Abstract
The effect of timber cutting and related management on species composition and diversity in tropical forests has been reported in earlier studies, but the potentially different effects on understory and canopy tree species remains unclear. Our study aim was to assess the variation in species composition and diversity of understory and canopy species along a timber removal (“logging”) gradient. We assessed the species composition, alpha and beta diversity, and compared species composition of canopy trees in plots with different management histories in Budongo. Our findings revealed logging contributed 18.1% to the beta diversity of species composition as measured by distance-based redundancy analysis (dbRDA) and species composition decreased with logging intensity (R2 = −0.415). Unlogged forest had higher species diversity for both understory and canopy tree species compared with logged forests. Species composition of logged/unlogged forests were significantly different from those of the forest succession types. Our study adds new information on the effect of logging on the species composition of understory and canopy trees in lowland tropical forests. We found logged forests do not recover species composition within seven decades, diversity within, and what previously distinct successional types were, have become, and remain, mixed in nature.
1. Introduction
Forest composition and diversity reflect numerous ecological processes that can be modified by management [1]. In tropical forests, trees and shrubs typically display higher diversity compared to herbs, epiphytes, and climbers [2], and their interactions and coexistence helps to form distinct biodiversity [3]. Timber production practices can disrupt these patterns, impacting wildlife habitats, reducing the availability of timber and non-timber forest products, and diminishing ecosystem services critical for climate regulation and watershed protection [4]. Despite their crucial role in biodiversity conservation and the provision of essential ecosystem services, tropical forests continue to face significant degradation, primarily driven by selective logging [4]. Selective tree harvest is a management practice employed to extract timber from commercially valuable species of specified cutting diameter sizes [5]. The selective harvest of many trees (>5 trees ha−1 or volume > 15 m3 ha−1) has been argued to cause forest degradation [6,7] leading to a decline in biodiversity and forest-dependent ecosystem services [8]. In East Africa, forest cover has declined over the last decades [9]. Noticeably, Uganda lost about 33.3% of its tropical forest cover between 1990 and 2015 to deforestation, with the remaining forests devoid of valuable timber species [10].
The principles behind selective timber harvesting and associated management practices (hereafter “logging”) are to produce timber sustainably while also safeguarding forest biodiversity and ecosystem services. To be sustainable, it requires appropriate regulations on what can be harvested in terms of cutting diameter, number of residual crops, mother trees to retain, specified harvesting cycles, appropriate soil, and tree damage reduction strategies [4]. In Uganda, Budongo Forest was selectively logged for timber trees of a diameter at breast height, DBH (>130 cm) from the 1940s to 1950s using a polycyclic harvesting method with a cycle of 30–40 years [11]. The polycyclic method was replaced with a monocyclic method for trees of DBH >80 cm from the 1960s to 1990s and DBH > 60 cm from 1991–2010 on a harvesting cycle of 60–80 years [12]. The monocyclic method allows drastic opening of forest canopy to facilitate tree regeneration [13]. In addition, stand improvement, i.e., increasing the relative abundance of valued timber species, was conducted by the poisoning of non-commercial tree species using arboricide, enrichment planting of Khaya anthotheca C.DC., Entandrophragama utile (Dawe & Sprague) Sprague, Entandrophragma cylindricum (Sprague) Sprague, and Entandrophragma angolense (Welw.), and the processing of less valuable species for charcoal [11]. Since March 2012, the Uganda government has banned timber cutting in all natural forests [14].
Timber is a globally significant natural resource, essential for construction, furniture, and paper production [4]. By 2020, one-third of forests worldwide were used for timber production, with logging identified as a primary driver of forest degradation [4]. This degradation hinders tree regeneration and increases the mortality of future crops [4,15]. The retention of few large timber trees and the proliferation of non-commercial species in logged forests are aspects of these changes [16]. The removal of large timber trees reduces the forest basal area [8] and modifies the composition and diversity of regrowth [17,18]. The decline in large tree populations also adversely affects forest ecosystems as these trees play a crucial role in regulating microclimatic conditions, sustaining species diversity, and maintaining ecological balance [19,20]. These disturbances such as logging can influence the diversity of both understory and canopy species, highlighting the need for further research on the effects of logging on tree species composition and diversity, as plant species may respond differently to forest degradation [21,22]. Logging in tropical forests, such as those in the Amazon, Borneo, and the Congo Basin, has been shown to disrupt species composition and biodiversity [6,7,8,15,16,17,18,22]. Budongo hosts a rich forest and various conservation values including chimpanzees. Its ecological richness, combined with its role as a catchment forest for the Nile River, climate regulation, and carbon storage, reinforces its importance in global biodiversity conservation efforts. Therefore, findings from Budongo contribute to the broader discourse on forest management.
Various studies in tropical forests assess the species composition and diversity of established trees with a stem diameter (DBH ≥ 10 cm) [23,24,25] with regards to selective logging disturbance. However, there is no consensus from the findings about the effect on the different components of biodiversity as some scholars have reported an increase in alpha diversity after logging [26,27,28], while others have reported either negative effects on biodiversity [29,30,31,32] or no significant effect [17]. As reported by scholars, species composition is one of the most affected aspects of biodiversity and most importantly, concerns have been raised that logging may cause a variation in species composition of canopy species [33,34]. However, few studies have examined the composition and diversity of understory and canopy woody species [35,36,37] especially as influenced by logging disturbance. Concisely, in the absence of logging or any disturbance, the species composition of the understory and canopy should be similar [38]. This implies that any large difference in species composition between the understory and canopy could be indicative of a non-equilibrium condition which can also happen even in old-growth tropical forests [39]. The forest understory is the lowest forest stratum from the soil to below the canopy tree crowns and it plays a critical role in forest dynamics due to its high rate of turnover [37,40]. On the other hand, the canopy tree species primarily grow and occupy the upper forest stratum while providing the critically needed habitats for various organisms and regulating the microclimatic conditions of the understory [21,41].
Ecologists have used diversity measures to assess the variation in tree species and/or community composition, i.e., alpha diversity [42,43] and beta diversity [44]. Species richness and diversity can provide evidence to inform conservation strategies [45,46]. Tree composition and diversity is expected to co-vary with disturbance history and magnitude [47,48]. Disturbance by logging may cause variation in the patterns of tree species composition (beta diversity) for different tree categories within a forest landscape [49]. As noted by [50], beta diversity—compositional dissimilarity between a given pair of vegetation plots—is also strongly affected by the landscape species pool and tree number in each plot. Globally, there are relatively few studies that focus specifically on beta diversity within logged tropical forests, as much of the research has primarily concentrated on alpha diversity within these ecosystems [44,50]. Although the biodiversity impacts of tropical forest recovery have been well documented in regions like the Amazon [7,20] and Asia [17,22], the effects of logging on species composition and diversity, particularly in the understory and canopy layers, have not been fully explored. In the Budongo Forest, while several studies have assessed the impact of logging on tree regeneration [51,52], recovery of tree species composition [53], species richness and diversity [43,54], and the abundance of late-successional species [55], as well as changes in species composition since Eggeling’s 1947 profile [56], there has been little focus on how logging influences the composition and diversity of the understory and canopy species. Ongoing changes in successional patterns and species composition, especially among canopy species following logging, highlight the need for further research. Assessing both alpha and beta diversity across forest blocks and varying logging intensities is crucial for understanding forest sustainability, mitigating climate change, and guiding restoration efforts. These studies on forest biodiversity, particularly species recovery after disturbance, are essential for informing effective management and conservation strategies [45,57,58]. The aim of this study was to assess the influence of different logging intensities on the composition and diversity of understory and canopy species. The objectives of this study were as follows: (a) to assess the alpha and beta diversity of canopy tree species across different logging intensities; and (b) to compare the canopy species composition of logged forests with the forest successional stages characterized for Budongo by Eggeling (1947) [59]. We hypothesized that (a) the alpha and beta diversity of understory and canopy tree species decreases with logging disturbance intensity; and (b) the canopy tree species composition of logged forests is closely related with the forest succession types characterized for Budongo. We asked the following research questions:
- How do the species richness, diversity, and composition of understory and canopy species vary between the management blocks and across the logging gradient?
- How do the beta diversity (turnover and nestedness) of species composition of understory and canopy species vary along the logging gradient?
- Does the canopy species composition in the plots of logged and unlogged forest areas resemble those indicator species found within the plots of the characterized successional stages in Budongo?
In this study, valuable insights are provided into the ecological dynamics of logged forests and their recovery pathways. Thus, this information is crucial for developing strategies to conserve biodiversity and maintain forest ecosystem functions in the face of global biodiversity loss and anthropogenic pressures.
2. Materials and Methods
2.1. Study Area
We conducted this study in Budongo Forest, a lowland semi-deciduous tropical forest (1°37′–1°55′ N and 31°22′–31°46′ E), situated in western Uganda within the Albertine Rift Eco-region [59]. The forest spans an area of approximately 825 km2, and is bordered in the north by Murchison Falls National Park [60]. The forest acts as a water catchment area for River Nile and Lake Albert. The lowest and highest peaks are 700 m and 1270 m above sea level [53]. The forest experiences two rainy seasons, i.e., March to May and September to November, with annual rainfall between 1200 mm and 1800 mm [47]. The soils are ferralitic and mostly nutrient-poor [59]. The topography is gentle overall but includes some undulating hilly terrain. Budongo is the largest natural tropical forest in Uganda, and initially known as the home for mahogany species, e.g., the Khaya and Entandrophragma species [61]. Taxonomic records indicate that over 260 tree species have been identified and floristically, it is similar to those of the great Ituri Forest of the Democratic Republic of Congo [47]. Within Budongo, logging of commercial timber species especially mahoganies begun in 1935 during the colonial period [53]. However, due to the declining timber stocks, large sawmill operations were stopped in 1992 and salvage of timber (≥60 cm) using the pit-sawing method continued up to 2010 [12]. Of late, illegal harvesting, especially of poles and timber of various species, have been found to be rampant within the forest [62]. Timber extraction increased with the distance from the forest edge into the interior [62]. Our results of field reconnaissance revealed Khaya anthotheca and Cordia millenii Bak were the most illegally harvested species. We carried out a tree inventory in the heavily logged, lightly logged, and unlogged compartments within Budongo (Figure 1).
Figure 1.
Locations of study sites and logging intensities within Budongo Forest, Uganda. (A) shows a map of Africa highlighting Uganda, (B) shows a map of Uganda with Budongo Forest indicated, and (C) presents a map of Budongo Forest displaying the locations of study sites categorized by logging intensities.
2.2. Study Design
Nine (9) compartments where logging was carried out at different intensities were selected (Table 1). The selected compartments were N1, N5, and N15 in Nyakafunjo block; B1, B2, and B4 in Biiso block; and W19, W20, and W21 in Waibira block [63]. We used every available piece of information on logging records from the management plans and earlier studies on construction of commercial volume tables [64] and merchantable volumes [65] to generate three logging intensities, i.e., (a) heavily logged compartments were both mechanically logged and pit-sawn; (b) lightly logged, where the compartments were only mechanically logged and showed a long recovery time [53] and or relatively lower timber removal [53]; and (c) the unlogged compartments which are untouched by logging and is either reserved as a strict nature reserve [66] and/or had minimal to no logging condition [66]. Using mean form height of 11.5 m for mature commercial trees [64] and merchantable volume equation [65], we estimated the merchantable volume that could come from a commercial tree of stem diameter, i.e., DBH > 130 cm between 1935 and the 1950s (mechanically logged only) as 7.69 m3 tree−1, DBH > 80 cm between 1960 and the 1990s as 2.91 m3 tree−1, and DBH > 60 cm between 1991 and 2010 as 1.63 m3 tree−1. The implication is that earlier logged compartments had bigger trees and hence, fewer trees were removed compared to the lately logged and pit-sawn compartments. Note, the volume of commercial trees allowed to be harvested from natural forests using the pit-sawn method was capped at 15 m3 ha−1 [67]. However, in Budongo Forest, pit-sawing activities caused a lot of disturbance as the pit-sawyers cleared the undergrowth and cut several smaller trees during the construction of the pit-sawing platforms [52,68] and other trees were illegally harvested [69].
Table 1.
Summary of logging intensities, compartments, logging methods and periods, timber volume extracted through mechanical logging, and years since the compartments were last logged in Budongo Forest, Uganda.
The merchantable volume [65] is shown below:
where Vm is the estimated merchantable volume (m3); DBH is the diameter (cm); and H (m) is the height from the ground to the smallest diameter immediately below the insertion of the first major live branch.
2.3. Sampling Plot Design
Following [43,59], we employed a rectangular plot design of 100 m × 50 m because this plot size has been shown to be adequate in sampling even rare woody species in Budongo Forest. We developed grid maps for each selected compartment and randomly selected one grid for transect placement. In each compartment, a one kilometer transect was randomly cut towards the forest edge with starting points placed at approximately 100 m away from the compartment interior boundaries. All transects were running north–south and five plots of 100 m × 50 m were laid alternately at an interval of 200 km apart along each transect to capture the different topographic gradients. To minimize variations in environmental factors within plots, the longest side of each plot was laid along the contour [43].
2.4. Field Data Collection
We conducted tree inventory between November of 2022 and December of 2023. We demarcated the plots in each compartment and marked the boundaries using ribbons. We identified, recorded, and measured all live woody stems of diameter (DBH) ≥ 2 cm in all the plots. Diameter measurement was taken at 1.3 m above the ground from the upper slope or immediately above buttresses (if higher) using a diameter tape. Each tree was identified to species level by an experienced tree parabotanist who had been working in Budongo Forest as a field assistant. Species names were confirmed based on the literature [70,71,72]. Note, many scholars have defined understory and canopy species in different forms, i.e., diameter-size classes [73], height and diameter ranges [74], and canopy layers [75]. For the purpose of this study, species were classified as understory or canopy trees using ecological knowledge from the Ugandan literature on the growth forms of indigenous trees and shrubs [70,71,72]. This classification is justified by the extensive forestry research conducted in Uganda since the 1920s, which has comprehensively categorized species based on their growth forms and ecological roles. To ensure accuracy, we cross-referenced information from three different books that detailed the growth forms of various species across different regions and forest types in the country. Specimens of unidentified plants were collected and deposited at Makerere University herbarium.
We obtained data on Budongo Forest succession types, i.e., colonizing forest, mostly dominated by Maesopsis eminii Engl, and Olea capensis L. subsp. welwitschii (Knobl.) Friis & Green (Knobl.) Gilg & G. Schellenb; swamp forest, which has a composition of mixed forest along streams but mostly dominated by Pseudospondias microcarpa (A. Rich.) Engl., Fleroya stipulosa (DC.) Y.F. Leroy; ecotone between colonising and mixed forest, which is dominated by species in the colonizing and mixed forests; mixed forest, dominated by Gambeya species and Khaya anthotheca C.DC.; ecotone between mixed forest and iron forest, dominated by species in mixed and iron wood forests; and iron (climax) forest, dominated by Cynometra alexandri C. H. Wright [59]. We summarised the forest succession type data into a list of all species recorded, their abundance value, and growth form for analysis and comparison with our species logging intensity dataset (heavily logged, lightly logged, and unlogged).
2.5. Statistical Analysis
2.5.1. Species Accumulation and Rarefaction Curves
The mean number of species per plot for each management block and logging intensity was used to calculate a species-area relationship [76], and a rarefaction curve was generated by standardizing the number of plot samples across logging intensities [77].
2.5.2. Alpha Diversity and Species Composition of Understory and Canopy Tree Species
Species richness was calculated using the formula proposed by [78] and species diversity was calculated using the following information theory-based indices of species diversity, i.e., the Shannon–Wiener index (H’) [79], Fisher’s alpha index (a) [80], and Pielou’s evenness index (J) [81]. We used the diversity function of “vegan” package in R 4.3.3 to perform the analysis [82]. Response variables were tested for normality with the Kolmogorov–Smirnov procedure. For normally distributed data, the differences in mean diversity indices among logging intensities were analyzed using one-way analysis of variance (ANOVA), followed by the Tukey post-hoc test (Tukey’s HSD), while for the data that did not conform to the assumptions of normality, we used Kruskal–Wallis test and a post-hoc Dunn’s test for multiple comparison at p = 0.05 [50]. For species composition, we computed relative abundance and used Bray–Curtis dissimilarity [83] to compare species composition between plots among the management blocks and logging intensities [82]. All analyses were conducted in the R 4.3.3 statistical software package [84].
2.5.3. Beta Diversity of Understory and Canopy Species
Prior to calculating the species beta diversity, rare species (frequency < 3) were excluded from the beta diversity analysis to minimize noise, reduce sampling bias, and focus on ecologically meaningful patterns in species composition [85]. We analyzed species compositional differences of understory and canopy tree species among logging intensities using presence–absence data matrix. A non-parametric pair-wise multiple response permutation procedure (MRPP; Bray–Curtis dissimilarity; 999 permutations) [83] was performed using the “vegan” package in R 4.3.3 [82].
Beta diversity (β) of understory and canopy species in each logging intensity was partitioned into two components (turnover and nestedness) using the “bray.part” function from the “betapart” package [86]. We used a generalized dissimilarity modelling in R using the GDM package [87] to compare species compositional dissimilarity among the logging gradient. We further tested species compositional dissimilarity for understory and canopy tree species using permutational multivariate analysis of variance (PERMANOVA) “adonis” function in “vegan” package in R 4.3.3 [82].
2.5.4. Comparison in Species Composition of Logged and Unlogged Forests with the Characterized Forest Successional Stages in Budongo Forest
We evaluated the overall impact of logging on species composition by analyzing tree species with a stem diameter (DBH ≥ 10 cm) from both the logging dataset and the forest succession type dataset. To explore the variability in species composition between plots, we employed non-metric multidimensional scaling (NMDS) [88] using the “vegan” package [82]. Relative abundance was used as species scores to visualize the composition of the plots within a two-dimensional ordination space. We used the Jaccard dissimilarity to compute the dissimilarity matrix between plots [89]. We used the hierarchical clustering “hclust(bray-curtis)” package to cluster the different forest types. We compared species composition between different forest types using PERMANOVA “adonis” function in “vegan” package in R 4.3.3 [82]. We performed multi-pattern level analysis to identify indicator species associated with the different forest types using “multipatt” package in R 4.3.3 [84].
3. Results
3.1. Patterns of Composition Among the Management Blocks and Logging Intensities
Overall, we recorded 37,594 trees, shrubs, and palms within 45 plots (22.5 ha). Of these, we identified 37,582 belonging to 215 species and 51 families while 12 individuals were unidentified. There were 92 understory species, 114 canopy species, and 9 treelet species. Out of the identified individuals, 20,029 were understory tree species, 17,096 were canopy species, and 457 were treelets. Late successional species were almost six times more than pioneer species, i.e., 32,393 versus 5, 187 individuals. Two exotic tree species (Psidium guajava L. and Senna spectabilis (DC.) H. S. Irwin and Barneby) were also recorded during the inventory.
Species accumulation in all the management blocks appears to have been well covered with species accumulation levelling off, but this was not the case for unlogged forest (Figure 2). The rarefaction showed higher species richness in unlogged forest compared to logged forest (Figure 2). The reason for unlogged forest not reaching an asymptote in the species accumulation curve could be due to the low sample size of plots or the high spatial heterogeneity of species distribution in the area, indicating that more extensive sampling is needed to fully capture species richness.
Figure 2.
Species accumulation and rarefaction curves for the inventoried trees across different management blocks and logging intensities in Budongo Forest, Uganda. The curves (A,B) illustrate species accumulation across the management blocks and logging intensities while (C) shows the rarefaction curves for species richness, standardized to the number of plots, for heavily logged, lightly logged and unlogged forest areas. These curves help to visualize how species richness varies across the disturbance gradient and management blocks in Budongo Forest.
Species composition of the understory were mostly dominated by Rinorea beniensis Engl; Lasiodiscus pervillei Baill; Alchornea laxifora Pax and K. Hoffm; and Drypetes ugandensis Hutch while the canopy species were dominated by Celtis mildbraedii Engl. in heavily logged forests, Funtumia elastica (Preuss) Stapf. in lightly logged forests, Cynometra alexandri C. H. Wright in unlogged forests, and Khaya anthotheca C.DC followed after those three species in all the forest types. For the understory, A. laxiflora was prominent in heavily logged and lightly logged forests, while D. ugandensis was extensively found in unlogged forests. The other two species of the understory, i.e., R. beniensis and C. mildbraedii, were generally distributed within the different logging disturbances. Overall, these eight species had 23,658 individuals contributing to 63.1% of the total tree species abundance in Budongo Forest.
Our results on the shared and unique species of both understory and canopy species between management blocks and logging intensities are indicated in Figure 3. Most species were shared, with 59.7% of canopy species and 43.5% of understory species overlapping between management blocks, and 60.5% of canopy species and 46.7% of understory species overlapping between logging intensities. Although the number of unique species were few for both the blocks and logging intensities, the heavily logged and lightly logged forests had a higher number of unique shared species compared to unlogged. The unique and common species shared across the management blocks and logging intensities species can be obtained from Supplementary Materials.
Figure 3.
Non-symmetric Venn diagram illustrating the numbers of unique and shared species of the following: (A,C) canopy species; (B,D) understory species across management blocks and logging intensities in Budongo rainforest, Uganda.
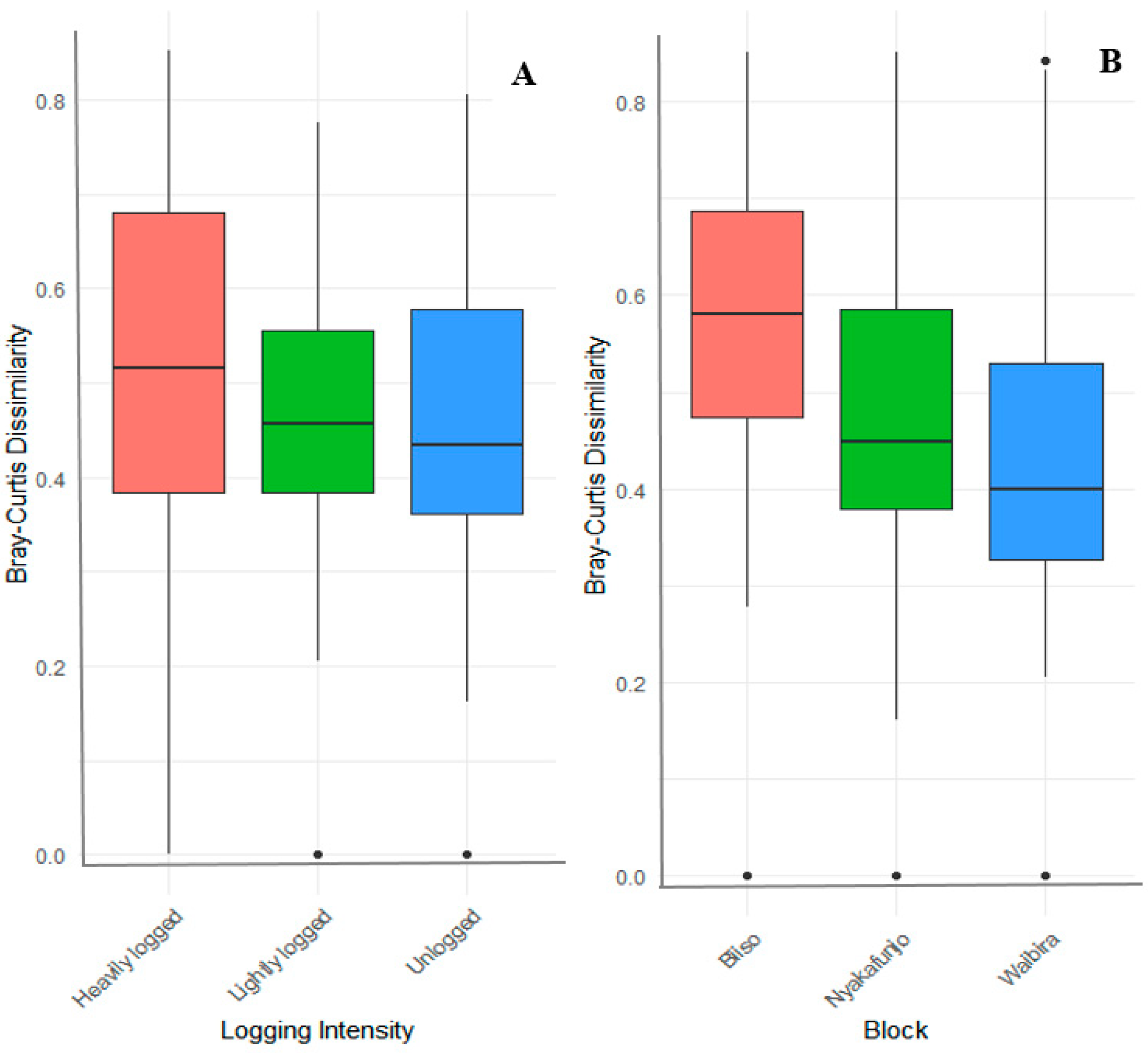
The results of variation in species composition as measured by Bray–Curtis dissimilarity among the management blocks and logging intensities are indicated in Figure 4. The PERMANOVA results showed a significant difference in species composition between blocks (F2, 42 = 11.54; R2 = 0.316; p = 0.001) and logging intensities (F2, 42 = 7.49; R2 = 0.124; p = 0.001). The results of pairwise comparison (Figure 4) revealed significant differences existed between Waibira and other blocks, heavily logged, and other logging intensities (Figure 4).
Figure 4.
Variation in species composition as measured by Bray–Curtis dissimilarity among the following: (A) logging intensities; and (B) management blocks in Budongo rainforest, Uganda. Heavily logged had significantly higher species dissimilarity with lightly logged (R2 = 0.318; F2, 42 = 3.684; p = 0.033) and unlogged (R2 = 0.495; F2, 42 = 5.164; p = 0.018); Waibira block exhibited lower species composition compared to Nyakafunjo block (R2 = 0.216; F2, 42 = 2.586; p = 0.015) and Biiso block (R2 = 0.327; F2, 42 = 4.391; p = 0.008). Outliers in Bray-Curtis for lightly logged and unlogged forests suggest greater plot-level similarity due to localized factors. The absence of outliers in heavily logged forests is most likely due to community homogenization. While outliers in Waibira on both sides indicate high habitat heterogeneity compared to outliers on only the lower side for Biiso and Nyakafunjo, reflecting potentially shared landscap features.
3.2. General Patterns of Species Richness and Diversity Between Management Blocks and Species Along Logging Gradient
3.2.1. Variation in Species Richness Between Management Blocks and Among Logging Intensities
Species richness was found to be higher in the unlogged forest followed by lightly logged and lower in heavily logged forests (Table 2). The results of the Kruskal–Wallis test showed a significant difference in species richness between the blocks (H = 16.15; p = 0.003) and logging gradient (H = 15.24; p = 0.001). The difference existed between all the blocks and logging intensities (Figure 3). The results of species diversity also showed a significant difference between the blocks (H = 27.48; p = 0.001) but not logging intensities (H = 0.95; p = 0.621) for all the tree categories. However, when tested for stems (DBH ≥ 10 cm), a significant difference became obvious among the logging intensities (H = 11.78; p = 0.008).
Table 2.
Impact of logging on forest recovery of understory and canopy trees as measured by species richness, average species richness/ha, family, Shannon–Wiener index (H′), Fisher’s (α), and Pielou’s evenness (J′) index in heavily logged, lightly logged, and unlogged forests of Budongo Forest.
3.2.2. Variation in Species Diversity Between Management Blocks and Among Logging Intensities
Comparison of diversity indices using Dunn’s post-hoc test with the Bonferroni correction for multiple comparisons for species richness were made for trees with a diameter of (DBH ≥ 10 cm) among blocks and logging intensities (Figure 5). Only species richness and the Shannon index were significant between blocks and logging intensities while Pielou’s evenness and Fisher’s alpha were only significant for blocks (Figure 5).
Figure 5.
Comparison of diversity indices for trees of diameter (DBH ≥ 10 cm): (A) Shannon index for management blocks; (B) Shannon index for logging intensities; (C) species richness for management blocks; (D) species richness for logging intensities; (E) Pielou’s evenness for management blocks; and (F) Fisher’s alpha index for logging intensities in Budongo rainforest, Uganda. Shannon–Weiner index was significant between Biiso and Nyakafunjo (p = 0.002), Biiso and Waibira (p < 0.001), and not Nyakafunjo and Waibira (p = 0.196); species richness in Waibira block was significantly different compared to Nyakafunjo block (p = 0.022) and Biiso block (p = 0.001); Pielou’s evenness was significant between Biiso and Nyakafunjo (p < 0.001), Biiso and Waibira (p < 0.001), and not Nyakafunjo and Waibira (p = 0.739); and Fisher’s alpha was significant between Biiso and Nyakafunjo (p = 0.014), Biiso and Waibira (p = 0.001), but not between Nyakafunjo and Waibira (p = 0.358). The outliers suggest variability in diversity and community structure driven by differing logging intensities and ecological conditions across blocks.
3.2.3. Species Diversity for Understory and Canopy Tree Species Along Logging Gradient
Species richness and the diversity of understory and canopy species were significantly different as revealed by ANOVA results for growth-form (F1, 84 = 166.84; p < 0.001) and logging gradient (F2, 84 = 22.25; p = 0.001). Again, the ANOVA results showed species diversity (Shannon–Wiener index) was significantly different between growth-form (F1, 84 = 141.03; p < 0.001) and among logging intensities (F2, 84 = 20.24; p = 0.001). The results of Tukey’s post-hoc HSD tests showed a significant difference in understory species richness across all logging intensities (Figure 6A). Nonetheless, for canopy trees, a significant difference in species richness was only observed between unlogged and logged forests, with no significant difference between heavily logged and lightly logged forests (Figure 6A). Again, the results for the Shannon index showed a significant difference in understory species richness across all logging intensities (Figure 6). Conversely, for canopy trees, significant differences in species diversity were observed between heavily logged and lightly logged forests and heavily logged and unlogged forests, with no significant difference between lightly logged and unlogged forests (Figure 6B).
Figure 6.
Differences in species richness (A) and diversity (B) as revealed by post-hoc Tukey’s HSD tests for both the understory and canopy tree species across logging intensities in Budongo rainforest, Uganda. Significant difference existed in species richness of understory species between heavily logged and lightly logged (p = 0.011), heavily logged and unlogged (p < 0.001), lightly logged and unlogged (p < 0.001); also a significant difference existed in species richness for canopy species between heavily logged and unlogged (p < 0.001), lightly logged and unlogged (p = 0.002), but not between heavily logged and lightly logged (p = 0.321). Again, a significant difference in Shannon index was observed in understory species between heavily logged and unlogged (p < 0.001), heavily logged and lightly logged (p = 0.001), lightly logged and unlogged (p < 0.001); also Shannon index for canopy was significant for heavily logged and unlogged (p = 0.026) but not between lightly logged and unlogged (p = 0.259). Outliers in species richness and Shannon diversity suggest diversity variability driven by disturbance levels, habitat complexity, or localized conditions.
3.2.4. Beta Diversity of Understory and Canopy Species Across Logging Intensities
At tree community level, the result of distance-based redundancy analysis (dbRDA) showed logging contributed to 18.1% in the change in beta diversity and also the coefficient revealed that higher logging intensities are associated with a decrease in species composition (F2, 42 = 14.161; R2 = −0.415; p = 0.003). The results of beta diversity partitioning into turnover and nestedness components for understory and canopy species using PERMANOVA indicated a significant difference in species composition among the logging intensities for both turnover (F2, 42 = 9.48; p = 0.001) and nestedness (F2, 42 = 8.32; p = 0.001) (Figure 7).
Figure 7.
Variation in beta diversity for (A) turnover and (B) nestedness for both understory and canopy trees as measured by Bray–Curtis dissimilarity across logging intensities in Budongo rainforest, Uganda. Significant difference was observed in turnover of understory species between heavily logged and unlogged (R2 = 0.183; F2, 42 = 4.028; p = 0.009), lightly logged and unlogged (R2 = 0.192; F2, 42 = 3.551; p = 0.009), but not between heavily logged and lightly logged (R2 = 0.043; F2, 42 = 0.933; p = 0.253); also turnover for canopy species was significant between heavily logged and unlogged (R2 = 0.217; F2, 42 = 2.852; p = 0.001), lightly logged and unlogged (R2 = 0.126; F2, 42 = 2.639, p = 0.001), and heavily logged and lightly logged (R2 = 0.065; F2, 42 = 1.863, p = 0.034); while for nestedness, significant difference was observed for understory between heavily logged and unlogged (R2 = 0.2881; F2, 42 = 4.216; p = 0.002), lightly logged and unlogged (R2 = 0.097; F2, 42 = 1.952, p = 0.019), but not between heavily logged and lightly logged (R2 = 0.037; F2, 42 = 0.833, p = 0.627); Again, significant difference was observed for nestedness of canopy species between heavily logged and unlogged (R2 = 0.225; F2, 42 = 3.925, p = 0.003), lightly logged and unlogged (R2 = 0.184; F2, 42 = 3.374, p = 0.004), and heavily logged and lightly logged (R2 = 0.069; F2, 42 = 0.916, p = 0.381). Outliers in Bray–Curtis dissimilarity likely reflect ecological variability or patchy species distribution in less disturbed forests. In contrast, the absence of outliers in heavily logged forests suggests homogenized species composition, underscoring the role of lightly logged and unlogged forests in maintaining beta diversity.
3.3. Patterns of Species Composition in Logged and Unlogged Forest Areas Compared with Successional Stages Characterised in Budongo Forest
Our results reveal a spatial gradient of selective logging disturbance (Figure 8(2A)). Unlogged plots are clustered at the central position, indicating that the species in these plots are less affected by logging, making them a valuable reference point for the forest’s original composition. Lightly logged plots are positioned mostly around the unlogged plots and remain relatively close, suggesting moderate changes in species composition due to selective logging. Two plots from heavily logged forests showed a directional pattern toward the ecotone between colonizing and mixed forest types. Additionally, one unlogged forest plot exhibited a directional pattern toward the swamp forest type, while one lightly logged forest plot and two heavily logged forest plots showed a directional pattern toward the mixed forest type (Figure 8(1A,2A)). Overall, the results indicate that four out of five unlogged plots, seven out of fifteen lightly logged plots, and eight out of twenty-five heavily logged plots exhibited positive patterns toward the upper successional stages (Figure 8(1A,2A)). In contrast, the heavily logged plots, while still distributed around the central unlogged cluster, are located farther away, indicating a more pronounced shift in species composition likely driven by logging-related disturbances.
Figure 8.
(1A) A stress vs. ordination distance plot, a diagnostic plot used to assess the quality of the ordination results from non-metric multidimensional scaling (NMDS) in species composition analysis; (2A) visualization of tree species composition of stem diameter (DBH ≥ 10 cm) using non-metric multidimensional scaling (NMDS): purple circle contains 2 plots for colonizing; green circle contain only 1 plot for ecotone between colonizing and mixed forest types; red circle contains 5 plots of unlogged, 15 plots of lightly logged, and 25 plots of heavily logged forest types; black circle contain only 1 plot of swamp tree community; yellow circle contains 2 plots of mixed forest type; blue circle contains 2 plots of ecotone between mixed and ironwood forest; and orange circle contains 2 plots of ironwood forest; and (B) dendrogram representing a hierarchical clustering of nine forest types based on species composition differences in Budongo rainforest, Uganda.
The results of hierarchical clustering showed clear differences between the forest types (Figure 8B) with heavily logged and lightly logged grouped closely at a lower height compared to unlogged forest branching off early, indicating its species composition is quite distinct from both logged and lightly logged. The other succession forest types also shows clear patterns of species differences with swamp having more species composition, followed by colonizing and least by ironwood (climax) forest. Our NMDS analysis, performed using the metaMDS function, yielded a stress level of 0.14, with a non-metric fit (R2) of 0.942 and a linear fit (R2) of 0.753. The PERMANOVA revealed significant differences in species composition between the forest types (R² = 0.294; F8, 46 = 5.16; p = 0.001).
Multilevel pattern analysis with indicator species revealed the following patterns: (a) heavily logged forest had 22 species associated with it but only 4 (Macaranga barteri Müll. Arg, Harungana madagascariensis Poir, Argomuellera macrophylla Pax, and Zanha golungensis Hiern.) were significant; (b) lightly logged forest had 18 species but only 4 (Ficus variifolia Warb; Ficus exasperata Vahl; Dasylepis eggelingii J.B. Gillett; and Rinorea ilicifolia (Welw. ex Oliv.) Kuntze) were significant; (c) unlogged forest had six species but only two (Fleroya stipulosa (DC.) Y.F. Leroy. and Pleiocarpa pycnantha (K. Schum.) were significant. Meanwhile these three species, i.e., Cynometra alexandri C.H. Wright, Khaya anthotheca C.DC., and Celtis mildbraedii Engl.) were significantly associated with all the logging intensities. The indicator species for the different forest succession types are well documented [59]. Additionally, some species were associated with multiple forest types, as follows: Drypetes ugandensis Hutch. was associated with three forest types; Mildbraediodendron excelsum Harms was associated with four forest types; Lasiodiscus pervillei (mildbraedii) Baill., Alstonia boonei De Wild., Trichilia rubescens Oliv., and Erythropyleum suaveolens (Guill. & Perr.) Brenan were associated with five forest types; Trilepisium madagascariense DC., Klainedoxa gabonensis Pierre ex Engl., and Trichilia prieuriana A. Juss were associated with six forest types; and Khaya anthotheca, Cynometra alexandri, and Celtis mildbraedii were significantly associated with all forest types, except for the colonizing forest.
4. Discussion
4.1. Variation in Species Richness and Composition Along Logging Gradient
Our results of the species richness (Table 2) and composition (Figure 3 and Figure 4) comparison of understory and canopy species showed a high similarity in the number of common species shared between management blocks and logging gradient. Distinctive patterns in species richness were shown to exist between the blocks within the eastern management block (Waibira) having a low species richness compared with the intermediate (Nyakafunjo) and western (Biiso) management blocks, as previously reported [53]. Likely, this reflects the various local influences, but we know that the compartments in Budongo have different ages and succession types [59], while local soil characteristics and topographic variables also contribute [90]. It was also found in our study that the understory and canopy species richness differed between management blocks, logging gradient, and unlogged forest had more species richness per hectare compared to logged forest. The lower species diversity observed in heavily logged forests compared to lightly logged and unlogged forests is largely attributed to selective logging, which disrupts natural species regeneration. According to Connell’s intermediate disturbance hypothesis [91], species richness peaks at moderate levels of disturbance, as these conditions promote coexistence and recruitment for both early and late-successional species, thereby supporting species diversity in tropical forests. Although higher diversity in logged forests is often linked to the influx of pioneer and colonizing species, our findings revealed that only eight pioneer species were unique to the heavily logged forests, with most pioneers shared across different logging intensities. This pattern reflects broader findings in tropical forest studies, which demonstrate significant differences in the composition of understory and canopy species [37,40]. Other studies have similarly shown that heavily logged forests generally exhibit lower biodiversity than unlogged forests, partly due to the reduced presence of early successional species that benefit from altered microclimatic conditions, increased light availability, reduced competition, soil disruption, and changes in microhabitats, which favor the recruitment of fast-growing species over late-successional ones [92]. Additionally, high-intensity logging disproportionately affects old-growth specialists [93].
Our results indicated that 63.1% of stem abundance in Budongo Forest is dominated by just eight tree species, consisting of four understory and four canopy species. This dominance is likely due to the functional traits of these species, which enable them to efficiently utilize available resources. Among the eight dominant species identified, only one (Alchornea laxiflora) was an early successional species, indicating that the surveyed forests have transitioned from a colonizing forest type to a more mixed forest predominantly dominated by late-successional species. Furthermore, the understory species Lasiodiscus pervillei and Rinorea beniensis were more strongly associated with plots having a higher stem density of Cynometra alexandri. Notably, the dominance of a few species in tropical forests has been attributed to co-occurrence mechanisms and evolutionary linkages among specific tree species [94], as well as their ability to evade density-dependent or distance-dependent mortality [95]. Furthermore, our findings revealed differences in the floristic composition of the understory species between logged and unlogged forests. Tree species recovery following disturbance typically involves species gain and loss during the early stages of recovery [96]. Full recovery to levels close to those seen in old-growth forests typically takes 20–40 years or more for species richness and over a century for species composition to return [97]. For example, an experimental harvesting study in Tapajós National Forest, Brazil [98] demonstrated that even 30 years after intensive silvicultural interventions, the tree species composition (DBH ≥ 10 cm) remained significantly altered, with no signs of recovery to pre-logging conditions. In this study, the sensitivity of understory species to logging is suggested. To enhance biodiversity and strengthen the resilience of forest ecosystems, low-intensity harvesting practices are recommended to protect understory habitats and foster the natural regeneration of shade-tolerant species.
4.2. Variation in Alpha Diversity of Understory and Canopy Tree Species
Our results revealed higher species diversity for both understory and canopy species in unlogged compared to logged forest areas (Figure 5 and Figure 6) and the difference could be as a result of a more stable vertical structure in unlogged forest compared to logged forests that helps to regulate light availability and establishment of shade tolerant species. In general, Budongo Forest has relatively high tree species diversity for stems of diameter (DBH ≥ 10 cm) compared to other forests in the same Albertine eco-region (Table 3).
Table 3.
Comparative analysis of tree diversity using Shannon–Weiner diversity index for stems (DBH ≥ 10 cm) for Budongo Forest with other tropical forests located within the same Albertine eco-region, Eastern Africa.
Our results on unique and shared species (Figure 3) showed logged (heavily and lightly logged) forests had marked reductions in both understory and canopy species, suggesting that intensive harvesting has a substantial negative effect on species richness, which points to our results of low alpha diversity in logged forests compared to unlogged forests (Table 2). Understory species diversity was affected across all logged forests but canopy species diversity in lightly logged and unlogged forests remained largely unaffected (Figure 6), suggesting canopy species are more resilient to moderate disturbance levels. In contrast, heavily logged forests impose greater pressure on both understory and canopy species diversity. The reason could be due to large logging gaps in logged forests being colonized mostly by lianas and Alchornea laxifora (Benth.) Pax & K. Hoffm that suppresses tree regeneration especially of late-succession species. Felling of large timber trees especially mahogany have been reported as hindering natural regenerations and reductions in tree species in the logging gaps of Budongo Forest [52] as liana abundance was strongly associated with the size of the logging gaps [68]. Elsewhere in Bornean tropical forests, a similar trend in alpha diversity decline was reported as being lowest in heavily logged and highest in unlogged forests [50]. Low species richness in logged forests have been attributed to high liana abundance and the trend decreases along successional maturity forests [104]. Other studies have also shown liana–tree competition to be very strong in logged forests, leading to suppression of natural tree regeneration [105,106]. Again, in Budongo Forest, during the dry season most trees shed off their leaves and the undergrowth vegetation becomes dried-up leading to high mortality of seedlings. Harsh conditions coupled with overharvesting have been shown to affect tree diversity and composition of natural forest regeneration in the eastern Amazon [107]. This implies that logging could be hastening changes in temperatures, light intensity, and humidity leading to high mortality of old-growth specialists since they have conservative traits that can only allow them to strive well in a preserved environment [108]. We also found Pielou’s equitability values to be higher in heavily logged forests, followed by lightly logged, and lower in unlogged forests for both understory and canopy species possibly because of changes in species composition caused by logging disturbance. Logging disturbance and big tree falls reduce the dominance of a few species as other new species can recolonize and establish in the existing gaps leading to a more even distribution of species that are mostly generalist than specialist in nature. Conclusively, our results showed logging disturbance had a negative effect on the species diversity of both understory and canopy species in Budongo Forest.
4.3. Variation in Beta Diversity of Understory and Canopy Tree Species Along Logging Gradient
In our study, it was found that logging disturbance accounted for only 18% of the variation in beta diversity. We observed higher nestedness in unlogged forests compared to logged forests, which could be attributed to the presence of large, dominant species and well-established conditions that favor the establishment of understory and small canopy trees. This aligns with a study in Borneo, which found that logged forests exhibited increased turnover and significantly differed in species composition compared to primary forests [26]. These findings align with studies in Amazon forests, where logging has also been shown to reduce β-diversity of canopy trees [49]. These findings suggest that high intensity reduced species richness as was indicated for some tropical forests in Africa [31], particularly the removal of large trees which alters species composition and fosters colonization by generalist and pioneer species leading to a loss of β-diversity [109]. In Bornean tropical forests, the decline in β-diversity in logged forests compared to unlogged forests has been associated with a shift in dominant tree species from late-successional to pioneer species after logging [50]. This suggests that high species turnover could result from the replacement of late-successional species by pioneer species, and vice versa, over time [50,110]. However, in Budongo Forest, frequent illegal logging in many areas may be contributing to continued differences in β-diversity, even long after the initial logging disturbance. In tropical forests generally, logging disturbances have been linked to dispersal limitations and altered environmental conditions, contrasting with the more stable habitat complexity of unlogged forests, which supports higher β-diversity [29,111,112,113]. Ultimately, the loss of unlogged forests, which maintain greater nestedness and stability, risks exacerbating species turnover and reducing biodiversity at the landscape level.
4.4. Comparison of Species Composition in Logged and Unlogged Forests with Successional Stages in Budongo Forest
Our results of PERMANOVA and multi species analysis revealed that logging and other disturbances in different compartments could have caused distortion in the succession pathways characterized for Budongo Forest in 1947 (Figure 8(1A)), as logged forests and unlogged forest showed distinct patterns with other succession forest stages (Figure 8(2A)). The hierarchical clustering highlights significant differences in species composition across forest types (Figure 8B), which could be driven by logging intensity, successional stage, and environmental conditions. For instance, the unlogged forests and specialized forest types, i.e., swamp and mixed forests, seemed to maintain unique species assemblages, while logging seemed to have caused the homogenization of species composition compared to other succession compositionally distinct groups. The patterns exhibited by logging intensity data against the forest succession type data revealed clearly that a lot of changes have occurred in species composition of logged forests since unlogged forest seemed to be more aligned towards mixed forest type.
Historically, different parts of Budongo Forest had mixed forest succession types defining the ages of the forest growth. From our findings, it can be argued that human interventions such as selective logging coupled with the arboricide treatment of tree species considered as weeds during stand refinement of mahogany and other valuable timber species have modified forest succession within Budongo. The forest was mostly dominated by late-succession species and the three most shared indicator species are Khaya anthotheca, Cynometra alexandri, and Celtis mildbraedii. Their level of dominance defines what is a mixed forest, an ecotone between mixed and ironwood, and ironwood forest succession types profiled for Budongo in 1947 [59]. This suggests that logging may have less impact on the distribution of these species compared to others, given their ability to persist across multiple forest types. In contrast, logging has had a notable impact on certain large tree species. Trees such as Maesopsis eminii, Olea carpensis, and Entandrophragama spp., which were previously associated with colonizing and mixed forests, respectively, no longer show significant associations with any forest type. This change highlights the consequences of logging on species that were historically tied to specific forest ecosystems.
While plant–environment interactions often drive predictable ecological succession pathways [114], our results revealed logged forests appear to have moved beyond the colonizing forest stage, historically dominated by Maesopsis eminii and Olea capensis, suggesting that logging disturbance may alter ecological and environmental factors, leading to changes in species composition resulting into potentially new and distinct succession pathways [115,116]. However, the significant association of Cynometra alexandri, Khaya anthotheca, and Celtis mildbraedii indicator species of the late-successional ironwood, ecotone between ironwood and mixed forest, and mixed forest types (Figure 8) suggests that logged forests also contain undisturbed succession patches. These patterns highlight the critical roles of resource availability, forest succession age, and historical disturbances such as logging in shaping vegetation composition [117,118,119]. Therefore, using Eggeling’s 1947 succession framework, it can be concluded that logging disturbances have altered traditional succession trajectories. While some areas retain the characteristics of natural progression toward climax stages, the overall patterns reveal the emergence of novel pathways influenced by selective harvesting.
5. Management Implications
The unlogged areas in Budongo Forest showed high species richness, making them vital biodiversity reservoirs and thus, protecting these areas can enhance the recruitment of late-succession specialist species into degraded forest areas.
High intensity logging is more detrimental to species richness and tend to favor species that are of low commercial value and hence, implementing low-intensity logging that integrate utilization of lesser-used species in Class II and III timber species will reduce reliance on high-value species of Class I so as to maintain species balance, and reduce biodiversity loss in tropical production forests.
Among the three dominant shared indicator species, only Khaya anthotheca is a flagship species and restoring its population will ensure sustainable timber production while supporting forest recovery and food availability for chimpanzees.
6. Limitation of the Study
Much as we tried to control for differences by ensuring compartments in the different management blocks are represented in each of the logging intensities, our study could not eliminate or account for pre-logging differences and other historical factors that likely contributed to differences in species composition.
7. Conclusions
Timber production is linked to the modified species composition and reduced diversity of both understory and canopy species in Budongo. Importantly, logging impacted tree species diversity in both understory and canopy trees, with heavily logged forests showing a greater difference compared to lightly logged forests. There was no significant difference in canopy species diversity between lightly logged and unlogged forests. Among the 11 indicator species positively associated with logged forests, only two, i.e., Khaya anthotheca and Erythrophleum suaveolens, are high-value Class I timber species. Six species, including Cynometra alexandri, Alstonia boonei, Mildbraediodendron excelsum, Celtis mildbraedii, Trichilia rubescens, and Trichilia prieuriana, belong to Class II timber, while Klainedoxa gabonensis represents a lower-value Class III timber species. Our results highlight the overexploitation of high-value Class I timber species such as Entandrophragama utile, Entandrophragma cylindricum, Entandrophragma angolense and Olea carpensis and the dominance of lower-value species in logged forests necessitate targeted restoration efforts. Our results underscore the long-term ecological impacts of logging in tropical forests. In this study, actionable insights are provided for the management of Budongo Forest which can be adopted for other tropical forests globally to enhance economic and biodiversity conservation.
Supplementary Materials
The following supporting information can be downloaded at: https://www.mdpi.com/article/10.3390/f16010006/s1.
Author Contributions
D.O.K.: conceptualization, formal analysis, methods, software, visualization, writing—original draft, and funding acquisition; E.F.N.: methods and writing—review and editing; M.T.: conceptualization, methods and writing—review and editing; D.L.: methods and writing—review and editing; E.S.: methods, visualization, and writing—original draft; D.S.: methods and writing—review and editing. All authors have read and agreed to the published version of the manuscript.
Funding
We are grateful for the financial support from the Swedish International Development Cooperation Agency (SIDA) through the REFOREST programme hosted at Sokoine University of Agriculture, Tanzania, under grant number 13394.
Data Availability Statement
Data will be made available on request.
Acknowledgments
The field research was supported by the Makerere University-Kampala, the National Forestry Authority (NFA), and the Budongo Conservation Field Station (BCFS). We deeply appreciate the support of the parabotanists (Obed Goffin, Nelson Adaku, Micheal Ezati, and Isaac Moko) from BCFS and other casual laborers (Kennedy Pithua, Jackson Okuti, Charles Drani, Emmanuel Toko, and Feb Oloya) who helped with data collection. The authors would like to thank in a special way the independent reviewers for their valuable comments that improved the manuscript.
Conflicts of Interest
The authors declare no conflicts of interest, whether competing financial or personal interests, that could have influenced this paper.
References
- Chazdon, R.L.; Norden, N.; Colwell, R.K.; Chao, A. Monitoring recovery of tree diversity during tropical forest restoration: Lessons from long-term trajectories of natural regeneration. Philos. Trans. R. Soc. B 2022, 378, 20210069. [Google Scholar] [CrossRef] [PubMed]
- Cazzolla Gatti, R.; Reich, P.B.; Gamarra, J.G.P.; Crowther, T.; Hui, C.; Morera, A.; Bastin, J.-F.; de-Miguel, S.; Nabuurs, G.-J.; Svenning, J.-C.; et al. The number of tree species on Earth. Proc. Natl. Acad. Sci. USA 2022, 119, e2115329119. [Google Scholar] [CrossRef] [PubMed]
- Spicer, M.E.; Mellor, H.; Carson, W.P. Seeing beyond the trees: A comparison of tropical and temperate plant growth forms and their vertical distribution. Ecology 2020, 101, e02974. [Google Scholar] [CrossRef] [PubMed]
- FAO; UNEP. The State of the World’s Forests 2020. In Forests, Biodiversity and People; FAO: Rome, Italy, 2020. [Google Scholar] [CrossRef]
- Putz, F.E.; Zuidema, P.A.; Synnott, T.; Peña-Claros, M.; Pinard, M.A.; Sheil, D.; Vanclay, J.K.; Sist, P.; Gourlet-Fleury, S.; Griscom, B.; et al. Sustaining conservation values in selectively logged tropical forests: The attained and the attainable. Conserv. Lett. 2012, 5, 296–303. [Google Scholar] [CrossRef]
- Piponiot, C.; Rutishauser, E.; Derroire, G.; Putz, F.E.; Sist, P.; West, T.A.P.; Descroix, L.; Guedes, M.C.; Coronado, E.N.H.; Kanashiro, M.; et al. Optimal strategies for ecosystem services provision in Amazonian production forests. Environ. Res. Lett. 2019, 14, 124090. [Google Scholar] [CrossRef]
- DeArmond, D.; Emmert, F.; Pinto, A.C.M.; Lima, A.J.N.; Higuchi, N. A Systematic Review of Logging Impacts in the Amazon Biome. Forests 2023, 14, 81. [Google Scholar] [CrossRef]
- Riutta, T.; Malhi, Y.; Kho, L.K.; Marthews, T.R.; Huasco, W.H.; Khoo, M.; Tan, S.; Turner, E.; Reynolds, G.; Both, S.; et al. Logging disturbance shifts net primary productivity and its allocation in Bornean tropical forests. Glob. Chang. Biol. 2018, 24, 2913–2928. [Google Scholar] [CrossRef]
- Sassen, M.; Sheil, D.; Giller, K.E.; ter Braak, C.J.F. Complex contexts and dynamic drivers: Understanding four decades of forest loss and recovery in an East African protected area. Biol. Conserv. 2013, 159, 257–268. [Google Scholar] [CrossRef]
- Ministry of Water and Environment (MWE). State of Uganda’s Forestry. Government of Uganda, Kampala. 2016. Available online: https://www.mwe.go.ug/sites/default/files/State%20of%20Uganda’s%20Forestry-2015.pdf (accessed on 25 October 2024).
- Dawkins, H.C. The Management of Natural High Forest with Special Reference to Uganda; Commonwealth Forestry Institute Paper No.34; Commonwealth Forestry Institute: Dinchope, UK, 1958. [Google Scholar]
- NFA. Forest Management Plan for Budongo Central Forest Reserve for the Period 2011–2021; Ministry of Water and Environment: Kampala, Uganda, 2011. [Google Scholar]
- Dawkins, H.C. The refining of natural high forest and limitations on its improvement. Emp. For. Rev. 1955, 34. [Google Scholar]
- Anon. National Timber Trade and FLEGT Solutions for Uganda; WWF-Uganda: Kampala, Uganda, 2012. [Google Scholar]
- Amaral, M.R.M.; Lima, A.J.N.; Higuchi, F.G.; dos Santos, J.; Higuchi, N. Dynamics of Tropical Forest Twenty-Five Years after Experimental Logging in Central Amazon Mature Forest. Forests 2019, 10, 89. [Google Scholar] [CrossRef]
- Bousfield, C.G.; Cerullo, G.R.; Massam, M.R.; Edwards, D.P. Protecting environmental and socio-economic values of selectively logged tropical forests in the Anthropocene. Adv. Ecol. Res. 2020, 62, 1–52. [Google Scholar] [CrossRef]
- Hayward, R.M.; Banin, L.F.; Burslem, D.F.; Chapman, D.S.; Philipson, C.D.; Cutler, M.E.; Reynolds, G.; Nilus, R.; Dent, D.H. Three decades of post-logging tree community recovery in naturally regenerating and actively restored dipterocarp forest in Borneo. For. Ecol. Manag. 2021, 488, 119036. [Google Scholar] [CrossRef]
- Pillay, R.; Hua, F.; Loiselle, B.A.; Bernard, H.; Fletcher, R.J. Multiple stages of tree seedling recruitment are altered in tropical forests degraded by selective logging. Ecol. Evol. 2018, 8, 8231–8242. [Google Scholar] [CrossRef] [PubMed]
- Brancalion, P.H.S.; de Almeida, D.R.A.; Vidal, E.; Molin, P.G.; Sontag, V.E.; Souza, S.E.X.F.; Schulze, M.D. Fake legal logging in the Brazilian Amazon. Sci. Adv. 2018, 4, eaat1192. [Google Scholar] [CrossRef] [PubMed]
- Matricardi, E.A.T.; Skole, D.L.; Costa, O.B.; Pedlowski, M.A.; Samek, J.H.; Miguel, E.P. Long-term forest degradation surpasses deforestation in the Brazilian Amazon. Science 2020, 369, 1378–1382. [Google Scholar] [CrossRef]
- Barbier, S.; Gosselin, F.; Balandier, P. Influence of tree species on understory vegetation diversity and mechanisms involved—A critical review for temperate and boreal forests. For. Ecol. Manag. 2008, 254, 1–15. [Google Scholar] [CrossRef]
- Bartholomew, D.C.; Hayward, R.; Burslem, D.F.R.P.; Bittencourt, P.R.L.; Chapman, D.; Bin Suis, M.A.F.; Nilus, R.; O’Brien, M.J.; Reynolds, G.; Rowland, L.; et al. Bornean tropical forests recovering from logging at risk of regeneration failure. Glob. Chang. Biol. 2024, 30, e17209. [Google Scholar] [CrossRef]
- Keller, N.; Niklaus, P.A.; Ghazoul, J.; Marfil, T.; Godoong, E.; Philipson, C.D. Biodiversity consequences of long-term active forest restoration in selectively-logged tropical rainforests. For. Ecol. Manag. 2023, 549, 121414. [Google Scholar] [CrossRef]
- Ojoatre, S.; Barlow, J.; Jacobs, S.R.; Rufino, M.C. Recovery of aboveground biomass, soil carbon stocks and species diversity in tropical montane secondary forests of East Africa. For. Ecol. Manag. 2024, 552, 121569. [Google Scholar] [CrossRef]
- Rutten, G.; Ensslin, A.; Hemp, A.; Fischer, M. Forest structure and composition of previously selectively logged and non-logged montane forests at Mt. Kilimanjaro. For. Ecol. Manag. 2015, 337, 61–66. [Google Scholar] [CrossRef]
- Berry, N.J.; Phillips, O.L.; Ong, R.C.; Hamer, K.C. Impacts of selective logging on tree diversity across a rainforest landscape: The importance of spatial scale. Landsc. Ecol. 2008, 23, 915–929. [Google Scholar] [CrossRef]
- Fakhry, A.M.; Khazzan, M.M.; Aljedaani, G.S. Impact of disturbance on species diversity and composition of Cyperus conglomeratus plant community in southern Jeddah, Saudi Arabia. J. King Saud Univ. Sci. 2018, 32, 600–605. [Google Scholar] [CrossRef]
- Sahu, P.; Sagar, R.; Singh, J. Tropical forest structure and diversity in relation to altitude and disturbance in a Biosphere Reserve in central India. Appl. Veg. Sci. 2008, 11, 461–470. [Google Scholar] [CrossRef]
- Gibson, L.; Lee, T.M.; Koh, L.P.; Brook, B.; Gardner, T.A.; Barlow, J.; Peres, C.; Bradshaw, C.; Laurance, W.F.; Lovejoy, T.E.; et al. Primary forests are irreplaceable for sustaining tropical biodiversity. Nature 2011, 478, 378–381. [Google Scholar] [CrossRef]
- Kutnar, L.; Nagel, T.A.; Kermavnar, J. Effects of Disturbance on Understory Vegetation across Slovenian Forest Ecosystems. Forests 2019, 10, 1048. [Google Scholar] [CrossRef]
- Martin, P.A.; Newton, A.C.; Pfeifer, M.; Khoo, M.; Bullock, J.M. Impacts of tropical selective logging on carbon storage and tree species richness: A meta-analysis. For. Ecol. Manag. 2015, 356, 224–233. [Google Scholar] [CrossRef]
- Sahoo, T.; Acharya, L.; Panda, P.C. Structure and composition of tree species in tropical moist deciduous forests of Eastern Ghats of Odisha, India, in response to human-induced disturbances. Environ. Sustain. 2020, 3, 69–82. [Google Scholar] [CrossRef]
- Sullivan, M.K.; Vleminckx, J.; Bissiemou, P.A.M.; Niangadouma, R.; Manoushka Ilambi Mayoungou, M.I.; Temba, J.L.; Bénédet, F.; Abernethy, K.; Queenborough, S.A.; Comita, L.S. Low-intensity logging alters species and functional composition, but does not negatively impact key ecosystem services in a Central African tropical forest. Glob. Ecol. Conserv. 2024, 53, e02996. [Google Scholar] [CrossRef]
- Senior, R.A.; Hill, J.K.; Benedick, S.; Edwards, D.P. Tropical forests are thermally buffered despite intensive selective logging. Glob. Chang. Biol. 2018, 24, 1267–1278. [Google Scholar] [CrossRef]
- Arcanjo, F.A.; Barufi, G.M.; Torezan, J.M.D. Selective logging that occurred decades ago is still impacting aboveground biomass and tree assemblage structure in Brazilian semi-deciduous seasonal Atlantic forest fragments. For. Ecol. Manag. 2023, 535, 120895. [Google Scholar] [CrossRef]
- Memiaghe, H.R.; Lutz, J.A.; Korte, L.; Alonso, A.; Kenfack, D. Ecological Importance of Small Diameter Trees to the Structure, Diversity and Biomass of a Tropical Evergreen Forest at Rabi, Gabon. PLoS ONE 2016, 11, e0154988. [Google Scholar] [CrossRef]
- Ntonmen, A.F.Y.; Zapfack, L.; Chimi, D.C.; Kabelong, B.L.R.; Tsopmejio, T.I.; Neba, B.N.; Nanfack, A.D.; Madountsap, T.N.; Ngoukwa, G.; Mounmemi, K.H.; et al. Floristic diversity and structure of understory in semi-deciduous forests in Cameroon. J. Biodivers. Environ. Sci. 2020, 16, 103–110. [Google Scholar]
- Oliver, C.D.; Larson, B.C. Forest Stand Dynamics; Wiley: New York, NY, USA, 1996; p. 544. [Google Scholar]
- Sheil, D.; Burslem, D.F.R.P. Disturbing hypotheses in tropical forests. Trends Ecol. Evol. 2003, 18, 18–26. [Google Scholar] [CrossRef]
- Kumar, P.; Chen, H.Y.H.; Thomas, S.C.; Shahi, C. Linking resource availability and heterogeneity to understorey species diversity through succession in boreal forest of Canada. J. Ecol. 2018, 106, 1266–1276. [Google Scholar] [CrossRef]
- Canham, C.D.; Murphy, L. The demography of tree species response to climate: Sapling and canopy tree survival. Ecosphere 2017, 8, e01701. [Google Scholar] [CrossRef]
- Edwards, D.P.; Tobias, J.A.; Sheil, D.; Meijaard, E.; Laurance, W.F. Maintaining ecosystem function and services in logged tropical forests. Trends Ecol. Evol. 2014, 29, 511–520. [Google Scholar] [CrossRef]
- Mwavu, N.E.; Witkowski, E.T.F. Woody Species Alpha-diversity and Species Abundance Distributions in an African Semi-deciduous Tropical Rain Forest. Biotropica 2015, 47, 424–434. [Google Scholar] [CrossRef]
- Myers, J.A.; Chase, J.M.; Jiménez, I.; Jørgensen, P.M.; Araujo-Murakami, A.; Paniagua-Zambrana, N.; Seidel, R. Beta-diversity in temperate and tropical forests reflects dissimilar mechanisms of community assembly. Ecol. Lett. 2013, 16, 151–157. [Google Scholar] [CrossRef]
- Brockerhoff, E.G.; Barbaro, L.; Castagneyrol, B.; Forrester, D.I.; Gardiner, B.; González-Olabarria, J.R.; Lyver, P.O.; Meurisse, N.; Oxbrough, A.; Taki, H.; et al. Forest biodiversity, ecosystem functioning and the provision of ecosystem services. Biodivers. Conserv. 2017, 26, 3005–3035. [Google Scholar] [CrossRef]
- Mouillot, D.; Graham, N.A.; Villéger, S.; Mason, N.W.; Bellwood, D.R. A functional approach reveals community responses to disturbances. Trends Ecol. Evol. 2013, 28, 167–177. [Google Scholar] [CrossRef] [PubMed]
- Sheil, D. Species Richness, Tropical Forest Dynamics and Sampling: Questioning Cause and Effect. Oikos 1996, 76, 587. [Google Scholar] [CrossRef]
- Sheil, D.; Bongers, F. Interpreting forest diversity-productivity relationships: Volume values, disturbance histories and alternative inferences. For. Ecosyst. 2020, 7, 6. [Google Scholar] [CrossRef]
- Bousfield, C.G.; Massam, M.R.; Peres, C.A.; Edwards, D.P. Large-scale impacts of selective logging on canopy tree beta-diversity in the Brazilian Amazon. J. Appl. Ecol. 2023, 60, 1181–1193. [Google Scholar] [CrossRef]
- Yano, S.; Aoyagi, R.; Shogoro, F.; Sugau, J.B.; Pereira, J.T.; Kitayama, K. Effects of logging on landscape-level tree diversity across an elevational gradient in Bornean tropical forests. Glob. Ecol. Conserv. 2021, 29, e01739. [Google Scholar] [CrossRef]
- Bahati, J.B. Effects of Logging on Environmental Factors, Natural Regeneration, and Distribution of Selected Mahogany Species in Budongo Forest Reserve, Uganda. Ph.D. Thesis, Makerere University, Kampala, Uganda, 2005; p. 231. [Google Scholar]
- Mwima, P.M.; Obua, J.; Oryem-Origa, H. Effect of logging on the natural regeneration of Khaya anthotheca in Budongo Forest Reserve, Uganda. Int. For. Rev. 2001, 3, 131–135. [Google Scholar]
- Plumptre, A. Changes following 60 years of selective timber harvesting in the Budongo Forest Reserve, Uganda. For. Ecol. Manag. 1996, 89, 101–113. [Google Scholar] [CrossRef]
- Gliniars, R. Tree Growth and Tree Regeneration in Two East African Rain Forests as Related to the Abiotic Environment After Human Disturbance. Ph.D. Thesis, University of Hohenheim, Stuttgart, Germany, 2010; p. 198. [Google Scholar]
- Kirika, J.M.; Böhning-Gaese, K.; Dumbo, B.; Farwig, N. Reduced abundance of late-successional trees but not of seedlings in heavily compared with lightly logged sites of three East African tropical forests. J. Trop. Ecol. 2010, 26, 533–546. [Google Scholar] [CrossRef]
- Babweteera, F.; Sheil, D.; Reynolds, V.; Plumptre, A.J.; Zuberbuhler, K.; Hill, C.M.; Webber, A.; Tweheyo, M. Environmental and anthropogenic changes in and around Budongo forest reserve. In The Ecological Impact of Long-Term Changes in Africa’s Rift Valley; Nova Science Pub Inc.: Hauppauge, NY, USA, 2012. [Google Scholar]
- Pain, A.; Marquardt, K.; Lindh, A.; Hasselquist, N.J. What Is Secondary about Secondary Tropical Forest? Rethinking Forest Landscapes. Hum. Ecol. 2021, 49, 239–247. [Google Scholar] [CrossRef]
- Psistaki, K.; Tsantopoulos, G.; Paschalidou, A.K. An Overview of the Role of Forests in Climate Change Mitigation. Sustainability 2024, 16, 6089. [Google Scholar] [CrossRef]
- Eggeling, W.J. Observations on the Ecology of the Budongo Rain Forest, Uganda. J. Ecol. 1947, 34, 20–87. [Google Scholar] [CrossRef]
- Howard, P.C. Nature Conservation in Uganda’s Tropical Forest Reserves; IUCN: Gland, Switzerland; Cambridge, UK, 1991. [Google Scholar]
- Babweteera, F.; Mawa, C.; Asiimwe, C.; Okwir, E.; Muhanguzi, G.; Okimat, J.P.; Robinson, S. Budongo Forest: A paradigm shift in conservation? In Conservation and Development in Uganda; Sandbrook, C., Cavanagh, J.C., Tumusiime, D.M., Eds.; Routledge: London, UK, 2018; pp. 104–121. [Google Scholar]
- Mawa, C.; Babweteera, F.; Tumusiime, D.M. Conservation Outcomes of Collaborative Forest Management in a Medium Altitude Semideciduous Forest in Mid-western Uganda. J. Sustain. For. 2020, 41, 461–480. [Google Scholar] [CrossRef]
- Karani, P.K.; Kiwanuka, L.S.; Sizomu-Kagolao, M.E. Forest Management Plan for Budongo Forest for the Period 1997–2007; Ministry of Water, Lands and Environment: Kampala, Uganda, 1997. [Google Scholar]
- Dawkins, H. The construction of commercial volume tables for tropical forest trees. Emp. For. Rev. 1954, 33, 61–70. [Google Scholar]
- Alder, D. Uganda Forestry Rehabilitation Project Data Processing for the Budongo Forest Inventory; Report Da-UG-4; Lands and Environment: Kampala, Uganda, 1991; p. 43. [Google Scholar]
- Oloya, J.; Malinga, G.M.; Nyafwono, M.; Akite, P.; Nakadai, R.; Holm, S.; Valtonen, A. Recovery of fruit-feeding butterfly communities in Budongo Forest Reserve after anthropogenic disturbance. For. Ecol. Manag. 2021, 491, 119087. [Google Scholar] [CrossRef]
- Odokonyero, G.G.O. Pitsawn Timber Production in Natural Forests of Uganda; Food and Agriculture Organisation of the United Nations: Rome, Italy, 2005. [Google Scholar]
- Babweteera, F.; Plumptre, A.; Obua, J. Effect of gap size and age on climber abundance and diversity in Budongo Forest Reserve, Uganda. Afr. J. Ecol. 2001, 38, 230–237. [Google Scholar] [CrossRef]
- Plumptre, A.J.; Reynolds, V.; Bakuneeta, C. The Effects of Selective Logging in Monodominant Tropical Forests on Biodiversity; Final Report of Overseas Development Administration (ODA) Project; University of Oxford: Oxford, UK, 1997. [Google Scholar]
- Kalema, J.; Hamilton, A. Field Guide to the Forest Trees of Uganda: For Identification and Conservation; CABI Publishing: Oxon, UK, 2020. [Google Scholar]
- Katende, A.; Birnie, A.; Tengnas, B. Useful Trees and Shrubs for Uganda: Identification, Propogation and Management for Agricultural and Pastoral Communi-ties. Regional Soil Conservation Unit. 1995. Available online: https://www.cifor-icraf.org/publications/downloads/Publications/PDFS/b09383.pdf (accessed on 25 October 2024).
- Polhill, R.M. Flora of Tropical East Africa; A. A Balkema: Rotterdam, The Netherlands, 1952. [Google Scholar]
- Hubbell, S.P.; Foster, R.B. Diversity of canopy trees in a neotropical forest and implications for conservation. In Tropical Rain Forest: Ecology and Management; Sutton, S.L., Whitmore, T.C., Chadwick, A.C., Eds.; Blackwell Scientific Publications: Oxford, UK, 1983; pp. 25–41. [Google Scholar]
- Kenfack, D.; Thomas, D.W.; Chuyong, G.; Condit, R. Rarity and abundance in a diverse African forest. Biodivers. Conserv. 2007, 16, 2045–2074. [Google Scholar] [CrossRef]
- Bohlman, S.; Pacala, S. A forest structure model that determines crown layers and partitions growth and mortality rates for landscape-scale applications of tropical forests. J. Ecol. 2012, 100, 508–518. [Google Scholar] [CrossRef]
- Condit, R.; Hubbell, S.P.; Lafrankie, J.V.; Sukumar, R.; Manokaran, N.; Foster, R.B.; Ashton, P.S. Species-Area and Species-Individual Relationships for Tropical Trees: A Comparison of Three 50-ha Plots. J. Ecol. 1996, 84, 549. [Google Scholar] [CrossRef]
- Willis, A.D. Rarefaction, Alpha Diversity, and Statistics. Front. Microbiol. 2019, 10, 2407. [Google Scholar] [CrossRef]
- Menhinick, E.F. A Comparison of Some Species-Individuals Diversity Indices Applied to Samples of Field Insects. Ecology 1964, 45, 859–861. [Google Scholar] [CrossRef]
- Magurran, A.E. Measuring Biological Diversity; Blackwell: Oxford, UK, 2004. [Google Scholar]
- Fisher, R.A.; Corbet, A.S.; Williams, C.B. The Relation Between the Number of Species and the Number of Individuals in a Random Sample of an Animal Population. J. Anim. Ecol. 1943, 12, 42–58. [Google Scholar] [CrossRef]
- Pielou, E.C. The Interpretation of Ecological Data; John Wiley and Sons: New York, NY, USA, 1984; 263p. [Google Scholar]
- Oksanen, J.; Simpson, G.L.; Blanche, F.G.; Kindt, R.; Legendre, P.; Minchin, P.R.; O’Hara, R.B.; Solymos, P.; Stevens, M.H.H.; Szoecs, E.; et al. Vegan: Community Ecology Package. R Package Version 2.6-2. 2022. Available online: https://cran.r-project.org/web/packages/vegan/index.html (accessed on 15 May 2024).
- Bray, J.R.; Curtis, J.T. An Ordination of the Upland Forest Communities of Southern Wisconsin. Ecol. Monogr. 1957, 27, 325–349. [Google Scholar] [CrossRef]
- R Core Team. R: A Language and Environment for Statistical Computing; R Foundation for Statistical Computing: Vienna, Austria, 2023; Available online: https://www.R-project.org/ (accessed on 11 December 2023).
- Poudyal, B.H.; Maraseni, T.; Cockfield, G. Impacts of forest management on tree species richness and composition: Assessment of forest management regimes in Tarai landscape Nepal. Appl. Geogr. 2019, 111, 102078. [Google Scholar] [CrossRef]
- Baselga, A.; Orme, D.; Villeger, S.; Bortoli, J.D.; Leprieur, F.; Logez, M.; Martinez-Santalla, S.; Martin-Devasa, R.; Gomez-Rodriguez, C.; Crujeiras, R.M.; et al. Betapart: Partitioning Beta Diversity into Turnover and Nestedness Components, R Package Version betapart_1.6.tar.gz. 2023. Available online: https://cran.r-project.org/web/packages/betapart/index.html (accessed on 10 May 2024).
- Fitzpatrick, M.C.; Mokany, K.; Manion, G.; Lisk, M.; Fitzpatrick, M.M.C.; Rcpp, L.; Rcpp, I. Package ‘gdm’. A Toolkit with Functions to Fit, Plot, and Summarize Generalized Dissimilarity Models: CRANRepository, R Package Version 1.4.2.2. 2021. Available online: https://cran.r-project.org/web/packages/betapart/betapart.pdf (accessed on 15 July 2024).
- Kruskal, J.B. Nonmetric multidimensional scaling: A numerical method. Psychometrika 1964, 29, 115–129. [Google Scholar] [CrossRef]
- Beals, E.W. Bray-Curtis Ordination: An Effective Strategy for Analysis of Multivariate Ecological Data. Adv. Ecol. Res. 1984, 14, 1–55. [Google Scholar] [CrossRef]
- Mwavu, E.N. Human Impact, Plant Communities, Diversity and Regeneration in Budongo Forest Reserve, North-Western Uganda. Ph.D. Thesis, University of the Witwatersrand, Johannesburg, South Africa, 2007; 214p. [Google Scholar]
- Connell, J.H. Diversity in Tropical Rain Forests and Coral Reefs. Science 1978, 199, 1302–1310. [Google Scholar] [CrossRef]
- Cannon, C.H.; Peart, D.R.; Leighton, M. Tree Species Diversity in Commercially Logged Bornean Rainforest. Science 1998, 281, 1366–1368. [Google Scholar] [CrossRef]
- Sheil, D.; Sayer, J.A.; O’Brien, T. Tree Species Diversity in Logged Rainforests. Science 1999, 284, 1587. [Google Scholar] [CrossRef][Green Version]
- Silva de Miranda, P.L.; Dexter, K.G.; Swaine, M.D.; de Oliveira-Filho, A.T.; Hardy, O.J.; Fayolle, A. Dissecting the difference in tree species richness between Africa and South America. Proc. Natl Acad. Sci. USA 2022, 119, e2112336119. [Google Scholar] [CrossRef]
- Ricklefs, R.E.; Renner, S.S. Global Correlations in Tropical Tree Species Richness and Abundance Reject Neutrality. Science 2012, 335, 464–467. [Google Scholar] [CrossRef]
- Hu, J.; Herbohn, J.; Chazdon, R.L.; Baynes, J.; Wills, J.; Meadows, J.; Sohel, S.I. Recovery of species composition over 46 years in a logged Australian tropical forest following different intensity silvicultural treatments. For. Ecol. Manag. 2018, 409, 660–666. [Google Scholar] [CrossRef]
- Letcher, S.G.; Chazdon, R.L. Rapid recovery of biomass, species richness, and species composition in a forest chronosequence in northern Costa Rica. Biotropica 2009, 41, 608–617. [Google Scholar] [CrossRef]
- De Avila, A.L.; Ruschel, A.R.; de Carvalho, J.O.P.; Mazzei, L.; Silva, J.N.M.; Lopes, J.d.C.; Araujo, M.M.; Dormann, C.F.; Bauhus, J. Medium-term dynamics of tree species composition in response to silvicultural intervention intensities in a tropical rain forest. Biol. Conserv. 2015, 191, 577–586. [Google Scholar] [CrossRef]
- Eilu, G.; Hafashimana, D.L.N.; Kasenene, J.M. Density and species diversity of trees in four tropical forests of the Albertine rift, western Uganda. Divers. Distrib. 2004, 10, 303–312. [Google Scholar] [CrossRef]
- Bitariho, R.; Babaasa, D.; Byaruhanga, A. Changes in floristic composition, diversity and anthropogenic perturbations in an east African tropical forest. Afr. J. Ecol. 2023, 61, 815–828. [Google Scholar] [CrossRef]
- Makana, J.; Thomas, S.C. Impacts of selective logging and agricultural clearing on forest structure, floristic composition and diversity, and timber tree regeneration in the Ituri Forest, Democratic Republic of Congo. Biodivers. Conserv. 2006, 15, 1375–1397. [Google Scholar] [CrossRef]
- Imani, G.; Kalume, J.; Marchant, R.; Calders, K.; Batumike, R.; Bulonvu, F.; Cuni-Sanchez, A. Tree diversity and carbon stocks in the Itombwe Mountains of eastern DR Congo. Biotropica 2021, 53, 1594–1605. [Google Scholar] [CrossRef]
- Senyanzobe, J.M.V.; Mulei, J.M.; Bizuru, E.; Nsengimuremyi, C. Impact of Pteridium aquilinum on vegetation in Nyungwe Forest, Rwanda. Heliyon 2020, 6, e04806. [Google Scholar] [CrossRef]
- Eilu, G. Liana abundance in three tropical rain Forest of western Uganda. Selbyana 2000, 21, 30–37. [Google Scholar]
- Martínez-Izquierdo, L.; García, M.M.; Powers, J.S.; Schnitzer, S.A. Lianas suppress seedling growth and survival of 14 tree species in a Panamanian tropical forest. Ecology 2016, 97, 215–224. [Google Scholar] [CrossRef]
- Schnitzer, S.A.; Walter, P.; Carson, W.P. Lianas suppress tree regeneration and diversity in treefall gaps. Ecol. Lett. 2010, 13, 849–857. [Google Scholar] [CrossRef]
- Bezerra, T.G.; Ruschel, A.R.; Emmert, F.; Nascimento, R.G.M. Changes caused by forest logging in structure and floristic diversity of natural regeneration: Relationship between climate variables and forest dynamics in the eastern Amazon. For. Ecol. Manag. 2021, 482, 118862. [Google Scholar] [CrossRef]
- Martínez-Ruiz, M.; Arroyo-Rodríguez, V.; Arasa-Gisbert, R.; Hernández-Ruedas, M.A.; San-José, M. Maintenance of different life stages of old-growth forest trees in deforested tropical landscapes. Ecology 2024, 105, e4273. [Google Scholar] [CrossRef] [PubMed]
- Draper, F.C.; Asner, G.P.; Coronado, E.N.H.; Baker, T.R.; García-Villacorta, R.; Pitman, N.C.A.; Fine, P.V.A.; Phillips, O.L.; Gómez, R.Z.; Guerra, C.A.A.; et al. Dominant tree species drive beta diversity patterns in western Amazonia. Ecology 2019, 100, e02636. [Google Scholar] [CrossRef] [PubMed]
- Guclu, C.; Luk, C.; Ashton, L.A.; Abbas, S.; Boyle, M.J.W. Beta diversity subcomponents of plant species turnover and nestedness reveal drivers of community assembly in a regenerating subtropical forest. Ecol. Evol. 2024, 14, e70233. [Google Scholar] [CrossRef] [PubMed]
- Socolar, J.B.; Gilroy, J.J.; Kunin, W.E.; Edwards, D.P. How Should Beta-Diversity Inform Biodiversity Conservation? Trends Ecol. Evol. 2016, 31, 67–80. [Google Scholar] [CrossRef]
- Yao, Z.; Yang, X.; Wang, B.; Shao, X.; Wen, H.; Deng, Y.; Zhang, Z.; Cao, M.; Lin, L. Multidimensional beta-diversity across local and regional scales in a Chinese subtropical forest: The role of forest structure. Ecol. Evol. 2023, 13, e10607. [Google Scholar] [CrossRef]
- Zhao, Z.; He, L.; Li, G.; Ma, S.; Cui, M.; Liu, Y.; Chai, Y. Partitioning beta diversity of dry and hot valley vegetation in the Nujiang River in Southwest China. Front. Ecol. Evol. 2023, 11, 1199874. [Google Scholar] [CrossRef]
- van Breugel, M.; Bongers, F.; Norden, N.; Meave, J.A.; Amissah, L.; Chanthorn, W.; Chazdon, R.; Craven, D.; Farrior, C.; Hall, J.S.; et al. Feedback loops drive ecological succession: Towards a unified conceptual framework. Biol. Rev. 2024, 99, 928–949. [Google Scholar] [CrossRef]
- Meiners, S.J.; Cadotte, M.W.; Fridley, J.D.; Pickett, S.T.A.; Walker, L.R. Is successional research nearing its climax? New approaches for understanding dynamic communities. Funct. Ecol. 2015, 29, 154–164. [Google Scholar] [CrossRef]
- Norden, N.; Angarita, H.A.; Bongers, F.; Martínez-Ramos, M.; Granzow-de la Cerda, I.; van Breugel, M.; Lebrija-Trejos, E.; Meave, J.A.; Vandermeer, J.; Williamson, G.B.; et al. Successional dynamics in Neotropical forests are as uncertain as they are predictable. Proc. Natl. Acad. Sci. USA 2015, 112, 8013–8018. [Google Scholar] [CrossRef]
- Poorter, L.; Amissah, L.; Bongers, F.; Hordijk, I.; Kok, J.; Laurance, S.G.W.; Lohbeck, M.; Martínez-Ramos, M.; Matsuo, T.; Meave, J.A.; et al. Successional theories. Biol. Rev. 2023, 98, 2049–2077. [Google Scholar] [CrossRef] [PubMed]
- Kardol, P.; Souza, L.; Classen, A.T. Resource availability mediates the importance of priority effects in plant community assembly and ecosystem function. Oikos 2013, 122, 84–94. [Google Scholar] [CrossRef]
- Matsuo, T.; Martínez-Ramos, M.; Bongers, F.; van der Sande, M.T.; Poorter, L. Forest structure drives changes in light heterogeneity during tropical secondary forest succession. J. Ecol. 2021, 109, 2871–2884. [Google Scholar] [CrossRef] [PubMed]
Disclaimer/Publisher’s Note: The statements, opinions and data contained in all publications are solely those of the individual author(s) and contributor(s) and not of MDPI and/or the editor(s). MDPI and/or the editor(s) disclaim responsibility for any injury to people or property resulting from any ideas, methods, instructions or products referred to in the content. |
© 2024 by the authors. Licensee MDPI, Basel, Switzerland. This article is an open access article distributed under the terms and conditions of the Creative Commons Attribution (CC BY) license (https://creativecommons.org/licenses/by/4.0/).







