You are currently viewing a new version of our website. To view the old version click .
Forests
  • Article
  • Open Access

2 February 2023

A Functional Trait-Based Approach to Evaluate the Resilience of Key Ecosystem Functions of Tropical Savannas

,
,
and
1
Earth and Life Institute, Université Catholique de Louvain, 1348 Louvain-la-Neuve, Belgium
2
CIRAD UMR SELMET—PPZS, Dakar 6189, Senegal
3
SELMET, Univ Montpellier, CIRAD, INRAE, Institut Agro, 34000 Montpellier, France
4
Département des Sciences Naturelles, Institut des Sciences de la Forêt Tempérée (ISFORT), Université du Québec en Outaouais (UQO), Ripon, QC J0V 1V0, Canada
This article belongs to the Section Forest Ecology and Management

Abstract

The persistence of the woody vegetation of the Sahelian savannas, and their supported ecosystem functions, have been questioned since the great drought of 1970s–1980s. To assess the resilience of this vegetation to drought and grazing, we undertook a trait-based approach using field inventory, historical survey databases, and traits data literature. Using a hierarchical clustering approach, we gathered the species present from 1970 to 2015 into functional groups according to their effect traits related to primary productivity and biogeochemical cycles. First, we studied the evolution of functional redundancy (FRe) and response diversity (RDiv) of the functional effect groups to drought and grazing, two indicators of resilience, since the 1970s. Second, we looked at the spatial variation of these two indices in 2015, according to local topography. FRe and RDiv of 80% of the functional groups examined declined since 1970, endangering the persistence of the studied functions. Local topography strongly influenced current FRe and RDiv, with depressions presenting higher values. Finally, by examining species’ abundances, their regeneration, and the functional group to which they belong, we determined some key species that could benefit from protection to ensure the persistence of the ecosystem functions supported by the woody vegetation. This study has expanded knowledge about the savanna’s response to pressures and has shown how a functional traits-based approach could be an effective tool to guide the management of tropical savannas.

1. Introduction

The savannas cover 15 to 20% of the global land surface [1,2]. In Africa, this biome represents half of the continent [3], while hosting 41% of its rapidly growing human population [1,4]. The dependence of people’s livelihood on woodlands or grasslands is strong in these regions [5]. In the biogeographical region of the Sahel, the annual rainfall of 200 to 600 mm per year is concentrated during the short rainy season from July to September. Land use is mainly pastoral and vegetation is crucial for livestock [6,7]. Sahelian savannas are composed of a grass layer that is largely dominated by annual species, and a sparse perennial woody layer [8]. The key factor determining the density and composition of this vegetation is the water availability. As local topography plays an important role in the rainwater redistribution, relief strongly influences woody vegetation differentiation with different community types being found according to the relief elements [9,10,11].
During the 1970s, the Sahel was struck by a severe drought that lasted over a decade (from 1972 to 1984, period called the “great drought”) [12], which severely affected woody vegetation [13,14]. Indeed, since then, elevated mortality rates of woody vegetation have been reported [15,16,17], as well as changes in species’ diversity [18,19,20,21,22]. The great drought also bring attention to the grazing pressure that drastically increased in the Sahel since the 1950s due to, among other things, the implementation of wells allowing an easier access to water for livestock [23,24]. While some authors considered the overgrazing as a driver for land degradation in drylands [4,25], the effect of pastoralism on Sahelian vegetation is still debated [21,26,27,28].
Since the great drought, vegetation trends have been assessed using field studies [15,21,29], remote sensing [30,31], local knowledge [32], or a combination of these methods [18,20,33]. Although some studies have revealed a greening trend in the Sahel, based on the NDVI time series since the 1980s [31,34,35], this greening is not uniform in space [30], and more importantly, it does not always coincide with a high field vegetation diversity [36]. While the effects of grazing and drought on Sahelian vegetation are difficult to disentangle, these two pressures are expected to increase in the future. Global changes, such as a higher frequency of climate extremes or increasing temperatures, and land use changes put these ecosystems at risk [37,38,39]. Given the importance of woody vegetation in Sahelian ecosystems in water and nutrients cycling, as shade trees or as a sources of fodder and food [40], it is therefore crucial that we understand how this vegetation copes with drought and grazing pressures.
Functional trait-based approaches have been increasingly used as a tool to understand the link between species and ecosystem processes, species’ responses to disturbances, and to assess ecosystem resilience [41,42,43,44,45,46,47,48,49]. Functional traits include morphological, physiological, and phenological features of organisms (i.e., “traits” [50]) that “impact fitness indirectly via their effects on growth, reproduction and survival” [51], and those that influence ecosystem processes [52]. Functional diversity (FD) is therefore commonly defined as “the value and range of the functional traits of the organisms in a given ecosystem” [53]. There are two key functional indicators that play a significant role in maintaining the ecosystem functions in the face of disturbances, and therefore, ensure the ecosystem’s ecological resilience, as defined by Holling [54]. First, the functional redundancy is the “number of species contributing in a similar way to an ecosystem function” [55]. Second, and more importantly, is the response diversity, which can be defined as the “range of reactions to environmental change among species contributing to the same ecosystem function” [45]; or “the diversity of species that can perform similar ecosystem functions but have different capacities to respond to disturbances, imparting greater resilience to the entire system” [47].
One practical consequence of having several species that play a similar function (e.g., fixing nitrogen) within the ecosystem, i.e., a high functional redundancy, is that the loss of one species will not result in the loss of the function [56]. Yet, functionally redundant species could react in the same way to a disturbance (for instance, they could all be sensitive to drought). In that case, they might all decrease or even disappear consequently to a change such as a drought. In that situation, the ecosystem processes (e.g., the nitrogen cycle) will be affected. For the desired effects (fixing nitrogen) to be maintained, it would have required a different response pattern between these redundant species (e.g., a more drought-resistant species among the N-fixers), i.e., a high response diversity. An ecosystem with species that perform similar functions but respond differently to disturbances will have a greater ecological resilience [47,57].
It is now widely acknowledged that species contribution to ecosystem functions depends on species’ traits and that ecosystem functioning can be assess via functional groups [42,58,59,60]. Given the uncertainties regarding the Sahelian ecosystem’s resilience and the very few studies using a traits-based approach in tropical dry biomes [2], we propose here a functional trait-based approach to assess the resilience of the woody vegetation in a Sahelian savanna, an ecosystem under sylvopastoral management. To our knowledge, this is one of the first studies to (i) deal with the functional diversity of Sahelian vegetation and (ii) show how this functional approach can be used to guide the management of tropical savannas. Resilience is here viewed as the capacity of woody vegetation to maintain two ecosystem functions, i.e., the primary productivity and biogeochemical cycling that underpin many ecosystem services, in the face of two pressures, i.e., drought and grazing, which are important ecological filters of the studied zone and have increased in these last decades. The functional redundancy and the response diversity of woody vegetation to drought and grazing are used as resilience indicators. In this study, we investigated three questions. First, how the functional redundancy and functional response diversity of woody communities to drought and grazing have changed since 1970, before the great drought of 1972–1984. We hypothesize that both indicators have decreased since 1970. Second, how the local topography currently influences these two indicators. As local topography strongly influences woody vegetation species’ richness and density [11], we assume that topographical depressions will present higher functional redundancy and response diversity. Third, we discuss how we can ensure the persistence of the studied functions based on species trajectory since 1970, their current abundances and regeneration status.

2. Materials and Methods

2.1. Study Area

Our study area was located in the northern sandy sylvopastoral ecoregion of Senegal [61], otherwise known as the Ferlo (Figure 1a). This region presents a typical Sahelian climate with a mean annual rainfall of 300 mm for the period 1940–2015 [28,62] (Figure 2a). Within the Ferlo, the study area (68 km × 55 km) is centered on two deep wells: Widou Thiengoly (15.99° N, 15.32° W) and Tessékéré (15.85° N, 15.06° W). The vegetation formation is an open savanna with a relatively low woody cover (6.5%, Figure 1b,c) [11]. The major landform of the study area is composed of a succession of sand dunes and plains of 10 to 30 m high and 0.5 to 5 km wide [16]. Within these dunes and plains, the differences in elevation of several meters locally form toposequences. This local topography (hilltops and depressions, some of them turning into temporary ponds during the rainy season, Figure 1c) plays an important role in the vegetation differentiation [11].
Water supply is the key factor that has ruled the annual mobility of pastoralists for decades. Prior to the 1950s, pastoralists practiced annual transhumance, occupying the lands inside the Ferlo during the rainy season, and moving during the dry season to wetter areas [63]. After the discovery of the Maastrichtian aquifer in the 1950s, many deep wells were implanted in the Ferlo, such as Widou Thiengoly and Tessékéré in 1956 [64]. This permanent access to water had several consequences, such as the modification of the mobility patterns [64,65] and an increase in livestock [16], which led to a higher grazing pressure on vegetation.
Figure 1. The sandy sylvopastoral region of Senegal (Ferlo). (a) Plots inventoried in 2015 by Dendoncker and Vincke [11], and subset of the Flotrop database [66] in the study area. (b,c) UAV photographs of the savanna near Widou Thiengoly, during the dry season (in May), (b) and during the rainy season, at the same location, ((c) in August). Topographical depressions are particularly visible during the dry season (areas with trees clustering).
Figure 2. Rainfall in the study area from 1940 to 2015. (a) Annual rainfall (mm) [28,62]. Dashed green line represents the long-term mean and grey dashed lines represent the quantiles of the distribution. (b) Number of rainy days (>1 mm; computed from the Agrhymet—IRD database). Dashed line represents the long-term mean.

2.2. Determining Species’ Abundances from 1970 to 2015

In 2015, we inventoried 139 plots of 0.25 ha each [11,67] (Figure 1a). The location of plots followed a stratified sampling according to the local topography and the distance to the two deep wells. In each plot, every woody individual was recorded. Regeneration (i.e., the individuals with a circumference below 10 cm measured at 30 cm from ground level) [17] was also counted. For each individual, we recorded the species and measured both its circumference at 30 cm from ground level and its crown diameter in two perpendicular directions.
Historical surveys with species’ composition before and during the great drought were extracted using FLOTROP, a vegetation database of plant observations from several contributors conducted in northern tropical Africa between 1920 and 2012 [66]. We selected the records located within an area of a 20 km radius around the deep wells of Widou Thiengoly and Tessékéré (Figure 1a). A total of 143 records were selected, dating from 1970 to 1984 and for which Braun-Blanquet cover scores were available for each species. In total, 39 woody species were recorded in our study area between 1970 and 2015 (Supplementary File S1).
First, the different scores of Braun-Blanquet were transformed into a cover percentage using the midpoint of cover range. For instance, the score “2” that corresponds to a cover range of 5–25% was replaced by 15% [68]. Then, the raw abundances of the Flotrop subset and of the 2015 inventory were transformed into relative abundances by dividing each abundance by the sum of the individual abundances in each sampling plot [19]. Then, according to the evolution of species’ frequency through time, each species was classified as “decreasing” (relative difference > −30%), “increasing” (relative difference > +30%), or “stable”. Species with very few occurrences were classified as rare, as drawing conclusions about their trend based only on a few records would have been biased. This classification indicates the “dynamic status” of the species [19].

2.3. Trait-Based Approach

2.3.1. Selecting Response and Effect Traits

We were interested in two key environmental disturbances that influence woody vegetation in our study area: grazing by livestock and drought. Both pressures have increased from the last decades. Grazing by livestock includes all the removal of woody plant parts by grazers and browsers. It can affect the woody vegetation by damaging adult trees or regeneration. Livestock has significantly increased since the beginning of the 20th century [69], though the censuses are rare and difficult in this pastoral area. Miehe et al. [28] estimated the cattle to 9000 heads and sheep and goats to 18,000 heads within an area of 15 km around Widou Thiengoly. In the same area, Assouma [70] recorded in 2014 an annual mean of 14,000 cattle, 33,000 sheep, and 17,000 goats, though these numbers vary during seasons. Droughts, i.e., water shortage, are part of the system in this semi-arid zone, first as the annual dry season that lasts up to 9 months and second as a climatic risk given the high inter-annual variability of precipitations. We do not differentiate between droughts due to climate change or other causes, or drought lasting one year or longer. In the study area, we observed an increase in aridity as the number of rainy days (days with an amount of rainfall above 1 mm) decreased since 1940 (Figure 2b). As for annual rainfall, Cornet [71] classified the years according to the distribution quantiles. In Widou Thiengoly, between 1972 and 1984, ten years are categorized as in deficit or high deficit (Figure 2a).
Primary productivity and biogeochemical cycling are the two functions studied. The primary productivity function underpins provisioning services (such as wood or fodder) and is linked to the regulating service of carbon sequestration (through the production of wood and litter). The biogeochemical cycles function (decomposition, mineralization, and mobilization of elements) underlies some key regulating services, such as soil fertility [37]. These two functions are often studied in research that deals with functional diversity and ecosystem functioning, e.g., [72,73,74].
The list of studied traits (Table 1) was established by searching for plant features related to the response to the two studied pressures (i.e., “response traits”) and/or having an effect on the two studied functions (i.e., “effect traits”). The study by Cornelissen et al. [75] was used as a reference to establish a first list, which was further expanded through a wider literature review using flora, TRY database [76], and journal articles (see Supplementary Files S2 and S3 for the traits data sources). For some traits, we completed the matrix according to our field knowledge as in Burke, Schmidt et al., and Walker et al. [77,78,79]. We created the following sets of traits (Table 1 and Supplementary File S4 for the definition of each trait): (i) response traits to grazing: digestible proteins, dispersal mode, leaf phenology, maximum height, resprouting capacity, and spinescence; (ii) response traits to drought: bark thickness, growth form, leaf area, leaf persistence, leaf phenology, root suckering capacity, resprouting capacity, specific leaf area, seed weight, presence of a taproot, vessel area, and wood density; (iii) effect traits on primary productivity: growth form, leaf area, leaf N content, maximum height, specific leaf area, and wood density; and (iv): effect traits on biogeochemical cycles: growth form, leaf area, lea persistence, leaf phenology, leaf N and P content, maximum height, N fixing capacity, resprouting capacity, specific leaf area, and wood density.
Table 1. List of the selected traits presented in different categories according to what part of the plant they describe. The “Completeness” column indicates in percent for how many species, among the 39 considered, the trait values were found. The last column indicates in which response and effect sets the traits were used (Dr: response to drought, Gr: response to grazing, Pp: effect on primary productivity, and Bc: effect on biogeochemical cycles).
The trait values of the 39 species present within the area between 1970 and 2015 were presented in a large matrix, where we noted the source for each record (Supplementary File S1). For some of the traits that were found to be linked to the disturbances and functions, data were largely missing for our species list. They were therefore discarded from the trait-based approach (see Supplementary File S2). We kept the traits for which we managed to have the attributes for at least 60% of the species list (i.e., for 23 species out of 39). Exceptions were made for the SLA (41% of species) and the presence of a taproot (46% of species). The SLA is a key trait mentioned in many studies that deal with FD and ecosystem functioning [80], and the presence of a taproot was the only trait that gave information about rooting depth.

2.3.2. Functional Groups (FGs), Functional Redundancy (FRe), and Response Diversity (RDiv)

Considering all the species present within the study area from 1970 to 2015 together, we classified them into functional effect groups (FGs) based on the two sets of effect traits (FG for primary productivity and FG for biogeochemical cycling). We first performed Principal Coordinates Analysis (PCoA) on the two sets of effect traits, using Gower’s distance [81], with traits contributing with equal weight, to take into account the several types of traits (continuous, categorical, and binary). This methodology to deal with the different format of traits is proposed by Laliberté and Legendre [55]. We determined which traits contributed the most to the PCoA axes using linear regressions between species’ axes coordinates and species’ trait values (for continuous traits) and ANOVA, to compare mean axes coordinates for each category of categorical traits. Ward’s hierarchical clustering [82] was applied to form the groups, following Laliberté et al. [73]. The number of FGs was determined by cutting the dendrogram using the first or second division to form groups with approximately the same number of species. Two FGs were created for primary productivity and three for the biogeochemical cycles.
We then considered each of the woody communities studied (143 from 1970 to 1984, and 139 in 2015) and we computed two indices: functional redundancy (FRe) and response diversity to drought or grazing (RDiv), following the methodology of Laliberté et al. [73]. FRe is the number of species from each functional group that are present in each community (Figure 3a). For one FG of one community, RDiv is the functional dispersion index (FDis) [55] of the species belonging to this FG that is present in the community. FDis is measured in the response traits functional space-based on response traits (Figure 3b) [41,73]. FDis was unweighted by species’ abundances because minor species may contribute substantially to resilience as suggested by [79]. That means that the computation of the index assumes communities have species with equal abundances. For each community (i.e., each inventory plot and each Flotrop survey), we therefore have five values of FRe (one for each FG of the two functions), four RDiv values for primary productivity (one for the two FGs and for the two pressures) and six RDiv values for biogeochemical cycles (three FGs × two pressures). All our analyses were performed in R software using the following packages: cluster, labdsv, FD, stats, and vegan.
Figure 3. Computation of functional redundancy and response diversity for a fictive community containing 19 species, represented by points, squares, and diamonds. (a) The species are represented in the functional space created with effect traits (e.g., PCoA on the distance matrix based on effect traits). We distinguish three fictive functional effect groups. Functional redundancy (FRe) is defined as the number of species within each group. (b) The same species are represented in the functional space created with response traits (e.g., PCoA on the distance matrix based on response traits). Response diversity (RDiv) is assessed by the functional dispersion (FDis) of each functional effect group, calculated in the functional space created by response traits (FDis can be approximated by the mean distance to the center of the polygons). Response diversity of the fictive FG3 is inferior to the response diversity of FG1 and of FG2. We note that, while FG1 has a lower functional redundancy, it possesses a higher response diversity than FG3.
A high RDiv means a high dispersion in the response traits space and species, presenting a wide variety of responses to pressures. High RDiv therefore ensures the persistence of the functional group under intensified pressures [47]. For a given FG, a decrease in RDiv through time indicates that species within the group are now responding more similarly to pressures. This makes the FG more at risk of disappearing under intensified pressure and therefore indicates a loss of resilience within the group [73].
As communities in the study area generally present a low species richness [11], the partition into groups increases the probability of having communities with no species for one of the functional groups, which would make the computation of FDis impossible. To overcome this difficulty, we kept the number of FGs to a minimum (two or three). In addition, we assigned an RDiv value of zero to sampling plot with no species. RDiv is also equal to zero for communities with one species. As indices between effect groups must be compared, we used the first two axes of the PCoA on the response traits involving all species (and not only the ones belonging to the considered group) as new traits to compute RDiv for each group. This way the differences between species considered are retained between effect groups.
The changes in FRe and RDiv of woody communities from 1970 to 2015 (our first research question) were investigated by considering three periods. The first period includes the communities from before the great drought (we chose the year 1972 as the beginning of the drought, as it was the first year presenting a severe deficit in precipitation within the study area); the second period is during the great drought (1972–1984); and the third period is after the great drought (2015). We chose to conduct our analyses according to this temporal framework because the great drought of 1972–1984 is an extreme event (by its duration and intensity) that highly affected Sahelian ecosystems. However, we are not assuming that all the observed changes are direct consequences of this drought. We then compared FRe and RDiv per period using ANOVA and Tukey test. To study the influence of local topography on FRe and RDiv of the communities in 2015 (our second research question), these two indicators were compared for communities located on hilltops vs. in depressions, using Wilcoxon tests. It was not possible to do the same for historical field surveys, as we did not have the topography information.

2.4. Persistence of the Studied Functions

To tackle the question of the persistence of woody communities and the maintenance of the studied functions (primary productivity and biogeochemical cycles) through time, we will focus on the most abundant species within the current ecosystem. Indeed, the most abundant species have the most important effect on the ecosystem [79]. We considered the species that present an Importance Value Index (IVI) [83] above 5% in the inventory of 2015 [11], separating hilltops and depressions. The IVI expresses the species’ ecological importance by combining three parameters: species relative density, relative frequency, and relative dominance (based on crown cover).
For these species, we examined three parameters: first, their belonging to the FGs created to see if all FGs are currently represented by abundant species; second, their dynamic status to check the trajectory of species’ population (see Section 2.2) [19]; and third, the state of species regeneration in 2015 (numerous/moderate/low/absent) [11]. Based on these three parameters, we identified species whose protection would ensure the persistence of each functional group and therefore the studied functions.

3. Results

3.1. Functional Groups

Ward’s hierarchical clustering on the effect traits formed two FGs for primary productivity, FG-pp1 and FG-pp2, containing 19 and 20 species, respectively (Figure 4a). The corresponding PCoA (Figure 4b) shows that species are separated by the first axis, which expresses the maximum height and the leaf nitrogen content. The second axis is mainly influenced by the wood density, the leaf nitrogen content, and the leaf area. The first functional group of primary productivity (FG-pp1) includes bushes and shrubs with a higher leaf N content (e.g., Boscia senegalensis (Pers.) Lam. ex Poir, Acacia senegal (L.) Willd.) than the species of the second FG (FG-pp2), containing only trees (e.g., Acacia seyal Del., Acacia tortilis subsp. raddiana (Savi) Brenan, Balanites aegyptiaca (L.) Del., Sclerocarya birrea (A. Rich.) Hochst).
Figure 4. FG for primary productivity (FG-pp; a,b) and for biogeochemical cycles (FG-bc; c,d). (a,c) Dendrogram of the hierarchical classification (using Ward’s method) (a) for primary productivity and (c) for biogeochemical cycles. (b,d) Principal Coordinates Analysis of (b) primary productivity effect traits and (d) biogeochemical cycles effect traits. Traits that significantly influence the axes are indicated in italics, on the respective sides of the axes. Shapes refer to the “dynamics status” of species and colors refer to the functional groups. For the sake of clarity, we only labeled the stable/increasing and decreasing species. See Table 2 for abundant species acronyms and Supplementary File S1 for the complete list.
Three FGs were created for the biogeochemical cycles; FG-bc1, FG-bc2, and FG-bc3, containing 14, 14, and 11 species, respectively (Figure 4c). The traits responsible for this clustering are leaf phenology, nitrogen fixation capacity (both axes, Figure 4d), height, resprouting capacity (first axis), and leaf nitrogen and phosphorus content (second axis). Small deciduous species that present a high leaf nitrogen and phosphorus content and with generally the ability to fix nitrogen form the first FG (FG-bc1, e.g., Grewia bicolor Juss., Commiphora africana (A. Rich.) Engl, Acacia senegal). Taller deciduous species, though with a longer leafing period than the species from the first FG, are in the second FG (FG-bc2, e.g., Adansonia digitata, Acacia seyal, Sclerocarya birrea). Mostly evergreen or semi-evergreen non-fixer species (e.g., Balanites aegyptiaca, Boscia senegalensis), except for Acacia tortilis, which is a nitrogen fixer, make up the third FG (FG-bc3). While FG-bc3 is mainly composed of abundant and stable species, FG-bc1 and FGbc2 contain mostly rare and decreasing species.

3.2. Functional Redundancy and Response Diversity from 1970 to 2015

The overall pattern of functional redundancy (FRe) from before to after the great drought highlights a decrease in the mean FRe for the two functions in all functional groups (Figure 5). For the primary productivity, the mean FRe of FGpp1 declined directly after the great drought, from 2.7 to 1.4 species per FG, before stabilizing in 2015. For FGpp2, the fall is marked from the second to the third period, from a mean redundancy of 2.5 in 1970–1971, to 2.3 in 1972–1984, and finally, to 1.6 in 2015. For biogeochemical cycles, the mean FRe of FGbc1 and FGbc2 show a continuous decrease from 1970 to 2015. They shift from 1.4 (1970–1971) to 0.5 (1972–1984) to 0.3 (2015) for FG-bc1 and from 1.3 to 1 to 0.6 for the same time period for FGbc2. The mean FRe for FG-bc3, while decreasing from 2.5 (1970–1971) to 2.1 (1972–1984), presents a stabilization after the great drought.
Figure 5. Evolution of FRe and RDiv to drought and grazing, for primary productivity (FG-pp) and biogeochemical cycles (FG-bc) (n = 282 plots; 78 in 1970–1971, 49 in 1972–1984, and 139 in 2015). The means are represented by the squares. The letters indicate the differences according to the Wilcoxon’s pairwise tests (p < 0.05) within each group. The numbers on the two FRe plots indicate the number of records with no species for each FG and each period.
The evolution of response diversity follows more or less the same pattern for all FGs, regardless of the effect or response set (Figure 5). The RDiv to drought for the five FGs presents a decline during the great drought, followed by a stabilization, except for FGpp2, whose RDiv continues to decrease after the great drought. The mean RDiv shifts from 0.94 (1970–1971) to 0.37 (2015) for FGpp1 and from 1.2 (1970–1971) to 0.6 (2015) for FGpp2. For biogeochemical cycles, the mean RDiv of FGbc1 and FGbc2 is close to zero after the great drought.
The RDiv to grazing presents the same trends as the RDiv to drought with two exceptions: FGpp2, for which the decrease stops between 1972–1984 and 2015, and FGbc3, for which the mean RDiv does not change from 1970 to 2015.

3.3. Influence of Topography on Functional Redundancy and Response Diversity in 2015

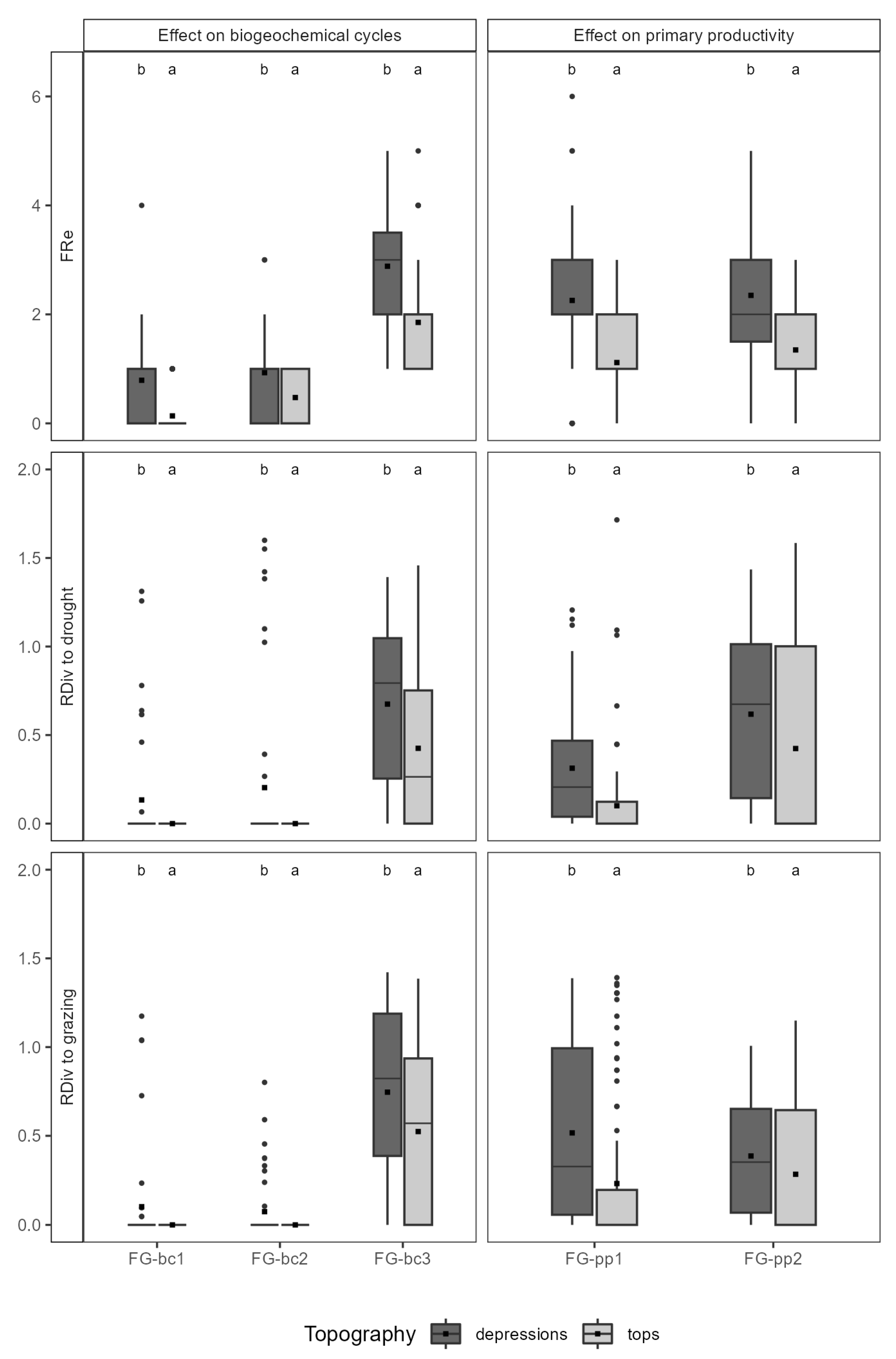
When considering the topography, depressions present the highest FRe for all FGs (Figure 6). The balance between the two FGpp is maintained on each topographic element (FRe of 2.2 for FGpp1 and 2.3 for FGpp2 in depressions; 1.1 for FGpp1 and 1.3 for FGpp2 on hilltops). Large differences were found between the FRe of biogeochemical cycles FGs. FGbc3 is the group with a higher FRe for both topographic elements (2.9 and 1.8 for the depressions and hilltops, respectively). FGbc1 presents a mean FRe that is close to zero for the communities located on hilltops.
Figure 6. FRe and Rdiv to the two pressures for primary productivity (FG-pp) and biogeochemical cycles (FG-bc), according to the topography (n = 139 plots). The means are represented by the squares. The letters indicate the differences between topographic elements according to the Wilcoxon’s tests (p < 0.05).
The mean RDiv of each FG (regardless of the set of traits) is significantly lower on the hilltops compared to depressions (Figure 6). For the primary productivity function, the RDiv levels across groups change according to the response set considered. The RDiv to drought is higher in FGpp2 (0.62 and 0.42 for depressions and hilltops, respectively) than in FGpp1 (0.31 and 0.10). The trend is reversed for the response to grazing, with a higher mean RDiv in FGpp1 than FGpp2. For the biogeochemical cycles function, the mean RDiv for the two responses in FGbc3 is highly superior to the RDiv of FGbc1 and FGbc2, whose values are near zero in depressions and equal to zero on hilltops.

3.4. Persistence through Time of the Studied Functions

The Importance Value Index, regeneration status [11], dynamic status [19], and functional groups created in this study for the currently abundant species are summarized in Table 2. For the two FGs related to the primary productivity, the repartition of the number of dominant species on hilltops is comparable to that in depressions. That means that the effects of both FGs are abundantly expressed in communities and, as there are stable species that present a high regeneration rate, the future of the two FGs is guaranteed.
Table 2. Key indicators of the dominant species (IVI > 5%) and minor species (1% < IVI < 5%) on hilltops and in depressions. The columns “FGpp” and “FGbc” indicate the functional group of the primary productivity and the biogeochemical cycles functions, respectively. Dynamic status highlights the species trajectory from 1970 to 2015 [19].
For the three FGs related to the biogeochemical cycles, the situation is quite different. The distribution of species among the three FGs is more unbalanced. Within the communities on hilltops, four species among the five presenting an IVI above 5% belong to FG-bc3. Sclerocarya birrea is the only representative of FG-bc2. The effects of FG-bc3 and FG-bc2 are well-expressed in the current ecosystem on hilltops, given the relatively high IVI of the species; however, we note that FG-bc1 is not represented at all on hilltops among the abundant species. In communities located in depressions, FG-bc3 is well-represented by four species and FG-bc2 by two species (Sclerocarya birrea and Acacia seyal). Contrary to the hilltops, there is one abundant species (Grewia bicolor) belonging to FG-bc1.
As FG-bc3 is constituted of abundant, stable, or increasing species with a high density of regeneration, the persistence of this group is ensured, for both topographic elements. On hilltops, the persistence of FG-bc2 is likely at risk given the certain decline of Sclerocarya, identified as decreasing since 1970 and with no regeneration in 2015. In depressions, FG-bc2 could be maintained by the presence of Acacia seyal if Sclerocarya birrea disappears. Indeed, although Acacia seyal has a smaller IVI (5%), it still presents saplings, thus ensuring the renewal of its population. However, the persistence of the effect for FG-bc1 is threatened, as Grewia is decreasing and has a low regeneration rate.

4. Discussion

In this study, we addressed the question of the resilience of Sahelian woody vegetation, defined as its capacity to maintain two functions (primary productivity and biogeochemical cycles) under grazing and drought pressures. We used functional redundancy and response diversity as resilience indicators and studied how they have changed since 1970 and how they are currently varying according to local topography. Finally, we assessed how the studied functions persist in the ecosystem.

4.1. Evolution of Functional Redundancy and Response Diversity from 1970 to 2015

Two functional groups were created for the primary productivity function and three for the biogeochemical cycles. Some species belonging to the same group for one function are not necessarily in the same FG for the second function studied. For instance, Acacia senegal and Boscia senegalensis can be associated with the primary productivity function, but not when it comes to biogeochemical cycles. It is the same for Balanites aegyptiaca and Sclerocarya birrea; they are grouped together for the primary productivity but not for the biogeochemical cycles. This outlines the advantage of considering two functions when analyzing the functioning of species and their effect on ecosystems. Indeed, focusing on a single set of effect traits would have led to different conclusions about the evolution of FRe and FDiv and would have brought less information about the different ecosystem functions. Dieme et al. [84] also classified nine species (and among them five are common to our study) of an agroforestry system in Senegal in four functional groups according to their response to water stress. However, comparisons with our data are not relevant as they formed functional response groups.
From 1970 to 2015, the mean functional redundancy of FGpp1, FGpp2, and FGbc3 decreased during or after the great drought, and then stabilized from 1972–1984 to 2015. However, the mean FRe of FGbc1 and FGbc2 continued to decline during the last two periods. The RDiv to grazing and drought also showed a decrease from 1970 to 2015 for all FGs but one (FG-bc3). As the RDiv reached very low values immediately after the great drought for the biogeochemical cycles function, it shows that the functional effect groups are in fact also functional response groups, and that the great drought acted as an important filter in the selection of species. The limit between effect and response traits is not always as clear, and numerous traits can be classified in both categories [59]. Indeed, a Principal Component Analysis (Supplementary File S5) on the coordinates of the first two dimensions of the PCoA on the two sets of response traits and the two sets of effect traits confirmed that the axes of the PCoA on drought response traits are highly correlated to the first two axes of PCoA on biogeochemical cycles. In a Mediterranean dryland, Nunes et al. [85] showed that aridity influenced functional traits, such as the maximum height, favoring species with a lower height and decreased functional dispersion for several traits, such as specific leaf area and dispersal strategy. Here, we observed a decrease in the functional dispersion (response diversity) of several traits taken together, including these two. Even if the methodology is different, it seems that our results are in line with this study. One of the rare studies focusing on FD in African drylands, [86] reported similar findings to ours in the dry forests of the Sudano-Guinean zone in West Africa. They found a decrease in the functional dispersion (FDis) and a homogenization of communities over these last three decades.
As we used response diversity as an indicator of the resilience of the functional groups [45], we can state that the resilience of all groups has eroded since the great drought. Oliveira [87] showed that communities in drier sites along an aridity gradient in a South American dry forest presented a smaller functional redundancy and are therefore less resilient, which is supported by our results. Several research studies have shown the negative effects of the great drought on woody populations in terms of density and species’ composition [15,21,29,88]. Here, we confirmed that the observed trends are also echoed at the functional level. As the Sahelian flora is rather poor [16], it is not surprising to observe repercussions of the loss of species on the ecosystem’s functioning. As we assumed that grazing intensity has increased from before the great drought, the reduction in response diversity observed here supports the finding of Chillo et al. [25], who found a decrease in the functional diversity of vegetation under increase grazing intensity in drylands. Similarly, Maestre et al. [89] found that ecosystem services decrease under higher grazing intensity in warm drylands that present low species richness.

4.2. Persistence of the Ecosystem Functions

The PCoA for primary productivity shows that there are species that were identified as “stable” from 1970 to 2015 in both functional groups (FG-pp1 and FG-pp2). Stable species cover a large part of the functional space represented by the first two PCoA axes, meaning that the majority of the effect components are still maintained in the current ecosystem (Figure 4b). We can therefore assume that the woody vegetation of 2015 still presents these two main aspects of the function while losing some “minor” functions (due to decreasing species) along the continuum of these effects. For the biogeochemical cycles, abundant and/or stable species are not equally present among the three FGs. Stable species are mainly located in the top right corner of the first two dimensions of the PCoA for biogeochemical cycles (Figure 4d). FG-bc1 contains small deciduous species (e.g., Grewia bicolor and Acacia senegal), which are all rare or decreasing. FGbc2 contains tall deciduous trees such as Sclerocarya birrea, Acacia seyal, and Adansonia digitata L., the only stable species in this FG. FGbc3 includes the most abundant species in the ecosystem of 2015, such as Balanites aegyptiaca, Boscia senegalensis, and Acacia tortilis.
For a group to persist through time in a changing environment, response diversity is crucial, as it expresses the capacity of a species within one functional effect group to respond differently to pressures. A high functional redundancy increases the probability of having a high response diversity but does not always ensure it. The current RDiv presents the same patterns as the FRe. FGpp1 and FGpp2 show a relatively high RDiv, potentially ensuring higher resistance to the two studied pressures. However, for the biogeochemical cycles function, FGbc1 and FGbc2 present an RDiv close to zero for the two pressures, which means that these groups are more at risk of extinction as a result of these pressures.
These observations must be analyzed while considering local topography, which, as we have shown, strongly influences both FRe and RDiv. Depressions host communities that usually present a higher FRe and RDiv than the communities located on hilltops. Despite a low mean RDiv for FG-bc1 and FG-bc2, there are still some depressions that show high RDiv values (Figure 6). The range of RDiv values for communities in depressions is much wider than for the communities on hilltops. Recent field inventories have revealed that the flora is very diverse among depressions whereas among hilltops, the flora is more homogeneous [11,90].
The intensity of drought and grazing pressures is probably different according to local topography as well. For instance, we assume that grazing intensity is higher in depressions as these areas, while scarce, are attractive to livestock due to the presence of tall shade trees, temporary ponds, and a grass layer that stays green during a longer period. Therefore, the environmental filters that select species are not the same for depressions as for hilltops. Local topography has been shown to strongly influence woody vegetation dynamics in terms of density and species’ composition in the Ferlo [9,11,17,21]. Here, we showed that this variation of botanical composition is reflected at the functional level, with strong variation in FRe and RDiv among communities on hilltops and in depressions. These differences among communities according to local topography partially explain why the ranges of FRe and RDiv in the temporal analyses are so wide.
Based on the key indicators presented in Table 2, we showed that FG-bc1 and FG-bc2 were at risk on both topographic elements given the uncertain future of some currently abundant species belonging to these groups. We can therefore identify three species (Acacia seyal, Grewia bicolor in depressions, and Sclerocarya birrea on hilltops and in depressions) that are currently abundant within the study area to target for protection. Their maintenance would guarantee the persistence of the effects provided by FG-bc1 and FG-bc2, as they are the only representatives of these groups. In addition, the protection of minor species, though not rare (IVI between 1% and 5%, Table 2), could reinforce the persistence of these two groups. On hilltops, Adansonia digitata, Acacia senegal, and Grewia bicolor could be protected as they belong to FG-bc2 and FG-bc1. In depressions, Acacia nilotica (L.) Willd. Ex Del. and Acacia senegal are potential targets as well, for the persistence of FG-bc2 and FG-bc1, respectively.

4.3. Strengths and Limitations of the Methodological Approach

The first strength of this study is that it takes into account all the woody species and their abundances (through the analysis of abundant species in Section 4.2). which has allowed us to focus on the two types of effects that biodiversity has on ecosystem functioning: the mass ratio effects and the richness effects [91]. The mass ratio hypothesis states that the influence of a species on an ecosystem’s functioning is directly proportional to its biomass [92], which suggests that the dominant species are the major drivers of ecosystem functioning. On the other hand, the richness effects are the consequences of the subordinate species. Second, as we valorized the historical survey data, it allowed us to cover a long-time span. Third, the method used to gather traits data from the literature is easily reproducible for other traits and species. Finally, it is quicker and more global than an experimental approach where indicators of functions would have had to be measured (for instance, measure soil nutrient content under and outside the canopy to quantify the biogeochemical cycles). The relative effectiveness of our approach has allowed us to simultaneously study several responses to disturbances and functions, which was relevant since the patterns in current and past FDs were quite different among these response and effect sets.
Nonetheless, our approach presents several limitations, which can be classified into two categories: trait values and inventory data (species’ abundances). The first category concerns the trait values and highlights three issues. First, despite the selection of traits widely used in ecology, data are frequently missing, particularly for species of lesser interest at a global scale and/or for rare species. Second, the traits exhibit intra-specific variations [50,51], for instance, according to environmental gradients [47] or to life stage [93]. The consequence is that the values collected from the literature might not be suited for the environmental conditions of our study area. Third, the reliability of the literature data is not always certain. Due to many missing data in the TRY database, we had to consult other, perhaps less reliable sources. As we noted that there is missing data for many species (especially minor species), we encourage researchers who collect plant traits to record them in online databases such as TRY, and we support the continued open access to these data. Additional field measurements are also necessary to evaluate intraspecific variations of key traits. The second limitation category is the accuracy of the abundance data. Indeed, FLOTROP is a collection of different data sources all using different methodologies and sampling strategies, in addition to often imprecise location information. The integration of the information from the FLOTROP database into our analyses assumes that the intensity of sampling is the same as that for 2015. As the exact methodologies of FLOTROP surveys are unknown, we are not able to either confirm or refute this hypothesis when we take a glimpse at the temporal evolution of FD.

5. Conclusions

In this study, we undertook a trait-based approach in a Sahelian sylvopastoral region of Senegal to assess the ecological resilience of woody communities, i.e., their capacity to maintain two ecosystem functions (primary productivity and biogeochemical cycles) when facing drought and grazing pressures. To our knowledge, it is one of the first pieces of research that deals with the functional diversity of Sahelian woody vegetation. This study therefore increases the knowledge about the functioning of the dryland’s ecosystem, which is likely to be altered by climate change [39]. The two indicators of resilience considered here, functional redundancy and response diversity, have decreased since 1970 for all but one of the functional effect groups created. However, current woody communities show variations in functional redundancy and response diversity according to local topography, with depressions showing higher values of these two indicators. The analysis of the different functional groups, combined with indicators of the species’ trajectories since 1970, current abundances, and regeneration, allowed us to make management suggestions (by identifying species to protect in each functional group) to maintain the two key ecosystem functions in this tropical savanna.

Supplementary Materials

The following supporting information can be downloaded at: https://www.mdpi.com/article/10.3390/f14020291/s1, Supplementary File S1: matrices of (1) traits data and (2) species’ abundances; Supplementary File S2: literature sources for response and effect traits; Supplementary File S3: literature sources for traits data collection; Supplementary File S4: definition of traits used in the study; Supplementary File S5: Principal components analysis on the coordinates of the first two dimensions of the PCoA on the three two sets of response traits and on the two sets of effect traits. References [94,95,96,97,98,99,100,101,102,103,104,105,106,107,108,109,110,111,112,113,114,115,116,117,118,119,120,121,122,123,124,125,126,127,128,129,130,131,132,133,134,135,136,137,138,139,140,141,142,143,144,145,146,147,148,149,150,151,152,153,154,155,156,157,158,159,160,161,162,163,164,165,166,167] are cited in Supplementary Materials.

Author Contributions

Conceptualization, M.D., S.T. and C.V.; methodology, M.D., S.T. and C.V.; software, M.D. and S.T.; validation, M.D., S.T. and C.V.; formal analysis, M.D. and S.T.; investigation, M.D.; resources, M.D., S.T. and C.V.; data curation, M.D.; writing—original draft preparation, M.D.; writing—review and editing, M.D., S.T., C.M. and C.V.; visualization, M.D.; supervision, C.V.; project administration, C.V.; funding acquisition, M.D., S.T. and C.V. All authors have read and agreed to the published version of the manuscript.

Funding

This research was partially financed by the Carbon Sequestration and Green-house Gas Emissions in (Agro) Sylvopastoral Ecosystems in the Sahelian CILSS States (CaSSECS) project, supported by the European Union under the Development Smart Innovation through Research in Agriculture (DeSIRA) Initiative. Its content is the sole responsibility of the authors and can in no way be taken to reflect the position of the European Union. Fieldwork was funded by the Pôle Pastoralisme et Zones Sèches (PPZS, Dakar, Senegal). M. Dendoncker’s PhD was financed by the FRIA grant (C.F. 1.E002.16) of the Fonds de la Recherche Scientifique (FNRS, Brussels, Belgium).

Data Availability Statement

Traits data and species’ abundances data are available in Supplementary File S1. Inventory data are available on Zenodo (https://doi.org/10.5281/zenodo.7041353 (last accessed on 29 January 2023)). Climate data come from: the Agrhymet—IRD database, from the grazing trial of [28] and from [62].

Acknowledgments

We are grateful for the English editing made by Lana B. Ruddick.

Conflicts of Interest

The authors declare no conflict of interests.

References

  1. Reynolds, J.F.; Maestre, F.T.; Kemp, P.R.; Stafford-Smith, D.M.; Lambin, E. Natural and Human Dimensions of Land Degradation in Drylands: Causes and Consequences. In Terrestrial Ecosystems in a Changing World; Canadell, J.G., Pataki, D.E., Pitelka, L.F., Eds.; Springer: Berlin/Heidelberg, Germany, 2007; pp. 247–257. [Google Scholar]
  2. Pennington, R.T.; Lehmann, C.E.R.; Rowland, L.M. Tropical savannas and dry forests. Curr. Biol. 2018, 28, R541–R545. [Google Scholar] [CrossRef] [PubMed]
  3. Osborne, C.P.; Charles-Dominique, T.; Stevens, N.; Bond, W.J.; Midgley, G.; Lehmann, C.E.R. Human impacts in African savannas are mediated by plant functional traits. New Phytol. 2018, 220, 10–24. [Google Scholar] [CrossRef] [PubMed]
  4. Mirzabaev, A.; Wu, J.; Evans, J.; Garcia-Oliva, F.; Hussein, I.A.G.; Iqbal, M.H.; Kimutai, J.; Knowles, T.; Meza, F.; Nedjraoui, D.; et al. Desertification. In Climate Change and Land: An IPCC Special Report on Climate Change, Desertification, Land Degradation, Sustainable Land Management, Food Security, and Greenhouse Gas Fluxes in Terrestrial Ecosystems; Shukla, P., Buendia, E.C., Masson-Delmotte, V., Pörtner, H.-O., Roberts, D., Slade, R., Connors, S., van Diemen, R., Ferrat, M., et al., Eds.; IPCC: Geneva, Switzerland, 2019; pp. 249–343. [Google Scholar] [CrossRef]
  5. FAO. Trees, Forests and Land Use in Drylands: The First Global Assessment; Full Report; FAO Forestry Paper 184: Rome, Italy, 2019; p. 193. [Google Scholar]
  6. Le Houérou, H.N. The rangelands of the Sahel. J. Range Manag. 1980, 33, 41–46. [Google Scholar] [CrossRef]
  7. Nicholson, S.E. Sahel, West Africa. In Encyclopedia of Environmental Biology; Nierenberg, W.A., Ed.; Academic Press: London, UK, 1995; Volume 3, pp. 261–275. [Google Scholar]
  8. Hiernaux, P.; Le Houérou, H.N. Les parcours du Sahel. Sécheresse 2006, 17, 51–71. [Google Scholar]
  9. Cornet, A. Relations entre la structure spatiale des peuplements végétaux et le bilan hydrique des sols de quelques phytocénoses en zone aride. In L’Aridité: Une Contrainte Au Développement: Caractérisation, Réponses Biologiques, Stratégies des Sociétés; Le Floc’h, E., Grouzis, M., Cornet, A., Bille, J.-C., Eds.; Didactiques; ORSTOM: Paris, France, 1992; pp. 245–265. [Google Scholar]
  10. Coughenour, M.B.; Ellis, J.E. Landscape and climatic control of woody vegetation in a dry tropical ecosystem: Turkana district, Kenya. J. Biogeogr. 1993, 20, 383–398. [Google Scholar] [CrossRef]
  11. Dendoncker, M.; Vincke, C. Low topographic positions enhance woody vegetation stability in the Ferlo (Senegalese Sahel). J. Arid Environ. 2020, 175, 104087. [Google Scholar] [CrossRef]
  12. Nicholson, S.E. Climatic and environmental change in Africa during the last two centuries. Clim. Res. 2001, 17, 123–144. [Google Scholar] [CrossRef]
  13. Epule, E.; Peng, C.; Lepage, L.; Chen, Z. The causes, effects and challenges of Sahelian droughts: A critical review. Reg. Environ. Change 2014, 14, 145–156. [Google Scholar] [CrossRef]
  14. Nicholson, S.E.; Tucker, C.J.; Ba, M.B. Desertification, drought, and surface vegetation: An example from the West African Sahel. Bull. Am. Meteorol. Soc. 1998, 79, 815–829. [Google Scholar] [CrossRef]
  15. Hiernaux, P.; Diarra, L.; Trichon, V.; Mougin, E.; Soumaguel, N.; Baup, F. Woody plant population dynamics in response to climate changes from 1984 to 2006 in Sahel (Gourma, Mali). J. Hydrol. 2009, 375, 103–113. [Google Scholar] [CrossRef]
  16. Le Houérou, H.N. The Grazing Land Ecosystems of the African Sahel; Springer: Berlin/Heidelberg, Germany, 1989; p. 282. [Google Scholar]
  17. Poupon, H. Structure et Dynamique de la Strate Ligneuse D’une Steppe Sahélienne au Nord du Sénégal; OS: Ouvrages Scientifiques; ORSTOM: Paris, France, 1980. [Google Scholar]
  18. Brandt, M.; Romankiewicz, C.; Spiekermann, R.; Samimi, C. Environmental change in time series—An interdisciplinary study in the Sahel of Mali and Senegal. J. Arid Environ. 2014, 105, 52–63. [Google Scholar] [CrossRef]
  19. Dendoncker, M.; Brandt, M.; Rasmussen, K.; Taugourdeau, S.; Fensholt, R.; Tucker, C.J.; Vincke, C. 50 years of woody vegetation changes in the Ferlo (Senegal) assessed by high-resolution imagery and field surveys. Reg. Environ. Change 2020, 20, 137. [Google Scholar] [CrossRef]
  20. Lykke, A.M.; Fog, B.; Madsen, J.E. Woody vegetation changes in the Sahel of Burkina Faso assessed by means of local knowledge, aerial photos, and botanical investigations. Dan. J. Geogr. 1999, 2, 57–68. [Google Scholar]
  21. Vincke, C.; Diédhiou, I.; Grouzis, M. Long term dynamics and structure of woody vegetation in the Ferlo (Senegal). J. Arid Environ. 2010, 74, 268–276. [Google Scholar] [CrossRef]
  22. Wezel, A.; Lykke, A.M. Woody vegetation change in Sahelian West Africa: Evidence from local knowledge. Environ. Dev. Sustain. 2006, 8, 553–567. [Google Scholar] [CrossRef]
  23. Touré, O. Where Herders Don’t Herd Anymore: Experience from the Ferlo, Northern Senegal; IIED, International Institute for Environment and Development: London, UK, 1990; p. 22. [Google Scholar]
  24. Sinclair, A.R.E.; Fryxell, J.M. The Sahel of Africa: Ecology of a disaster. Can. J. Zool. 1985, 63, 987–994. [Google Scholar] [CrossRef]
  25. Chillo, V.; Ojeda, R.A.; Capmourteres, V.; Anand, M. Functional diversity loss with increasing livestock grazing intensity in drylands: The mechanisms and their consequences depend on the taxa. J. Appl. Ecol. 2017, 54, 986–996. [Google Scholar] [CrossRef]
  26. Rasmussen, K.; Brandt, M.; Tong, X.; Hiernaux, P.; Diouf, A.A.; Assouma, M.H.; Tucker, C.J.; Fensholt, R. Does grazing cause land degradation? Evidence from the sandy Ferlo in Northern Senegal. Land Degrad. Dev. 2018, 29, 4337–4347. [Google Scholar] [CrossRef]
  27. Hanan, N.P.; Prevost, Y.; Diouf, A.; Diallo, O. Assessment of desertification around deep wells in the Sahel using satellite imagery. J. Appl. Ecol. 1991, 28, 173–186. [Google Scholar] [CrossRef]
  28. Miehe, S.; Kluge, J.; von Wehrden, H.; Retzer, V. Long-term degradation of Sahelian rangeland detected by 27 years of field study in Senegal. J. Appl. Ecol. 2010, 47, 692–700. [Google Scholar] [CrossRef]
  29. Miehe, S. Inventaire et Suivi de la Végétation dans le Périmètre Expérimental de Widou Thiengoly dans le Cadre du Projet Sénégalo-Allemand D’autopromotion Pastorale dans le Ferlo (PAPF); Rapport Final; Deutsche Gesellschaft für Technische Zusammenarbeit: Eschborn, Germany, 2002; p. 57. [Google Scholar]
  30. Brandt, M.; Tappan, G.; Diouf, A.A.; Beye, G.; Mbow, C.; Fensholt, R. Woody vegetation die off and regeneration in response to rainfall variability in the West African Sahel. Remote Sens. 2017, 9, 39. [Google Scholar] [CrossRef]
  31. Olsson, L.; Eklundh, L.; Ardö, J. A recent greening of the Sahel-trends, patterns and potential causes. J. Arid Environ. 2005, 63, 556–566. [Google Scholar] [CrossRef]
  32. Lykke, A.M.; Kristensen, M.K.; Ganaba, S. Valuation of local use and dynamics of 56 woody species in the Sahel. Biodivers. Conserv. 2004, 13, 1961–1990. [Google Scholar] [CrossRef]
  33. Herrmann, S.M.; Tappan, G.G. Vegetation impoverishment despite greening: A case study from central Senegal. J. Arid Environ. 2013, 90, 55–66. [Google Scholar] [CrossRef]
  34. Anyamba, A.; Tucker, C.J. Analysis of Sahelian vegetation dynamics using NOAA-AVHRR NDVI data from 1981–2003. J. Arid Environ. 2005, 63, 596–614. [Google Scholar] [CrossRef]
  35. Dardel, C.; Kergoat, L.; Hiernaux, P.; Mougin, E.; Grippa, M.; Tucker, C.J. Re-greening Sahel: 30 years of remote sensing data and field observations (Mali, Niger). Remote Sens. Environ. 2014, 140, 350–364. [Google Scholar] [CrossRef]
  36. Brandt, M.; Mbow, C.; Diouf, A.A.; Verger, A.; Samimi, C.; Fensholt, R. Ground- and satellite-based evidence of the biophysical mechanisms behind the greening Sahel. Glob. Chang. Biol. 2015, 21, 1610–1620. [Google Scholar] [CrossRef] [PubMed]
  37. MEA. Ecosystems and Human Well-Being: Synthesis; Island Press: Washington, DC, USA, 2005; p. 137. [Google Scholar]
  38. Sankaran, M.; Hanan, N.P.; Scholes, R.J.; Ratnam, J.; Augustine, D.J.; Cade, B.S.; Gignoux, J.; Higgins, S.I.; Le Roux, X.; Ludwig, F.; et al. Determinants of woody cover in African savannas. Nature 2005, 438, 846–849. [Google Scholar] [CrossRef] [PubMed]
  39. Berdugo, M.; Delgado-Baquerizo, M.; Soliveres, S.; Hernández-Clemente, R.; Zhao, Y.; Gaitán, J.J.; Gross, N.; Saiz, H.; Maire, V.; Lehmann, A.; et al. Global ecosystem thresholds driven by aridity. Science 2020, 367, 787–790. [Google Scholar] [CrossRef] [PubMed]
  40. Sinare, H.; Gordon, L.J. Ecosystem services from woody vegetation on agricultural lands in Sudano-Sahelian West Africa. Agric. Ecosyst. Environ. 2015, 200, 186–199. [Google Scholar] [CrossRef]
  41. Chillo, V.; Anand, M.; Ojeda, R. Assessing the Use of Functional Diversity as a Measure of Ecological Resilience in Arid Rangelands. Ecosystems 2011, 14, 1168–1177. [Google Scholar] [CrossRef]
  42. De Bello, F.; Lavorel, S.; Díaz, S.; Harrington, R.; Cornelissen, J.H.C.; Bardgett, R.D.; Berg, M.P.; Cipriotti, P.; Feld, C.K.; Hering, D.; et al. Towards an assessment of multiple ecosystem processes and services via functional traits. Biodivers. Conserv. 2010, 19, 2873–2893. [Google Scholar] [CrossRef]
  43. Díaz, S.; Cabido, M. Vive la différence: Plant functional diversity matters to ecosystem processes. Trends Ecol. Evol. 2001, 16, 646–655. [Google Scholar] [CrossRef]
  44. Díaz, S.; Lavorel, S.; de Bello, F.; Quétier, F.; Grigulis, K.; Robson, T.M. Incorporating plant functional diversity effects in ecosystem service assessments. Proc. Natl. Acad. Sci. USA 2007, 104, 20684–20689. [Google Scholar] [CrossRef]
  45. Elmqvist, T.; Folke, C.; Nyström, M.; Peterson, G.; Bengtsson, J.; Walker, B.; Norberg, J. Response diversity, ecosystem change, and resilience. Front. Ecol. Environ. 2003, 1, 488–494. [Google Scholar] [CrossRef]
  46. Harrison, P.A.; Berry, P.M.; Simpson, G.; Haslett, J.R.; Blicharska, M.; Bucur, M.; Dunford, R.; Egoh, B.; Garcia-Llorente, M.; Geamănă, N.; et al. Linkages between biodiversity attributes and ecosystem services: A systematic review. Ecosyst. Serv. 2014, 9, 191–203. [Google Scholar] [CrossRef]
  47. Mori, A.S.; Furukawa, T.; Sasaki, T. Response diversity determines the resilience of ecosystems to environmental change. Biol. Rev. 2013, 88, 349–364. [Google Scholar] [CrossRef] [PubMed]
  48. Sterk, M.; Gort, G.; Klimkowska, A.; van Ruijven, J.; van Teeffelen, A.J.A.; Wamelink, G.W.W. Assess ecosystem resilience: Linking response and effect traits to environmental variability. Ecol. Indic. 2013, 30, 21–27. [Google Scholar] [CrossRef]
  49. Funk, J.L.; Larson, J.E.; Ames, G.M.; Butterfield, B.J.; Cavender-Bares, J.; Firn, J.; Laughlin, D.C.; Sutton-Grier, A.E.; Williams, L.; Wright, J. Revisiting the Holy Grail: Using plant functional traits to understand ecological processes. Biol. Rev. 2017, 92, 1156–1173. [Google Scholar] [CrossRef]
  50. Garnier, E.; Navas, M.-L. A trait-based approach to comparative functional plant ecology: Concepts, methods and applications for agroecology. A review. Agron. Sustain. Dev. 2012, 32, 365–399. [Google Scholar] [CrossRef]
  51. Violle, C.; Navas, M.-L.; Vile, D.; Kazakou, E.; Fortunel, C.; Hummel, I.; Garnier, E. Let the concept of trait be functional! Oikos 2007, 116, 882–892. [Google Scholar] [CrossRef]
  52. Nock, C.A.; Vogt, R.J.; Beisner, B.E. Functional Traits. In eLS; John Wiley & Sons, Ltd: Hoboken, NJ, USA, 2016. [Google Scholar]
  53. Tilman, D. Functional diversity. In Encyclopedia of Biodiversity; Levin, S.A., Ed.; Academic Press: Cambridge, MA, USA, 2001; pp. 109–120. [Google Scholar]
  54. Holling, C.S. Resilience and Stability of Ecological Systems. Annu. Rev. Ecol. Syst. 1973, 4, 1–23. [Google Scholar] [CrossRef]
  55. Laliberté, E.; Legendre, P. A distance-based framework for measuring functional diversity from multiple traits. Ecology 2010, 91, 299–305. [Google Scholar] [CrossRef] [PubMed]
  56. Naeem, S. Species Redundancy and Ecosystem Reliability. Conserv. Biol. 1998, 12, 39–45. [Google Scholar] [CrossRef]
  57. Yachi, S.; Loreau, M. Biodiversity and ecosystem productivity in a fluctuating environment: The insurance hypothesis. Proc. Natl. Acad. Sci. USA 1999, 96, 1463–1468. [Google Scholar] [CrossRef] [PubMed]
  58. Gladstone-Gallagher, R.V.; Pilditch, C.A.; Stephenson, F.; Thrush, S.F. Linking Traits across Ecological Scales Determines Functional Resilience. Trends Ecol. Evol. 2019, 34, 1080–1091. [Google Scholar] [CrossRef]
  59. Lavorel, S.; Grigulis, K.; Lamarque, P.; Colace, M.-P.; Garden, D.; Girel, J.; Pellet, G.; Douzet, R. Using plant functional traits to understand the landscape distribution of multiple ecosystem services. J. Ecol. 2011, 99, 135–147. [Google Scholar] [CrossRef]
  60. Mouillot, D.; Villéger, S.; Scherer-Lorenzen, M.; Mason, N.W.H. Functional Structure of Biological Communities Predicts Ecosystem Multifunctionality. PLoS ONE 2011, 6, e17476. [Google Scholar] [CrossRef]
  61. Tappan, G.G.; Sall, M.; Wood, E.C.; Cushing, M. Ecoregions and land cover trends in Senegal. J. Arid Environ. 2004, 59, 427–462. [Google Scholar] [CrossRef]
  62. Akpo, L.-E. Dynamique des Systèmes Ecologiques Sahéliens: Structure Spécifique, Productivité et Qualité des Herbages: Le Forage de Widdu Thiengoly. Master’s Thesis, Mémoire de fin d’étude, Université Cheikh Anta Diop de Dakar, Dakar, Senegal, 1990. [Google Scholar]
  63. Thébaud, B. Politiques d’hydraulique pastorale et gestion de l’espace au Sahel. Cah. Des Sci. Hum. 1990, 26, 13–31. [Google Scholar]
  64. Barral, H. Le Ferlo des Forages: Gestion Ancienne et Actuelle de L’espace Pastoral: Étude de Géographie Humaine; ORSTOM: Dakar, Senegal, 1982; p. 85. [Google Scholar]
  65. Touré, I.; Ickowicz, A.; Wane, A.; Garba, I.; Gerber, P. Atlas des Evolutions des Systèmes Pastoraux au Sahel; FAO et CIRAD: Rome, Italy, 2012; p. 32. [Google Scholar]
  66. Taugourdeau, S.; Daget, P.; Chatelain, C.; Mathieu, D.; Juanes, X.; Huguenin, J.; Ickowicz, A. FLOTROP, a massive contribution to plant diversity data for open ecosystems in northern tropical Africa. Sci. Data 2019, 6, 118. [Google Scholar] [CrossRef]
  67. Dendoncker, M.; Vincke, C. Inventory data of woody plants surveyed and measured in North Senegal (Ferlo) in 2015–2017. Zenodo. 2022. Available online: https://zenodo.org/record/7041354 (accessed on 29 January 2023).
  68. Wikum, D.A.; Shanholtzer, G.F. Application of the Braun-Blanquet cover-abundance scale for vegetation analysis in land development studies. Environ. Manag. 1978, 2, 323–329. [Google Scholar] [CrossRef]
  69. Diop, A.T.; Sy, O.; Ickowicz, A.; Touré, I. Politique D’hydraulique et Gestion de L’espace et des Ressources Dans la Région Sylvopastorale du Sénégal, Ferlo. In Proceedings of the Actes du Colloque International Umr Sagert, Montpellier, France, 25–27 February 2003; p. 9. [Google Scholar]
  70. Assouma, H. Approche écosystémique du Bilan des Gaz à Effet de Serre d’un Territoire Sylvo-Pastoral Sahélien: Contribution de L’élevage. Ph.D. Thesis, AgroParisTech, Montpellier, France, 2016. [Google Scholar]
  71. Cornet, A. Observations sur les précipitations dans la partie centrale du secteur sahélien sénégalais. Notes Afr. 1978, 34–42. [Google Scholar]
  72. Gross, N.; Bagousse-Pinguet, Y.L.; Liancourt, P.; Berdugo, M.; Gotelli, N.J.; Maestre, F.T. Functional trait diversity maximizes ecosystem multifunctionality. Nat. Ecol. Evol. 2017, 1, 0132. [Google Scholar] [CrossRef] [PubMed]
  73. Laliberté, E.; Wells, J.A.; DeClerck, F.; Metcalfe, D.J.; Catterall, C.P.; Queiroz, C.; Aubin, I.; Bonser, S.P.; Ding, Y.; Fraterrigo, J.M.; et al. Land-use intensification reduces functional redundancy and response diversity in plant communities. Ecol. Lett. 2010, 13, 76–86. [Google Scholar] [CrossRef]
  74. Lavorel, S.; Garnier, E. Predicting Changes in Community Composition and Ecosystem Functioning from Plant Traits: Revisiting the Holy Grail. Funct. Ecol. 2002, 16, 545–556. [Google Scholar] [CrossRef]
  75. Cornelissen, J.H.C.; Lavorel, S.; Garnier, E.; Díazaz, S.; Buchmann, N.; Gurvich, D.E.; Reich, P.B.; Steege, H.t.; Morgan, H.D.; Heijden, M.G.A.v.d.; et al. A handbook of protocols for standardised and easy measurement of plant functional traits worldwide. Aust. J. Bot. 2003, 51, 335–380. [Google Scholar] [CrossRef]
  76. Kattge, J.; Bönisch, G.; Díaz, S.; Lavorel, S.; Prentice, I.C.; Leadley, P.; Tautenhahn, S.; Werner, G.D.A.; Aakala, T.; Abedi, M.; et al. TRY plant trait database—Enhanced coverage and open access. Glob. Chang. Biol. 2020, 26, 119–188. [Google Scholar] [CrossRef]
  77. Burke, A. Savanna trees in Namibia—Factors controlling their distribution at the arid end of the spectrum. Flora Morphol. Distrib. Funct. Ecol. Plants 2006, 201, 189–201. [Google Scholar] [CrossRef]
  78. Schmidt, M.; Traoré, S.; Ouédraogo, A.; Mbayngone, E.; Ouédraogo, O.; Zizka, A.; Kirchmair, I.; Kaboré, E.; Tindano, E.; Thiombiano, A.; et al. Geographical Patterns of Woody Plants’ Functional Traits in Burkina Faso. Candollea 2013, 68, 197–207. [Google Scholar] [CrossRef]
  79. Walker, B.; Kinzig, A.; Langridge, J. Plant Attribute Diversity, Resilience, and Ecosystem Function: The Nature and Significance of Dominant and Minor Species. Ecosystems 1999, 2, 95–113. [Google Scholar] [CrossRef]
  80. Diaz, S.; Hodgson, J.G.; Thompson, K.; Cabido, M.; Cornelissen, J.H.C.; Jalili, A.; Montserrat-Martí, G.; Grime, J.P.; Zarrinkamar, F.; Asri, Y.; et al. The plant traits that drive ecosystems: Evidence from three continents. J. Veg. Sci. 2004, 15, 295–304. [Google Scholar] [CrossRef]
  81. Gower, J.C. A General Coefficient of Similarity and Some of Its Properties. Biometrics 1971, 27, 857–871. [Google Scholar] [CrossRef]
  82. Ward, J.H. Hierarchical Grouping to Optimize an Objective Function. J. Am. Stat. Assoc. 1963, 58, 236–244. [Google Scholar] [CrossRef]
  83. Curtis, J.T. The Vegetation of Wisconsin: An Ordination of Plant Communities; The University of Wisconsin Press: Madison, WI, USA, 1959; p. 663. [Google Scholar]
  84. Diémé, J.S.; Diouf, M.; Armas, C.; Rusch, G.; Pugnaire, F. Functional groups of Sahelian trees in a semiarid agroforestry system of Senegal. J. Plant Ecol. 2017, 11, 375–384. [Google Scholar] [CrossRef]
  85. Nunes, A.; Köbel, M.; Pinho, P.; Matos, P.; Bello, F.d.; Correia, O.; Branquinho, C. Which plant traits respond to aridity? A critical step to assess functional diversity in Mediterranean drylands. Agric. For. Meteorol. 2017, 239, 176–184. [Google Scholar] [CrossRef]
  86. Aguirre-Gutiérrez, J.; Malhi, Y.; Lewis, S.L.; Fauset, S.; Adu-Bredu, S.; Affum-Baffoe, K.; Baker, T.R.; Gvozdevaite, A.; Hubau, W.; Moore, S.; et al. Long-term droughts may drive drier tropical forests towards increased functional, taxonomic and phylogenetic homogeneity. Nat. Commun. 2020, 11, 3346. [Google Scholar] [CrossRef]
  87. Oliveira, A.C.P.d.; Nunes, A.; Oliveira, M.A.; Rodrigues, R.G.; Branquinho, C. How Do Taxonomic and Functional Diversity Metrics Change Along an Aridity Gradient in a Tropical Dry Forest? Front. Plant Sci. 2022, 13. [Google Scholar] [CrossRef]
  88. Gonzalez, P. Desertification and a shift of forest species in the West African Sahel. Clim. Res. 2001, 17, 217–228. [Google Scholar] [CrossRef]
  89. Maestre, F.T.; Le Bagousse-Pinguet, Y.; Delgado-Baquerizo, M.; Eldridge, D.J.; Saiz, H.; Berdugo, M.; Gozalo, B.; Ochoa, V.; Guirado, E.; García-Gómez, M.; et al. Grazing and ecosystem service delivery in global drylands. Science 2022, 378, 915–920. [Google Scholar] [CrossRef]
  90. Dendoncker, M.; Vincke, C.; Bazan, S.; Madingou, M.P.N.; Taugourdeau, S. The size of topographic depressions in a Sahelian savanna is a driver of woody vegetation diversity. J. Arid Environ. 2023, 210, 104923. [Google Scholar] [CrossRef]
  91. Le Bagousse-Pinguet, Y.; Soliveres, S.; Gross, N.; Torices, R.; Berdugo, M.; Maestre, F.T. Phylogenetic, functional, and taxonomic richness have both positive and negative effects on ecosystem multifunctionality. Proc. Natl. Acad. Sci. USA 2019, 116, 8419. [Google Scholar] [CrossRef] [PubMed]
  92. Grime, J.P. Benefits of Plant Diversity to Ecosystems: Immediate, Filter and Founder Effects. J. Ecol. 1998, 86, 902–910. [Google Scholar] [CrossRef]
  93. Aubin, I.; Munson, A.D.; Cardou, F.; Burton, P.J.; Isabel, N.; Pedlar, J.H.; Paquette, A.; Taylor, A.R.; Delagrange, S.; Kebli, H.; et al. Traits to stay, traits to move: A review of functional traits to assess sensitivity and adaptive capacity of temperate and boreal trees to climate change. Environ. Rev. 2016, 24, 164–186. [Google Scholar] [CrossRef]
  94. Charles-Dominique, T.; Davies, T.J.; Hempson, G.P.; Bezeng, B.S.; Daru, B.H.; Kabongo, R.M.; Maurin, O.; Muasya, A.M.; van der Bank, M.; Bond, W.J. Spiny plants, mammal browsers, and the origin of African savannas. Proc. Natl. Acad. Sci. USA 2016, 113, E5572. [Google Scholar] [CrossRef]
  95. Midgley, J.; Sawe, T.; Abanyam, P.; Hintsa, K.; Gacheru, P. Spinescent East African savannah acacias also have thick bark, suggesting they evolved under both an intense fire and herbivory regime. Afr. J. Ecol. 2016, 54, 118–120. [Google Scholar] [CrossRef]
  96. O’Brien, M.J.; Engelbrecht, B.M.J.; Joswig, J.; Pereyra, G.; Schuldt, B.; Jansen, S.; Kattge, J.; Landhäusser, S.M.; Levick, S.R.; Preisler, Y.; et al. A synthesis of tree functional traits related to drought-induced mortality in forests across climatic zones. J. Appl. Ecol. 2017, 54, 1669–1686. [Google Scholar] [CrossRef]
  97. Santiago, L.S.; Bonal, D.; De Guzman, M.E.; Ávila-Lovera, E. Drought Survival Strategies of Tropical Trees. In Tropical Tree Physiology: Adaptations and Responses in a Changing Environment; Goldstein, G., Santiago, L.S., Eds.; Springer International Publishing: Cham, Switzerland, 2016; pp. 243–258. [Google Scholar]
  98. Poorter, L.; Markesteijn, L. Seedling Traits Determine Drought Tolerance of Tropical Tree Species. Biotropica 2008, 40, 321–331. [Google Scholar] [CrossRef]
  99. Mouillot, D.; Graham, N.A.J.; Villéger, S.; Mason, N.W.H.; Bellwood, D.R. A functional approach reveals community responses to disturbances. Trends Ecol. Evol. 2013, 28, 167–177. [Google Scholar] [CrossRef]
  100. Craven, D.; Filotas, E.; Angers, V.A.; Messier, C. Evaluating resilience of tree communities in fragmented landscapes: Linking functional response diversity with landscape connectivity. Divers. Distrib. 2016, 22, 505–518. [Google Scholar] [CrossRef]
  101. Mensah, S.; Veldtman, R.; Assogbadjo, A.E.; Glèlè Kakaï, R.; Seifert, T. Tree species diversity promotes aboveground carbon storage through functional diversity and functional dominance. Ecol. Evol. 2016, 6, 7546–7557. [Google Scholar] [CrossRef] [PubMed]
  102. Arbonnier, M. Arbres, Arbustes et Lianes des Zones Sèches d’Afrique de l’Ouest (3e Edition); CIRAD, MHNM: Montpellier, France, 2009; p. 573. [Google Scholar]
  103. Chave, J.; Coomes, D.; Jansen, S.; Lewis, S.L.; Swenson, N.G.; Zanne, A.E. Towards a Worldwide Wood Economics Spectrum. Ecol. Lett. 2009, 12, 351–366. [Google Scholar] [CrossRef]
  104. Zanne, A.E.; Westoby, M.; Falster, D.S.; Ackerly, D.D.; Loarie, S.R.; Arnold, S.E.J.; Coomes, D.A. Angiosperm Wood Structure: Global Patterns in Vessel Anatomy and Their Relation to Wood Density and Potential Conductivity. Am. J. Bot. 2010, 97, 207–215. [Google Scholar] [CrossRef] [PubMed]
  105. Wheeler, E. Insidewood—A web resource for hardwood anatomy. IAWA J. 2011, 32, 199–211. [Google Scholar] [CrossRef]
  106. Kindt, R.; Ordonez, J.; Smith, E.; Orwa, C.; Kehlenbeck, K.; Asmara, D.H.; Luedeling, E.; Munjuga, M.; Mwanzia, L.; Sinclair, F. ICRAF Species Switchboard; Version 1.0; World Agroforestry Centre: Nairobi, Kenya, 2013. [Google Scholar]
  107. Royal Botanic Gardens. Survey of Economic Plants for Arid and Semi-Arid Lands (SEPASAL) Database. Royal Botanic Gardens, Kew, UK. 1999. Available online: http://www.rbgkew.org.uk/ceb/sepasal/internet/ (accessed on 29 January 2023).
  108. Van den Bilcke, N.; De Smedt, S.; Simbo, D.J.; Samson, R. Sap flow and water use in African baobab (Adansonia digitata L.) seedlings in response to drought stress. South Afr. J. Bot. 2013, 88, 438–446. [Google Scholar] [CrossRef]
  109. Robert, N.; Björn, E. Stem basic density and bark proportion of 45 woody species in young savanna coppice forests in Burkina Faso. Ann. For. Sci. 2000, 57, 143–153. [Google Scholar] [CrossRef]
  110. Chiveu, C.J.; Dangasuk, O.G.; Omunyin, M.E.; Wachira, F.N. Quantitative variation among Kenyan populations of Acacia senegal (L.) Willd. for gum production, seed and growth traits. New For. 2009, 38, 1. [Google Scholar] [CrossRef]
  111. Hiernaux, P.; Cissé, M.I.; Diarra, L.; de Leeuw, P.N. Fluctuations saisonnières de la feuillaison des arbres et des buissons sahéliens. Conséquences pour la quantification des ressources fourragères. Rev. D’élevage Médecine Vétérinaire Pays Trop. 1994, 47, 117–125. [Google Scholar] [CrossRef]
  112. De Bie, S.; Ketner, P.; Paasse, M.; Geerling, C. Woody plant phenology in the West Africa savanna. J. Biogeogr. 1998, 25, 883–900. [Google Scholar] [CrossRef]
  113. Seghieri, J.; Do, F.; Devineau, J.-L.; Fournier, A. Phenology of woody species along the climatic gradient in West Tropical Africa. In Phenology and Climate Change; Zhang, X., Ed.; InTechOpen: Rijeka, Croatia, 2012; p. 320. [Google Scholar]
  114. Poupon, H.; Bille, J.C. Recherches écologiques sur une savane sahélienne du Ferlo septentrional, Sénégal: Influence de la sécheresse de l’année 1972–1973 sur la strate ligneuse. La Terre Vie Revue d’Ecologie Appliquée 1974, 1, 49–75. [Google Scholar]
  115. Poupon, H. Etude de la phénologie de la strate ligneuse à Fété-Olé (Sénégal septentrional) de 1971 à 1977. Bull. l’IFAN Série A Sci. Nat. 1979, 1, 44–91. [Google Scholar]
  116. Brandt, M.; Hiernaux, P.; Tagesson, T.; Verger, A.; Rasmussen, K.; Diouf, A.A.; Mbow, C.; Mougin, E.; Fensholt, R. Woody plant cover estimation in drylands from Earth Observation based seasonal metrics. Remote Sens. Environ. 2016, 172, 28–38. [Google Scholar] [CrossRef]
  117. Grouzis, M.; Le Floc’h, E. Un Arbre au Désert: Acacia Raddiana; IRD: Paris, France, 2003; p. 313.
  118. Bille, J.C. Etude de la Production Primaire Nette d’un Ecosystème Sahélien; ORSTOM: Paris, France, 1977; Volume 65, p. 86. [Google Scholar]
  119. Ali, M.; Saadou, M.; Jean, L. Phénologie de quelques espèces ligneuses du parc national du « W » (Niger). Sci. Changements Planétaires/Sécheresse 2007, 18, 354–358. [Google Scholar] [CrossRef]
  120. Breman, H.; De Ridder, N. Manuel sur les Pâturages des Pays Sahéliens; ACCT-CTA-Karthala: Wageningen, Pays-Bas, 1991; p. 488. [Google Scholar]
  121. Breman, H.; Kessler, J.J. Woody Plants in Agro-Ecosystems of Semi-Arid Regions; Springer: Berlin/Heidelberg, Germany, 1995; Volume 23, p. 340. [Google Scholar]
  122. Fall, S.T. Digestibilité in vitro et dégradabilité in situ dans le rumen de ligneux fourragers disponibles sur pâturages naturels au Sénégal: Premiers résultats. Rev. D’élevage Médecine Vétérinaire Pays Trop. 1991, 44, 345–354. [Google Scholar] [CrossRef]
  123. Le Houérou, H.N. Composition chimique et valeur nutritive des fourrages ligneux en Afrique tropicale occidentale. In Les Fourrages Ligneux en Afrique: État Actuel des Connaissances; Le Houerou, H.N., Ed.; CIPEA: Addis Abeba, Ethiopie, 1980; pp. 259–284. [Google Scholar]
  124. Kgope, B.S.; Musil, C.F. Differential photosynthetic responses of broad- and fine-leafed savanna trees to elevated temperatures. South Afr. J. Bot. 2004, 70, 760–766. [Google Scholar] [CrossRef]
  125. Tezara, W.; Colombo, R.; Coronel, I.; Marin, O. Water relations and photosynthetic capacity of two species of Calotropis in a tropical semi-arid ecosystem. Ann. Bot. 2011, 107, 397–405. [Google Scholar] [CrossRef] [PubMed]
  126. Farahat, A.E.; Galal, M.T.; El-Midany, M.M.; Hassan, M.L. Phenology, biomass and reproductive characteristics of Calotropis procera (Aiton) W.T. Aiton in South Cairo, Egypt. Rend. Lincei 2016, 27, 197–204. [Google Scholar] [CrossRef]
  127. Baumer, M. Notes on Trees and Shrubs in Arid and Semi-Arid Regions; Food and Agriculture Organization of the United Nations: Rome, Italy, 1983; p. 270. [Google Scholar]
  128. Mayus, M.; Van Keulen, H.; Stroosnijder, L. A model of tree-crop competition for windbreak systems in the Sahel: Description and evaluation. Agrofor. Syst. 1998, 43, 183–201. [Google Scholar] [CrossRef]
  129. Kizito, F.; Dragila, M.; Sène, M.; Lufafa, A.; Diedhiou, I.; Dick, R.P.; Selker, J.S.; Dossa, E.; Khouma, M.; Badiane, A.; et al. Seasonal soil water variation and root patterns between two semi-arid shrubs co-existing with Pearl millet in Senegal, West Africa. J. Arid Environ. 2006, 67, 436–455. [Google Scholar] [CrossRef]
  130. Breman, H.; Sissoko, F. L’Intensification Agricole au Sahel; Broché; Karthala Editions: Paris, France, 1998; p. 996. ISBN 978-2-86537-809-8. [Google Scholar]
  131. Clanet, J.-C.; Gillet, H. Le Commiphora africana, véritable arbre fourrager sahélien. In Les Fourrages Ligneux en Afrique: État des Connaissances Actuelles; Le Houerou, H.N., Ed.; CIPEA: Addis Abeba, Ethiopie, 1980; pp. 431–433. [Google Scholar]
  132. Gebrekirstos, A.; Teketay, D.; Fetene, M.; Mitlöhner, R. Adaptation of five co-occurring tree and shrub species to water stress and its implication in restoration of degraded lands. For. Ecol. Manag. 2006, 229, 259–267. [Google Scholar] [CrossRef]
  133. Diouf, J.C.; Akpo, L.E.; Ickowicz, A.; Lesueur, D.; Chotte, J.-L. Dynamique des peuplements ligneux et pratiques pastorales au Sahel (Ferlo, Sénégal). In Conférence Internationale: Biodiversité Science et Gouvernance; Barbault, R., Le Duc, J.P., Eds.; MNHN: Paris, France, 2005; p. 9. [Google Scholar]
  134. Tybirk, K.; Univ, A. Regeneration of Woody Legumes in Sahel; Aarhus (Denmark) Botanical Institute, Aarhus University: Aarhus, Denmark, 1991; p. 81. [Google Scholar]
  135. Guissou, T.G. La Symbiose Mycorhizienne à Arbuscules Chez des Espèces D’arbres: Diversité des Glomales, Dépendance Mycorhizienne, Utilisation des Phosphates Naturels et Tolérance à un Stress Hydrique. Ph.D. Thesis, Univeristé de Ouagadougou, Burkina Faso, Ouagadougou, 2001. [Google Scholar]
  136. Royal Botanic Gardens Kew. Seed Information Database (SID) Version 7.1; Royal Botanic Gardens Kew: Richmond, UK, 2008. [Google Scholar]
  137. Joker, D. Acacia senegal (L.) Willd. Seed Leafl. 2000, 5, 2. [Google Scholar]
  138. Joker, D. Acacia seyal Del. Seed Leafl. 2000, 34, 2. [Google Scholar]
  139. Joker, D. Acacia tortilis (Forssk.) Hayne. Seed Leafl. 2000, 19, 2. [Google Scholar]
  140. Joker, D. Faidherbia albida (Del.) A. Chev. Seed Leafl. 2000, 28, 2. [Google Scholar]
  141. Joker, D. Ziziphus mauritiana. Seed Leafl. 2003, 85, 2. [Google Scholar]
  142. Joker, D.; Erdey, D. Sclerocarya birrea (A. Rich.) Hochst. Seed Leafl. 2003, 72, 2. [Google Scholar]
  143. Sacande, M.; Ronne, C.; Sanon, M.; Joker, D. Adansonia digitata L. Seed Leafl. 2006, 109, 2. [Google Scholar]
  144. Sacande, M.; Sanogo, S. Anogeissus leiocarpus (DC.) Guill. & Perr. Seed Leafl. 2007, 119, 2. [Google Scholar]
  145. Sacande, M.; Sanon, M.; Schmidt, L.H. Sterculia setigera Delile. Seed Leafl. 2007, 134, 2. [Google Scholar]
  146. Sacande, M.; Vautier, H.; Sanon, M.; Schmidt, L.H. Dalbergia melanoxylon Guill. & Perr. Seed Leafl. 2007, 135, 2. [Google Scholar]
  147. Sanon, M.; Sacandé, M.; Schmidt, L.H. Combretum aculeatum Vent. Seed Leafl. 2007, 127, 2. [Google Scholar]
  148. Schmidt, L.H.; Joker, D. Balanites aegyptiaca (L.) Del. Seed Leafl. 2000, 21, 2. [Google Scholar]
  149. Schmidt, L.H.; Mbora, A. Acacia nilotica (L.) Del. Seed Leafl. 2008, 137, 2. [Google Scholar]
  150. Schmidt, L.H.; Mbora, A. Commiphora africana (A. Rich.) Engel. Seed Leafl. 2008, 138, 2. [Google Scholar]
  151. Vautier, H.; Sanon, M.; Sacandé, M.; Schmidt, L.H. Combretum glutinosum Perrot. ex DC. Seed Leafl. 2007, 128, 2. [Google Scholar]
  152. Kirchmair, I.; Schmidt, M.; Zizka, G.; Erpenbach, A.; Hahn, K. Biodiversity Islands in the savanna: Analysis of the phytodiversity on termite mounds in Northern Benin. Flora Veg. Sudano-Sambesica 2012, 15, 3–14. [Google Scholar] [CrossRef]
  153. Colombo, R.C.; Favetta, V.; Yamamoto, L.Y.; Alves, G.A.C.; Abati, J.; Takahashi, L.S.A.; Faria, R.T.d. Biometric description of fruits and seeds, germination and imbibition pattern of desert rose [Adenium obesum (Forssk.), Roem. & Schult.]. J. Seed Sci. 2015, 37, 206–213. [Google Scholar]
  154. Steentoft, M. Flowering plants in West Africa; Cambridge University Press: New York, NY, USA, 1988; p. 350. [Google Scholar]
  155. Tréca, B.; Tamba, S. Rôle des oiseaux sur la régénération du ligneux Boscia senegalensis (pers.) Lam. en savane sahélienne au Nord Sénégal. Revue D‘Ecol. La Terre La Vie 1997, 52, 239–260. [Google Scholar]
  156. Sen, D.N. Ecology of desert plants and observations on their seedlings. II. Germination behaviour of seeds in Asclepiadaceae. Osterr. Bot. Z. 1968, 115, 18–27. [Google Scholar] [CrossRef]
  157. Midgley, J.J. Dispersibility, cost and allometry of tumblers (Combretum, Combretaceae) and parachutes (Leucadendron, Proteaceae) of different size. Plant Syst. Evol. 1998, 211, 141–147. [Google Scholar] [CrossRef]
  158. Dukku, U.H. Plants for bees: Guiera senegalensis, an important nectar plant in the savanna. Bee World 2010, 87, 77. [Google Scholar] [CrossRef]
  159. Helm, C.V.; Scott, S.L.; Witkowski, E.T.F. Reproductive potential and seed fate of Sclerocarya birrea subsp. caffra (marula) in the low altitude savannas of South Africa. South Afr. J. Bot. 2011, 77, 650–664. [Google Scholar] [CrossRef]
  160. Abdourhamane, H.; Rabiou, H.; Diouf, A.; Morou, B.; Mahamane, A.; Bellefontaine, R. Structure démographique et répartition spatiale des populations de Sclerocarya birrea (A.Rich.) Hochst. du secteur sahélien du Niger. Bois Des Trop. 2017, 333, 55–66. [Google Scholar]
  161. Danthu, P.; Ickowicz, A.; Friot, D.; Manga, D.; Sarr, A. Effet du passage par le tractus digestif des ruminants domestiques sur la germination des graines de légumineuses ligneuses des zones tropicales sèches. Revue Elev. Méd. Vét. Pays Trop. 1996, 49, 235–241. [Google Scholar] [CrossRef]
  162. Wilson, T.B.; Witkowski, E.T.F. Water requirements for germination and early seedling establishment in four African savanna woody plant species. J. Arid Environ. 1998, 38, 541–550. [Google Scholar] [CrossRef]
  163. Garner, R.D.; Witkowski, E.T.F. Variations in seed size and shape in relation to depth of burial in the soil and pre-dispersal predation in Acacia nilotica, Acacia tortilis and Dichrostachys cinerea. S. Afr. J. Bot. 1997, 63, 371–377. [Google Scholar] [CrossRef]
  164. Lahoreau, G.; Barot, S.; Gignoux, J.; Hoffmann, W.A.; Setterfield, S.A.; Williams, P.R. Positive effect of seed size on seedling survival in fire-prone savannas of Australia, Brazil and West Africa. J. Trop. Ecol. 2006, 22, 719–722. [Google Scholar] [CrossRef]
  165. Bellefontaine, R. Synthèse des espèces des domaines sahélien et soudanien qui se multiplient naturellement par voie végétative. In Fonctionnement et Gestion des Ecosystèmes Contractés Sahéliens; d’Herbès, J.M., Ambouta, J.-M.K., Régis Peltier, R., Eds.; John Libbey Eurotext: Paris, France, 1997; pp. 95–104. [Google Scholar]
  166. Pérez-Harguindeguy, N.; Díaz, S.; Garnier, E.; Lavorel, S.; Poorter, H.; Jaureguiberry, P.; Bret-Harte, M.S.; Cornwell, W.K.; Craine, J.M.; Gurvich, D.E.; et al. New handbook for standardised measurement of plant functional traits worldwide. Aust. J. Bot. 2013, 61, 167–234. [Google Scholar] [CrossRef]
  167. Sankaran, M. Droughts and the ecological future of tropical savanna vegetation. J. Ecol. 2019, 107, 1531–1549. [Google Scholar] [CrossRef]
Disclaimer/Publisher’s Note: The statements, opinions and data contained in all publications are solely those of the individual author(s) and contributor(s) and not of MDPI and/or the editor(s). MDPI and/or the editor(s) disclaim responsibility for any injury to people or property resulting from any ideas, methods, instructions or products referred to in the content.

Article Metrics

Citations

Article Access Statistics

Multiple requests from the same IP address are counted as one view.