Next Article in Journal
Optimizing Low-Efficiency Robinia pseudoacacia Forests on the Loess Plateau Based on an Evaluation of the Ecological Functions of Soil and Water Conservation
Previous Article in Journal
Optimization of the Stand Structure in Secondary Forests of Pinus yunnanensis Based on Deep Reinforcement Learning
 
 
Font Type:
Arial Georgia Verdana
Font Size:
Aa Aa Aa
Line Spacing:
Column Width:
Background:
Article

Effects of Downed Log Decomposition on Soil Properties and Enzyme Activities in Southwest China

1
Yunnan Key Laboratory of Plateau Wetland Conservation, Restoration and Ecological Services, Kunming 650233, China
2
College of Ecology and Environment (College of Wetlands), Southwest Forestry University, Kunming 650233, China
3
Dianchi Lake Ecosystem Observation and Research Station of Yunnan Province, Kunming 650228, China
4
College of Water and Soil Conservation, Southwest Forestry University, Kunming 650233, China
5
Ailaoshan Station of Subtropical Forest Ecosystem Studies, Jingdong 676200, China
*
Author to whom correspondence should be addressed.
Forests 2024, 15(12), 2182; https://doi.org/10.3390/f15122182
Submission received: 23 October 2024 / Revised: 30 November 2024 / Accepted: 7 December 2024 / Published: 11 December 2024
(This article belongs to the Section Forest Soil)

Abstract

Downed logs play crucial roles in carbon and nutrient cycling within forest ecosystems, influencing soil nutrients and revealing their functional roles in these environments. This study focuses on an evergreen broadleaf forest at Ailaoshan Station for Subtropical Forest Ecosystem Studies, Yunnan, and specifically examines three dominant tree species whose logs are heavily decayed: Lithocarpus xylocarpus (L. xylocarpus), Lithocarpus hancei (L. hancei), and Castanopsis wattii (C. wattii). Soil samples were collected from three depths (0–10 cm, 10–20 cm, and 20–30 cm) beneath the downed logs and from control plots without downed logs. The physicochemical properties and enzyme activities of these soils were analyzed to explore the effects of downed log decomposition on the soil properties. The results revealed several key findings: (1) Downed logs significantly increased the soil organic carbon (SOC) and total nitrogen (TN) content in the surface soil (0–10 cm), with the SOC and TN contents under L. xylocarpus logs being 368.20% and 65.32% higher than those in the CK plots, respectively, substantially increasing soil nutrient accumulation. (2) Downed log decomposition significantly increased the soil enzyme activities, with the highest activities observed in the surface soil (0–10 cm) under L. xylocarpus. In deeper soil layers (20–30 cm), L. xylocarpus and C. wattii still presented higher enzyme activities than those in the CK plots did (p < 0.05). (3) The SOC, TN, and C/N were significantly positively correlated (r > 0.95 and p < 0.01), whereas the correlations were weak or nonexistent in the CK plots. The release of organic acids from downed logs enhanced the microbial activity, significantly reducing the soil pH (p < 0.05). (4) Different tree species exhibited distinct effects during downlog decomposition, with L. xylocarpus showing the most significant improvements in the SOC, TN, and enzyme activities, followed by C. wattii, whereas L. hancei limited carbon accumulation due to faster nitrogen release, resulting in a relatively lower C/N. Overall, this study demonstrated that the interaction between downed log decomposition and soil enzyme activity plays a key role in improving soil fertility and promoting nutrient cycling. This research provides evidence for understanding the impact of downed logs on forest soil ecological functions and microbial functional activity and their role, thereby contributing valuable insights into carbon cycling in subtropical forest ecosystems.

1. Introduction

Soil serves as the foundation for tree growth in forest ecosystems, providing essential growth factors such as water, nutrients, air, and heat. The nutrient reserves in forest soil primarily depend on the substantial input of plant residues, which release nutrients into the soil through the decomposition process. Forest plants return nutrients from plant residues back to the soil via the soil–plant–soil cycle, increasing the soil nutrient content and playing a vital role in nutrient cycling [1].
Downed logs refer to intact woody material that has naturally died or resulted from human disturbances, lying on the forest floor in various stages of decomposition, with a diameter (typically measured at the thicker end) ≥10 cm, a length ≥1 m, and a tilt angle exceeding 45° [2]. CWD accounts for approximately 14% of the forest vegetation carbon stock and 61% of the plant residue carbon stock [3]. It is a critical structural and functional component of forest ecosystems, an important carbon and nutrient reservoir, and a key medium and link influencing soil development, as well as the interface between vegetation and soil ecosystems. CWD plays a significant role in energy flow, material cycling, and maintaining the integrity and stability of forest ecosystems. Against the backdrop of global climate warming, CWD has garnered significant attention as an essential part of the global carbon cycle [3,4].
The decomposition of downed logs is a key ecological process that transforms plant inputs into stable soil organic carbon (SOC). Through decay and leaching, various substances are added to the soil, altering its composition. Moreover, the increase in soil organic matter changes soil enzyme activities, indirectly affecting soil composition [5]. This process influences soil carbon storage, nutrient availability, net primary productivity, and the sensitivity of ecosystems to global changes [6,7]. Although the carbon stored in downed logs accounts for only 3%–6% of the total carbon pool in the topsoil layer (0–3 m), it is more susceptible to external disturbances and releases carbon more readily, making it more dynamic than the belowground soil carbon pool [7,8,9]. Studies have shown that nutrient release patterns during the decomposition of downed logs vary among tree species, leading to differences in nutrient contents in adjacent soils. For example, the soil nitrogen and phosphorus levels beneath Fagus orientalis Lipsky are significantly greater than those beneath Carpinus betulus Lucas [10]. Soil carbon, nitrogen, phosphorus, and their stoichiometric ratios are effective indicators of soil organic matter quality, and the decomposition of downed logs has a significant effect on these metrics [11]. As a result, the decomposition of downed logs is a crucial ecological process in forest ecosystems; it promotes the formation of organic matter in forest soils, regulates nutrient levels, and is essential for maintaining the stability and development of these ecosystems [12]. Research on downed logs spans several climatic zones and involves different types of forest ecosystems. It addresses several aspects, such as downed log reserves [13,14], distribution patterns [15], decomposition processes [16,17], and its role in soil and water conservation [18]. More detailed studies have also examined the mechanisms of downed log decomposition [19,20,21], including its range of influence and associated environmental factors [10,22,23]. These studies provide important scientific evidence for understanding the material cycling processes in forest ecosystems and the mechanisms underlying the stable maintenance of biodiversity.
The study site is one of the largest subtropical evergreen broadleaf forests in Southwest China, covering an area of 504 km2. It also hosts the largest region of primary montane humid evergreen broad-leaved forests in the country. Domestic scholars have focused primarily on the species composition and storage characteristics of downed logs. For example, Yang [24] analyzed log composition, carbon storage characteristics, and sources within these mountainous wet evergreen broadleaf forests, as well as three main types of secondary succession. This study also estimated the decomposition rates and carbon release rates of dominant tree species. However, the effects of downed log decomposition on soil physicochemical properties and enzyme activities in these forests have not been reported.
Our study focuses on the soil beneath heavily decomposed downed logs from three dominant tree species—L. xylocarpus, L. hancei, and C. wattii—as well as soil from a control site without downed logs. Here, we aim to investigate the basic physicochemical properties of the soil under heavily decayed downed logs and compare it to the control site. By analyzing these properties, we seek to understand how downed log decomposition affects soil and its ecological impacts on nutrient cycling in forest soils. This research aims to clarify the role of downed logs in maintaining soil health, enhancing soil fertility, and promoting the stability of forest ecosystems. It provides fundamental data to support improved forest nutrient management and soil quality optimization.

2. Materials and Methods

2.1. Study Site

This study was conducted in an evergreen broadleaf forest at Ailaoshan Station for Subtropical Forest Ecosystem Studies, which is located in Ailao Mountain, Jingdong County, Yunnan Province, SW China (24°32′ N, 101°01′ E, and elevation 2480 m), covering an area of 34,483 hectares, which belongs to the native forest area and has little anthropogenic interference. The sampling plots are located in the Southwest Monsoon Climate Zone, which is characterized by a subtropical mountain climate. The annual average temperature is 11.0 °C, with July being the hottest month with an average temperature of 15.3 °C and January being the coldest month with an average temperature of 5.0 °C. The frost periods can last up to 190 days. The annual precipitation averages 1931.1 mm, with distinct dry and wet seasons, while the average annual sunshine percentage is 28%. The climate features long winters (lasting five months) without summer, and the spring and autumn seasons merge for a total of seven months, resulting in a cool climate with a low-light environment. This study focuses on primary subtropical montane humid evergreen broad-leaved forests at elevations of 2200–2800 m. The dominant tree species belong primarily to the Fagaceae, Theaceae, Lauraceae, and Magnoliaceae families. The main dominant species in the canopy include L. xylocarpus, L. hancei, C. wattii (Fagaceae), Schima noronhae, Hartia sinensis, Camellia hsinpeiensis (Theaceae), Machilus viridis, Litsea elongata, and Manglietia insignis and Michelia floribunda (Magnoliaceae).

2.2. Investigation

The downed logs in the study area were classified into three different grades according to the criteria developed by Sollins et al. [25] and the actual sampling situation (Table S1). The sample plot (1 ha) was selected for the survey; the fallen trees of L. xylocarpus, L. hancei, and C. wattii in the heavy decay class were numbered; the soil underneath 9 fallen trees was collected; and a total of 27 soil samples were collected (3 species × 3 replicates × 3 soil levels) (Figure 1). A control plot without fallen trees, measuring 2 m in diameter, was also selected, resulting in six control soil samples. Before sampling, the soil surface was cleared of impurities, such as dead plant material and animal residues. Soil samples were then collected at three depths, 0–10 cm (first layer), 10–20 cm (second layer), and 20–30 cm (third layer), for physicochemical analyses. All the samples were hand-picked to remove coarse roots and stones and then passed through a 2 mm sieve to remove roots and other debris. The collected soil samples were divided into two subsamples: one subsample was air-dried for the physicochemical property analysis, while the other subsample was stored at 4 °C and sent to the laboratory for a soil enzyme activity assessment.

2.3. Soil Nutrient Content Measurement

2.3.1. Total Nitrogen and Phosphorus Contents (TN and TP)

Concentrated sulfuric acid (H2SO4) and hydrogen peroxide (H2O2) were used for high-temperature decoction. The total nitrogen and phosphorus contents was then determined via a continuous flow analyzer (SEAL Analytical AA3, Norderstedt, Germany) and calculated via the following equation:
N , P ( m g / g ) = C × V m
where C is the concentration of the analyte as read on the continuous flow analyzer, measured in mg/L; V represents the volume of the liquid sample being measured, in L; and m is the mass of the dried sample, measured in g.

2.3.2. Organic Carbon Content of the Soil (SOC)

To determine the organic carbon content of the soil, a potassium dichromate titration method was used. First, 0.100 g of fine soil (0.1 mm) was weighed into a test tube. Then, 5 mL of potassium dichromate, 5 mL of sulfuric acid, and zeolite were added to the test tube. The mixture was heated in an oil bath at 175–185 °C for 5 min. After boiling, the mixture was transferred to a conical flask, and 2 to 3 drops of an indicator (o-phthalocyanine) were added. Titration was performed using ferrous sulfate, with each sample consuming approximately 20 mL. The organic carbon content was then calculated via the following equation:
W c , o = 0.800   ×   5.0 V 0 × V 0 V × 0.003 × 1.1 M 1 × K 2 × 1000
where 8000 represents the concentration of potassium dichromate standard solution, in g/kg; 5.0 represents the volume of potassium dichromate standard solution, measured in mL; V0 represents the volume of desulfurized ferrous solution for blank calibration, measured in mL; V represents the volume of desulfurized ferrous solution for titration of the soil sample, measured in mL; 0.003 represents the molar mass of 1/4 carbon atom, in g/mmol; 1.1 represents the oxidation correction factor; M1 represents the mass of the air-dried soil sample, measured in g; and K2 represents the moisture conversion factor for converting air-dried soil to dry weight.

2.4. Soil Enzyme Activity Measurement

The soil enzymes studied in this study included oxidases such as CAT-peroxidase, and POX-polyphenol oxidase, as well as hydrolases, such as CB-cellobiose hydrolase, AG-α-glucose shikimate, BG-β-glucosidase, XS-β-xylosidase, glycosidase, and XS-β-xylose shikimate lyase. The soil enzyme activities were determined via the method described by DeForest [26].

2.4.1. Measurement of Soil Oxidase Activity

After the soil samples were reacted with L-DOPA as the substrate, the absorbance at 460 nm was measured via a multifunctional full-wavelength microplate reader, and the soil oxidase activity was subsequently calculated. The calculations were performed via the following equation:
A c t i v i t y = F i n a l   A B S × B u f f e r   v o l k × H o m e g e n a t e   v o l × T i m e × Soil m a s s
F i n a l   A B S = A B S   o f   a s s a y A B S   o f   n e g a t i v e   c o n t r o l A B S   o f   s a m p l e   c o n t r o l
where Activity is the measured enzyme activity (μmol h−1 g−1); ABS is the absorbance value at 460 nm; Buffer vol is the total volume of the soil suspension; k is the molar extinction coefficient (7.9 µmol−1); Homogenate vol is the volume of the soil suspension added to the plate; Time represents the incubation time (h); Soil mass is the fresh weight of the soil (g); ABS of the assay is the absorbance value of the sample wells; ABS of the negative control is the ABS of the negative reference wells; and ABS of the sample control is the absorbance value of the control wells.

2.4.2. Measurement of Soil Hydrolase Activity

The hydrolase activity was determined via a 96-well microplate fluorescence method, based on the calibration curve, soil dry weight, and incubation time. The calculations were performed via the following equation:
A c t i v i t y = Net   fluor .   ×   Buffer   vol ε × Homogenate   vol × Time × Soil   mass
Net   fluor . = Sample   assay Soil   control Quench   coefficient Neg .   control
ε = Reference   standard M
Quench   coef . = ( Quench   standard Soil   control ) Reference   standard
where Activity represents the soil enzyme activity (nmol h−1 g−1), Net fluor. refers to the net fluorescence value, and the Buffer vol indicates the total volume of the soil suspension. ε denotes the slope of the standard curve-emission coefficient (fluor.nmol−1). The Homogenate vol is the volume of soil suspension added to the enzyme plate, and Time refers to the incubation period (h). The Soil mass is the fresh weight of the soil (g), Sample assay denotes the fluorescence value of the sample wells, and the Soil control represents the fluorescence value of the control wells. Quench coefficient is the quenching coefficient, Neg. control indicates the fluorescence value of the negative reference wells, and the Reference standard refers to the fluorescence value of the reference standard wells. M represents the molar number of the standard (nmol), Quench standard vol. indicates the volume of quenching standard in moles.

2.5. Data Processing

Two-way analysis of variance (ANOVA) was used to analyze the significance of the differences in the basic soil physicochemical properties and soil enzyme activities and, in particular, the effects of the interaction of fallen tree species and soil depth. The Partial Eta Squared was used to express the differences caused by factors such as tree species, soil depth, or the combined effects of the two and to measure the magnitude of the treatment effects [27]. The significance of the differences between different tree species was assessed via one-way analysis of variance (ANOVA) followed by Duncan’s multiple range test. Additionally, one-way ANOVA and Duncan’s multiple range test were used to analyze the differences in basic soil physical and chemical properties and soil enzyme activities across various tree species and soil depths under downed logs [28]. Pearson’s correlation analysis was used to determine the relationships between basic soil physical and chemical properties and soil enzyme activities in both the downed logs and the control sites. Principal Component Analysis (PCA) was used to explore the relationships among the test characteristics and to group the samples on the basis of enzyme activity and basic chemical properties. The PCA confirmed the uniqueness of soils enhanced by downed logs in improving soil health. The data were analyzed by SPSS 24.0 software.

3. Results

3.1. Significance and Effect Sizes of Downed Log Species, Soil Depth, and Their Interactions on Soil Physicochemical Properties and Enzyme Activities

The effects of tree species, soil depth, and their interaction on soil physicochemical properties and enzyme activities significantly differed. This study revealed distinct variations among tree species, with Lithocarpus xylocarpus (L. xylocarpus) and Castanopsis wattii (C. wattii) exhibiting significantly greater SOC and TN contents than did Lithocarpus hancei (L. hancei) and the control (CK). Different tree species had highly significant impacts on the soil organic carbon (SOC), the total nitrogen (TN), the total phosphorus (TP), the carbon-to-nitrogen ratio (C/N), the carbon-to-phosphorus ratio (C/P), and the nitrogen-to-phosphorus ratio (N/P) (p < 0.01). Significant differences were also observed in the enzyme activity indicators, such as polyphenol oxidase (POX), β-glucosidase (BG), and β-xylosidase (XS) (p < 0.05) (Table 1 and Table S4).
The SOC, TN, TP, C/N, C/P, and N/P ratios under the downed logs at the different soil depths exhibited highly significantly differed (p < 0.01). This study revealed that all the tree species demonstrated the highest enzyme activity in the surface soil (0–10 cm), while the differences gradually diminished in the deeper soil layers. The interaction between tree species and soil depth had a significant effect on the SOC (p < 0.01) and C/P (p < 0.05), whereas the other indicators did not reach significant levels (p > 0.05) (Table 1 and Table S3).
The estimated F-values indicate that among the two single factors, tree species had a greater significant effect on the SOC (43.608), C/N (38.467), C/P (30.93), N/P (22.429), POX (5.254), BG (5.263), and XS (4.459). In contrast, soil depth had a greater impact on the TN (30.263) and TP (12.348). The significant effects of the interaction between tree species and soil depth were smaller than those of the individual factors (Table 1).

3.2. Effects of Downed Log Decomposition on Soil Physicochemical Properties and Enzyme Activities

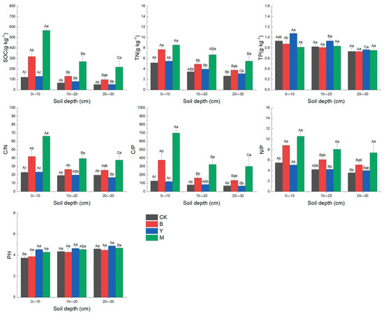
The results revealed that downed logs from different tree species and soil depths had significant effects on the soil carbon, nitrogen, and phosphorus dynamics and pH. L. xylocarpus coverage significantly increased the soil total organic carbon (SOC) and total nitrogen (TN) contents, particularly in the surface soil layer (0–10 cm), where the SOC and TN contents reached 568.26 ± 34.11 g/kg and 8.58 ± 0.74 g/kg, respectively. These values were 368.20% and 65.32% greater than those in the control plots without downed logs (CK) and significantly greater than those of C. wattii (p < 0.05) and L. hancei (p < 0.05). The soil C/N and C/P ratios exhibited similar trends, with the highest values occurring in the 0–10 cm soil layer under L. xylocarpus, indicating that its decomposition contributed the most to carbon accumulation. As the soil depth increased, the SOC, TN, C/N, and C/P ratios significantly decreased, whereas the N/P ratios exhibited minimal changes. However, in the 0–10 cm soil layer, the N/P ratio under L. xylocarpus remained significantly greater than that in the other plots (p < 0.05). Changes in the total phosphorus (TP) and pH were relatively stable, with the TP showing little variation across tree species and soil depths. The soil pH slightly decreased in the surface layer, with the L. xylocarpus plots exhibiting slightly lower pH values than those of the C. wattii and L. hancei plots (Figure 2).

3.3. Effects of Downed Log Decomposition on Soil Enzyme Activity

In terms of enzyme activity, the results revealed that logging from different tree species and soil depths had significant effects on soil enzyme activity (p < 0.05). The variation in oxidase activity among tree species and between downed logs and control plots (CK) was smaller than that in hydrolase activity. In the surface soil (0–10 cm), the enzyme activity in L. xylocarpus soils was generally the highest, particularly for POX and CB activities, which were significantly greater than those in soils under other tree species (p < 0.05), whereas the control plots (CK) presented the lowest activity. The soils under L. hancei presented the lowest enzyme activity among all the tree species and were close to the levels observed in the CK soils. As the soil depth increased, the enzyme activity decreased across all the plots. However, the soils under L. xylocarpus maintained relatively high enzyme activity at all depths, especially the POX and CB activities at 10–20 cm, which remained significantly greater than those in the CK soils (p < 0.05). Other enzyme activities (e.g., CAT and XS) differed less among the tree species, but the soils under the downed logs consistently presented greater activity than did the CK plots. These findings indicate that the decomposition of downed logs plays a positive role in increasing soil enzyme activity (Figure 3).
Figure 4 illustrates the significant effects of downed log type and soil horizon on soil physicochemical properties and enzyme activities, as revealed through the PCA. The first principal component (DIM1) accounted for 48.8% of the variance, whereas the second principal component (DIM2) explained 15.2%. Together, these components effectively capture the variance characteristics of the data. The results revealed that the decomposition of downed logs affects important physicochemical indicators, such as organic carbon (SOC) and total nitrogen (TN), as well as the activities of many enzymes in the soil. Chemical properties such as the SOC, TN, TP, C/N ratio, C/P ratio, and N/P ratio and indicators of soil enzymes (CAT, POX, CB, AG, BG, and XS) were distributed in different directions, and soil enzymes such as CAT, POX, and CB had relatively high loading values in the first axis in the positive direction, which indicated that these enzymes had relatively high activities in the surface soil (0–10 cm). The loading values of the SOC and TN decreased with increasing soil depth (10–20 cm and 20–30 cm), indicating that soil depth had a negative effect on these factors. The sample points at different soil depths (0–10 cm, 10–20 cm, and 20–30 cm) were more dispersed in the graph, indicating that the effect of the soil level on the samples was significant. The samples from 0–10 cm were concentrated in the positive direction of the first axis, whereas the samples from 20–30 cm were mostly distributed in the negative direction of the first axis, which reflected the effects of the soil depth on the soil physicochemical properties and enzyme activities.
The distributions of the different tree species also clearly differed, indicating that there were significant differences in the chemical properties and enzyme activities of the soil under the lower logs of the different tree species. For example, the loading values of SOC, TN, CAT, POX, AG, and BG were different among the soils of different tree species, indicating that these chemical properties and enzymes were more different. The samples of C. wattii (B) and L. hancei (Y) presented high loading values for the SOC, TN, and enzyme activity indices (e.g., CAT and AG), whereas the control sample plot (CK) presented relatively low SOC and enzyme activity indices. The sample points in the CK plot were in the negative direction of the first axis near the areas with lower loading values for SOC and TN, indicating that the CK plot presented lower values for these factors. On the other hand, the samples of C. wattii (B), compared with those in the CK plots, and the L. hancei (Y) and L. xylocarpus (M) plots were distributed in the positive direction of the first axis, indicating that the sample plots of these tree species had greater effects on the soil organic carbon, nitrogen contents, and enzyme activity.

3.4. Correlation Between Soil Physicochemical Properties and Enzyme Activities Under Downed Logs and Control Plots

The correlation analysis results revealed significant relationships between soil physicochemical properties and enzyme activities (p < 0.05), highlighting the critical role of decreased log decomposition in regulating carbon, nitrogen, and phosphorus cycling and enzyme activities. There were significant positive correlations between the SOC, TN, C/N ratio, C/P, and N/P in soils under downed logs (r > 0.95 and p < 0.01), suggesting a close link between SOC accumulation and the increases in the C/N and C/P ratios. SOC was also significantly positively correlated with several enzyme activities, including POX, BG, and XS (r = 0.67, 0.42, and 0.68, respectively; p < 0.05 or p < 0.01), reflecting the role of SOC in promoting carbon transformation-related enzyme activities. The soil pH was negatively correlated with TN (r = −0.34 and p < 0.05), likely due to the organic acids released during log decomposition causing soil acidification, which in turn regulated enzyme activity. BG and XS activities exhibited a strong positive correlation (r = 0.65 and p < 0.01), suggesting their synergistic role in carbohydrate transformation processes. No correlations were detected between any of the soil indices under the downed logs and TP, CB, or AG (Figure 5).
In the CK plots, soil pH was highly significantly negatively correlated with SOC, TN, N/P, and C/P (r = −0.99, −0.27, −0.75, and −0.75, respectively; p < 0.01), and it was significantly negatively correlated with POX activity (r = −0.82 and p < 0.01). SOC exhibited highly significant positive correlations with TN, the C/P ratio, and the N/P ratio (r = 0.93, 0.97, and 0.97, respectively; p < 0.01) and was also positively correlated with POX activity (r = 0.86 and p < 0.01), indicating that SOC accumulation might increase oxidase activity. SOC was significantly negatively correlated with pH (r = −0.99 and p < 0.01). Among the soil enzyme activities, only POX was significantly correlated with the soil physicochemical properties, with strong synergies with SOC, TN, and N/P (r = 0.86, 0.97, and 0.93, respectively; p < 0.01). No significant correlations were found between other soil enzymes (Figure 6).

4. Discussion

4.1. Effects of Downed Logs on Soil Physicochemical Properties

This study revealed that downed log decomposition significantly affects soil physicochemical properties, especially in the surface layer (0–10 cm), where the SOC content was significantly greater than that in the control plots without downed logs (CK), which is consistent with the findings of Wall et al. and Seongjun et al. [29,30,31]. Additionally, there were significant differences among tree species. The basic soil physicochemical properties in L. xylocarpus downed logs were generally greater than those in C. wattii, L. hancei, and the CK plots, suggesting the suitability of L. xylocarpus for long-term carbon sequestration. This might be due to the higher carbon content, lower density, and higher moisture content of L. xylocarpus than those of the other two species [32,33]. This indicates that its decomposition releases substantial organic matter, increasing soil organic carbon accumulation [34]. Compared with L. xylocarpus, C. wattii logs also promoted SOC and TN but to a lesser extent, suggesting a balanced carbon-nitrogen input effect that helps regulate soil nutrient dynamics. In contrast, L. hancei logs presented SOC and TN levels similar to the CK, indicating a smaller contribution to soil carbon and nitrogen inputs, with higher nitrogen release efficiency benefiting short-term nutrient supply.
The TP content in the soils below L. hancei logs at different depths was greater than that in the L. xylocarpus, C. wattii, and CK soils, but it was significantly different only in the 0–10 cm layer (p < 0.05). The differences in TP contents between the soils under downed logs and the CK were minor, possibly because the relationship between the TP contents in the downed logs and the soil TP content is not simply one of release and uptake. The proximal effects of log decomposition enhance microbial activity and soil enzyme activity, indirectly increasing soil TP content under downed logs, although the increase is limited [35]. Moreover, other studies also suggest that phosphorus is relatively stable and resistant to leaching, and that content does not change significantly during leaching processes, which reduces the effect of downed logs on the soil phosphorus content.
As the soil depth increased, the soil physicochemical properties in both the downed log plot and CK plot generally tended to decrease, which is consistent with previous studies [5,23]. The significant differences in the soil properties across the soil layers were attributed to the decreasing SOC and TN content with depth, whereas the TP content did not significantly change [36]. Organic matter from soil fauna and flora, microbial residues, and plant root exudates are the primary sources of soil organic carbon. Decomposed material from downed logs accumulated in the surface soil provides abundant organic matter, but the nutrient content decreases with depth, limiting the survival of soil microbes and fauna. This leads to reduced sources of soil organic matter and decreased biological nitrogen fixation, resulting in gradually declining SOC and TN contents [37]. The soil TP content is influenced by various factors, including parent material, climate, biological activity, and geochemical processes in the soil. In this study, L. xylocarpus depleted logs significantly increased the surface soil TP content, with significant reductions in the TP content as the soil depth increased, which is consistent with the findings of Moghimian [10].
The effects of downlog decomposition on the C/P, N/P, and C/N varied by tree species. L. xylocarpus and C. wattii significantly increased the ecological stoichiometric ratios in the surface soils, likely because the later stages of decomposition release more recalcitrant organic materials (e.g., lignin) that are carbon-rich and nitrogen-poor. Within certain soil layers, this can increase the C/N, particularly in surface soils. Conversely, the C/N under the L. hancei logs was lower than that under the CK logs at all soil depths and decreased with depth. Insufficient nitrogen availability for microbial reproduction may slow soil organic matter mineralization and decomposition, resulting in a C/N exceeding 30:1 [38]. Alternatively, the downed logs may have been in an advanced stage of decomposition with slower decomposition rates and higher organic carbon content [39].
Soil pH is an important factor influencing nutrient availability, but the effects of downed logs on soil pH are not significant. In surface soils (0–10 cm), only L. xylocarpus presented a slight pH decrease (approximately 5.2), likely due to the release of organic acids during decomposition.

4.2. Effects of Downed Logs on Soil Enzyme Activities

The decomposition of heavily decayed logs provides a continuous source of energy and carbon for soil microorganisms, breaking down complex carbon compounds into simpler forms that can be utilized by plants and microbes. This process significantly enhances the activities of catalase (CAT), polyphenol oxidase (POX), and cellobiohydrolase (CB), which play vital roles in promoting organic matter decomposition and soil nutrient cycling, thereby improving soil fertility and microbial activity [40,41,42]. The results indicate that downed logs from different tree species play varying roles in soil nutrient cycling, with L. xylocarpus showing the most significant impact on the soil carbon and nitrogen cycles, whereas L. hancei may impose certain limitations on the utilization of carbon sources by soil microorganisms.
Compared with those in the CK plots, the soil enzyme activities in the L. xylocarpus plots were consistently greater than those in the C. wattii, L. hancei, and CK plots; the enzyme activity under the C. wattii plots was also greater than that in the CK plots. In contrast, the soils below the L. hancei logs presented the lowest enzyme activities across the different soil depths, except for the XS activity in the 0–10 cm layer, which was similar to that in the CK. This is likely due to the limited organic input from decayed L. hancei, where microorganisms adjust their extracellular enzyme activities to obtain the carbon and nitrogen necessary for growth. Under nutrient limitations, microorganisms may secrete more extracellular enzymes into the soil to facilitate carbon mineralization [43]. In comparison, C. wattii and L. xylocarpus input large amounts of organic matter into the soil, prompting microbes to produce more hydrolases to break down the organic material. However, the prolonged decomposition of L. hancei results in limited organic matter input, leading to lower hydrolase activities. CK soils, which lack organic matter input from downed logs, also exhibit low hydrolase activities. Furthermore, the decline in soil pH accompanies increased organic matter accumulation and enzyme activity.
As the soil depth increased, the enzyme activities in the CK and the soils in the three types of downed logs generally tended to decrease. Enzyme activities and physicochemical properties were most notably affected in the 0–10 cm surface soil, indicating that downed logs have a more significant impact on surface soil. This may be due to the direct contact between downed logs and surface soil, higher microbial activity, and faster nutrient cycling. L. xylocarpus downed logs most significantly promoted the activities of multiple enzymes (e.g., POX and CAT), which were markedly greater than those under C. wattii and L. hancei, suggesting that L. xylocarpus releases more organic matter during decomposition, stimulating microbial decomposition activity. With increasing soil depth, the SOC, total nitrogen (TN), total phosphorus (TP), and enzyme activities gradually decreased, indicating that the influence of downward logging diminished in deeper soil layers. The changes in enzyme activity in L. hancei were not significant, and the activities of most enzymes, particularly BG and XS, were comparable to or lower than those in the CK. This may be attributed to the faster nitrogen release during L. hancei decomposition, leading to a sufficient nitrogen supply for microbial communities, but limited carbon input, which suppresses certain enzyme activities. In contrast, the logs of C. wattii and L. xylocarpus maintained relatively high enzyme activities in deeper soils (20–30 cm), particularly for CB and AG hydrolases. This finding is consistent with the findings of Gartzia-Bengoetxea et al. [44], who reported that the activity of extracellular enzymes secreted by soil microbes decreases with increasing soil depth, leading to reduced soil carbon mineralization rates. Soil enzyme activities are also influenced to varying degrees by vegetation and soil physicochemical properties. Indicators such as the SOC, TN, TP, and others decrease with increasing soil depth, causing a corresponding decline in enzyme activity [30,45]. In this study, the soil hydrolase activity did not significantly differ with increasing soil depth. The correlation between the hydrolase activity and SOC, combined with the limited number of heavily decayed logs in the plots, resulted in a large standard deviation for the SOC, which also extended to hydrolase activity. Consequently, no significant differences in hydrolase activity were observed with increasing soil depth.

4.3. Discussion of the Correlation Analysis Between Downed Log Cover and CK

In this study, Pearson’s correlation analysis was used to compare the effects of three heavily decomposed downed logs and CK plots on soil physicochemical properties, enzyme activities, and nutrient cycling. The results revealed significant differences between them. The SOC, TN, C/N ratio, C/P, N/P, CAT, POX, XS, and BG in the soils under the downed logs at the different depths were significantly positively correlated (p < 0.01), indicating that the organic matter released during the downed log decomposition promoted microbial activity, which in turn increased the organic carbon accumulation. This finding aligns with previous research conclusions [5,42,46]. In contrast, the SOC content and enzyme activities in the CK soils were relatively low, suggesting that downed log coverage had a significant positive effect on soil carbon storage.
There was no significant correlation between the TN and TP in the soils under the downed logs, whereas the TN and TP in the CK soils were significantly correlated. This occurred because the TN and TP availability in the CK soils tended to balance and remain relatively stable. However, under downed logs, the TN content significantly increased due to the influence of log coverage, whereas the TP content remained low as phosphorus in downed logs is strongly immobilized, limiting its transfer to the soil [35].
The SOC and C/N in the soils presented a highly significant positive correlation, whereas those in the CK soils presented no such correlation. This is attributed to the higher C/N under the downed logs, where the organic carbon accumulation rate exceeded that of the TN, especially in the surface soil layer (0–10 cm). This phenomenon is related to the faster release of carbon than of nitrogen during log decomposition. Conversely, the CK soils presented a relatively low C/N ratio and no significant correlation. In the soils under the downed logs, the TP content was significantly negatively correlated with the N/P ratio, whereas in the CK soils, the TP content and N/P ratio were significantly positively correlated. This may be due to the significant positive correlation between the TN and TP in the CK soils, where the nitrogen increase rate exceeds that of phosphorus. Thus, even with an increase in total phosphorus, the N/P ratio increases because nitrogen increases more than phosphorus does.
The correlation between the soil enzyme activities and the basic physical and chemical properties of the soil under the downed logs was stronger than that between the soil enzyme activities and the basic physical and chemical properties of the soil in the CK plot. This is because at the same time the downed logs supplied large amounts of organic carbon and total nitrogen to the soil, whereas the soil microorganisms, soil fauna, and decomposed plant residues released large amounts of soil enzymes, increasing enzyme activity [47]. The enzyme activities in the lower log-covered areas were significantly positively correlated with the SOC and TN contents, indicating that log decomposition promoted the transformation of organic carbon and nitrogen, increasing the microbial degradation activities. Conversely, the enzyme activity in the CK soils was relatively low, with weaker correlations with SOC and TN, suggesting that the lack of inputs from downed logs and plant residues limits microbial activity and nutrient cycling.
The soil pH in downed log-covered areas was generally lower than that in the CK soils, which was related to the release of organic acids and other acidic substances during log decomposition. The correlation analysis revealed significant negative relationships between the soil pH and SOC, TN, and enzyme activities, particularly in the log-covered areas. These findings suggest that soil acidification may promote the activity of certain microbial communities, especially those adapted to acidic environments, thereby accelerating the mineralization and decomposition of carbon and nitrogen.

5. Conclusions

Our study systematically analyzed the soil physicochemical properties and enzyme activities of downed logs from three dominant tree species (L. xylocarpus, L. hancei, and C. wattii) and CK plots in the montane humid evergreen broad-leaved forests of the Ailao Mountains in Yunnan, Southwest China. This study explored the effects of downed log decomposition on forest soil nutrient contents and enzyme activities in detail. The results revealed that downed log decomposition significantly improved key soil physicochemical indicators, with the effects being particularly pronounced in the 0–10 cm soil layer beneath the logs.
Additionally, downed log coverage significantly enhanced soil enzyme activities, indicating that downed log decomposition provides organic matter and energy sources essential for microbial growth and metabolism. Downed logs play a significant role in promoting soil carbon and nitrogen accumulation, increasing the soil C/N ratio, and increasing enzyme activities. However, different tree species have varying ecological effects in this process. The soil under L. xylocarpus presented the highest physicochemical properties and enzyme activities, followed by those under C. wattii, whereas L. hancei had a relatively weaker effect but still performed better than did the CK without downed logs.
Nutrient release during the decomposition of downed logs is closely related to microbial activity. L. xylocarpus significantly increased the soil SOC and TN contents and promoted enzyme activity, indicating a strong regulatory effect on carbon and nitrogen cycling. In contrast, L. hancei, with faster nitrogen release, limited carbon accumulation and presented a lower C/N.
The correlation analysis of various indicators revealed that downed log decomposition not only influenced soil nutrient storage and distribution but also significantly enhanced microbial community activities. This, in turn, promoted organic matter decomposition and nutrient cycling, strengthening the interconnections and constraints between different soil properties.
Overall, downed logs play crucial roles in maintaining forest soil health, improving soil fertility, and promoting ecosystem stability. The presence of downed logs in forest ecosystems positively contributes to improving nutrient-poor soils, enhancing soil structure and functionality, and increasing the long-term sustainability of forest ecosystems.

Supplementary Materials

The following supporting information can be downloaded at https://www.mdpi.com/article/10.3390/f15122182/s1, Table S1: Basic information about 4 species of downed logs; Table S2: Standards for classifying decay grades of downed logs (DC1 to DC3); Table S3: Characterization of the enzymatic activity about downed logs; Table S4: Characterization of fallen wood decomposition on soil physicochemical properties.

Author Contributions

Investigation, Writing—original draft: T.L.; Investigation, Writing—review and editing: C.X., Z.L. and H.W.; Resources, Writing—review and editing: T.L. and H.W.; Supervision: H.G. All authors have read and agreed to the published version of the manuscript.

Funding

This work was supported by grants from the Yunnan Agricultural Infrastructure Joint Project (202301BD070001-094), National Natural Science Foundation of China (NSFC32460295), and Top-notch Young Talents (YNWR-QNBJ-2019-244). We also appreciate all of the authors for their valuable work.

Data Availability Statement

The raw data supporting the conclusions of this article will be made available by the authors on request.

Conflicts of Interest

The authors declare no conflicts of interest.

References

  1. Schlesinger, W.H. Biogeochemical Cycles. (Book Reviews: Biogeochemistry. An Analysis of Global Change.). Science 1991, 253, 686–687. [Google Scholar]
  2. Seibold, S.; Rammer, W.; Hothorn, T.; Seidl, R.; Ulyshen, M.D.; Lorz, J.; Cadotte, M.W.; Lindenmayer, D.B.; Adhikari, Y.P.; Aragon, R.; et al. The contribution of insects to global forest deadwood decomposition. Nature 2021, 597, 77–81. [Google Scholar] [CrossRef] [PubMed]
  3. Pan, Y.; Birdsey, R.A.; Fang, J.; Houghton, R.; Kauppi, P.E.; Kurz, W.A.; Phillips, O.L.; Shvidenko, A.; Lewis, S.L.; Canadell, J.G.; et al. A large and persistent carbon sink in the world’s forests. Science 2011, 333, 988–993. [Google Scholar] [CrossRef] [PubMed]
  4. Lassauce, A.; Paillet, Y.; Jactel, H.; Bouget, C. Deadwood as a surrogate for forest biodiversity: Meta-analysis of correlations between deadwood volume and species richness of saproxylic organisms. Ecol. Indic. 2011, 11, 1027–1039. [Google Scholar] [CrossRef]
  5. Błońska, E.; Ważny, R.; Górski, A.; Lasota, J. Decomposing benefits: Examining the impact of beech deadwood on soil properties and microbial diversity. Sci. Total Environ. 2024, 930, 172774. [Google Scholar] [CrossRef]
  6. Craig, M.E.; Geyer, K.M.; Beidler, K.V.; Brzostek, E.R.; Frey, S.D.; Stuart Grandy, A.; Liang, C.; Phillips, R.P. Fast-decaying plant litter enhances soil carbon in temperate forests but not through microbial physiological traits. Nat. Commun. 2022, 13, 1229. [Google Scholar] [CrossRef]
  7. Lyu, M.; Homyak, P.M.; Xie, J.; Peñuelas, J.; Ryan, M.G.; Xiong, X.; Sardans, J.; Lin, W.; Wang, M.; Chen, G.; et al. Litter quality controls tradeoffs in soil carbon decomposition and replenishment in a subtropical forest. J. Ecol. 2023, 111, 2181–2193. [Google Scholar] [CrossRef]
  8. Stutz, K.P.; Dann, D.; Wambsganss, J.; Scherer-Lorenzen, M.; Lang, F. Phenolic matter from deadwood can impact forest soil properties. Geoderma 2017, 288, 204–212. [Google Scholar] [CrossRef]
  9. Mackensen, J.; Bauhus, J. Density loss and respiration rates in coarse woody debris of Pinus radiata, Eucalyptus regnans and Eucalyptus maculata. Soil Biol. Biochem. 2003, 35, 177–186. [Google Scholar] [CrossRef]
  10. Moghimian, N.; Jalali, S.G.; Kooch, Y.; Rey, A. Downed logs improve soil properties in old-growth temperate forests of northern Iran. Pedosphere 2020, 30, 378–389. [Google Scholar] [CrossRef]
  11. Minnich, C.; Peršoh, D.; Poll, C.; Borken, W. Changes in Chemical and Microbial Soil Parameters Following 8 Years of Deadwood Decay: An Experiment with Logs of 13 Tree Species in 30 Forests. Ecosystems 2020, 24, 955–967. [Google Scholar] [CrossRef]
  12. Harmon, M.E.; Franklin, J.F.; Swanson, F.J.; Sollins, P.; Gregory, S.V.; Lattin, J.D.; Anderson, N.H.; Cline, S.P.; Aumen, N.G.; Sedell, J.R.; et al. Ecology of Coarse Woody Debris in Temperate Ecosystems. Adv. Ecol. Res. 1986, 15, 133–302. [Google Scholar]
  13. Puletti, N.; Canullo, R.; Mattioli, W.; Gawryś, R.; Corona, P.; Czerepko, J. A dataset of forest volume deadwood estimates for Europe. Ann. For. Sci. 2019, 76, 68. [Google Scholar] [CrossRef]
  14. Campbell, J.L.; Green, M.B.; Yanai, R.D.; Woodall, C.W.; Fraver, S.; Harmon, M.E.; Hatfield, M.A.; Barnett, C.J.; See, C.R.; Domke, G.M. Estimating uncertainty in the volume and carbon storage of downed coarse woody debris. Ecol. Appl. 2019, 29, e01844. [Google Scholar] [CrossRef]
  15. Gu, L.; Gong, Z.-w.; Li, W.-z. Spatial patterns and storage composition of woody debris in a natural secondary forest dominated by Pinus tabulaeformis on Loess Plateau, China. J. Mt. Sci. 2017, 14, 1839–1851. [Google Scholar] [CrossRef]
  16. Pearson, M.; Laiho, R.; Penttilä, T. Decay of Scots pine coarse woody debris in boreal peatland forests: Mass loss and nutrient dynamics. For. Ecol. Manag. 2017, 401, 304–318. [Google Scholar] [CrossRef]
  17. Qi, L.; Yuan, J.; Zhang, W.; Liu, H.; Li, Z.; Bol, R.; Zhang, S. Metagenomics reveals the underestimated role of bacteria in the decomposition of downed logs in forest ecosystems. Soil Biol. Biochem. 2023, 187, 109185. [Google Scholar] [CrossRef]
  18. Stutz, K.P.; Kaiser, K.; Wambsganss, J.; Santos, F.; Berhe, A.A.; Lang, F. Lignin from white-rotted European beech deadwood and soil functions. Biogeochemistry 2019, 145, 81–105. [Google Scholar] [CrossRef]
  19. Harmon, M.E. The role of woody detritus in biogeochemical cycles: Past, present, and future. Biogeochemistry 2021, 154, 349–369. [Google Scholar] [CrossRef]
  20. Lustenhouwer, N.; Maynard, D.S.; Bradford, M.A.; Lindner, D.L.; Oberle, B.; Zanne, A.E.; Crowther, T.W. A trait-based understanding of wood decomposition by fungi. Proc. Natl. Acad. Sci. USA 2020, 117, 11551–11558. [Google Scholar] [CrossRef]
  21. Dossa, G.G.O.; Paudel, E.; Schaefer, D.; Zhang, J.-L.; Cao, K.-F.; Xu, J.-C.; Harrison, R.D. Quantifying the factors affecting wood decomposition across a tropical forest disturbance gradient. For. Ecol. Manag. 2020, 468, 118166, Corrected in For. Ecol. Manag. 2021, 491, 119170. [Google Scholar] [CrossRef]
  22. Mieszkin, S.; Richet, P.; Bach, C.; Lambrot, C.; Augusto, L.; Buée, M.; Uroz, S. Oak decaying wood harbors taxonomically and functionally different bacterial communities in sapwood and heartwood. Soil Biol. Biochem. 2021, 155, 108160. [Google Scholar] [CrossRef]
  23. Khan, K. Nutrient Dynamics Assessment of Coarse Wood Debris and Its Effect on Soil Properties Subjected to Successional Decay Levels of Three Forests Types in Northeast, China. Ph.D. Thesis, Northeast Forestry University, Harbin, China, 2022. [Google Scholar]
  24. Yang, L.P.; Liu, W.Y.; Yang, G.P.; Ma, W.Z.; Li, D.W. Composition and carbon storage of woody debris in the moist evergreen broadleaf forest and secondary forests in Ailao Mountains. Chin. J. Appl. Ecol. 2007, 18, 2153–2159. [Google Scholar]
  25. Sollins, P. Input and decay of coarse woody debris in coniferous stands in western Oregon and Washington. Can. J. For. Res. Rev. Can. Rech. For. 1982, 12, 757–763. [Google Scholar] [CrossRef]
  26. DeForest, J.L. The influence of time, storage temperature, and substrate age on potential soil enzyme activity in acidic forest soils using MUB-linked substrates and l-DOPA. Soil Biol. Biochem. 2009, 41, 1180–1186. [Google Scholar] [CrossRef]
  27. Nakagawa, S.; Cuthill, I.C. Effect size, confidence interval and statistical significance: A practical guide for biologists. Biol. Rev. 2007, 82, 591–605. [Google Scholar] [CrossRef]
  28. Huang, J.; Chen, W.; Qi, K.; Yang, B.; Bao, W.; Pang, X. Distinct effects of N and P addition on soil enzyme activities and C distribution in aggregates in a subalpine spruce plantation. Biogeochemistry 2018, 141, 199–212. [Google Scholar] [CrossRef]
  29. Wall, A. Effect of removal of logging residue on nutrient leaching and nutrient pools in the soil after clearcutting in a Norway spruce stand. For. Ecol. Manag. 2008, 256, 1372–1383. [Google Scholar] [CrossRef]
  30. Seongjun, K.; Guanlin, L.; Hyun, H.S.; Hanna, C.; Hyun-Jun, K.; Yowhan, S.J.F. Differential Effects of Coarse Woody Debris on Microbial and Soil Properties in Pinus densiflora Sieb. et Zucc. Forests. Forests 2017, 8, 292. [Google Scholar] [CrossRef]
  31. Lu, L.; Hu, M.; Wang, J.; Xu, X.; Gui, H.; Yan, X.; Miao, Y.; Wang, W.; Han, S. Impact of Downed Logs of Masson Pine (Pinus massoniana Lamb.) on Soil Microbial Community in a Climate Transitional Forest of Central China. Forests 2023, 14, 955. [Google Scholar] [CrossRef]
  32. Yu, L.; Zhang, Y.; Sha, L.; Song, Q.; Tan, Z.; Zhou, W.; Wu, C. Variation and influencing factors of soil water content in subtropical evergreen broadleaf forests in Ailao Mountains. Chin. J. Ecol. 2013, 32, 332–336. [Google Scholar] [CrossRef]
  33. Kong, L.L.X.; Li, Y. Effects of different tree species on the spatial heterogeneity of soluble organic carbon in forest soils. J. Agric. 2023, 13, 46–55. [Google Scholar]
  34. Piaszczyk, W.; Błońska, E.; Lasota, J.; Lukac, M. A comparison of C:N:P stoichiometry in soil and deadwood at an advanced decomposition stage. Catena 2019, 179, 1–5. [Google Scholar] [CrossRef]
  35. Gonzalez-Polo, M.; Fernandez-Souto, A.; Austin, A. Coarse Woody Debris Stimulates Soil Enzymatic Activity and Litter Decomposition in an Old-Growth Temperate Forest of Patagonia, Argentina. Ecosystems 2013, 16, 1025–1038. [Google Scholar] [CrossRef]
  36. Meyer, N.; Xu, Y.; Karjalainen, K.; Adamczyk, S.; Biasi, C.; van Delden, L.; Martin, A.; Mganga, K.; Myller, K.; Sietiö, O.M.; et al. Living, dead, and absent trees—How do moth outbreaks shape small-scale patterns of soil organic matter stocks and dynamics at the Subarctic mountain birch treeline? Glob. Chang. Biol. 2021, 28, 441–462. [Google Scholar] [CrossRef]
  37. Kahl, T.; Mund, M.; Bauhus, J.; Schulze, E.D. Dissolved organic carbon from European beech logs: Patterns of input to and retention by surface soil. Coence 2012, 19, 364–373. [Google Scholar] [CrossRef]
  38. Chapin, F.S.; Matson, P.A.; Mooney, H.A. Principles of Terrestrial Ecosystem Ecology; Springer Science + Business Media, LLC: Berlin/Heidelberg, Germany, 2011. [Google Scholar]
  39. Lombardi, F.; Cherubini, P.; Tognetti, R.; Cocozza, C.; Lasserre, B. Investigating biochemical processes to assess deadwood decay of beech and silver fir in Mediterranean mountain forests. Ann. For. Sci. 2013, 70, 101–111. [Google Scholar] [CrossRef]
  40. Kang, H.; Gao, H.; Yu, W.; Yi, Y.; Wang, Y.; Ning, M. Changes in soil microbial community structure and function after afforestation depend on species and age: Case study in a subtropical alluvial island. Sci. Total Environ. 2018, 625, 1423–1432. [Google Scholar] [CrossRef]
  41. Banerjee, S.; Bora, S.; Thrall, P.H.; Richardson, A.E. Soil C and N as causal factors of spatial variation in extracellular enzyme activity across grassland-woodland ecotones. Appl. Soil Ecol. 2016, 105, 1–8. [Google Scholar] [CrossRef]
  42. Junninen, K.; Komonen, A. Conservation ecology of boreal polypores: A review. Biol. Conserv. 2011, 144, 11–20, Correction in Biol. Conserv. 2011, 144, 1779. [Google Scholar] [CrossRef]
  43. Bernal, B.; McKinley, D.C.; Megonigal, P.J.; Hungate, B.A.; White, P.M. Limits to soil carbon stability; Deep, ancient soil carbon decomposition stimulated by new labile organic inputs. Soil Biol. Biochem. 2016, 98, 85–94. [Google Scholar] [CrossRef]
  44. Gartzia-Bengoetxea, N.; Kandeler, E.; de Arano, I.M.; Arias-González, E. Soil microbial functional activity is governed by a combination of tree species composition and soil properties in temperate forests. Appl. Soil Ecol. 2016, 100, 57–64. [Google Scholar] [CrossRef]
  45. Piotrowska-Dlugosz, A.; Dlugosz, J.; Frac, M.; Gryta, A.; Breza-Boruta, B. Enzymatic activity and functional diversity of soil microorganisms along the soil profile—A matter of soil depth and soil-forming processes. Geoderma Int. J. Soil Sci. 2022, 416, 115779. [Google Scholar] [CrossRef]
  46. Piaszczyk, W.; Lasota, J.; Bońska, E. Effect of Organic Matter Released from Deadwood at Different Decomposition Stages on Physical Properties of Forest Soil. Forests 2020, 11, 24. [Google Scholar] [CrossRef]
  47. Geisseler, D.; Horwath, W.R. Relationship between carbon and nitrogen availability and extracellular enzyme activities in soil. Pedobiologia 2010, 53, 87–98. [Google Scholar] [CrossRef]
Figure 1. Geographical location (a) and the study site in the Ailao Mountain (b), photographs of the study site for each downed log decay class (c), and a schematic diagram of the soil sampling location (d).
Figure 1. Geographical location (a) and the study site in the Ailao Mountain (b), photographs of the study site for each downed log decay class (c), and a schematic diagram of the soil sampling location (d).
Forests 15 02182 g001
Figure 2. The effect of downed log decomposition on the soil physicochemical properties. Uppercase letters indicate significant differences between different soil depths for the same tree species, while lowercase letters signify significant differences between different tree species at the same soil depth. The data presented in the graphs are shown as the mean ± standard deviation. The tree species included are L. hancei (Y), L. xylocarpus (M), C. wattii (B), and the control sample site (no downed logs) (CK). The key parameters measured were as follows: TOC (organic carbon), TN (total nitrogen), TP (total phosphorus), C/N (carbon-to-nitrogen ratio), C/P (carbon-to-phosphorus ratio), N/P (nitrogen-to-phosphorus ratio), and pH (soil pH).
Figure 2. The effect of downed log decomposition on the soil physicochemical properties. Uppercase letters indicate significant differences between different soil depths for the same tree species, while lowercase letters signify significant differences between different tree species at the same soil depth. The data presented in the graphs are shown as the mean ± standard deviation. The tree species included are L. hancei (Y), L. xylocarpus (M), C. wattii (B), and the control sample site (no downed logs) (CK). The key parameters measured were as follows: TOC (organic carbon), TN (total nitrogen), TP (total phosphorus), C/N (carbon-to-nitrogen ratio), C/P (carbon-to-phosphorus ratio), N/P (nitrogen-to-phosphorus ratio), and pH (soil pH).
Forests 15 02182 g002
Figure 3. Significance plot of the effect of downed log decomposition on soil enzyme activity. Uppercase letters indicate significant differences between different soil depths for the same tree species, while lowercase letters denote significant differences between different tree species at the same soil depth. The data presented in the graphs are expressed as mean ± standard deviation. The tree species analyzed include L. hancei (Y), L. xylocarpus (M), C. wattii (B), and the control sample site (without downed logs) (CK). The enzymes measured are CAT (catalase), POX (polyphenol oxidase), CB (cellobiose hydrolase), AG (α-glucose xylanase), BG (β-glucosidase), and XS (β-xylulose).
Figure 3. Significance plot of the effect of downed log decomposition on soil enzyme activity. Uppercase letters indicate significant differences between different soil depths for the same tree species, while lowercase letters denote significant differences between different tree species at the same soil depth. The data presented in the graphs are expressed as mean ± standard deviation. The tree species analyzed include L. hancei (Y), L. xylocarpus (M), C. wattii (B), and the control sample site (without downed logs) (CK). The enzymes measured are CAT (catalase), POX (polyphenol oxidase), CB (cellobiose hydrolase), AG (α-glucose xylanase), BG (β-glucosidase), and XS (β-xylulose).
Forests 15 02182 g003
Figure 4. PCA analysis and variable contribution of downed log mulch on soil physicochemical properties and enzyme activities.
Figure 4. PCA analysis and variable contribution of downed log mulch on soil physicochemical properties and enzyme activities.
Forests 15 02182 g004
Figure 5. Pearson’s correlation coefficients between the soil elemental contents under downed logs. (*) denotes significance at the 0.01 level, while (**) represents significance at the 0.05 level.
Figure 5. Pearson’s correlation coefficients between the soil elemental contents under downed logs. (*) denotes significance at the 0.01 level, while (**) represents significance at the 0.05 level.
Forests 15 02182 g005
Figure 6. Pearson’s correlation coefficients between the soil elemental contents in the control sample plots. (*) denotes significance at the 0.01 level, while (**) represents significance at the 0.05 level.
Figure 6. Pearson’s correlation coefficients between the soil elemental contents in the control sample plots. (*) denotes significance at the 0.01 level, while (**) represents significance at the 0.05 level.
Forests 15 02182 g006
Table 1. Differential significance of fallen tree species, soil depth, and their interaction on soil physicochemical properties.
Table 1. Differential significance of fallen tree species, soil depth, and their interaction on soil physicochemical properties.
ParametersTree SpeciesSoil DepthTree Species × Soil Depth
F-ValuePartial Eta SquaredF-ValuePartial Eta SquaredF-ValuePartial Eta Squared
SOC43.608 **0.82932.228 **0.7824.588 **0.505
TN22.213 **0.71230.263 **0.7710.6910.133
TP8.277 **0.47912.348 **0.5782.3020.338
C/N38.467 **0.8117.615 **0.6622.8510.388
C/P30.93 **0.77515.961 **0.6393.224 *0.417
N/P22.429 **0.7149.469 **0.5130.8470.158
pH3.190.2622.7730.2360.1610.035
CAT3.180.2613.4990.280.1560.034
POX5.254 *0.3693.0330.2520.0450.01
CB1.7510.1630.8120.0830.7040.135
AG1.9330.1770.1980.0220.1360.029
BG5.263 *0.3690.1890.0210.2620.055
XS4.459 *0.3311.1770.1160.3720.076
** Significant correlation at the 0.01 level; * significant correlation at the 0.05 level. The tree species studied were L. hancei (Y), L. xylocarpus (M), C. wattii (B), and the control sample site (no downed logs) (CK) soil. The abbreviations represent the following variables: SOC = organic carbon, TN = total nitrogen, TP = total phosphorus, C/N = carbon-to-nitrogen ratio, C/P = carbon-to-phosphorus ratio, N/P = nitrogen-to-phosphorus ratio, pH = soil pH, CAT = catalase, POX = polyphenol oxidase, CB = cellobiose hydrolase, AG = α-glucosidase, BG = β-glucosidase, and XS = β-glucosidase.
Disclaimer/Publisher’s Note: The statements, opinions and data contained in all publications are solely those of the individual author(s) and contributor(s) and not of MDPI and/or the editor(s). MDPI and/or the editor(s) disclaim responsibility for any injury to people or property resulting from any ideas, methods, instructions or products referred to in the content.

Share and Cite

MDPI and ACS Style

Liu, T.; Xu, C.; Lu, Z.; Wang, H.; Guo, H. Effects of Downed Log Decomposition on Soil Properties and Enzyme Activities in Southwest China. Forests 2024, 15, 2182. https://doi.org/10.3390/f15122182

AMA Style

Liu T, Xu C, Lu Z, Wang H, Guo H. Effects of Downed Log Decomposition on Soil Properties and Enzyme Activities in Southwest China. Forests. 2024; 15(12):2182. https://doi.org/10.3390/f15122182

Chicago/Turabian Style

Liu, Tingting, Chenzhan Xu, Zhiyun Lu, Hang Wang, and Huijun Guo. 2024. "Effects of Downed Log Decomposition on Soil Properties and Enzyme Activities in Southwest China" Forests 15, no. 12: 2182. https://doi.org/10.3390/f15122182

APA Style

Liu, T., Xu, C., Lu, Z., Wang, H., & Guo, H. (2024). Effects of Downed Log Decomposition on Soil Properties and Enzyme Activities in Southwest China. Forests, 15(12), 2182. https://doi.org/10.3390/f15122182

Note that from the first issue of 2016, this journal uses article numbers instead of page numbers. See further details here.

Article Metrics

Back to TopTop