B.; Shapiro, A.; Bogaert, J.; De Cannière, C. Aboveground Biomass Mapping of African Forest Mosaics Using Canopy Texture Analysis: Toward a Regional Approach. Ecol. Appl. 2014, 24, 1984–2001. [Google Scholar] [CrossRef] [PubMed]
- Barbier, N.; Proisy, C.; Véga, C.; Sabatier, D.; Couteron, P. Bidirectional Texture Function of High Resolution Optical Images of Tropical Forest: An Approach Using LiDAR Hillshade Simulations. Remote Sens. Environ. 2011, 115, 167–179. [Google Scholar] [CrossRef]
- Ploton, P.; Barbier, N.; Couteron, P.; Antin, C.M.; Ayyappan, N.; Balachandran, N.; Barathan, N.; Bastin, J.F.; Chuyong, G.; Dauby, G.; et al. Toward a General Tropical Forest Biomass Prediction Model from Very High Resolution Optical Satellite Images. Remote Sens. Environ. 2017, 200, 140–153. [Google Scholar] [CrossRef]
- Williams, J.; Jackson, T.D.; Schönlieb, C.B.; Swinfield, T.; Irawan, B.; Achmad, E.; Zudhi, M.; Habibi, H.; Gemita, E.; Coomes, D.A. Monitoring Early-Successional Trees for Tropical Forest Restoration Using Low-Cost UAV-Based Species Classification. Front. For. Glob. Change 2022, 5, 876448. [Google Scholar] [CrossRef]
- Zhang, H.; Bauters, M.; Boecks, P.; Van Oost, K. Mapping Canopy Heights in Dense Tropical Forests Using Low-Cost UAV-Derived Photogrammetric Point Clouds and Machine Learning Approaches. Remote Sens. 2021, 13, 3777. [Google Scholar] [CrossRef]
- Mitchard, E.T.A.; Saatchi, S.S.; Woodhouse, I.H.; Nangendo, G.; Ribeiro, N.S.; Williams, M.; Ryan, C.M.; Lewis, S.L.; Feldpausch, T.R.; Meir, P. Using Satellite Radar Backscatter to Predict Above-Ground Woody Biomass: A Consistent Relationship across Four Different African Landscapes. Geophys. Res. Lett. 2009, 36, 1–6. [Google Scholar] [CrossRef]
- Xu, L.; Saatchi, S.S.; Shapiro, A.; Meyer, V.; Ferraz, A.; Yang, Y.; Bastin, J.F.; Banks, N.; Boeckx, P.; Verbeeck, H.; et al. Spatial Distribution of Carbon Stored in Forests of the Democratic Republic of Congo. Sci. Rep. 2017, 7, 15030. [Google Scholar] [CrossRef]
- Santoro, M.; Cartus, O.; Carvalhais, N.; Rozendaal, D.; Avitabile, V.; De Bruin, S.; Herold, M.; Quegan, S.; Veiga, P.R.; Balzter, H. The Global Above-Ground Biomass Pool for 2010 Estimated from High-Resolution Satellite Observations. Prepr. Copernic. 2020, 5174, 3927–3950. [Google Scholar] [CrossRef]
- Hansen, M.C.; Potapov, P.V.; Tyukavina, A. Response to Comment on “Tropical Forests Are a Net Carbon Source Based on Aboveground Measurements of Gain and Loss”. Science 2019, 363, eaat1205. [Google Scholar] [CrossRef]
- Piponiot, C.; Cabon, A.; Descroix, L.; Dourdain, A.; Mazzei, L.; Ouliac, B.; Rutishauser, E.; Sist, P.; Hérault, B. A Methodological Framework to Assess the Carbon Balance of Tropical Managed Forests. Carbon Balance Manag. 2016, 11, 15. [Google Scholar] [CrossRef]
- Rahm, M.; Van Wolvelaer, J.; Vrieling, A.; Mertens, B. Detecting Forest Degradation in The Congo Basin By Optical Remote Sensing. Proc. ESA Living Planet Symp. 2013, 722, 22. [Google Scholar]
- Poorter, L.; Craven, D.; Jakovac, C.C.; Van Der Sande, M.T.; Amissah, L.; Bongers, F.; Chazdon, R.L.; Farrior, C.E.; Kambach, S.; Meave, J.A. Multidimensional Tropical Forest Recovery. Science 2021, 374, 1370–1376. [Google Scholar] [CrossRef] [PubMed]
- Boot, R.G.A.; Gullison, R.E. Approaches to Developing Sustainable Extraction Systems for Tropical Forest Products. Ecol. Appl. 1995, 5, 896–903. [Google Scholar] [CrossRef]
- Hufkens, K.; de Haulleville, T.; Kearsley, E.; Jacobsen, K.; Beeckman, H.; Stoffelen, P.; Vandelook, F.; Meeus, S.; Amara, M.; van Hirtum, L.; et al. Historical Aerial Surveys Map Long-Term Changes of Forest Cover and Structure in the Central Congo Basin. Remote Sens. 2020, 12, 638. [Google Scholar] [CrossRef]
- Dashora, A.; Lohani, B.; Malik, J.N. A Repository of Earth Resource Information—CORONA Satellite Programme. Curr. Sci. 2007, 92, 926–932. [Google Scholar]





| Reference | Anthropogenic Drivers | Keywords |
|---|---|---|
| Gao et al. [6] | Forest logging | “logging” OR “forest logging” “timber logging” OR “selective logging” |
| Murdiyarso et al. [24] and Gao et al. [6] | Agriculture | agricultural OR cultivation OR clearing |
| Gao et al. [6] | Wood energy | “wood energy” OR “fuelwood” OR “fuelwood charcoal” OR “charcoal” |
| Gao et al. [6] | Anthropogenic fires | fire OR fires OR burn |
| Gao et al. [6] | Livestock grazing in forest | livestock OR grazing OR “forest gazing” |
| Murdiyarso et al. [24] | Non-timber forest products | “non-timber forests products” OR NTFPs OR “non-wood forest products” |
| Abernethy et al. [25] | Hunting | hunting OR overhunting OR bushmeat |
| Indicators | Type of Forest Attributes | Mixed (If %) | Remote Sensing (If %) | Field Data (If %) | Sum of If % for All Approaches | Ifr (%) |
|---|---|---|---|---|---|---|
| Aboveground or below ground biomass or carbon | Carbon storage | 58 | 5 | 13 | 76 | 100 |
| Canopy gaps | Structure | 8 | 34 | 4 | 46 | 61 |
| Forest cover change | Structure | 0 | 23 | 0 | 23 | 30 |
| Floristic species: trees, seedlings, lianas, shrub | Biodiversity | 0 | 0 | 20 | 20 | 27 |
| Forest types | Biodiversity | 0 | 14 | 4 | 18 | 23 |
| Logging intensity | Production | 8 | 0 | 9 | 18 | 23 |
| CO2 or other greenhouse gas emissions | Carbon storage | 8 | 5 | 3 | 16 | 21 |
| Tree density variation | Structure | 0 | 0 | 12 | 12 | 16 |
| Edge effects | Structure | 8 | 3 | 1 | 12 | 16 |
| Gross primary productivity | Carbon storage | 8 | 0 | 0 | 8 | 11 |
| Intact forest landscape | Biodiversity | 0 | 8 | 0 | 8 | 10 |
| Canopy and tree Height variation | Structure | 0 | 6 | 1 | 7 | 10 |
| Basal area variation | Structure | 0 | 0 | 7 | 7 | 9 |
| Defaunation | Biodiversity | 0 | 2 | 5 | 7 | 9 |
| Regeneration of logged trees | Biodiversity | 0 | 0 | 5 | 5 | 7 |
| Logging damage | Carbon storage | 0 | 2 | 2 | 4 | 5 |
| Soil fertility | Protective functions | 0 | 0 | 4 | 4 | 5 |
| Mean and growth rate of tree diameter | Structure | 0 | 0 | 4 | 4 | 5 |
| Litter or necromass | Carbon storage | 0 | 0 | 2 | 2 | 2 |
| Wood density | Carbon storage | 0 | 0 | 2 | 2 | 2 |
| Timber stocks | Production | 0 | 0 | 2 | 2 | 3 |
| Tree volume variation | Production | 0 | 0 | 1 | 1 | 1 |
| Specific leaf area | Carbon storage | 0 | 0 | 1 | 1 | 1 |
| Aboveground Carbon Loss (%) | |||||||||
|---|---|---|---|---|---|---|---|---|---|
| n | Mean | SD | Min | Q1 | Median | Q3 | Max | Ref. | |
| Industrial forest logging | 13 | 14.79 | 22.21 | −44 | 7.1 | 17 | 31.09 | 45.39 | [62,64,93,102,108,113,114] |
| Artisanal forest logging | 3 | 34.82 | 11.97 | 23.81 | 28.45 | 33.09 | 40.33 | 47.56 | [114,119] |
| Shifting and burn agriculture | 17 | 73.16 | 16.88 | 26.75 | 66.1 | 73.65 | 83.33 | 96.35 | [119,135,136,139] |
| Tree Species Loss (%) | |||||||||
| n | Mean | SD | Min | Q1 | Median | Q3 | Max | Ref. | |
| Industrial forest logging | 25 | 4.27 | 21.07 | −41.52 | −6.45 | 4.35 | 14.97 | 64.29 | [48,49,52,63,64,70,100,105,108,109,111,113] |
| Artisanal forest logging | 4 | 16.33 | 15.68 | −1.7 | 5.82 | 17.75 | 28.26 | 31.52 | [111,117,119] |
| Shifting and burn agriculture | 13 | 30.37 | 30.67 | −17.39 | 3.03 | 40.22 | 48.91 | 76.19 | [48,52,70,119,135,139] |
| Canopy Gaps Area Loss (%) | |||||||||
| n | Mean | SD | Min | Q1 | Median | Q3 | Max | Ref. | |
| Industrial forest logging | 17 | 8.98 | 13.63 | 0.5 | 4 | 5.2 | 9.8 | 60 | [36,38,41,72,76,86,89,102,104,105,106,110] |
| Artisanal forest logging | 1 | 10 | - | 10 | 10 | 10 | 10 | 10 | [41] |
| Shifting and burn agriculture | 3 | 61 | 28.58 | 29 | 49.5 | 70 | 77 | 84 | [36,41,86] |
Disclaimer/Publisher’s Note: The statements, opinions and data contained in all publications are solely those of the individual author(s) and contributor(s) and not of MDPI and/or the editor(s). MDPI and/or the editor(s) disclaim responsibility for any injury to people or property resulting from any ideas, methods, instructions or products referred to in the content. |
© 2025 by the authors. Licensee MDPI, Basel, Switzerland. This article is an open access article distributed under the terms and conditions of the Creative Commons Attribution (CC BY) license (https://creativecommons.org/licenses/by/4.0/).
Share and Cite
Besisa Nguba, T.; Bogaert, J.; Makana, J.-R.; Mate Mweru, J.-P.; Sambieni, K.R.; Bwazani Balandi, J.; Mumbere Musavandalo, C.; Bastin, J.-F. Assessing Forest Degradation in the Congo Basin: The Need to Broaden the Focus from Logging to Small-Scale Agriculture (A Systematic Review). Forests 2025, 16, 953. https://doi.org/10.3390/f16060953
Besisa Nguba T, Bogaert J, Makana J-R, Mate Mweru J-P, Sambieni KR, Bwazani Balandi J, Mumbere Musavandalo C, Bastin J-F. Assessing Forest Degradation in the Congo Basin: The Need to Broaden the Focus from Logging to Small-Scale Agriculture (A Systematic Review). Forests. 2025; 16(6):953. https://doi.org/10.3390/f16060953
Chicago/Turabian StyleBesisa Nguba, Timothée, Jan Bogaert, Jean-Remy Makana, Jean-Pierre Mate Mweru, Kouagou Raoul Sambieni, Julien Bwazani Balandi, Charles Mumbere Musavandalo, and Jean-François Bastin. 2025. "Assessing Forest Degradation in the Congo Basin: The Need to Broaden the Focus from Logging to Small-Scale Agriculture (A Systematic Review)" Forests 16, no. 6: 953. https://doi.org/10.3390/f16060953
APA StyleBesisa Nguba, T., Bogaert, J., Makana, J.-R., Mate Mweru, J.-P., Sambieni, K. R., Bwazani Balandi, J., Mumbere Musavandalo, C., & Bastin, J.-F. (2025). Assessing Forest Degradation in the Congo Basin: The Need to Broaden the Focus from Logging to Small-Scale Agriculture (A Systematic Review). Forests, 16(6), 953. https://doi.org/10.3390/f16060953

