Impact of Conservation in the Futian Mangrove National Nature Reserve on Water Quality in the Last Twenty Years
Abstract
1. Introduction
2. Materials and Methods
2.1. The Research Framework
2.2. Study Area
2.3. Dataset and Data Processing
2.4. Potential Drive Factors Dataset
2.5. Image Interpretation Methods
2.6. Construction and Calculation of the WQI
2.7. Construction of Structural Equations
3. Results
3.1. Land-Use Maps in FMNNR
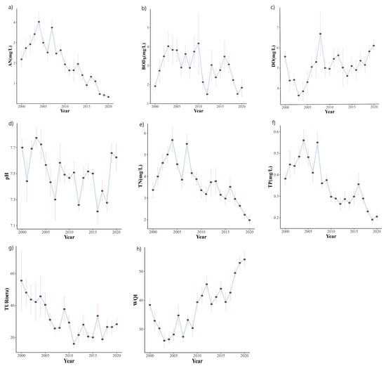
3.2. Changes in Water Quality in Shenzhen Bay
3.3. Structural Equation Analysis of the Factors Affecting Water Quality in Shenzhen Bay
4. Discussion
4.1. The Positive Impact of Mangrove Expansion on Water Quality
4.2. Factors Contributing to Water Quality Improvement in Shenzhen Bay
4.3. Comparison of Impacts on Water Quality between Mangroves and Climate
4.4. Implications
4.5. Limitations and Directions for Future Research
5. Conclusions
Supplementary Materials
Author Contributions
Funding
Data Availability Statement
Acknowledgments
Conflicts of Interest
References
- Barbier, E.B.; Hacker, S.D.; Kennedy, C.; Koch, E.W.; Stier, A.C.; Silliman, B.R. The Value of Estuarine and Coastal Ecosystem Services. Ecol. Monogr. 2011, 81, 169–193. [Google Scholar] [CrossRef]
- Locatelli, T.; Binet, T.; Kairo, J.G.; King, L.; Madden, S.; Patenaude, G.; Upton, C.; Huxham, M. Turning the Tide: How Blue Carbon and Payments for Ecosystem Services (PES) Might Help Save Mangrove Forests. AMBIO 2014, 43, 981–995. [Google Scholar] [CrossRef] [PubMed]
- Trégarot, E.; Caillaud, A.; Cornet, C.C.; Taureau, F.; Catry, T.; Cragg, S.M.; Failler, P. Mangrove Ecological Services at the Forefront of Coastal Change in the French Overseas Territories. Sci. Total Environ. 2021, 763, 143004. [Google Scholar] [CrossRef] [PubMed]
- Van Oudenhoven, A.P.E.; Siahainenia, A.J.; Sualia, I.; Tonneijck, F.H.; Van Der Ploeg, S.; De Groot, R.S.; Alkemade, R.; Leemans, R. Effects of Different Management Regimes on Mangrove Ecosystem Services in Java, Indonesia. Ocean Coast. Manag. 2015, 116, 353–367. [Google Scholar] [CrossRef]
- Barenblitt, A.; Fatoyinbo, L.; Thomas, N.; Stovall, A.; De Sousa, C.; Nwobi, C.; Duncanson, L. Invasion in the Niger Delta: Remote Sensing of Mangrove Conversion to Invasive Nypa Fruticans from 2015 to 2020. Remote Sens. Ecol. Conserv. 2024, 10, 5–23. [Google Scholar] [CrossRef]
- Tachas, J.N.; Raoult, V.; Morris, R.L.; Swearer, S.E.; Gaston, T.F.; Strain, E.M.A. Eco-Engineered Mangroves Provide Complex but Functionally Divergent Niches for Estuarine Species Compared to Natural Mangroves. Ecol. Eng. 2021, 170, 106355. [Google Scholar] [CrossRef]
- Ke, G.-N.; Utama, I.K.A.P.; Wagner, T.; Sweetman, A.K.; Arshad, A.; Nath, T.K.; Neoh, J.Y.; Muchamad, L.S.; Suroso, D.S.A. Influence of Mangrove Forests on Subjective and Psychological Wellbeing of Coastal Communities: Case Studies in Malaysia and Indonesia. Front. Public Health 2022, 10, 898276. [Google Scholar] [CrossRef] [PubMed]
- López-Medellín, X.; Castillo, A.; Ezcurra, E. Contrasting Perspectives on Mangroves in Arid Northwestern Mexico: Implications for Integrated Coastal Management. Ocean Coast. Manag. 2011, 54, 318–329. [Google Scholar] [CrossRef]
- Giri, C.; Ochieng, E.; Tieszen, L.L.; Zhu, Z.; Singh, A.; Loveland, T.; Masek, J.; Duke, N. Status and Distribution of Mangrove Forests of the World Using Earth Observation Satellite Data. Glob. Ecol. Biogeogr. 2011, 20, 154–159. [Google Scholar] [CrossRef]
- Bouillon, S.; Borges, A.V.; Castañeda-Moya, E.; Diele, K.; Dittmar, T.; Duke, N.C.; Kristensen, E.; Lee, S.Y.; Marchand, C.; Middelburg, J.J.; et al. Mangrove Production and Carbon Sinks: A Revision of Global Budget Estimates. Glob. Biogeochem. Cycles 2008, 22, 2007GB003052. [Google Scholar] [CrossRef]
- Donato, D.C.; Kauffman, J.B.; Murdiyarso, D.; Kurnianto, S.; Stidham, M.; Kanninen, M. Mangroves among the Most Carbon-Rich Forests in the Tropics. Nat. Geosci. 2011, 4, 293–297. [Google Scholar] [CrossRef]
- Vo, Q.T.; Kuenzer, C.; Vo, Q.M.; Moder, F.; Oppelt, N. Review of Valuation Methods for Mangrove Ecosystem Services. Ecol. Indic. 2012, 23, 431–446. [Google Scholar] [CrossRef]
- Malik, A.; Fensholt, R.; Mertz, O. Economic Valuation of Mangroves for Comparison with Commercial Aquaculture in South Sulawesi, Indonesia. Forests 2015, 6, 3028–3044. [Google Scholar] [CrossRef]
- Carugati, L.; Gatto, B.; Rastelli, E.; Lo Martire, M.; Coral, C.; Greco, S.; Danovaro, R. Impact of Mangrove Forests Degradation on Biodiversity and Ecosystem Functioning. Sci. Rep. 2018, 8, 13298. [Google Scholar] [CrossRef] [PubMed]
- Lewis, R.R.; Milbrandt, E.C.; Brown, B.; Krauss, K.W.; Rovai, A.S.; Beever, J.W.; Flynn, L.L. Stress in Mangrove Forests: Early Detection and Preemptive Rehabilitation Are Essential for Future Successful Worldwide Mangrove Forest Management. Mar. Pollut. Bull. 2016, 109, 764–771. [Google Scholar] [CrossRef]
- Alongi, D.M. Present State and Future of the World’s Mangrove Forests. Environ. Conserv. 2002, 29, 331–349. [Google Scholar] [CrossRef]
- Thomas, N.; Lucas, R.; Bunting, P.; Hardy, A.; Rosenqvist, A.; Simard, M. Distribution and Drivers of Global Mangrove Forest Change, 1996–2010. PLoS ONE 2017, 12, e0179302. [Google Scholar] [CrossRef]
- Valiela, I.; Bowen, J.L.; York, J.K. Mangrove Forests: One of the World’s Threatened Major Tropical Environments: At Least 35% of the Area of Mangrove Forests Has Been Lost in the Past Two Decades, Losses That Exceed Those for Tropical Rain Forests and Coral Reefs, Two Other Well-Known Threatened Environments. Bioscience 2001, 51, 807–815. [Google Scholar]
- Jia, M.; Wang, Z.; Li, L.; Song, K.; Ren, C.; Liu, B.; Mao, D. Mapping China’s Mangroves Based on an Object-Oriented Classification of Landsat Imagery. Wetlands 2014, 34, 277–283. [Google Scholar] [CrossRef]
- Alam, M.I.; Rahman, M.S.; Ahmed, M.U.; Debrot, A.O.; Ahsan, M.N.; Verdegem, M.C.J. Mangrove Forest Conservation vs Shrimp Production: Uncovering a Sustainable Co-Management Model and Policy Solution for Mangrove Greenbelt Development in Coastal Bangladesh. For. Policy Econ. 2022, 144, 102824. [Google Scholar] [CrossRef]
- Sarath, N.G.; Puthur, J.T. Heavy Metal Pollution Assessment in a Mangrove Ecosystem Scheduled as a Community Reserve. Wetl. Ecol. Manag. 2021, 29, 719–730. [Google Scholar] [CrossRef]
- Truong, T.D.; Do, L.H. Mangrove Forests and Aquaculture in the Mekong River Delta. Land Use Policy 2018, 73, 20–28. [Google Scholar] [CrossRef]
- Kim, K.; Seo, E.; Chang, S.-K.; Park, T.J.; Lee, S.J. Novel Water Filtration of Saline Water in the Outermost Layer of Mangrove Roots. Sci. Rep. 2016, 6, 20426. [Google Scholar] [CrossRef]
- Ivorra, L.; Cardoso, P.G.; Chan, S.K.; Cruzeiro, C.; Tagulao, K.A. Can Mangroves Work as an Effective Phytoremediation Tool for Pesticide Contamination? An Interlinked Analysis between Surface Water, Sediments and Biota. J. Clean. Prod. 2021, 295, 126334. [Google Scholar] [CrossRef]
- Usman, A.R.A.; Alkredaa, R.S.; Al-Wabel, M.I. Heavy Metal Contamination in Sediments and Mangroves from the Coast of Red Sea: Avicennia Marina as Potential Metal Bioaccumulator. Ecotoxicol. Environ. Saf. 2013, 97, 263–270. [Google Scholar] [CrossRef]
- Kumar, V.; Sinha, A.K.; Rodrigues, P.P.; Mubiana, V.K.; Blust, R.; De Boeck, G. Linking Environmental Heavy Metal Concentrations and Salinity Gradients with Metal Accumulation and Their Effects: A Case Study in 3 Mussel Species of Vitória Estuary and Espírito Santo Bay, Southeast Brazil. Sci. Total Environ. 2015, 523, 1–15. [Google Scholar] [CrossRef]
- Ferreira, A.C.; Borges, R.; de Lacerda, L.D. Can Sustainable Development Save Mangroves? Sustainability 2022, 14, 1263. [Google Scholar] [CrossRef]
- Rogers, K.; Boon, P.I.; Branigan, S.; Duke, N.C.; Field, C.D.; Fitzsimons, J.A.; Kirkman, H.; Mackenzie, J.R.; Saintilan, N. The State of Legislation and Policy Protecting Australia’s Mangrove and Salt Marsh and Their Ecosystem Services. Mar. Policy 2016, 72, 139–155. [Google Scholar] [CrossRef]
- Akram, H.; Hussain, S.; Mazumdar, P.; Chua, K.O.; Butt, T.E.; Harikrishna, J.A. Mangrove Health: A Review of Functions, Threats, and Challenges Associated with Mangrove Management Practices. Forests 2023, 14, 1698. [Google Scholar] [CrossRef]
- Ward, R.D.; Friess, D.A.; Day, R.H.; Mackenzie, R.A. Impacts of Climate Change on Mangrove Ecosystems: A Region by Region Overview. Ecosyst. Health Sustain. 2016, 2, e01211. [Google Scholar] [CrossRef]
- Cinco-Castro, S.; Herrera-Silveira, J. Vulnerability of Mangrove Ecosystems to Climate Change Effects: The Case of the Yucatan Peninsula. Ocean Coast. Manag. 2020, 192, 105196. [Google Scholar] [CrossRef]
- Wang, Y.-S.; Gu, J.-D. Ecological Responses, Adaptation and Mechanisms of Mangrove Wetland Ecosystem to Global Climate Change and Anthropogenic Activities. Int. Biodeterior. Biodegrad. 2021, 162, 105248. [Google Scholar] [CrossRef]
- Adjovu, G.E.; Stephen, H.; James, D.; Ahmad, S. Measurement of Total Dissolved Solids and Total Suspended Solids in Water Systems: A Review of the Issues, Conventional, and Remote Sensing Techniques. Remote Sens. 2023, 15, 3534. [Google Scholar] [CrossRef]
- Shah, N.W.; Baillie, B.R.; Bishop, K.; Ferraz, S.; Högbom, L.; Nettles, J. The Effects of Forest Management on Water Quality. For. Ecol. Manag. 2022, 522, 120397. [Google Scholar] [CrossRef]
- Fanous, M.; Eden, J.M.; Remesan, R.; Daneshkhah, A. Challenges and Prospects of Climate Change Impact Assessment on Mangrove Environments through Mathematical Models. Environ. Model. Softw. 2023, 162, 105658. [Google Scholar] [CrossRef]
- Li, Z.; Pan, F.; Xiao, K.; Li, H.; Zheng, C.; Wang, X.; Zhang, Y.; Wang, Q.; Zhang, L. An Integrated Study of the Spatiotemporal Character, Pollution Assessment, and Migration Mechanism of Heavy Metals in the Groundwater of a Subtropical Mangrove Wetland. J. Hydrol. 2022, 612, 128251. [Google Scholar] [CrossRef]
- Hijmans, R.J.; Phillips, S.; Leathwick, J.; Elith, J. Dismo: Species Distribution Modeling 2017. Available online: https://CRAN.R-project.org/package=dismo (accessed on 11 June 2024).
- Liang, S.; Shi, X.; Zhang, X. Dynamic Analysis of Land Types in Futian Mangrove Reserve. For. Resour. Manag. 2009, 4, 74–78. [Google Scholar]
- Wu, H.; Zhou, L.; Xu, H.; Shen, X.; Chai, M.; Li, R. Assessment and Improvement Strategies for Bird Carrying Capacity of Mangrove Wetlands in the Guangdong-Hong Kong-Macao Greater Bay Area—Taking Futian Mangrove Forest in Shenzhen Bay as an Example. Acta Scientiarum Nauralium Universitaties Pekinensis 2020, 56, 1056–1064. [Google Scholar]
- Wang, L.; Chen, S. Characteristics of Natural Conditions in Shenzhen Bay and Issues That Should Be Paid Attention to in Management. Pearl River 2001, 22, 4. [Google Scholar]
- Maurya, K.; Mahajan, S.; Annamalai, A.; Chaube, N.R.; Patrevu, D.; Misra, A. Mangroves in Gulf of Khambhat, Gujarat: A Case Study. Proc. Indian Natl. Sci. Acad. 2022, 88, 560–575. [Google Scholar] [CrossRef]
- Su, X.; Zhao, D.; Huang, F.; Wu, T.; Wang, X. Progress in Mangrove Satellite Remote Sensing Monitoring Technology Based on High Spatial Resolution. J. Trop. Oceanogr. 2011, 30, 8. [Google Scholar]
- Belgiu, M.; Drăguţ, L. Random Forest in Remote Sensing: A Review of Applications and Future Directions. ISPRS J. Photogramm. Remote Sens. 2016, 114, 24–31. [Google Scholar] [CrossRef]
- Gislason, P.O.; Benediktsson, J.A.; Sveinsson, J.R. Random Forests for Land Cover Classification. Pattern Recognit. Lett. 2006, 27, 294–300. [Google Scholar] [CrossRef]
- Ludwig, A.; Meyer, H.; Nauss, T. Automatic Classification of Google Earth Images for a Larger Scale Monitoring of Bush Encroachment in South Africa. Int. J. Appl. Earth Obs. Geoinf. 2016, 50, 89–94. [Google Scholar] [CrossRef]
- Uddin, M.G.; Nash, S.; Rahman, A.; Olbert, A.I. A Comprehensive Method for Improvement of Water Quality Index (WQI) Models for Coastal Water Quality Assessment. Water Res. 2022, 219, 118532. [Google Scholar] [CrossRef] [PubMed]
- Iwegbue, C.M.A.; Faran, T.K.; Iniaghe, P.O.; Ikpefan, J.O.; Tesi, G.O.; Nwajei, G.E.; Martincigh, B.S. Water Quality of Bomadi Creek in the Niger Delta of Nigeria: Assessment of Some Physicochemical Properties, Metal Concentrations, and Water Quality Index. Appl. Water Sci. 2023, 13, 36. [Google Scholar] [CrossRef]
- Goshtasbi, H.; Atazadeh, E.; Fathi, M.; Movafeghi, A. Using Physicochemical and Biological Parameters for the Evaluation of Water Quality and Environmental Conditions in International Wetlands on the Southern Part of Lake Urmia, Iran. Environ. Sci. Pollut. Res. 2022, 29, 18805–18819. [Google Scholar] [CrossRef]
- Deng, L.; Chen, K.; Liu, Z.; Wu, B.; Chen, Z.; He, S. Spatiotemporal Variation Evaluation of Water Quality in Middle and Lower Han River, China. Sci. Rep. 2022, 12, 14125. [Google Scholar] [CrossRef]
- Zhang, L.; Guo, Y.; Xiao, K.; Pan, F.; Li, H.; Li, Z.; Xu, H. Extreme Rainstorm Reshuffles the Spatial Distribution of Heavy Metals and Pollution Risk in Sediments along the Mangrove Tidal Flat. Mar. Pollut. Bull. 2023, 194, 115277. [Google Scholar] [CrossRef]
- Lu, J.; Gu, J.; Han, J.; Xu, J.; Liu, Y.; Jiang, G.; Zhang, Y. Evaluation of Spatiotemporal Patterns and Water Quality Conditions Using Multivariate Statistical Analysis in the Yangtze River, China. Water 2023, 15, 3242. [Google Scholar] [CrossRef]
- Wu, J.; Cheng, S.-P.; He, L.-Y.; Wang, Y.-C.; Yue, Y.; Zeng, H.; Xu, N. Assessing Water Quality in the Pearl River for the Last Decade Based on Clustering: Characteristic, Evolution and Policy Implications. Water Res. 2023, 244, 120492. [Google Scholar] [CrossRef] [PubMed]
- Ustaoğlu, F.; Tepe, Y.; Taş, B. Assessment of Stream Quality and Health Risk in a Subtropical Turkey River System: A Combined Approach Using Statistical Analysis and Water Quality Index. Ecol. Indic. 2020, 113, 105815. [Google Scholar] [CrossRef]
- Pesce, S.F.; Wunderlin, D.A. Use of Water Quality Indices to Verify the Impact of Córdoba City (Argentina) on Suquía River. Water Res. 2000, 34, 2915–2926. [Google Scholar] [CrossRef]
- Hu, B.; Guo, P.; Wu, Y.; Deng, J.; Su, H.; Li, Y.; Nan, Y. Study of Soil Physicochemical Properties and Heavy Metals of a Mangrove Restoration Wetland. J. Clean. Prod. 2021, 291, 125965. [Google Scholar] [CrossRef]
- Hilaluddin, F.; Yusoff, F.M.; Natrah, F.M.I.; Lim, P.T. Disturbance of Mangrove Forests Causes Alterations in Estuarine Phytoplankton Community Structure in Malaysian Matang Mangrove Forests. Mar. Environ. Res. 2020, 158, 104935. [Google Scholar] [CrossRef]
- Mamidala, H.P.; Ganguly, D.; Purvaja, R.; Singh, G.; Das, S.; Rao, M.N.; Kazip Ys, A.; Arumugam, K.; Ramesh, R. Interspecific Variations in Leaf Litter Decomposition and Nutrient Release from Tropical Mangroves. J. Environ. Manag. 2023, 328, 116902. [Google Scholar] [CrossRef]
- Yang, L.; Shen, F.; Zhang, L.; Cai, Y.; Yi, F.; Zhou, C. Quantifying Influences of Natural and Anthropogenic Factors on Vegetation Changes Using Structural Equation Modeling: A Case Study in Jiangsu Province, China. J. Clean. Prod. 2021, 280, 124330. [Google Scholar] [CrossRef]
- Liu, J.; Yi, Y.; Wang, X. Exploring Factors Influencing Construction Waste Reduction: A Structural Equation Modeling Approach. J. Clean. Prod. 2020, 276, 123185. [Google Scholar] [CrossRef]
- Kineber, A.F.; Othman, I.; Oke, A.E.; Chileshe, N.; Buniya, M.K. Impact of Value Management on Building Projects Success: Structural Equation Modeling Approach. J. Constr. Eng. Manag. 2021, 147, 04021011. [Google Scholar] [CrossRef]
- Wang, H.; Peng, Y.; Wang, C.; Wen, Q.; Xu, J.; Hu, Z.; Jia, X.; Zhao, X.; Lian, W.; Temmerman, S.; et al. Mangrove Loss and Gain in a Densely Populated Urban Estuary: Lessons from the Guangdong-Hong Kong-Macao Greater Bay Area. Front. Mar. Sci. 2021, 8, 693450. [Google Scholar] [CrossRef]
- Lovelock, C.E.; Barbier, E.; Duarte, C.M. Tackling the Mangrove Restoration Challenge. PLoS Biol. 2022, 20, e3001836. [Google Scholar] [CrossRef] [PubMed]
- Dangremond, E.M.; Simpson, L.T.; Osborne, T.Z.; Feller, I.C. Nitrogen Enrichment Accelerates Mangrove Range Expansion in the Temperate–Tropical Ecotone. Ecosystems 2020, 23, 703–714. [Google Scholar] [CrossRef]
- Ahmed, N.; Glaser, M. Coastal Aquaculture, Mangrove Deforestation, and Blue Carbon Emissions: Is REDD+ a Solution? Mar. Policy 2016, 66, 58–66. [Google Scholar] [CrossRef]
- Wang, Y.; Jiao, M.; Li, T.; Li, R.; Liu, B. Role of Mangrove Forest in Interception of Microplastics (MPs): Challenges, Progress, and Prospects. J. Hazard. Mater. 2023, 445, 130636. [Google Scholar] [CrossRef] [PubMed]
- John, J.; Nandhini, A.R.; Velayudhaperumal Chellam, P.; Sillanpää, M. Microplastics in Mangroves and Coral Reef Ecosystems: A Review. Environ. Chem. Lett. 2022, 20, 397–416. [Google Scholar] [CrossRef] [PubMed]
- Cheng, H.; Mai, Z.; Wang, Y.; Liu, D.; Sun, Y. Role of Extracellular Polymeric Substances in Metal Sequestration during Mangrove Restoration. Chemosphere 2022, 306, 135550. [Google Scholar] [CrossRef] [PubMed]
- Sahavacharin, A.; Sompongchaiyakul, P.; Thaitakoo, D. The Effects of Land-Based Change on Coastal Ecosystems. Landsc. Ecol. Eng. 2022, 18, 351–366. [Google Scholar] [CrossRef]
- Tagulao, K.A.; Lai, W.I.; Lebel, A.; Calheiros, C.S.C. Evaluating the Potential of Mangrove Phytoremediation for Mitigating Coastal Water Eutrophication in Macao SAR: A Field and Mesocosm Study. Sustainability 2023, 15, 7830. [Google Scholar] [CrossRef]
- Shampa, M.T.A.; Shimu, N.J.; Chowdhury, K.M.A.; Islam, M.M.; Ahmed, M.K. A Comprehensive Review on Sustainable Coastal Zone Management in Bangladesh: Present Status and the Way Forward. Heliyon 2023, 9, e18190. [Google Scholar] [CrossRef]
- Yousefi, M.; Naderloo, R. Global Habitat Suitability Modeling Reveals Insufficient Habitat Protection for Mangrove Crabs. Sci. Rep. 2022, 12, 21713. [Google Scholar] [CrossRef]
- Hajializadeh, P.; Safaie, M.; Naderloo, R.; Shojaei, M.G. Spatial and Temporal Distribution of Brachyuran Crabs in Mangroves of the Persian Gulf. Wetlands 2022, 42, 99. [Google Scholar] [CrossRef]
- Yang, P.; Mao, X.; Li, T.; Gao, X. Ecological Risk Assessment of the Shenzhen River-Bay Watershed. Hum. Ecol. Risk Assess. Int. J. 2011, 17, 580–597. [Google Scholar] [CrossRef]
- Tran, K.C.; Euan, J.; Isla, M.L. Public Perception of Development Issues: Impact of Water Pollution on a Small Coastal Community. Ocean Coast. Manag. 2002, 45, 405–420. [Google Scholar] [CrossRef]
- Friess, D.A.; Thompson, B.S.; Brown, B.; Amir, A.A.; Cameron, C.; Koldewey, H.J.; Sasmito, S.D.; Sidik, F. Policy Challenges and Approaches for the Conservation of Mangrove Forests in Southeast Asia. Conserv. Biol. 2016, 30, 933–949. [Google Scholar] [CrossRef] [PubMed]
- Hu, J.; Li, G. Sustainability Strategies and Plans for Shenzhen Hebend Water System Pollution Control. Pearl River 2008, 2, 60–62. [Google Scholar]
- Song, F.; Qin, H.; Chen, S.; Zhao, Z. Analysis and Research on Water Pollution Sources in Shenzhen Bay Basin. Acta Sci. Nauralium Univ. Pekin. 2019, 55, 317–328. [Google Scholar]
- Jiang, Y.; Zhang, Q.; Li, F. Analysis of the Impact of Rapid Urbanization on Shenzhen’s Water Environment. Pearl River 2023, 44, 8–17. [Google Scholar]
- Xia, J.; Ren, H.; Tao, Y. Research on Water Pollution Prevention and Control Planning in Shenzhen Bay Based on TMD. In Proceedings of the 2009 Annual Conference of the Chinese Society of Environmental Sciences, Shanghai, China, 2–5 June 2009. [Google Scholar]
- Niu, Z.; Shen, X.; Chai, M. Spatiotemporal Variation Characteristics of Water Environment Quality in Futian Mangrove Area of Shenzhen Bay. Acta Sci. Nauralium Univ. Pekin. 2018, 54, 9. [Google Scholar]
- Zeng, C.; Huang, W.; Wang, W. Distribution Characteristics of Dissolved Oxygen and Environmental Influencing Factors in Tianmu Lake. Resour. Environ. Yangtze Basin 2010, 19, 445. [Google Scholar]
- Zhao, H.; Wang, S.; Zhao, M. Dissolved Oxygen in Erhai Lake and Its Relationship with Environmental Factors. Environ. Sci. 2011, 32, 8. [Google Scholar]
- Li, C.; Li, M.; Luo, H. Heavy Metal Content in Water Quality of Shenzhen Mangrove Reserve. J. Shenzhen Univ. (Sci. Eng.) 2013, 30, 437–440. [Google Scholar] [CrossRef]
- Tang, T.; Han, L.; Peng, Y. Research on the Current Situation and Prevention and Control Strategies of Water Environmental Pollution in Shenzhen Bay. Environ. Sci. Manag. 2016, 41, 43–45. [Google Scholar]
- Delpla, I.; Jung, A.-V.; Baures, E.; Clement, M.; Thomas, O. Impacts of Climate Change on Surface Water Quality in Relation to Drinking Water Production. Environ. Int. 2009, 35, 1225–1233. [Google Scholar] [CrossRef] [PubMed]
- Shrestha, N.K.; Wang, J. Water Quality Management of a Cold Climate Region Watershed in Changing Climate. J. Environ. Inform. 2019, 35, 56–80. [Google Scholar] [CrossRef]
- Friess, D.A.; Adame, M.F.; Adams, J.B.; Lovelock, C.E. Mangrove Forests under Climate Change in a 2 °C World. WIREs Clim. Chang. 2022, 13, e792. [Google Scholar] [CrossRef]
- Gajjar, J.; Prajapati, B.; Solanki, H. A Review on Mangrove and Its Threats. Vidya—J. Gujarat Univ. 2022, 1, 21–23. [Google Scholar] [CrossRef]
- Sunny, B.K. A Systematic Study of Climate Change Impact on Fish and Fisheries Sector in Bangladesh and Role of Geospatial Science in Mitigation. In Proceedings of the IOP Conference Series: Earth and Environmental Science; IOP Publishing: Bristol, UK, 2022; Volume 1064, p. 012036. [Google Scholar]










| ID | Year | Image Date | Bands |
|---|---|---|---|
| 1 | 2000 | 1 November 2000 | Red, Green, Blue |
| 2 | 2004 | 3 October 2004 | Red, Green, Blue |
| 3 | 2008 | 20 February 2008 | Red, Green, Blue |
| 4 | 2012 | 6 November 2012 | Red, Green, Blue |
| 5 | 2016 | 19 September 2016 | Red, Green, Blue |
| 6 | 2020 | 24 November 2020 | Red, Green, Blue |
| Type | Factors | Time Available | Source |
|---|---|---|---|
| Water quality | AN | Measurements for one day of the month, 2000–2020 | Environmental Protection Department, Hong Kong Special Administrative Region, China |
| BOD5 | |||
| DO | |||
| pH | |||
| TN | |||
| TP | |||
| TUR | |||
| Climate | Temperatures | Monthly averages, 2000–2020 | |
| Precipitation | China Tibetan Plateau Science Data Center; ERA5-Land dataset |
| Water Quality Level | DO (mg/L) | BOD5 (mg/L) | AN (mg/L) | TP (mg/L) | TN (mg/L) | pH | TUR (NTU) |
|---|---|---|---|---|---|---|---|
| 1 | 7.50 | 3.00 | 0.15 | 0.02 | 0.20 | 7.40 | 1.00 |
| 2 | 6.00 | 3.00 | 0.50 | 0.10 | 0.50 | 7.80 | 2.00 |
| 3 | 3.00 | 4.00 | 1.00 | 0.20 | 1.00 | 8.20 | 3.00 |
| 4 | 3.00 | 6.00 | 1.50 | 0.30 | 1.50 | 8.60 | 4.00 |
| 5 | 2.00 | 10.00 | 2.00 | 0.40 | 2.00 | 9.60 | 5.00 |
| Year | Area (ha) | Kappa | Overall Accuracy |
|---|---|---|---|
| 2000 | 63.907 | 0.907 | 0.990 |
| 2004 | 70.416 | 0.866 | 0.915 |
| 2008 | 79.693 | 0.822 | 0.893 |
| 2012 | 88.186 | 0.842 | 0.895 |
| 2016 | 95.580 | 0.778 | 0.853 |
| 2020 | 106.848 | 0.939 | 0.961 |
| Time | Season | AN ± SD (mg/L) | BOD5 ± SD (mg/L) | DO ± SD (mg/L) | pH ± SD | TN ± SD (mg/L) | TP ± SD (mg/L) | TUR ± SD (NTU) | WQI ± SD |
|---|---|---|---|---|---|---|---|---|---|
| 2000–2004 | Flat | 2.52 ± 1.39 | 2.21 ± 0.91 | 4.39 ± 1.15 | 7.66 ± 0.23 | 3.91 ± 1.53 | 0.41 ± 0.13 | 44.59 ± 49.77 | 33.85 ± 6.35 |
| High | 3.76 ± 1.14 | 3.28 ± 1.81 | 4.64 ± 1.37 | 7.73 ± 0.41 | 5.15 ± 1.13 | 0.54 ± 0.12 | 39.40 ± 35.65 | 28.02 ± 6.18 | |
| Low | 2.63 ± 1.62 | 3.60 ± 2.76 | 4.00 ± 1.40 | 7.60 ± 0.36 | 4.25 ± 1.91 | 0.41 ± 0.18 | 50.05 ± 45.24 | 31.61 ± 11.35 | |
| 2005–2008 | Flat | 2.29 ± 0.96 | 2.25 ± 1.39 | 5.36 ± 2.18 | 7.46 ± 0.39 | 3.67 ± 0.74 | 0.38 ± 0.13 | 24.79 ± 8.91 | 36.28 ± 10.52 |
| High | 3.02 ± 1.10 | 3.74 ± 2.02 | 5.38 ± 2.13 | 7.51 ± 0.46 | 4.61 ± 1.33 | 0.44 ± 0.12 | 31.58 ± 10.62 | 29.48 ± 9.05 | |
| Low | 3.12 ± 1.21 | 3.07 ± 1.28 | 4.71 ± 2.17 | 7.42 ± 0.49 | 4.73 ± 1.36 | 0.48 ± 0.17 | 32.34 ± 22.58 | 30.34 ± 6.09 | |
| 2009–2012 | Flat | 1.58 ± 1.04 | 1.95 ± 0.77 | 5.83 ± 0.63 | 7.44 ± 0.17 | 3.19 ± 0.78 | 0.29 ± 0.09 | 22.29 ± 17.31 | 42.08 ± 10.83 |
| High | 2.33 ± 1.17 | 3.39 ± 2.91 | 6.31 ± 2.85 | 7.47 ± 0.32 | 3.87 ± 1.19 | 0.32 ± 0.10 | 31.22 ± 26.55 | 37.52 ± 11.63 | |
| Low | 1.92 ± 1.43 | 3.19 ± 4.34 | 4.62 ± 0.93 | 7.41 ± 0.19 | 3.52 ± 1.81 | 0.31 ± 0.10 | 22.86 ± 9.81 | 38.39 ± 10.48 | |
| 2013–2016 | Flat | 0.97 ± 0.43 | 1.81 ± 0.74 | 5.04 ± 1.13 | 7.45 ± 0.32 | 2.78 ± 0.67 | 0.27 ± 0.10 | 21.59 ± 12.87 | 44.00 ± 5.53 |
| High | 1.31 ± 1.28 | 3.32 ± 2.39 | 5.57 ± 2.61 | 7.45 ± 0.26 | 3.22 ± 1.64 | 0.24 ± 0.08 | 25.94 ± 18.85 | 43.52 ± 9.59 | |
| Low | 1.64 ± 0.99 | 2.89 ± 2.23 | 4.22 ± 1.26 | 7.41 ± 0.25 | 3.68 ± 1.32 | 0.37 ± 0.15 | 26.95 ± 19.23 | 37.52 ± 8.23 | |
| 2017–2020 | Flat | 0.30 ± 0.25 | 1.90 ± 1.63 | 6.53 ± 1.27 | 7.69 ± 0.25 | 1.95 ± 0.58 | 0.19 ± 0.05 | 20.96 ± 10.29 | 56.73 ± 7.98 |
| High | 0.63 ± 0.68 | 2.46 ± 1.32 | 5.8 ± 0.86 | 7.44 ± 0.27 | 2.68 ± 0.88 | 0.23 ± 0.09 | 25.75 ± 11.93 | 48.01 ± 9.00 | |
| Low | 0.71 ± 0.53 | 2.08 ± 0.89 | 4.87 ± 1.15 | 7.40 ± 0.31 | 2.56 ± 0.71 | 0.25 ± 0.08 | 25.45 ± 13.07 | 47.58 ± 7.10 |
| Water Quality Factors | Chisq | Df | p-Value | CFI | RMSEA |
|---|---|---|---|---|---|
| AN | 1.025 | 3.000 | 0.795 | 1.000 | 0.000 |
| BOD5 | 0.076 | 2.000 | 0.963 | 1.000 | 0.000 |
| DO | 0.080 | 2.000 | 0.961 | 1.000 | 0.000 |
| pH | 0.321 | 2.000 | 0.852 | 1.000 | 0.000 |
| TN | 0.542 | 2.000 | 0.763 | 1.000 | 0.000 |
| TP | 0.525 | 2.000 | 0.769 | 1.000 | 0.000 |
| TUR | 0.117 | 2.000 | 0.943 | 1.000 | 0.000 |
Disclaimer/Publisher’s Note: The statements, opinions and data contained in all publications are solely those of the individual author(s) and contributor(s) and not of MDPI and/or the editor(s). MDPI and/or the editor(s) disclaim responsibility for any injury to people or property resulting from any ideas, methods, instructions or products referred to in the content. |
© 2024 by the authors. Licensee MDPI, Basel, Switzerland. This article is an open access article distributed under the terms and conditions of the Creative Commons Attribution (CC BY) license (https://creativecommons.org/licenses/by/4.0/).
Share and Cite
Luo, J.; Huang, Q.; Zhang, H.; Xu, Y.; Zu, X.; Song, B. Impact of Conservation in the Futian Mangrove National Nature Reserve on Water Quality in the Last Twenty Years. Forests 2024, 15, 1246. https://doi.org/10.3390/f15071246
Luo J, Huang Q, Zhang H, Xu Y, Zu X, Song B. Impact of Conservation in the Futian Mangrove National Nature Reserve on Water Quality in the Last Twenty Years. Forests. 2024; 15(7):1246. https://doi.org/10.3390/f15071246
Chicago/Turabian StyleLuo, Jin, Qiming Huang, Hongsheng Zhang, Yanhua Xu, Xiaofang Zu, and Bin Song. 2024. "Impact of Conservation in the Futian Mangrove National Nature Reserve on Water Quality in the Last Twenty Years" Forests 15, no. 7: 1246. https://doi.org/10.3390/f15071246
APA StyleLuo, J., Huang, Q., Zhang, H., Xu, Y., Zu, X., & Song, B. (2024). Impact of Conservation in the Futian Mangrove National Nature Reserve on Water Quality in the Last Twenty Years. Forests, 15(7), 1246. https://doi.org/10.3390/f15071246

