Analysis of Spatiotemporal Evolution and Driving Forces of Vegetation from 2001 to 2020: A Case Study of Shandong Province, China
Abstract
1. Introduction
2. Materials and Methods
2.1. General Situation of Study Area
2.2. Data Sources and Preprocessing
2.2.1. NDVI Dataset
2.2.2. Climatic Factors
2.2.3. Fundamental Natural Environmental Factors
2.2.4. Human Activities
2.3. Analysis of Methods
2.3.1. Analysis of Vegetation Variation Trends
- a.
- Calculation of the statistic:
- b.
- Calculation of variance:
- c.
- Calculation of the Z statistic:
2.3.2. Partial Correlation Analysis
2.3.3. Geographic Detector
- (1)
- Factor detector
- (2)
- Interaction detector
3. Results
3.1. Temporal NDVI Analysis
3.2. Spatial Patterns of NDVI
3.3. Analysis of NDVI Trends
3.4. The Relationship between NDVI and Driving Factors
3.4.1. Spatiotemporal Response of NDVI to Climatic Factors in Shandong Province
3.4.2. The Relationship between Topography and NDVI in Shandong Province
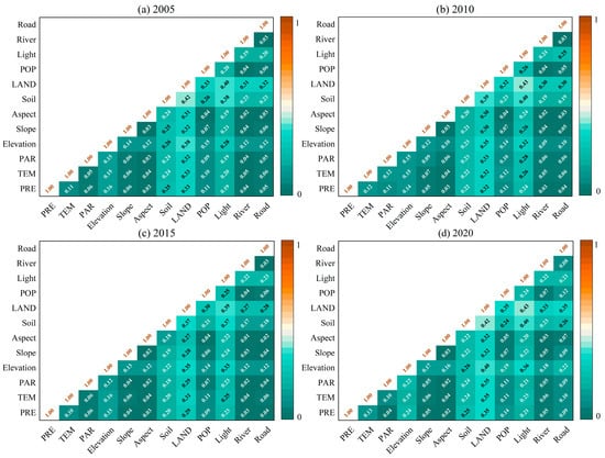
3.4.3. Comprehensive Response Analysis of NDVI to Climate, Topography, and Human Activities in Shandong Province
- 1.
- Data Processing for Geodetector
- 2.
- Factor Detector
- 3.
- Interaction Detector
4. Discussion
4.1. Trends in Vegetation by NDVI Changes
4.2. The Relationship between Climatic Factors and Vegetation NDVI
4.3. The Impact of Human Activities on Vegetation NDVI
4.4. Limitations of the Study
4.5. Future Research Directions
5. Conclusions
Author Contributions
Funding
Data Availability Statement
Acknowledgments
Conflicts of Interest
References
- Subramanian, A.; Nagarajan, A.M.; Vinod, S.; Chakraborty, S.; Sivagami, K.; Theodore, T.; Sathyanarayanan, S.S.; Tamizhdurai, P.; Mangesh, V.L. Long-Term Impacts of Climate Change on Coastal and Transitional Eco-Systems in India: An Overview of Its Current Status, Future Projections, Solutions, and Policies. RSC Adv. 2023, 13, 12204–12228. [Google Scholar] [CrossRef] [PubMed]
- Rillig, M.C.; Ryo, M.; Lehmann, A. Classifying Human Influences on Terrestrial Ecosystems. Glob. Change Biol. 2021, 27, 2273–2278. [Google Scholar] [CrossRef] [PubMed]
- Chen, J.; Blume, H.-P. Impact of Human Activities on the Terrestrial Ecosystem of Antarctica: AReview. Polarforschung 1995, 65, 83–92. [Google Scholar]
- Shi, Z.; Liu, S.; Chen, Y.; Ding, D.; Han, W. The Unimodal Latitudinal Pattern of K, Ca and Mg Concentration and Its Potential Drivers in Forest Foliage in Eastern China. For. Ecosyst. 2024, 11, 100193. [Google Scholar] [CrossRef]
- Huang, B.; Huang, Y.; Wu, D.; Bao, X.; Wu, Y.; Feng, G.; Li, L. The Influence of Vegetation on Climate Elements in Northwestern China. Atmosphere 2024, 15, 325. [Google Scholar] [CrossRef]
- Gottfried, M.; Pauli, H.; Futschik, A.; Akhalkatsi, M.; Barančok, P.; Benito Alonso, J.L.; Coldea, G.; Dick, J.; Erschbamer, B.; Fernández Calzado, M.R.; et al. Continent-Wide Response of Mountain Vegetation to Climate Change. Nat. Clim. Change 2012, 2, 111–115. [Google Scholar] [CrossRef]
- Altman, J.; Fibich, P.; Trotsiuk, V.; Altmanova, N. Global Pattern of Forest Disturbances and Its Shift under Climate Change. Sci. Total Environ. 2024, 915, 170117. [Google Scholar] [CrossRef] [PubMed]
- Yao, Y.; Zhang, D.; Nan, Y.; Jin, S.; Sun, Y. Environmental Degradation in the Korean Peninsula: Evidence from the Environmental Degradation Index. Ecol. Indic. 2024, 158, 111503. [Google Scholar] [CrossRef]
- Bozzola, M.; Lamonaca, E.; Santeramo, F.G. Impacts of Climate Change on Global Agri-Food Trade. Ecol. Indic. 2023, 154, 110680. [Google Scholar] [CrossRef]
- Guan, Y.; Lu, H.; Jiang, Y.; Tian, P.; Qiu, L.; Pellikka, P.; Heiskanen, J. Changes in Global Climate Heterogeneity under the 21st Century Global Warming. Ecol. Indic. 2021, 130, 108075. [Google Scholar] [CrossRef]
- Xiao, X.; Guan, Q.; Zhang, Z.; Liu, H.; Du, Q.; Yuan, T. Investigating the Underlying Drivers of Vegetation Dynamics in Cold-Arid Mountainous. CATENA 2024, 237, 107831. [Google Scholar] [CrossRef]
- Li, Z.; Qu, H.; Li, L.; Zheng, J.; Wei, D.; Wang, F. Effects of Climate Change on Vegetation Dynamics of the Qinghai-Tibet Plateau, a Causality Analysis Using Empirical Dynamic Modeling. Heliyon 2023, 9, e16001. [Google Scholar] [CrossRef]
- Ikhumhen, H.O.; Fang, Q.; Lu, S.; Meilana, L.; Raimundo Lopes, N.D. Investigating Socio-Ecological Vulnerability to Climate Change via Remote Sensing and a Data-Driven Ranking Algorithm. J. Environ. Manag. 2023, 347, 119254. [Google Scholar] [CrossRef]
- Jiang, L.; Liu, Y.; Wu, S.; Yang, C. Analyzing Ecological Environment Change and Associated Driving Factors in China Based on NDVI Time Series Data. Ecol. Indic. 2021, 129, 107933. [Google Scholar] [CrossRef]
- Zhang, Y.; Zhang, L.; Wang, J.; Dong, G.; Wei, Y. Quantitative Analysis of NDVI Driving Factors Based on the Geographical Detector Model in the Chengdu-Chongqing Region, China. Ecol. Indic. 2023, 155, 110978. [Google Scholar] [CrossRef]
- Bhuyan, U.; Zang, C.; Vicente-Serrano, S.M.; Menzel, A. Exploring Relationships among Tree-Ring Growth, Climate Variability, and Seasonal Leaf Activity on Varying Timescales and Spatial Resolutions. Remote Sens. 2017, 9, 526. [Google Scholar] [CrossRef]
- Mao, D.; Wang, Z.; Luo, L.; Ren, C. Integrating AVHRR and MODIS Data to Monitor NDVI Changes and Their Relationships with Climatic Parameters in Northeast China. Int. J. Appl. Earth Obs. Geoinf. 2012, 18, 528–536. [Google Scholar] [CrossRef]
- Lv, G.T.; Zhu, Y.; Liu, W.Q.; Huang, X.; Li, C.L.; Cui, G.S. Analysis of Multi-Time Series Vegetation Greening in the Korean Peninsula. J. Clim. Change Res. 2019, 10, 479–489. [Google Scholar] [CrossRef]
- Sannigrahi, S.; Bhatt, S.; Rahmat, S.; Paul, S.K.; Sen, S. Estimating Global Ecosystem Service Values and Its Response to Land Surface Dynamics during 1995–2015. J. Environ. Manag. 2018, 223, 115–131. [Google Scholar] [CrossRef] [PubMed]
- Yang, J.; Yan, D.; Yu, Z.; Wu, Z.; Wang, H.; Liu, W.; Liu, S.; Yuan, Z. NDVI Variations of Different Terrestrial Ecosystems and Their Response to Major Driving Factors on Two Side Regions of the Hu-Line. Ecol. Indic. 2024, 159, 111667. [Google Scholar] [CrossRef]
- Ren, Y.; Zhang, F.; Zhao, C.; Cheng, Z. Attribution of Climate Change and Human Activities to Vegetation NDVI in Jilin Province, China during 1998–2020. Ecol. Indic. 2023, 153, 110415. [Google Scholar] [CrossRef]
- Lambin, E.F.; Meyfroidt, P. Global Land Use Change, Economic Globalization, and the Looming Land Scarcity. Proc. Natl. Acad. Sci. USA 2011, 108, 3465–3472. [Google Scholar] [CrossRef] [PubMed]
- Feng, K.; Wang, T.; Liu, S.; Yan, C.; Kang, W.; Chen, X.; Guo, Z. Path Analysis Model to Identify and Analyse the Causes of Aeolian Desertification in Mu Us Sandy Land, China. Ecol. Indic. 2021, 124, 107386. [Google Scholar] [CrossRef]
- Wang, J.; Li, X.; Christakos, G.; Liao, Y.; Zhang, T.; Gu, X.; Zheng, X. Geographical Detectors-Based Health Risk Assessment and Its Application in the Neural Tube Defects Study of the Heshun Region, China. Int. J. Geogr. Inf. Syst. 2010, 24, 107–127. [Google Scholar] [CrossRef]
- Huang, M.; Gong, D.; Zhang, L.; Lin, H.; Chen, Y.; Zhu, D.; Xiao, C.; Altan, O. Spatiotemporal Dynamics and Forecasting of Ecological Security Pattern under the Consideration of Protecting Habitat: A Case Study of the Poyang Lake Ecoregion. Int. J. Digital Earth 2024, 17, 2376277. [Google Scholar] [CrossRef]
- Zhang, H.; Li, L.; Zhao, X.; Chen, F.; Wei, J.; Feng, Z.; Hou, T.; Chen, Y.; Yue, W.; Shang, H.; et al. Changes in Vegetation NDVI and Its Response to Climate Change and Human Activities in the Ferghana Basin from 1982 to 2015. Remote Sens. 2024, 16, 1296. [Google Scholar] [CrossRef]
- Zhu, L.; Meng, J.; Zhu, L. Applying Geodetector to Disentangle the Contributions of Natural and Anthropogenic Factors to NDVI Variations in the Middle Reaches of the Heihe River Basin. Ecol. Indic. 2020, 117, 106545. [Google Scholar] [CrossRef]
- Zhang, Y.; He, Y.; Li, Y.; Jia, L. Spatiotemporal Variation and Driving Forces of NDVI from 1982 to 2015 in the Qinba Mountains, China. Environ. Sci. Pollut. Res. 2022, 29, 52277–52288. [Google Scholar] [CrossRef]
- Yuan, L.; Chen, X.; Wang, X.; Xiong, Z.; Song, C. Spatial Associations between NDVI and Environmental Factors in the Heihe River Basin. J. Geogr. Sci. 2019, 29, 1548–1564. [Google Scholar] [CrossRef]
- Fan, W.; Song, X.; Liu, M.; Shan, B.; Ma, M.; Liu, Y. Spatio-Temporal Evolution of Resources and Environmental Carrying Capacity and Its Influencing Factors: A Case Study of Shandong Peninsula Urban Agglomeration. Environ. Res. 2023, 234, 116469. [Google Scholar] [CrossRef]
- Xu, X.; Sakai, A. The Impact on Ecosystem Services from Rural Revitalization Activity in China Shandong Province, from a Human Well-Being Perspective of Local Residential. Environ. Sustain. Indic. 2024, 23, 100419. [Google Scholar] [CrossRef]
- Ren, Q.; Liu, D.; Liu, Y.; Liu, Y. Spatio-Temporal Dynamics and Socio-Ecological Determinants of Ecosystem Service Interplays in Shandong Province’s Coastal Region (2000–2020): Implications for Environmental Protection and Sustainable Ecosystem Management. Environ. Res. 2024, 243, 117824. [Google Scholar] [CrossRef] [PubMed]
- Sui, Y.; Hu, J.; Zhang, N.; Ma, F. Exploring the Dynamic Equilibrium Relationship between Urbanization and Ecological Environment—A Case Study of Shandong Province, China. Ecol. Indic. 2024, 158, 111456. [Google Scholar] [CrossRef]
- Li, S.; Li, Q.; Zhang, J.; Zhang, S.; Wang, X.; Yang, S.; Zhang, S. Study on the Spatial and Temporal Distribution of Urban Vegetation Phenology by Local Climate Zone and Urban–Rural Gradient Approach. Remote Sens. 2023, 15, 3957. [Google Scholar] [CrossRef]
- Yue, X.Y.; Yue, W. The Spatiotemporal Characteristics of Vegetation Coverage and Its Driving Factors in the Yellow River Delta. Appl. Ecol. Environ. Res. 2023, 21, 4165–4176. [Google Scholar] [CrossRef]
- Shrestha, B.; Zhang, L.; Shrestha, S.; Khadka, N.; Maharjan, L. Spatiotemporal Patterns, Sustainability, and Primary Drivers of NDVI-Derived Vegetation Dynamics (2003–2022) in Nepal. Environ. Monit. Assess. 2024, 196, 607. [Google Scholar] [CrossRef]
- Chen, T.; Xia, J.; Zou, L.; Hong, S. Quantifying the Influences of Natural Factors and Human Activities on NDVI Changes in the Hanjiang River Basin, China. Remote Sens. 2020, 12, 3780. [Google Scholar] [CrossRef]
- He, Z.; Yue, T.; Chen, Y.; Mu, W.; Xi, M.; Qin, F. Analysis of Spatial and Temporal Changes in Vegetation Cover and Driving Forces in the Yan River Basin, Loess Plateau. Remote Sens. 2023, 15, 4240. [Google Scholar] [CrossRef]
- Shi, M.; Lin, F.; Jing, X.; Li, B.; Qin, J.; Wang, M.; Shi, Y.; Hu, Y. Research on the Spatio-Temporal Changes of Vegetation and Its Driving Forces in Shaanxi Province in the Past 20 Years. Sustainability 2023, 15, 16468. [Google Scholar] [CrossRef]
- Peng, S.; Ding, Y.; Liu, W.; Li, Z. 1km Monthly Temperature and Precipitation Dataset for China from 1901 to 2017. Earth Sys. Sci. Data 2019, 11, 1931–1946. [Google Scholar] [CrossRef]
- Wang, D.; Liang, S.; Zhang, Y.; Gao, X.; Brown, M.G.L.; Jia, A. A New Set of MODIS Land Products (MCD18): Downward Shortwave Radiation and Photosynthetically Active Radiation. Remote Sens. 2020, 12, 168. [Google Scholar] [CrossRef]
- Yang, J.; Huang, X. The 30m Annual Land Cover Dataset and Its Dynamics in China from 1990 to 2019. Earth Syst. Sci. Data 2021, 13, 3907–3925. [Google Scholar] [CrossRef]
- Jiang, W.; Yuan, L.; Wang, W.; Cao, R.; Zhang, Y.; Shen, W. Spatio-Temporal Analysis of Vegetation Variation in the Yellow River Basin. Ecol. Indic. 2015, 51, 117–126. [Google Scholar] [CrossRef]
- Mann, H.B. Non-Parametric Test against Trend. Econometrica 1945, 13, 245–259. [Google Scholar] [CrossRef]
- Forthofer, R.N.; Lehnen, R.G. Rank Correlation Methods. In Public Program Analysis; Springer: Boston, MA, USA, 1981; pp. 146–163. ISBN 978-1-4684-6685-0. [Google Scholar]
- Maghsoodloo, S.; Laszlo Pallos, L. Asymptotic Behavior of Kendall’s Partial Rank Correlation Coefficient and Additional Quaantile Estimates. J. Stat. Comput. Simul. 1981, 13, 41–48. [Google Scholar] [CrossRef]
- Kang, Y.; Guo, E.; Wang, Y.; Bao, Y.; Bao, Y.; Mandula, N. Monitoring Vegetation Change and Its Potential Drivers in Inner Mongolia from 2000 to 2019. Remote Sens. 2021, 13, 3357. [Google Scholar] [CrossRef]
- Hamed, K.H. Exact Distribution of the Mann-Kendall Trend Test Statistic for Persistent Data. J. Hydrol. 2009, 365, 86–94. [Google Scholar] [CrossRef]
- Wang, J.-F.; Zhang, T.-L.; Fu, B.-J. A Measure of Spatial Stratified Heterogeneity. Ecol. Indic. 2016, 67, 250–256. [Google Scholar] [CrossRef]
- Wu, Y.; Yang, J.; Li, S.; Guo, C.; Yang, X.; Xu, Y.; Yue, F.; Peng, H.; Chen, Y.; Gu, L.; et al. NDVI-Based Vegetation Dynamics and Their Responses to Climate Change and Human Activities from 2000 to 2020 in Miaoling Karst Mountain Area, SW China. Land 2023, 12, 1267. [Google Scholar] [CrossRef]
- Meng, X.; Gao, X.; Li, S.; Lei, J. Spatial and Temporal Characteristics of Vegetation NDVI Changes and the Driving Forces in Mongolia during 1982–2015. Remote Sens. 2020, 12, 603. [Google Scholar] [CrossRef]
- Dong, H.; Liu, Y.; Cui, J.; Zhu, M.; Ji, W. Spatial and Temporal Variations of Vegetation Cover and Its Influencing Factors in Shandong Province Based on GEE. Environ. Monit. Assess. 2023, 195, 1023. [Google Scholar] [CrossRef]
- Liu, T.; Zhang, Q.; Li, T.; Zhang, K. Dynamic Vegetation Responses to Climate and Land Use Changes over the Inner Mongolia Reach of the Yellow River Basin, China. Remote Sens. 2023, 15, 3531. [Google Scholar] [CrossRef]














| Categories | Dataset | Abbreviation | Year Range and Resolution | Time Resolution | Data Source |
|---|---|---|---|---|---|
| / | Normalized difference vegetation index | NDVI | 2001–2020; 250 m | 16d | GEE |
| Climatic factors | Mean annual precipitation | PRE | 2001–2020; 1000 m | 1a | [40] |
| Mean annual temperature | TEM | 2001–2020; 1000 m | 1a | [41] | |
| Photosynthetically active radiation | PAR | 2001–2020; 0.05° | 1a | GEE | |
| Fundamental natural environmental factors | Elevation | Elevation | 2000; 30 m | GEE | |
| Slope | Slope | 2000; 30 m | GEE | ||
| Aspect | Aspect | 2000; 30 m | GEE | ||
| Soil type | Soil | 2023; 1000 m | Harmonized World Soil Database v2.0 | ||
| Human activities | Land use type | LAND | 2001–2020; 30 m | 1a | [42] |
| Population density | POP | 2001–2020; 100 m | 1a | GEE | |
| Nighttime light | Light | 2001–2013; 1000 m | 1a | GEE | |
| Light | 2014–2020; 750 m | 1a | GEE | ||
| Distance to main rivers | River | 2020; 1000 m | openstreetmap | ||
| Distance to road | Road | 2020; 1000 m | openstreetmap |
| Trend Type | Trend Features | ||
|---|---|---|---|
| > 0.001 | > 1.96 | 5 | Significant improvement |
| > 0.001 | ≤ 1.96 | 4 | Slight improvement |
| ≤ 0.001 | ≤ 1.96 | 3 | Stable and unchanged |
| < −0.001 | ≤ 1.96 | 2 | Slight degradation |
| < −0.001 | > 1.96 | 1 | Severe degradation |
| Year | 2020 | 2015 | 2010 | 2005 | ||||
|---|---|---|---|---|---|---|---|---|
| Factors | Methods | Intervals Num | Methods | Intervals Num | Methods | Intervals Num | Methods | Intervals Num |
| PRE | geometric | 10 | sd | 10 | equal | 9 | geometric | 10 |
| TEM | natural | 9 | quantile | 9 | quantile | 10 | natural | 10 |
| PAR | natural | 10 | natural | 8 | equal | 10 | equal | 10 |
| Elevation | geometric | 10 | geometric | 9 | geometric | 10 | geometric | 10 |
| Slope | sd | 10 | geometric | 9 | geometric | 10 | geometric | 9 |
| Aspect | natural | 8 | natural | 8 | natural | 8 | natural | 8 |
| Soil | 22 | 22 | 22 | 22 | ||||
| LAND | 5 | 5 | 5 | 5 | ||||
| POP | natural | 10 | natural | 10 | natural | 10 | natural | 10 |
| Light | geometric | 10 | natural | 10 | geometric | 10 | natural | 10 |
| River | equal | 10 | geometric | 8 | equal | 9 | geometric | 10 |
| Road | quantile | 10 | equal | 7 | equal | 7 | equal | 7 |
| Year | Factors | PRE | TEM | PAR | Elevation | Slope | Aspect | Soil | LAND | POP | Light | River | Road |
|---|---|---|---|---|---|---|---|---|---|---|---|---|---|
| 2005 | q-value | 0.021 | 0.021 | 0.020 | 0.103 | 0.030 | 0.011 | 0.214 | 0.300 | 0.025 | 0.172 | 0.010 | 0.017 |
| sig | 0 | 0 | 0 | 0 | 0 | 0 | 0 | 0 | 0 | 0 | 0 | 0 | |
| 2010 | q-value | 0.016 | 0.027 | 0.042 | 0.086 | 0.025 | 0.009 | 0.178 | 0.288 | 0.030 | 0.231 | 0.008 | 0.013 |
| sig | 0 | 0 | 0 | 0 | 0 | 0 | 0 | 0 | 0 | 0 | 0 | 0 | |
| 2015 | q-value | 0.019 | 0.032 | 0.013 | 0.109 | 0.017 | 0.005 | 0.162 | 0.262 | 0.033 | 0.212 | 0.008 | 0.014 |
| sig | 0 | 0 | 0 | 0 | 0 | 0 | 0 | 0 | 0 | 0 | 0 | 0 | |
| 2020 | q-value | 0.008 | 0.028 | 0.014 | 0.158 | 0.026 | 0.007 | 0.206 | 0.313 | 0.038 | 0.197 | 0.023 | 0.055 |
| sig | 0 | 0 | 0 | 0 | 0 | 0 | 0 | 0 | 0 | 0 | 0 | 0 |
Disclaimer/Publisher’s Note: The statements, opinions and data contained in all publications are solely those of the individual author(s) and contributor(s) and not of MDPI and/or the editor(s). MDPI and/or the editor(s) disclaim responsibility for any injury to people or property resulting from any ideas, methods, instructions or products referred to in the content. |
© 2024 by the authors. Licensee MDPI, Basel, Switzerland. This article is an open access article distributed under the terms and conditions of the Creative Commons Attribution (CC BY) license (https://creativecommons.org/licenses/by/4.0/).
Share and Cite
Dong, D.; Zhao, Z.; Gao, H.; Zhou, Y.; Gong, D.; Du, H.; Fujioka, Y. Analysis of Spatiotemporal Evolution and Driving Forces of Vegetation from 2001 to 2020: A Case Study of Shandong Province, China. Forests 2024, 15, 1245. https://doi.org/10.3390/f15071245
Dong D, Zhao Z, Gao H, Zhou Y, Gong D, Du H, Fujioka Y. Analysis of Spatiotemporal Evolution and Driving Forces of Vegetation from 2001 to 2020: A Case Study of Shandong Province, China. Forests. 2024; 15(7):1245. https://doi.org/10.3390/f15071245
Chicago/Turabian StyleDong, Dejin, Ziliang Zhao, Hongdi Gao, Yufeng Zhou, Daohong Gong, Huaqiang Du, and Yuichiro Fujioka. 2024. "Analysis of Spatiotemporal Evolution and Driving Forces of Vegetation from 2001 to 2020: A Case Study of Shandong Province, China" Forests 15, no. 7: 1245. https://doi.org/10.3390/f15071245
APA StyleDong, D., Zhao, Z., Gao, H., Zhou, Y., Gong, D., Du, H., & Fujioka, Y. (2024). Analysis of Spatiotemporal Evolution and Driving Forces of Vegetation from 2001 to 2020: A Case Study of Shandong Province, China. Forests, 15(7), 1245. https://doi.org/10.3390/f15071245

