Labile and Stable Fractions of Organic Carbon in a Soil Catena (the Central Forest Nature Reserve, Russia)
Abstract
1. Introduction
- -
- Physically protected (occluded within aggregates and therefore inaccessible to decomposer microorganisms);
- -
- Chemically protected (through sorption and complexation within organomineral associations);
- -
- Unprotected by chemical or physical mechanisms and accessible to decomposer microorganisms.
2. Materials and Methods
2.1. Site Description
2.2. Sampling
2.3. Laboratory Analysis and Data Treatment
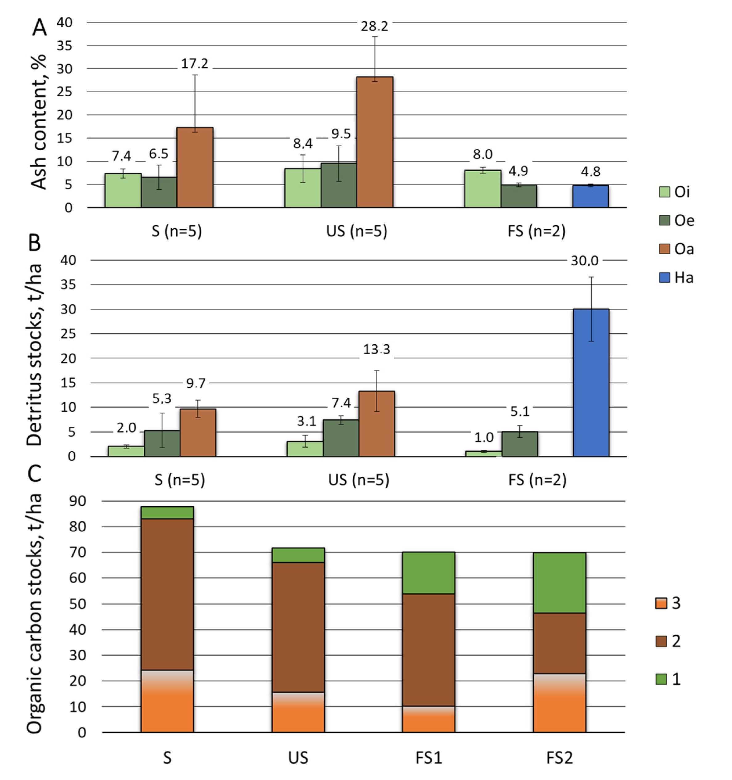
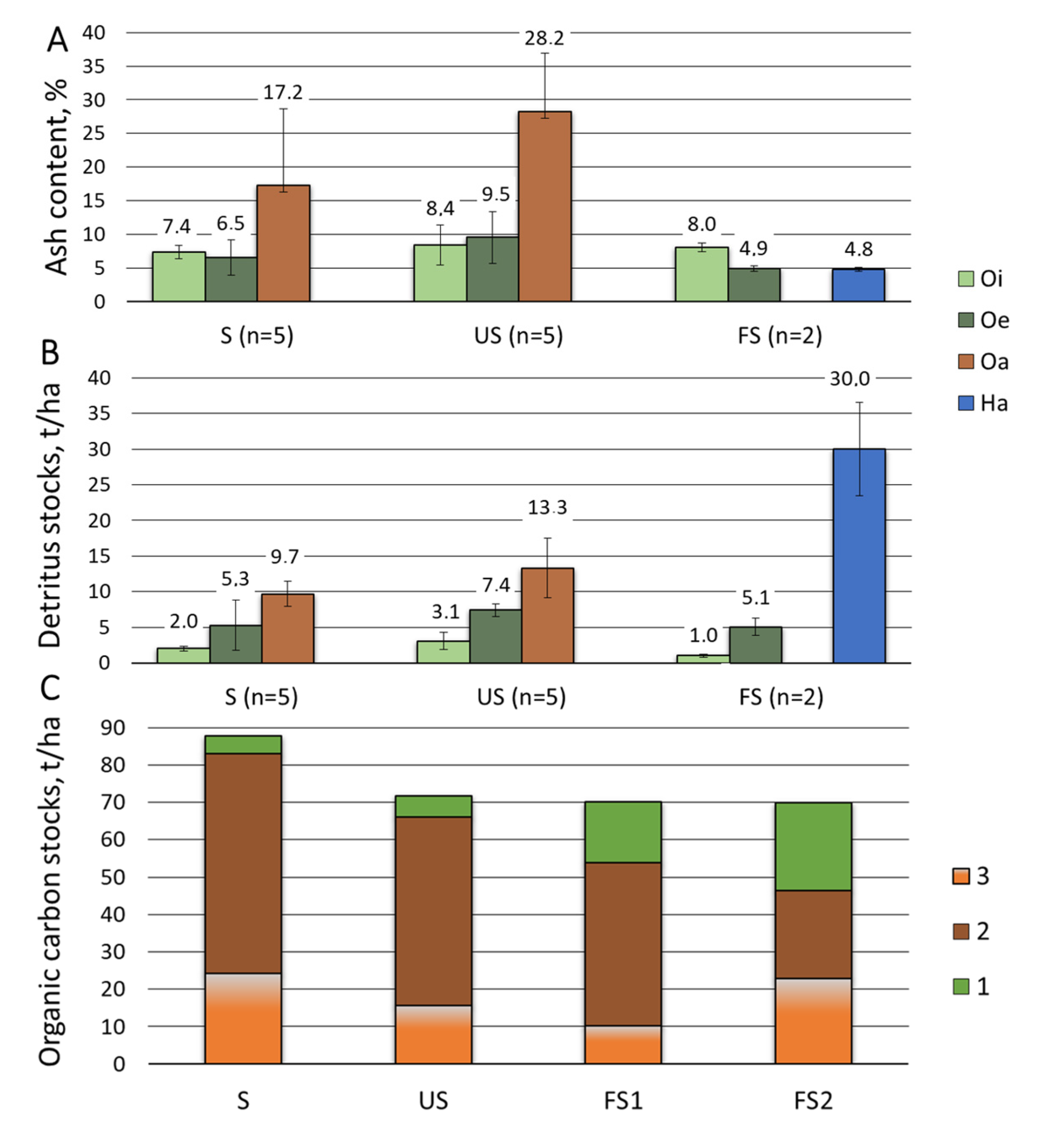
3. Results
4. Discussions
5. Conclusions
Author Contributions
Funding
Data Availability Statement
Acknowledgments
Conflicts of Interest
Appendix A
| Position | Horizon | Depth, cm | pH | Ash Content, % | Bulk Density, g/cm3 | SOC Stocks, t/ha | Detritus Stocks, t/ha | CL, mg/g | CO, mg/g | CS, mg/g | ||||||||||||
|---|---|---|---|---|---|---|---|---|---|---|---|---|---|---|---|---|---|---|---|---|---|---|
| Summit | Oi | surface | - | 7.4 * | - | - | 2.0 * | - | ||||||||||||||
| Oe | surface | 6.5 * | 5.3 * | |||||||||||||||||||
| Oa | surface | 5.1 | 17.3 * | 0.1 | 4.8 | 9.7 * | 192 | 123 | 185 | 184 | 165 | 26 | 97 | 32 | 34 | 44 | 67 | 79 | 78 | 100 | 81 | |
| OAh | 2–6 | 4.6 | - | 1.3 | 58.7 | - | 110 | 121 | 125 | 113 | 105 | 12 | 17 | 9 | 22 | 45 | 189 | 172 | 193 | 165 | 166 | |
| Ah | 11–20 | 4.4 | 1.4 | 47.9 | 16 | 25 | 21 | 24 | 11 | 7.0 | 1.5 | 0.6 | 8.3 | 10 | 29 | 2.3 | 7.0 | 3.0 | 26 | |||
| E | 20–30 | 4.9 | 1.4 | 8.8 | 1.8 | 3.1 | 3.1 | 1.4 | 1.0 | 1.1 | 0.7 | 0.6 | 1.7 | 0.0 | 4.1 | 2.2 | 0.9 | 0.4 | 1.0 | |||
| Bt/E | 45–55 | 5.2 | 1.6 | 5.7 | - | |||||||||||||||||
| 2B | 70–90 | 5.6 | 1.7 | 5.9 | ||||||||||||||||||
| 2BC | 110–130 | 7.2 | 1.7 | 3.3 | ||||||||||||||||||
| Upper slope | Oi | surface | - | 8.3 * | - | 3.1 * | - | |||||||||||||||
| Oe | surface | 9.5 * | 7.4 * | |||||||||||||||||||
| Oa | surface | 4.7 | 28.2 * | 0.1 | 5.8 | 13.3 * | 153 | 161 | 200 | 210 | 120 | 62 | 44 | 20 | 9 | 90 | 25 | 40 | 21 | 61 | 40 | |
| OAh | 2,5–4 | 4.6 | - | 0.3 | 15.3 | - | 50 | 40 | 30 | 46 | 20 | 5,4 | 10 | 24 | 11 | 30 | 12 | 10 | 4 | 19 | 30 | |
| Ah | 5–10 | 4.3 | 0.6 | 15.3 | 29 | 20 | 19 | 19 | 25 | 10 | 2.6 | 4.0 | 2.1 | 5.0 | 1.4 | 3.3 | 3.5 | 22 | 10 | |||
| AhE | 12–18 | 4.4 | 1.2 | 19.9 | 9.0 | 8.4 | 8.6 | 10 | 7.0 | 2.9 | 2.0 | 1.7 | 0.6 | 2.0 | 0.3 | 2.4 | 2.3 | 7.5 | 1.0 | |||
| E | 30–40 | 4.9 | 1.6 | 12.5 | 1.0 | 1.0 | 1.0 | 1.5 | 1.0 | 1.0 | 1.0 | 1.0 | 0.5 | 1.0 | 1.2 | 2.0 | 0.7 | 0.9 | 2.0 | |||
| Bt/E | 52–62 | 4.9 | 1.6 | 1.1 | - | |||||||||||||||||
| Bt/Eg | 75–85 | 5.8 | 1.6 | 0.2 | ||||||||||||||||||
| 2B | 104–114 | 6.5 | 1.8 | 0 | ||||||||||||||||||
| 2BC | 140–150 | 6.9 | 1.8 | 1.8 | ||||||||||||||||||
| Upper footslope | Oi | surface | - | 8.5 | - | 1.2 | - | |||||||||||||||
| Oe | surface | 4.0 | 5.2 | 0.0 | 16.2 | 7.0 | 267 | 240 | 262 | 224 | 250 | 39 | 78 | 29 | 61 | 80 | 89 | 117 | 167 | 97 | 80 | |
| Ha | 9–14 | 4.0 | 5.0 | 0.5 | 40.0 | 35.3 | 110 | 71 | 96 | 97 | 80 | 10 | 35 | 18 | 25 | 20 | 33 | 32 | 69 | 53 | 30 | |
| AhE | 17–20 | 4.7 | - | 1.3 | 3.8 | - | 11 | 13 | 14 | 14 | 12 | 2.1 | 2.3 | 2.7 | 3.0 | 2.0 | 7.9 | 5.8 | 5.7 | 1.4 | 4.0 | |
| Eg | 25–35 | 6.2 | 1.6 | 2.4 | 2.3 | 3.1 | 3.2 | 3.2 | 2.0 | 0.5 | 1.1 | 1.2 | 2.2 | 1.0 | 1.2 | 0.8 | 0.6 | 0.6 | 1.0 | |||
| Btg | 48–58 | 6.6 | 1.6 | 7.8 | - | |||||||||||||||||
| Lower footslope | Oi | surface | - | 7.5 | - | - | 0.9 | - | ||||||||||||||
| Oe | surface | 2.1 | 5.1 | |||||||||||||||||||
| Sphagnum | surface | 4.1 | 4.4 | |||||||||||||||||||
| Ha | 0–8 | 4.0 | 4.6 | 0.1 | 23.7 | 24.8 | 195 | 197 | 176 | 168 | 190 | 50 | 43 | 55 | 69 | 55 | 156 | 152 | 135 | 111 | 115 | |
| AhE | 8–12 | 4.4 | - | 1.4 | 23.5 | - | 12 | 11 | 10 | 20 | 10 | 0.8 | 2.5 | 2.6 | 4.0 | 0.0 | 21 | 23 | 23 | 16 | 10 | |
| Eg | 17–23 | 4.9 | 1.6 | 14.6 | 5.3 | 5.3 | 3.7 | 2.8 | 3.0 | 0.7 | 1.7 | 2.6 | 4.1 | 2.0 | 3.8 | 2.9 | 2.8 | 1.3 | 3.0 | |||
| Eg | 28–35 | 5.4 | 1.6 | 2.7 | 0.9 | 2.0 | 3.2 | 3.9 | 1.0 | 0.0 | 1.0 | 0.8 | 1.1 | 1.0 | 5.9 | 4.5 | 4.2 | 1.3 | 4.0 | |||
| Bt/Eg | 39–45 | 5.5 | 1.6 | 0.3 | - | |||||||||||||||||
| Bg | 60–70 | 6.0 | 1.6 | 2.3 | ||||||||||||||||||
| 2BC | 80–90 | 5.7 | 1.7 | 2.9 | ||||||||||||||||||
| 2C | 110–120 | 6.1 | 1.8 | 1.4 | ||||||||||||||||||
References
- Duddigan, S.; Shaw, L.J.; Alexander, P.D.; Collins, C.D. A Comparison of Physical Soil Organic Matter Fractionation Methods for Amended Soils. Appl. Environ. Soil Sci. 2019, 2019, 3831241. [Google Scholar] [CrossRef]
- Wambsganss, J.; Stutz, K.P.; Lang, F. European beech deadwood can increase soil organic carbon sequestration in forest topsoils. For. Ecol. Manag. 2017, 405, 200–209. [Google Scholar] [CrossRef]
- Pham, T.G.; Nguyen, H.T.; Kappas, M. Assessment of soil quality indicators under different agricultural land uses and topographic aspects in Central Vietnam. Int. Soil Water Conserv. Res. 2018, 6, 280–288. [Google Scholar] [CrossRef]
- Muñoz-Rojas, M. Soil quality indicators: Critical tools in ecosystem restoration. Curr. Opin. Environ. Sci. Health 2018, 5, 47–52. [Google Scholar] [CrossRef]
- Valle, S.R.; Carrasco, J. Soil quality indicator selection in Chilean volcanic soils formed under temperate and humid conditions. Catena 2018, 162, 386–395. [Google Scholar] [CrossRef]
- Bünemann, E.K.; Bongiorno, G.; Bai, Z.; Creamer, R.E.; De Deyn, G.; de Goede, R.; Fleskens, L.; Geissen, V.; Kuyper, T.W.; Mäder, P.; et al. Soil Quality—A Critical Review. Soil Biol. Biochem. 2018, 120, 105–125. [Google Scholar] [CrossRef]
- De, P.; Deb, S.; Deb, D.; Chakraborty, S.; Santra, P.; Dutta, P.; Hoque, A.; Choudhury, A. Soil quality under different land uses in eastern India: Evaluation by using soil indicators and quality index. PLoS ONE 2022, 17, e0275062. [Google Scholar] [CrossRef]
- Zamulina, I.V.; Gorovtsov, A.V.; Minkina, T.M.; Mandzhieva, S.S.; Bauer, T.V.; Burachevskaya, M.V. The influence of long-term Zn and Cu contamination in Spolic Technosols on water-soluble organic matter and soil biological activity. Ecotoxicol. Environ. Saf. 2021, 208, 111471. [Google Scholar] [CrossRef]
- Kebonye, N.M.; Eze, P.N.; Ahado, S.K.; John, K. Structural equation modeling of the interactions between trace elements and soil organic matter in semiarid soils. Int. J. Environ. Sci. Technol. 2020, 17, 2205–2214. [Google Scholar] [CrossRef]
- Gangloff, S.; Stille, P.; Pierret, M.-C.; Weber, T.; Chabaux, F. Characterization and evolution of dissolved organic matter in acidic forest soil and its impact on the mobility of major and trace elements (case of the Strengbach watershed). Geochim. Cosmochim. Acta 2014, 130, 21–41. [Google Scholar] [CrossRef]
- Basta, N.T.; Ryan, J.A.; Chaney, R.L. Trace Element Chemistry in Residual-Treated Soil: Key Concepts and Metal Bioavailability. J. Environ. Qual. 2005, 34, 49–63. [Google Scholar] [CrossRef]
- Kolář, L.; Kužel, S.; Horáček, J.; Čechová, V.; Borová-Batt, J.; Peterka, J. Labile fractions of soil organic matter, their quantity and quality. Plant Soil Environ. 2009, 55, 245–251. [Google Scholar] [CrossRef]
- Bongiorno, G.; Bünemann, E.K.; Oguejiofor, C.U.; Meier, J.; Gort, G.; Comans, R.; Mäder, P.; Brussaard, L.; de Goede, R. Sensitivity of labile carbon fractions to tillage and organic matter management and their potential as comprehensive soil quality indicators across pedoclimatic conditions in Europe. Ecol. Indic. 2021, 99, 38–50, Erratum in Ecol. Indic. 2021, 121, 107093. [Google Scholar] [CrossRef]
- Cotrufo, M.F.; Wallenstein, M.D.; Boot, C.M.; Denef, K.; Paul, E. The Microbial Efficiency-Matrix Stabilization (MEMS) framework integrates plant litter decomposition with soil organic matter stabilization: Do labile plant inputs form stable soil organic matter? Glob. Chang. Biol. 2013, 19, 988–995. [Google Scholar] [CrossRef] [PubMed]
- Błońska, E.; Lasota, J.; Gruba, P. Enzymatic activity and stabilization of organic matter in soil with different detritus inputs. J. Soil Sci. Plant Nutr. 2017, 63, 242–247. [Google Scholar]
- Lasota, J.; Błońska, E.; Łyszczarz, S.; Tibbett, M. Forest Humus Type Governs Heavy Metal Accumulation in Specific Organic Matter Fractions. Water Air Soil Pollut. 2020, 231, 80. [Google Scholar] [CrossRef]
- Jenkinson, D.S.; Adams, D.E.; Wild, A. Model estimates of CO2 emissions from soil in response to global warming. Nature 1991, 351, 304–306. [Google Scholar] [CrossRef]
- Sollins, P.; Homann, P.; Caldwell, B.A. Stabilization and destabilization of soil organic matter: Mechanisms and controls. Geoderma 1996, 74, 65–105. [Google Scholar] [CrossRef]
- Mustafa, A.; Saeed, Q.; Karimi Nezhad, M.T.; Mohammad, T.; Nan, S.; Hongjun, G.; Ping, Z.; Naveed, M.; Minggang, X.; Nú nez-Delgado, A. Physically separated soil organic matter pools as indicators of carbon and nitrogen change under long-term fertilization in a Chinese Mollisol. Environ. Res. 2023, 216, 114626. [Google Scholar] [CrossRef]
- Kholodov, V.A.; Farkhodov, Y.R.; Yaroslavtseva, N.V.; Ziganshina, A.R.; Maksimovich, S.V. Heterogeneity of Organic Matter of Aggregates of Protocalcic Chernozems. Eurasian Soil Sci. 2022, 55, 998–1004. [Google Scholar] [CrossRef]
- Kopecký, M.; Kolář, L.; Perná, K.; Váchalová, R.; Mráz, P.; Konvalina, P.; Murindangabo, Y.T.; Ghorbani, M.; Menšík, L.; Dumbrovský, M. Fractionation of Soil Organic Matter into Labile and Stable Fractions. Agronomy 2021, 12, 73. [Google Scholar] [CrossRef]
- Popov, A.I.; Rusakov, A.V. Chemodestructive fractionation of soil organic matter. Eurasian Soil Sci. 2016, 49, 606–612. [Google Scholar] [CrossRef]
- Partyka, T.; Hamkalo, Z. Estimation of Oxidizing Ability of Organic Matter of Forest and Arable Soil. Zemdirb.-Agric. 2010, 97, 33–40. [Google Scholar]
- Geraei, D.S.; Hojati, S.; Landi, A.; Cano, A.F. Total and labile forms of soil organic carbon as affected by land use change in southwestern Iran. Geoderma Reg. 2016, 7, 29–37. [Google Scholar] [CrossRef]
- Feng, W.; Zou, X.; Schaefer, D. Above- and belowground carbon inputs affect seasonal variations of soil microbial biomass in a subtropical monsoon forest of southwest China. Soil Biol. Biochem. 2009, 41, 978–983. [Google Scholar] [CrossRef]
- Kuznetsova, A.I.; Geraskina, A.P.; Lukina, N.V.; Smirnov, V.E.; Tikhonova, E.V.; Shevchenko, N.E.; Gornov, A.V.; Ruchinskaya, E.V.; Tebenkova, D.N. Linking Vegetation, Soil Carbon Stocks, and Earthworms in Upland Coniferous–Broadleaf Forests. Forests 2021, 12, 1179. [Google Scholar] [CrossRef]
- Schlesinger, W.H.; Bernhardt, E. Biogeochemistry: An Analysis of Global Change; Academic Press: Cambridge, MA, USA, 2020; ISBN 9780128146088. [Google Scholar]
- Shrestha, B.M.; Chen, H.Y.H. Effects of stand age, wildfire and clearcut harvesting on forest floor in boreal mixedwood forests. Plant Soil 2010, 336, 267–277. [Google Scholar] [CrossRef]
- Krishna, M.P.; Mohan, M. Litter decomposition in forest ecosystems: A review. Energy Ecol. Environ. 2017, 2, 236–249. [Google Scholar] [CrossRef]
- Błońska, E.; Lasota, J. Soil Organic Matter Accumulation and Carbon Fractions along a Moisture Gradient of Forest Soils. Forests 2017, 8, 448. [Google Scholar] [CrossRef]
- Hu, W.; Shen, Q.; Zhai, X.; Du, S.; Zhang, X. Impact of environmental factors on the spatiotemporal variability of soil organic matter: A case study in a typical small Mollisol watershed of Northeast China. J. Soils Sediments 2021, 21, 736–747. [Google Scholar] [CrossRef]
- Qin, Z.; Yang, X.; Song, Z.; Peng, B.; Van Zwieten, L.; Yu, C.; Wu, S.; Mohammad, M.; Wang, H. Vertical distributions of organic carbon fractions under paddy and forest soils derived from black shales: Implications for potential of long-term carbon storage. Catena 2021, 198, 105056. [Google Scholar] [CrossRef]
- Pollakova, N.; Jonczak, J.; Szlováková, T.; Kolenčík, M. Soil organic matter quantity and quality of land transformed from arable to forest. J. Cent. Eur. Agric. 2016, 17, 661–674. [Google Scholar] [CrossRef]
- Toenshoff, C.; Joergensen, R.G.; Stuelpnagel, R.; Wachendorf, C. Dynamics of soil organic carbon fractions one year after the re-conversion of poplar and willow plantations to arable use and perennial grassland. Agric. Ecosyst. Environ. 2013, 174, 21–27. [Google Scholar] [CrossRef]
- De Lucia, B.; Cristiano, G.; Vecchietti, L.; Bruno, L. Effect of different rates of composted organic amendment on urban soil properties, growth and nutrient status of three Mediterranean native hedge species. Urban For. Urban Green. 2013, 12, 537–545. [Google Scholar] [CrossRef]
- Puzachenko, Y.G.; Kozlov, D.N.; Siunova, E.V.; Sankovskii, A.G. Assessment of the reserves of organic matter in the world’s soils: Methodology and results. Eurasian Soil Sci. 2006, 39, 1284–1296. [Google Scholar] [CrossRef]
- Smirnova, O.V.; Zaugolnova, L.B.; Evstigneev, O.I.; Korotkov, V.N.; Khanina, L.G. Succession Processes in the Reserves of Russia and the Problems of Conservation of Biological Diversity; Smirnova, O.V., Shaposhnikov, E.S., Eds.; Rossijskoe Botanicheskoe Obshhestvo: Saint Petersburg, Russia, 1999; ISBN 5-86871-030-4. [Google Scholar]
- IUSS Working Group WRB. World Reference Base for Soil Resources. International Soil Classification System for Naming Soils and Creating Legends for Soil Maps, 4th ed.; International Union of Soil Sciences: Vienna, Austria, 2022. [Google Scholar]
- Schaetzl, R.J. 4.9 Catenas and Soils. In Treatise on Geomorphology; Elsevier: Amsterdam, The Netherlands, 2013; pp. 145–158. ISBN 978-0-08-088522-3. [Google Scholar]
- Regmi, B.; Rengel, Z.; Shaberi-Khabaz, H. Fractionation and Distribution of Zinc in Soils of Biologically and Conventionally Managed Farming Systems, Western Australia. In Proceedings of the 19th World Congress of Soil Science, Soil Solutions for Changing the World, Brisbane, Australia, 1–6 August 2010; pp. 105–108. [Google Scholar]
- Jabiol, B.; Zanella, A.; Ponge, J.-F.; Sartori, G.; Englisch, M.; van Delft, B.; de Waal, R.; Le Bayon, R.-C. A proposal for including humus forms in the World Reference Base for Soil Resources (WRB-FAO). Geoderma 2013, 192, 286–294. [Google Scholar] [CrossRef]
- Bazilevich, N.I.; Titlyanova, A.A. Biotic Turnover on Five Continents: Element Exchange Processes in Terrestrial Natural Ecosystems; Tishkov, A.A., Ed.; Nauka: Novosibirsk, Russia, 2008; ISBN 978-5-7692-0941-3. [Google Scholar]
- Enchilik, P.R.; Semenkov, I.N.; Aseeva, E.N.; Samonova, O.A.; Iovcheva, A.D.; Terskaya, E.V. Catenary Biogeochemical Differentiation in the Southern Taiga Landscapes (Central Forest Reserve, Tver Oblast). Vestn. Mosk. Univ. Seriya 5 Geogr. 2020, 6, 121–133. [Google Scholar]
- Asare, M.O.; Afriyie, J.O.; Hejcman, M.; Krbová, M.J. Can Wood Ashes of Commonly Planted Tree Species in Ghana be Applied as Fertilizers? Waste Biomass-Valorization 2022, 13, 1043–1058. [Google Scholar] [CrossRef]
- Chen, M.; Zhu, X.; Zhao, C.; Yu, P.; Abulaizi, M.; Jia, H. Rapid microbial community evolution in initial Carex litter decomposition stages in Bayinbuluk alpine wetland during the freeze–thaw period. Ecol. Indic. 2020, 121, 107180. [Google Scholar] [CrossRef]
- Li, F.; Hu, J.; Xie, Y.; Yang, G.; Hu, C.; Chen, X.; Deng, Z. Foliar stoichiometry of carbon, nitrogen, and phosphorus in wetland sedge Carex brevicuspis along a small-scale elevation gradient. Ecol. Indic. 2018, 92, 322–329. [Google Scholar] [CrossRef]
- Coleman, D.; Cole, E.; Elliott, C. Decomposition, Organic Matter Turnover and Nutrient Dynamics in Agroecosystems. In Agricultural Ecosystems—Unifying Concepts; Lowrance, R., Stinner, B.R., House, G.J., Eds.; Wiley-Interscience: New York, NY, USA, 1984; pp. 83–104. [Google Scholar]
- Xu, C.; Yu, X.; Duan, H.; Li, J.; Xia, S.; Zhang, Q.; Li, C. The decomposition processes and return of carbon, nitrogen, and phosphorus of Phragmites australis litter with different detritus amount. Hydrobiologia 2022, in press. [Google Scholar] [CrossRef]
- Hansson, K.; Olsson, B.A.; Olsson, M.; Johansson, U.; Kleja, D.B. Differences in soil properties in adjacent stands of Scots pine, Norway spruce and silver birch in SW Sweden. For. Ecol. Manag. 2011, 262, 522–530. [Google Scholar] [CrossRef]
- Vesterdal, L.; Clarke, N.; Sigurdsson, B.D.; Gundersen, P. Do tree species influence soil carbon stocks in temperate and boreal forests? For. Ecol. Manag. 2013, 309, 4–18. [Google Scholar] [CrossRef]
- Hobbie, S.E.; Schimel, J.P.; Trumbore, S.E.; Randerson, J.R. Controls over carbon storage and turnover in high-latitude soils. Glob. Chang. Biol. 2000, 6, 196–210. [Google Scholar] [CrossRef] [PubMed]
- Weintraub, M.; Schimel, J.P. Nitrogen Cycling and the Spread of Shrubs Control Changes in the Carbon Balance of Arctic Tundra Ecosystems. Bioscience 2005, 55, 408–415. [Google Scholar] [CrossRef]
- Philben, M.; Butler, S.; Billings, S.A.; Benner, R.; Edwards, K.A.; Ziegler, S.E. Biochemical and structural controls on the decomposition dynamics of boreal upland forest moss tissues. Biogeosciences 2018, 15, 6731–6746. [Google Scholar] [CrossRef]
- Peel, M.C.; Finlayson, B.L.; McMahon, T.A. Updated world map of the Köppen-Geiger climate classification. Hydrol. Earth Syst. Sci. 2007, 11, 1633–1644. [Google Scholar] [CrossRef]
- Huang, W.; Xu, W.; Wang, S.; Yuan, Y.; Wang, C. Extraction of Knowledge about Soil-Environment Relationship Based on an Uncertainty Model. Acta Pedol. Sin. 2018, 55, 54–63. [Google Scholar] [CrossRef]
- Wang, Z.; Liu, B.; Wang, X.; Gao, X.; Liu, G. Erosion effect on the productivity of black soil in Northeast China. Sci. China Ser. D Earth Sci. 2009, 52, 1005–1021. [Google Scholar] [CrossRef]
- Błońska, E.; Lasota, J.; Piaszczyk, W.; Wiecheć, M.; Klamerus-Iwan, A. The effect of landslide on soil organic carbon stock and biochemical properties of soil. J. Soils Sediments 2018, 18, 2727–2737. [Google Scholar] [CrossRef]
- Jandl, R.; Lindner, M.; Vesterdal, L.; Bauwens, B.; Baritz, R.; Hagedorn, F.; Johnson, D.W.; Minkkinen, K.; Byrne, K.A. How Strongly Can Forest Management Influence Soil Carbon Sequestration? Geoderma 2007, 137, 253–268. [Google Scholar] [CrossRef]
- Stendahl, J.; Johansson, M.-B.; Eriksson, E.; Nilsson, Å.; Langvall, O. Soil organic carbon in Swedish spruce and pine forests—Differences in stock levels and regional patterns. Silva Fenn. 2010, 44, 5–21. [Google Scholar] [CrossRef]
- Walz, J.; Knoblauch, C.; Böhme, L.; Pfeiffer, E.-M. Regulation of soil organic matter decomposition in permafrost-affected Siberian tundra soils—Impact of oxygen availability, freezing and thawing, temperature, and labile organic matter. Soil Biol. Biochem. 2017, 110, 34–43. [Google Scholar] [CrossRef]
- Lorenz, M.; Hofmann, D.; Steffen, B.; Fischer, K.; Thiele-Bruhn, S. The molecular composition of extractable soil microbial compounds and their contribution to soil organic matter vary with soil depth and tree species. Sci. Total. Environ. 2021, 781, 146732. [Google Scholar] [CrossRef]
- Prescott, C.E. Litter decomposition: What controls it and how can we alter it to sequester more carbon in forest soils? Biogeochemistry 2010, 101, 133–149. [Google Scholar] [CrossRef]
- Xu, C.; Chen, Z.; Xia, S.; Zhao, W.; Zhang, Q.; Teng, J.; Yu, X. The initial mass of residue can regulate the impact of Phragmites australis decomposition on water quality: A case study of a mesocosm experiment in a wetland of North China. J. Freshw. Ecol. 2021, 36, 49–62. [Google Scholar] [CrossRef]
- Lehmann, J.; Solomon, D.; Kinyangi, J.; Dathe, L.; Wirick, S.; Jacobsen, C. Spatial complexity of soil organic matter forms at nanometre scales. Nat. Geosci. 2008, 1, 238–242. [Google Scholar] [CrossRef]






| Soils (WRB) | Location * and GPS Coordinates | Plants | |||
|---|---|---|---|---|---|
| Name | Horizons (ns) | Trees | Shrubs | Herbs and Mosses | |
| Endocalcaric Albic Neocambic Stagnic Glossic Retisols (Geoabruptic, Chromic, Loamic) | Oi–Oe–Oa–OAh–Ah–E–Bt/E–2Bwk–2BClk (ns = 21) | S 56°27′48.7″ N 32°57′45″ E | Picea abies, Tilia cordata, Acer platanoides, Ulmus glabra | Corylus avellana | Stellaria holostea, Anemone nemorosa, Lamium galeobdolon, Oxalis acetosella, Pteridium aquilinum, Aegopodium podagraria |
| Oi–Oe–Oa–OAh–Ah–AhE–Escl–Bt/E–2Bwsc–2CBwsc (ns = 23) | US 56°27′47.5″ N 32°56′15.4″ E | Picea abies, Tilia cordata, Acer platanoides | Corylus avellana, Sorbus aucuparia, Lonicera xylosteum | Hepatica nobilis, Galium odoratum, Pteridium aquilinum, Lamium galeobdolon, Asarum europaeum, Equisetum sylvaticum, Pulmonaria obscúra, Anemone nemorosa, Stellaria holostea, Oxalis acetosella | |
| Endocalcaric Glossic Albic Gleyic Histic Stagnosols (Geoabruptic, Loamic) | Oi–Oe–Ha–AhEl–Eosc–Btg (ns = 6) | FS1 56°27′47.1″ N 32°56′19.8″ E | Picea abies, Tilia cordata, Acer platanoides | Sorbus aucuparia | Vaccinium myrtillus |
| Oi–Oe–Ha–AhE–Eg–Bt/Eg–Bg–2BC-2Crk (ns = 11) | FS2 56°27′48.0″ N 32°56′21.1″ E | Picea abies, Tilia cordata, Acer platanoides, Salix caprea | Sorbus aucuparia | Pteridium aquilinum, Oxalis acetosella, Vaccinium myrtillus Sphagnum | |
| Location | Horizon (ns/nm) | Lability Indexes | |
|---|---|---|---|
| CL/CS | CL/(CS + CO) | ||
| Summit and upper slope | Oa (2/10) | 3.7 ± 2.4 | 2.0 ± 1.2 |
| OAh (2/10) | 2.1 ± 2.1 | 1.1 ± 0.8 | |
| Ah (2/10) | 5.9 ± 6.0 | 2.3 ± 1.7 | |
| AhE (1/5) | 8.3 ± 9.0 | 2.1 ± 0.5 | |
| E (2/10) | 1.5 ± 1.2 | 0.8 ± 0.5 | |
| Footslope | Ha (1/5) | 2.4 ± 0.6 | 1.5 ± 0.3 |
| Ah (2/10) | 1.8 ± 0.7 | 1.2 ± 0.5 | |
| AhEtoscl (2/10) | 2.2 ± 2.6 | 1.3 ± 1.5 | |
| Et (3/15) | 2.0 ± 1.6 | 0.9 ± 0.5 | |
Disclaimer/Publisher’s Note: The statements, opinions and data contained in all publications are solely those of the individual author(s) and contributor(s) and not of MDPI and/or the editor(s). MDPI and/or the editor(s) disclaim responsibility for any injury to people or property resulting from any ideas, methods, instructions or products referred to in the content. |
© 2023 by the authors. Licensee MDPI, Basel, Switzerland. This article is an open access article distributed under the terms and conditions of the Creative Commons Attribution (CC BY) license (https://creativecommons.org/licenses/by/4.0/).
Share and Cite
Enchilik, P.; Aseyeva, E.; Semenkov, I. Labile and Stable Fractions of Organic Carbon in a Soil Catena (the Central Forest Nature Reserve, Russia). Forests 2023, 14, 1367. https://doi.org/10.3390/f14071367
Enchilik P, Aseyeva E, Semenkov I. Labile and Stable Fractions of Organic Carbon in a Soil Catena (the Central Forest Nature Reserve, Russia). Forests. 2023; 14(7):1367. https://doi.org/10.3390/f14071367
Chicago/Turabian StyleEnchilik, Polina, Elena Aseyeva, and Ivan Semenkov. 2023. "Labile and Stable Fractions of Organic Carbon in a Soil Catena (the Central Forest Nature Reserve, Russia)" Forests 14, no. 7: 1367. https://doi.org/10.3390/f14071367
APA StyleEnchilik, P., Aseyeva, E., & Semenkov, I. (2023). Labile and Stable Fractions of Organic Carbon in a Soil Catena (the Central Forest Nature Reserve, Russia). Forests, 14(7), 1367. https://doi.org/10.3390/f14071367

