Restoration of Impounded Forests of Coastal Louisiana Using Spoil Bank Gapping
Abstract
1. Introduction
2. Materials and Methods
2.1. Study Site
2.2. Forested Swamp Vegetation
2.3. Herbaceous Vegetation
2.4. Data Analysis
3. Results and Discussion
3.1. Forest Structure
3.2. Forest Function
3.2.1. Canopy Closure
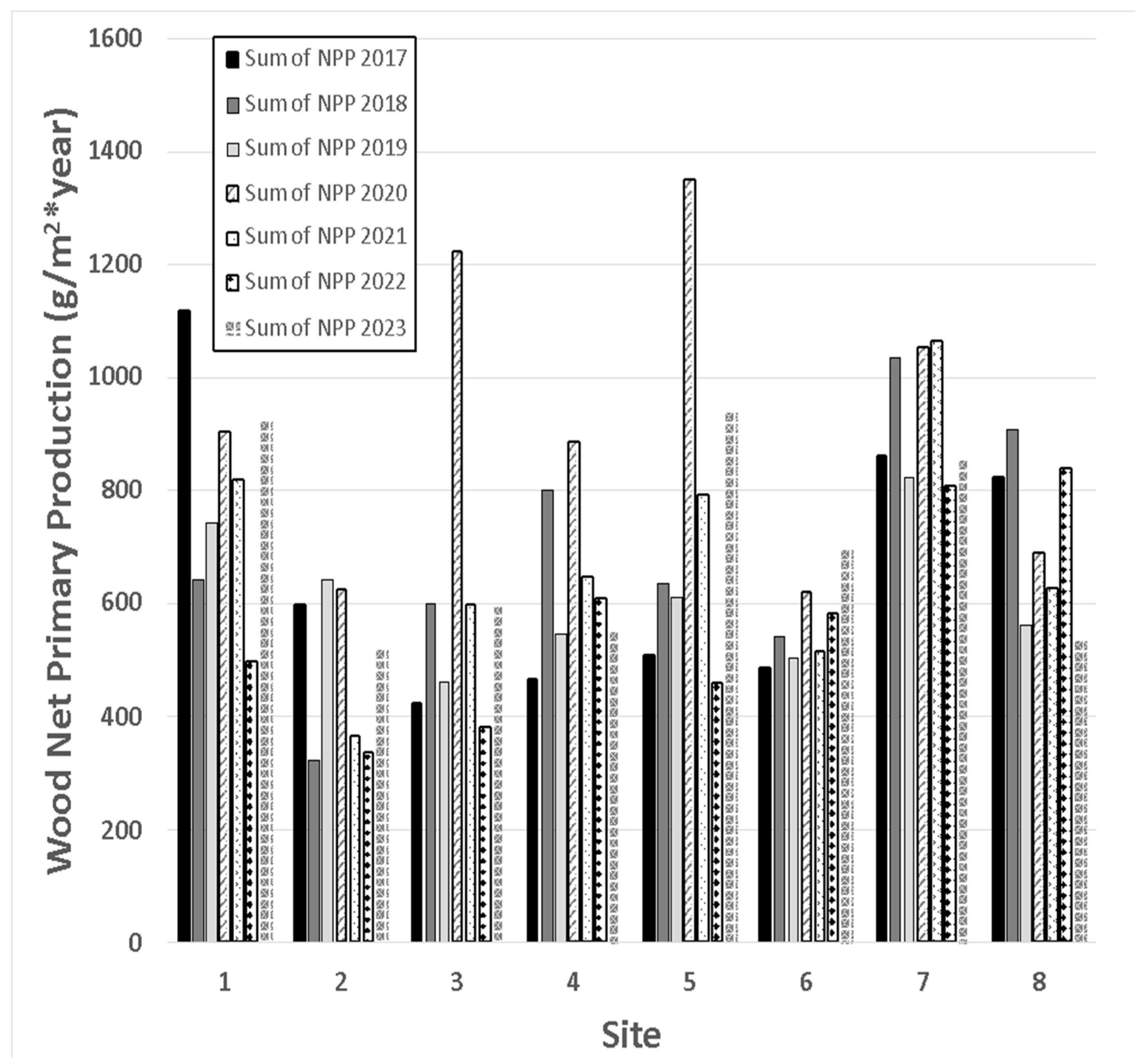
3.2.2. Wood Net Primary Production
3.2.3. Leaf Net Primary Production
3.2.4. Total Aboveground Primary Production
3.2.5. Herbaceous Cover
3.3. Natural Regeneration
3.4. Precipitation
3.5. Stage
4. Conclusions
Author Contributions
Funding
Data Availability Statement
Acknowledgments
Conflicts of Interest
References
- Day, J.W.; Shaffer, G.P.; Cahoon, D.R.; DeLaune, R.D. Canals, backfilling and wetland loss in the Mississippi Delta. Estuarine, Coast. Shelf Sci. 2019, 227, 106325. [Google Scholar] [CrossRef]
- Turner, R.E.; McClenachan, G. Reversing wetland death from 35,000 cuts: Opportunities to restore Louisiana’s dredged canals. PLoS ONE 2018, 13, e0207717. [Google Scholar] [CrossRef] [PubMed]
- Turner, R.E.; Swenson, E.M. The Life and Death and Consequences of Canals and Spoil Banks in Salt Marshes. Wetlands 2020, 40, 1957–1965. [Google Scholar] [CrossRef]
- Mitsch, W.; Gosselink, J. Wetlands, 5th ed.; John Wiley and Sons: New York, NY, USA, 2015. [Google Scholar]
- Day, J.W.; Conner, W.H.; DeLaune, R.D.; Hopkinson, C.S.; Hunter, R.G.; Shaffer, G.P.; Kandalepas, D.; Keim, R.F.; Kemp, G.P.; Lane, R.R.; et al. A review of 50 years of study of hydrology, wetland dynamics, aquatic metabolism, water quality and trophic status, and nutrient biogeochemistry in the Barataria Basin, Mississippi River Delta-System functioning, human impacts and restoration approaches. Water 2021, 13, 642. [Google Scholar] [CrossRef]
- Shaffer, G.P.; Wood, W.B.; Hoeppner, S.S.; Perkins, T.E.; Zoller, J.A.; Kandalepas, D. Degradation of baldcypress-water tupelo swamps to marsh and open water in southeastern Louisiana, U.S.A.: An irreversible trajectory? J. Coast. Res. 2009, 54, 152–165. [Google Scholar] [CrossRef]
- Shaffer, G.P.; Day, J.W.; Kandalepas, D.; Wood, W.B.; Hunter, R.G.; Lane, R.R.; Hillmann, E.R. Decline of the Maurepas Swamp, Pontchartrain Basin, Louisiana, and approaches to restoration. Water 2016, 8, 101. [Google Scholar] [CrossRef]
- Day, J.W.; Shaffer, G.P.; Britsch, D.; Reed, D.; Hawes, S.; Cahoon, D. Pattern and process of land loss in the Louisiana coastal zone: An analysis of spatial and temporal patterns of wetland habitat change. Estuaries 2000, 23, 425–438. [Google Scholar] [CrossRef]
- Day, J.W.; Hunter, R.G.; Keim, R.; Delaune, R.; Shaffer, G.P.; Evers, E.; Reed, D.; Brantley, C.G.; Kemp, G.P.; Day, J.; et al. Ecological response of forested wetlands with and without large-scale Mississippi River input: Implications for management. Ecol. Eng. 2012, 46, 57–67. [Google Scholar] [CrossRef]
- CPRA (Coastal Protection and Restoration Authority of Louisiana). Project Completion Report for Hydrologic Restoration and Vegetative Plantings in the Des Allemands Swamp (BA-34-2); CPRA: Baton Rouge, LA, USA, 2018. Available online: https://www.lacoast.gov/reports/project/BA-34-2_Project_Completion_Report_Final_10_2018.pdf (accessed on 15 December 2024).
- CPRA (Coastal Protection and Restoration Authority of Louisiana). Fiscal Year 2025 Annual Plan: Integrated Ecosystem Restoration and Hurricane Protection in Coastal Louisiana; CPRA: Baton Rouge, LA, USA, 2024. Available online: https://coastal.la.gov/wp-content/uploads/2024/02/FINAL-CPRA_FY25-AP_20240228_print-compressed.pdf (accessed on 15 December 2024).
- Coast 2050: Toward a Sustainable Louisiana: Louisiana Coastal Wetlands Conservation and Restoration Task Force; Louisiana Department of Natural Resources: Baton Rouge, LA, USA, 1998; 161p.
- Shaffer, G.P.; Kandalepas, D.; Stevens, N.; Crocket, T.; Curole, G. Hydrologic restoration of the Lac des Allemands swamp, Barataria, Louisiana. Forests 2021, 12, 1074–1088. [Google Scholar] [CrossRef]
- CPRA (Coastal Protection and Restoration Authority of Louisiana). Louisiana’s Comprehensive Master Plan for a Sustainable Coast-2017 Draft Plan Release; CPRA: Baton Rouge, LA, USA, 2017; 169p. [Google Scholar]
- Hoover, C.M.; Smith, J.E. Current aboveground live tree carbon stocks and annual net change in forests of conterminous United States. Carbon Balance Manag. 2021, 16, 17. [Google Scholar] [CrossRef]
- Conner, W.H.; Day, J.W. Productivity and composition of a baldcypress-water tupelo swamp site and a bottomland hardwood site in a Louisiana swamp. Am. J. Bot. 1976, 63, 1354–1364. [Google Scholar]
- Conner, W.H.; Gosselink, J.G.; Parrondo, R.T. Comparison of the vegetation of three Louisiana swamp sites with different flooding regimes. Am. J. Bot. 1981, 68, 320–331. [Google Scholar] [CrossRef]
- Conner, W.H.; Day, J.W. Water level variability and litterfall productivity of forested freshwater wetlands in Louisiana. Am. Midl. Nat. 1992, 128, 237–245. [Google Scholar] [CrossRef]
- Conner, W.H.; Day, J.W. Rising water levels in Louisiana: Implications for two coastal forested wetland areas in Louisiana. J. Coast. Res. 1988, 4, 589–596. [Google Scholar]
- DuBarry, A.P. Germination of bottomland tree seed while immersed in water. J. For. 1963, 61, 225–226. [Google Scholar]
- Harms, W.R. Some effects of soil type and water regime on growth of water tupelo seedlings. Ecology 1973, 54, 188–193. [Google Scholar] [CrossRef]
- Jafari, N.H.; Harris, B.D.; Day, J.W.; Sasser, C.E.; Kemp, G.P.; Lane, R.R.; Wigand, C.; Holme, G.O.; Freeman, A.; Sharp, L.A.; et al. Wetland soil strength with emphasis on the impact of nutrients and sediments. Estuar. Coast. Shelf Sci. 2019, 229, 106394. [Google Scholar] [CrossRef]
- Krauss, K.W.; Noe, G.B.; Duberstein, J.A.; Conner, W.H.; Stagg, C.L.; Cormier, N.; Jones, M.C.; Bernhardt, C.E.; Graeme Lockaby, B.; From, A.S.; et al. The role of the upper tidal estuary in wetland blue carbon storage and flux. Glob. Biogeochem. Cycles 2018, 32, 817–839. [Google Scholar] [CrossRef]
- Myers, R.S.; Shaffer, G.P.; Llewellyn, D.W. Baldcypress (Taxodium distichum (L.) Rich.) restoration in southeast Louisiana: Relative effects of herbivory, flooding, competition and macronutrients. Wetlands 1995, 15, 141–148. [Google Scholar] [CrossRef]
- Southern, R.F.; Shaffer, G.P. The effects of submergence and light on two age classes of baldcypress (Taxodium distichum (L.) Rich.) seedlings. Wetlands 2000, 20, 697–706. [Google Scholar] [CrossRef]
- Shaffer, G.P.; Day, J.W.; Hunter, R.G.; Lane, R.R.; Lundberg, C.J.; Wood, W.B.; Hillmann, E.R.; Day, J.N.; Stricklan, E.; Kandalepas, D. System response, nutria herbivory, and vegetation recovery of an assimilation wetland in coastal Louisiana. Ecol. Eng. 2015, 79, 120–131. [Google Scholar] [CrossRef]
- Hunter, R.G.; Day, J.W.; Lane, R.R.; Shaffer, G.P.; Day, J.N.; Conner, W.H.; Rybczyk, J.M.; Mistich, J.A.; Ko, J.Y. Using natural wetlands for municipal effluent assimilation: A half century of experience for the Mississippi River Delta and surrounding environs. In Multifunctional Wetlands: Pollution Abatement and Other Ecological Services from Natural and Constructed Wetlands; Nagabhatla, N.N., Metcalfe, C.D., Eds.; Springer: Basel, Switzerland, 2018; pp. 15–81. [Google Scholar]
- Rutherford, J.S.; Day, J.W.; D’Eia, C.F.; Wiegman, A.R.H.; Wilson, C.S.; Caffey, R.H.; Shaffer, G.P.; Lane, R.R.; Batker, D. Evaluating trade-offs of a large infrequent sediment diversion for restoration of a forested wetland in the Mississippi Delta. Coast. Shelf Sci. 2018, 202, 80–89. [Google Scholar] [CrossRef]
- Megonigal, J.P.; Conner, W.H.; Kroeger, S.; Sharitz, R.R. Aboveground Production in Southeastern Floodplain Forests: A Test of the Subsidy-Stress Hypothesis. Ecology 1997, 78, 370–384. [Google Scholar] [CrossRef]
- Megonigal, J.P.; Day, F.P. Organic matter dynamics in four seasonally flooded forest communities of the Great Dismal Swamp. Am. J. Bot. 1988, 75, 1334–1343. [Google Scholar] [CrossRef]
- Delaune, R.D.; Buresh, R.J.; Patrick, W.H., Jr. Relationship of soil properties to standing crop biomass of Spartina alterniflora in a Louisiana marsh. Estuar. Coast. Mar. Sci. 1979, 8, 477–487. [Google Scholar] [CrossRef]
- Hatton, R.S. Aspects of Marsh Accretion and Geochemistry: Barataria Basin, Louisiana. Master’s Thesis, Louisiana State University, Baton Rouge, LA, USA, 1981; 116p. [Google Scholar]
- Vorster, A.G.; Evangelista, P.H.; Stovall, A.E.L.; Ex, S. Variability and uncertainty in forest biomass estimates from the tree to landscape scale: The role of allometric equations. Carbon Balance Manag. 2020, 15, 8. [Google Scholar] [CrossRef]
- Messina, M.G.; Conner, W.H. (Eds.) Southern Forested Wetlands: Ecology and Management; Lewis Publishers: New York, NY, USA, 1998; 640p. [Google Scholar]
- Jenkins, J.C.; Chojnacky, D.C.; Heath, L.S.; Birdsey, R.A. National-scale biomass estimators for United States tree species. For. Sci. 2003, 49, 12–35. [Google Scholar] [CrossRef]
- Rozendaal, D.M.A.; Suarez, D.R.; Sy, V.D.; Avitabile, V.; Carter, S.; Yao, C.Y.A.; Alvarez-Davila, E.; Anderson-Teixeira, K.; Araujo-Murakami, A.; Arroyo, L.; et al. Aboveground forest biomass varies across continents, ecological zones and successional stages: Refined IPCC default values for tropical and subtropical forests. Environ. Res. Lett. 2022, 17, 014047. [Google Scholar] [CrossRef]
- Ricker, M.C.; Blosser, G.D.; Conner, W.H.; Lockaby, B.G. Wood Biomass and Carbon Pools within a Floodplain Forest of the Congaree River, South Carolina, USA. Wetlands 2019, 39, 1003–1013. [Google Scholar] [CrossRef]
- Souther-Effler, R.F. Interactions of Insect Herbivory and Multiple Abiotic Stress Agents on Two Wetland Tree Species in Southeast Louisiana Swamps. Doctoral Dissertations, Louisiana State University and Agricultural & Mechanical College, Baton Rouge, LA, USA, 2004. Available online: https://repository.lsu.edu/gradschool_dissertations/50 (accessed on 15 December 2024).
- Wallace, K.J.; Laughlin, D.C.; Clarkson, B.D.; Schipper, L.A. Forest canopy restoration has indirect effects on litter decomposition and no effect on denitrification. Ecosphere 2018, 9, e02534. [Google Scholar] [CrossRef]
- Dormann, C.F.; Bagnara, M.; Boch, S.; Hinderling, J.; Janeiro-Otero, A.; Schäfer, D.; Schall, P.; Hartig, F. Plant species richness increases with light availability, but not variability, in temperate forests understory. BMC Ecol. 2020, 20, 43. [Google Scholar] [CrossRef] [PubMed]


















Disclaimer/Publisher’s Note: The statements, opinions and data contained in all publications are solely those of the individual author(s) and contributor(s) and not of MDPI and/or the editor(s). MDPI and/or the editor(s) disclaim responsibility for any injury to people or property resulting from any ideas, methods, instructions or products referred to in the content. |
© 2025 by the authors. Licensee MDPI, Basel, Switzerland. This article is an open access article distributed under the terms and conditions of the Creative Commons Attribution (CC BY) license (https://creativecommons.org/licenses/by/4.0/).
Share and Cite
Shaffer, G.P.; Parker, T.; Kandalepas, D.; Stevens, N. Restoration of Impounded Forests of Coastal Louisiana Using Spoil Bank Gapping. Forests 2025, 16, 99. https://doi.org/10.3390/f16010099
Shaffer GP, Parker T, Kandalepas D, Stevens N. Restoration of Impounded Forests of Coastal Louisiana Using Spoil Bank Gapping. Forests. 2025; 16(1):99. https://doi.org/10.3390/f16010099
Chicago/Turabian StyleShaffer, Gary P., Taylor Parker, Demetra Kandalepas, and Nicholas Stevens. 2025. "Restoration of Impounded Forests of Coastal Louisiana Using Spoil Bank Gapping" Forests 16, no. 1: 99. https://doi.org/10.3390/f16010099
APA StyleShaffer, G. P., Parker, T., Kandalepas, D., & Stevens, N. (2025). Restoration of Impounded Forests of Coastal Louisiana Using Spoil Bank Gapping. Forests, 16(1), 99. https://doi.org/10.3390/f16010099
