Next Article in Journal
Composition of Species and Spatial Patterns of Phyllostachys edulis Mixed Forests in a Succession after Enclosure
Previous Article in Journal
Multi-Scale Effects of Landscape Pattern on Soundscape Perception in Residential Green Spaces
 
 
Font Type:
Arial Georgia Verdana
Font Size:
Aa Aa Aa
Line Spacing:
Column Width:
Background:
Article

Contact Mechanics between Torus and Pit Border for Developing Air-Seeding Seal in Aspirated Bordered Pits

1
School of Mechanical and Electrical Engineering, Northeast Forestry University, Harbin 150000, China
2
School of Civil Engineering, Southwest Jiaotong University, Chengdu 610000, China
*
Author to whom correspondence should be addressed.
Forests 2023, 14(12), 2324; https://doi.org/10.3390/f14122324
Submission received: 21 September 2023 / Revised: 29 October 2023 / Accepted: 21 November 2023 / Published: 27 November 2023
(This article belongs to the Section Forest Ecophysiology and Biology)

Abstract

Bordered pits in conifers have been recognized as a significant evolutionary characteristic that served to impede the spread of embolisms between tracheids. Nevertheless, there was a lack of comprehensive understanding regarding the mechanical properties of the torus and the pit border in relation to the formation of contact seals in aspirated pits. A solid mechanics model was developed to study aspirated bordered pits, incorporating the elastic deformation of the torus–margo structure and the contact behavior between the torus and the pit border. Ten pit samples were reconstructed using transmission electron microscopy (TEM) and scanning electron microscopy (SEM) pictures in order to develop mechanical models for pits in the stems of Platycladus orientalis. Due to the limited contact area on the torus surface, the contact pressure between the torus and the pit border exceeded the air pressure in aspirated bordered pits. The external force and the duration required to seal pits decreased when the pit diameter increased and the pit depth decreased. The augmentation of the torus and margo mass necessitated a lengthier duration for the closure of cavities. The findings presented in this study offered theoretical support for the capillary-seeding hypothesis. The aspiration in bordered pits mechanically depended on the structural and material characteristics of the torus and margo.

1. Introduction

The resistance of xylem to cavitation, which led to the embolization of water movement, was an essential characteristic for conifers in their ability to withstand drought-induced stress [1,2]. The presence of bordered pits in conifers has been recognized as a crucial evolutionary characteristic that facilitated water transfer in living trees by avoiding the spread of embolism from one tracheid to another under negative pressure [3]. There have been global reports of hydraulic failure caused by drought in recent years [4,5]. There has been a growing interest in the influence of the bordering pit on conifer hydraulic safety [6,7,8]. The literature extensively documents the observation of contact between the torus and the pit border in aspirated pits as a means to avoid air-seeding leakage between tracheids [9,10,11]. This phenomenon (Figure 1) was also found in a greenhouse experiment conducted at Northeast Forest University in Harbin, China, specifically investigating water stress conditions. However, it appeared to be less understood that the mechanical behavior of the torus and the pit border in the formation of a contact seal during pit aspiration.
The bordered pit in conifers was composed of a centrally thickened region known as the torus, and a porous region with radiating threads referred to as the margo [12,13]. A dense and non-porous layer of pectin [14] was applied to the surface of the torus, which was commonly regarded as impervious to both water and air [15,16]. Evidence suggested that the torus–margo structure in bordered pits could serve as a safety mechanism to impede the movement of air bubbles between tracheids [17]. Among a large number of conifer species, the cross-species correlations between structure parameters and cavitation resistance of bordered pits showed that a torus–aperture overlap and the valve effect were the best proxy to explain the variability of cavitation resistance [18,19,20]. The results supported the seal capillary-seeding hypothesis that the contact and adhesion between the torus and the pit wall in aspirated pits contributed to sealing the air-seeding and blocking embolism spread [21], although plasmodesmatal pores in the torus may also contribute to air-seeding in some species [22]. In a study conducted by Zelinka et al. [23], it was shown that torus displacement with margo stretching to an aspirated position required a force below 3 μN, and the torus was found to be extremely compliant. The results supported the suggestion that the pressures required for air seeding past the sealed torus were greater than the pressures needed to deflect the torus enough to seal the pit [24]. Although substantial evidence suggested that the contact between the torus and the pit border was the key mechanism for preventing air-seeding spread in conifers, the mechanical characteristic between the contact seal and torus–margo structure have not been comprehensively understood.
To investigate the mechanical properties involved in the process of pit aspiration, the utilization of mechanical analysis has emerged as a significant approach alongside experimental measurement [25]. A linear stress–strain model was devised by John and Uwe in order to determine the displacement of the pit membrane in angiosperm vessels when subjected to a pressure differential [26]. The forces related to the displacement of pit membranes were investigated by Konrad and Roth-Nebelsick [27]. A mechanical model was developed, incorporating the geometric characteristics of the pits, utilizing the Kirchhoff–Love thin plate theory [28]. The methodology employed for constructing the mechanical model enabled the evaluation of how the pit’s geometry influences its mechanical characteristics. The torus–margo structure observed in conifer pits exhibited a higher level of complexity when contrasted with the pit structure found in angiosperm vessels. A linear elastic model was developed to forecast the closure pressure, utilizing a simplified margo structure consisting of a regular distribution of spokes [29]. The variability of the margo structure across different species has been noted [30]. In response, Schulte et al. [31] devised a mechanics model utilizing the finite element method (FEM) to accurately represent the torus–margo structure. This model enabled the investigation of intricate structures involving higher-order freedoms, such as tracheid wall deformation [32] and pit membrane natural frequency [33]. In order to assess the forces related to displacements of the torus–margo, the investigation constructed a geometric model incorporating intricate characteristics observed by electron microscopy. Under the pressure applied to the torus and margo, the margo stretching and the torus deflection were investigated. The simulation results facilitated comprehension of the torus–margo structure’s role in closing the pit chamber. However, the comprehensive exploration of the interaction between the torus and the pit border, which served as a crucial mechanism in the development of contact seals, remained not fully investigated.
To gain insights into the mechanical properties of pit aspiration, a mechanical model was developed. This model incorporated the elastic deformation of the torus–margo structure and the contact behavior between the torus and the pit border. The investigation unveiled the mechanical process by which the contact seal in aspirated bordered pits developed, under the influence of external pressure exerted on the torus and margo. This study aimed to examine the associations between the mechanical properties and the anatomical structure of bordered pits in the stem of Platycladus orientalis. The obtained results provided theoretical support for the capillary-seeding hypothesis and will be valuable for future investigations into the phenomenon of capillary-seeding failure among tracheids.

2. Materials and Methods

2.1. Mechanics Theory

In bordered pits, the pressure differences between the embolized tracheid and the functional tracheid induced pit aspiration to seal the path for air-seeding leakage. The pit aspiration process known as the safe-valve effect functionally included that the torus closed the pit chamber with the margo stretching, and the torus contacted the pit border for developing the air-block seal.
For aspirated bordered pits in the state of force equilibrium, the static equation for the elastic torus and margo structure under the external forces was [34]
0 = σ + f ,
where σ was the internal stress induced by the material elastic deformation and f was the external stress induced by the pressure difference and the contact force.
During pit aspiration, the dynamic equation including the force of inertia was
m a = σ + f ,
where a was the acceleration and m was the material mass.
In the above equations, Hook’s law was developed to describe the relationship between the stress (σ) and the strain (ε). Within the elastic limit of materials, the strain was proportional to the stress:
σ = D ε ,
where D was the material matrix which depended on the elastic modulus and Poisson’s ratio of the material.
For a complicated structure, the partial differential equations were solved with the finite element method (FEM) [35]. When contact happened between the torus and the pit border, a primary–secondary contact algorithm was applied to calculate the contact pressure in the interface. The development of the FEM model generally included preparing pit geometry, defining material properties, and applying external pressure and fixed constraints.

2.2. Plant Material

The bordered pits modeled in the present study were from Platycladus orientalis. The branches were obtained from trees approximately 1 m in height, which were cultivated within a greenhouse at the Northeast Forest University located in Harbin, China (45°04′ N, 127°42′ E, elevation 120 m). Ten stems were selected from five trees, and a fresh sample measuring 2 cm in length was obtained from each stem. These samples were then transported to the laboratory in a plastic bag containing wet wipes.
The SEM samples were cut into 10 mm lengths; split in half; and dehydrated in an ethanol series of 30, 50, 70, 90, 95, and 100% for 20 min in each solution. The samples were then air-dried for 12 h at room temperature and split in the radial plane. The SEM samples were fixed to aluminum stubs with electron conductive resin (Tebo Technology company, Harbin, China) and coated with platinum using a JEC3000FC auto-fine coater for 30 mA and 90 s. The samples were then observed with a JSM7500F scanning electron microscope (JEOL, Tokyo, Japan) at an accelerating voltage of 5~10 kV. Some photographs of earlywood bordered pits observed in SEM are shown (Figure 2).
The TEM samples were cut into 2 mm3 blocks and were fixed with 2.5% glutaraldehyde at 4 °C overnight. The samples were post-fixed with osmic anhydride (1%) at 4 °C for 2 h. The samples were dehydrated in a stepwise acetone at 4 °C and embedded in 812 Epon resin. After resin polymerization at 70 °C for 2 days, a 65–70 nm section was cut with a UC6 ultra-microtome (Leica Microsystems, Wetzlar, Germany) and stained with uranyl acetate and lead citrate before being analyzed in an H-7650 (Hitachi, Tokyo, Japan) operated at 80 kV. Some photographs of earlywood bordered pits observed in TEM are shown (Figure 3).

2.3. Model Development

The mechanical model of bordered pits, as depicted in Figure 4, incorporated three main components: the torus, margo, and pit border. The process of reconstructing the 3D geometry model involved the utilization of Solidworks software version 2021 (Dassault Systemes, Waltham, MA, USA), 3D modeling software, to import the two-dimensional micrographs. The two-dimensional profiles of the torus and pit boundaries were derived from the transmission electron microscopy (TEM) images. The two-dimensional depiction of margo, derived from the scanning electron microscope (SEM) image, was imported into the AutoCAD software version 2019 (Autodesk, San Francisco, CA, USA). Subsequently, it was incorporated into the three-dimensional model and extruded using the thickness value obtained from the TEM image. Due to the unavailability of a face-on SEM image within the same pit as observed in the pit cross-section of a TEM image, the SEM and TEM images were chosen to possess similar pit sizes and ratios between the pit diameter and torus diameter. The SEM images revealed that the majority of the margo had localized damage to varied extents in one or two specific regions. This observation was likely attributed to the artifact of sample processing. In the case of margo exhibiting a partial damage area of less than 20%, the damaged pores were restored by utilizing undamaged sections aligned with the microfibril direction.
To construct the mechanical model of bordered pits, it was postulated that the material property remained consistent throughout margo–torus components, disregarding material anisotropy and variations in this preliminary study. The torus–margo structure exhibited elastic deformation in accordance with Hook’s law, with no occurrence of plastic deformation or material yielding. It was hypothesized that the friction between the torus and the pit border would be insignificant when moist lubrication conditions were present in the water. Due to its higher rigidity in comparison to the torus, the pit border was represented in the model as geometric boundaries that exhibited rigid behavior, devoid of any elastic deformation.
The mechanical properties of the torus–margo structure were influenced by three essential material parameters: elastic modulus, Poisson’s ratio, and density. While several studies have been conducted on the mechanical properties of tissues and organs at various levels [36,37], there was a limited amount of published research on the material characteristics within the bordered pit. The determination of these characteristics was essential for the mechanical analysis, as extensively elaborated upon in Reference [31]. According to the pressure difference required for closing the stem pit being lower than 0.075 MPa [38], the elastic modulus was evaluated to be 0.3 Gpa, which was a tenth of the value used in the study [31]. The Poisson’s ratio was selected to be 0.4, consistent with the study in [31]. The density of the torus and margo was postulated to be equivalent to that of the tracheid wall. The specific value of 1.5 × 103 kg/m3 for the tracheid wall was determined by dividing the wood density by the volume ratio [39].
The finite element models C3D4 and C3D8 were used to discretize the 3D structures of all pit components. The quantity of elements in the pit model was around 1.6 × 106. Uniform external pressure was given to one side of the torus in the situation where gas was present on the side of the pit and the other side was under water tension. The simulation was performed using the Abaqus software version 2019 (Dassault SIMULIA, Johnston, RI, USA), a widely used finite element program known for its ability to provide precise answers for nonlinear multi-physics studies. In order to validate the modeling and simulation technique, a specific bordered pit from the stem was recreated, as described in the study [31]. The displacement of the torus was determined by calculating the applied pressure ranging from 0 to 1 Mpa, using an elastic modulus of 3 Gpa and a Poisson’s ratio of 0.4. The comparison depicted in Figure 5 demonstrates a strong concurrence between the results of the present investigation and those of Schulte’s study. Due to the inherent limitations of the hand reconstruction process using various tools, it was expected that there would be some degree of modeling deviation. However, it was observed that the greatest variance between the studies was less than 5.260%. Hence, the modeling and simulation technique employed in the current study can be deemed as dependable.
The simulations were conducted using a workstation equipped with an AMD 5995WX CPU and 256 GB of memory. The duration of the static simulation ranged from 36 to 45 h, while the memory usage ranged from 80 to 110 GB. The range of time required for the dynamic simulation ranged from 60 to 84 h, while the memory usage ranged from 80 to 120 GB. Furthermore, the statistical analysis of pit dimensions and the utilization of simulation findings were conducted using standard functions within MATLAB version 2018a (MathWorks, Natick, MA, USA), a commonly employed programming and numeric computing platform for data analysis.

3. Results

The dataset consisted of 53 samples (Figure 6a). The pit membrane diameter varied between 6.770 μm and 9.350 μm, with an average of 8.193 μm and a standard deviation of 0.680 μm. Similarly, the torus diameter ranged from 2.333 μm to 4.592 μm, with a mean of 3.405 μm and a standard deviation of 0.528 μm. A strong positive correlation was seen between the diameter of the pit membrane and the diameter of the torus (p < 0.001). The depth of the pit varied between 1.401 μm and 2.106 μm, with an average depth of 1.785 μm and a standard deviation of 0.224 μm, as shown in Figure 6b. The negative relationship between pit diameter and pit depth was not significant (p = 0.1171).
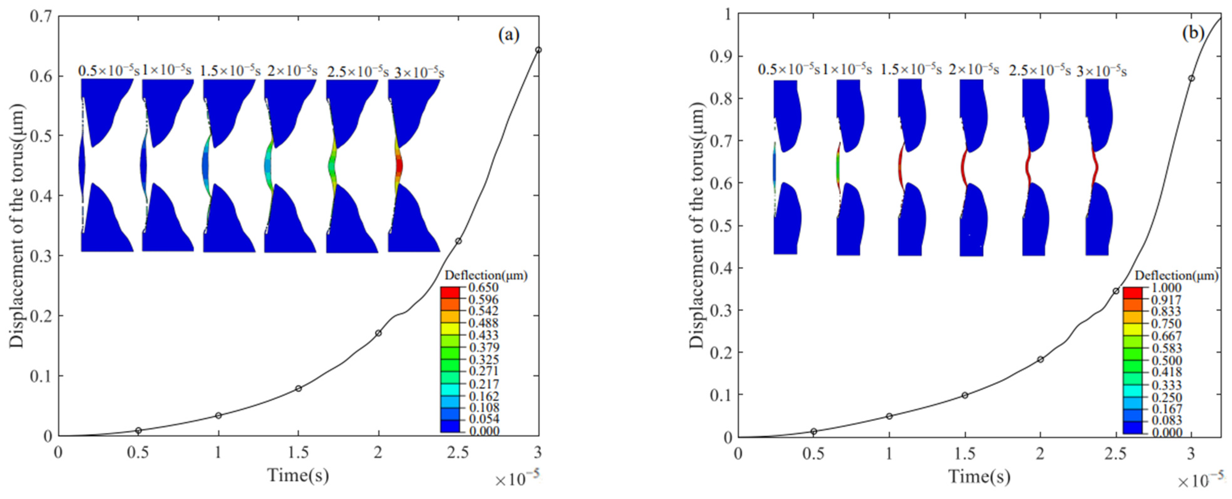
The displacement of the torus exhibited a nonlinear increase when the applied pressure increased from 0 to 0.35 MPa, as shown in Figure 7. Based on the analysis of the deflection gradient, the pit aspiration procedure can be divided into two distinct subprocesses. The initial subprocess involves the closure of the pit chamber by the torus, which was characterized by a high deflection gradient. Subsequently, the torus proceeds to seal the pit aperture, employing a lower deflection gradient. During the initial stage, the margo underwent elongation due to the exerted pressure, resulting in the displacement of the torus from its original centered position. As the torus was much thicker than the margo, the deformation of the margo was more significant than the torus deformation. With applied pressures ranging from 14.912 to 194.912 kPa (mean for the ten models of 61.874 kPa and a standard deviation of 59.4613 kPa), the torus closed the pit chamber and began to contact the pit borders with the center of the torus deflecting between 0.457 and 0.881 μm. Through the process of incorporating the exerted pressure onto the torus and margo surfaces, it was observed that the closure of the chamber necessitated forces within the range of 0.372 to 3.978 μN. The average force across the ten models was found to be 1.521 μN, with a standard deviation of 1.448 μN.
In the subsequent stage of the process, the interaction between the torus and the pit border provided support to the torus and hindered further deflection of the torus. The alteration of the torus shape played a significant role in augmenting the surface area of the contact between the torus and the pit border. The contact pressure saw a notable rise due to the limited contact area relative to the surface of the torus and the margo, where the external pressure was applied (Figure 8). To effectively prevent the escape of air through the contact zone, it was necessary to apply a contact pressure that exceeded the external gas pressure. Additionally, the width of the contact region needed to be greater than the surface roughness on the pit border. To assess the minimal pressure necessary for effectively sealing bordered pits, a contact area width of more than 0.15 μm was used. This decision was based on the observation that the average diameter of warts typically seen on the pit border is less than 0.15 μm. Among the ten models examined, the sealing pressure exhibited a range of 42.412 to 275.912 kPa. The mean sealing pressure for these models was calculated to be 104.462 kPa, with a standard deviation of 70.504 kPa. Additionally, the closing-to-sealing pressure, defined as the difference between the sealing pressure and the closing pressure, varied from 10.5 to 81 kPa. The mean closing-to-sealing pressure for the ten models was determined to be 40.284 kPa, with a standard deviation of 21.879 kPa.
The statistical analysis between mechanics results and pit geometry presented in Table 1 revealed significant dependencies on the pit diameter (p < 0.05) and torus diameter (p < 0.05) in terms of the pressure necessary to close the pit chamber. In comparison, the pit depth (p < 0.1) exhibited a relatively weaker association. The results of the linear regression analysis (Figure 9) demonstrated that the closing pressure had a negative correlation with the decrease in pit diameter (R = 0.424) and torus diameter (R = 0.400), as well as a positive relationship with the increase in pit depth (R = 0.356).
The pressure increase from the closing of the chamber to the sealing of the pit exhibited a significant dependence on the diameter of the torus (p < 0.01), in comparison to the diameter of the pit (p < 0.05). Nevertheless, the pit depth did not demonstrate statistical significance (p > 0.1). The results of the linear regression analysis, as depicted in Figure 10, suggested a negative relationship between the closing to sealing pressure and the pit diameter (R = 0.4719), as well as the torus diameter (R = 0.6105). Conversely, an increase in pit depth was associated with a positive but weak correlation with the closing to sealing pressure (R = 0.1689).
The evaluation of the effects of Young’s modulus and Poisson’s ratio on the closing pressure and the sealing pressure was conducted by implementing one out of ten models. The variation in the Young’s modulus value (Figure 11a) ranging from 0.1 to 0.5 GPa exhibited a significant influence on the mechanical responses of the margo–torus structure. The relationship between the closure pressure and the sealing pressure exhibited a nearly proportionate trend with respect to Young’s modulus. Conversely, the impact of Poisson’s ratio on the pressures was found to be minimal, as indicated in Figure 11b.
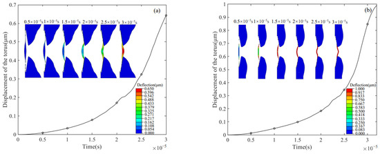
The analysis revealed a statistically significant positive connection (p < 0.1) between the pit diameter and the mass of the torus and margo, as depicted in Figure 12. In addition to the dimensions of pit diameter and pit depth, the dynamic modeling of the torus–margo structure was also affected by the inertia resulting from the mass of the torus and margo components. Under the applied pressure of 350 kPa, it was observed in Figure 13 that the displacement of the torus exhibited a significant delay compared to the displacement of the margo, as the former possessed a significantly greater mass than the latter. For all the pit models, the duration for sealing pits was in the range of 2.68 × 10−5 to 3.51 × 10−5 s, with an average time of 3.05 × 10−5 s and a standard deviation of 2.58 × 10−6 s. The duration required for sealing pits was contingent upon the diameter of the pit (p = 0.5148), the depth of the pit (p = 0.3270), and the mass of the torus–margo structure (p = 0.3394). The regression analysis conducted on the data (Figure 14) revealed that there was a positive correlation between the time required for sealing pits and the decrease in pit diameter (R = 0.0629), as well as an increase in pit depth (R = 0.1369) and the mass of the torus and margo (R = 0.1305).

4. Discussion

The margo that elastically supported the torus underwent severe tensile deformation and caused a large deflection of the torus as a result of the external forces induced by the applied pressure. When the torus did not contact the pit border, the deformation of the torus was minimal compared to the margo. After the torus contacted the pit border, the applied pressure and the contact pressure drove the torus to distort, causing it to take on the profile of the pit border. The flexibility of the torus, which was also noted in micromechanical testing [23], was crucial to creating the contact seal between the torus and the pit border, contrary to the assumption made in air-seeding models that the torus was rigid [18,21]. The contact pressure was greater than the external gas pressure inside the contact area. The bordered pit was able to stop the spread of the embolism due to the tight contact blocking the air leakage path in the interface. The simulation results supported the capillary seeding hypothesis that the torus’ adhesion to the pit border was the primary factor affecting cavitation resistance. The torus in Pinus strobus L. observed using 4Pi and confocal laser scanning microscopy was a sandwich structure more complicated than the torus structure modeled in the present study, in which the dense and nonporous pectin layer on the surface encircled the inside cellulose layer [14]. Although there may be differences in chemical composition and microstructure for the cellulose layer and the pectin layer across species, the presence of a sandwich structure has been consistently observed across several species [40,41]. Based on the empirical hypothesis that the pectin material was significantly softer than the cellulose material, it was advantageous for the torus sandwich structure that the inner cellulose layer was subject to external pressure load to prevent seal failure due to excessive deformation, while the soft pectin layer was able to fill and seal the roughness on the surface of the pit border under the squeezing forces in the contact area. The contact sealing mechanism between the torus and the pit border was substantiated by the link between the biological structure and the mechanical results.
The study’s predictions for the closure pressures were consistent with the pressure differential (between 33 and 470 kPa) calculated from measurements of hydraulic conductivity [24,42]. The margo membrane was extremely thin and possessed many pores, which made it highly compliant. The mean force required to close the pit (lower than 1.521 μN) also agreed with the force (much lower than 3 μN) measured in the test [23]. The torus–margo structure needed more external pressure to seal bordered pits once the torus came into contact with the pit border. For ideally smooth surfaces, the sealing condition was that the two sealing surfaces had to come into contact with one another. Given that the pit border’s surface was rough, it was conservatively suggested that the sealing requirement for bordered pits be that the contact pressure in the contact region should be higher than the external gas pressure and the contact breadth should be greater than the surface roughness. It was crucial that both the contact pressure and the width of the contact zone grew when the applied pressure increased and the torus made contact with the pit border. This could be the cause of the conifers’ capacity to resist air-seeding spread in the tracheids’ water transportation system.
There was a complex link between the torus–margo structure and the mechanical reactions to the external pressure for all of the pits represented in the study, as evidenced by the variations in the closure pressure and the closing-to-sealing pressure. The margo flexibility, the external force, and the pit depth were the primary factors in closing pits. By increasing the margo’s surface area, the increase in pit diameter decreased the margo’s stiffness. The torus diameter increased and the pit depth reduced as the pit diameter rose, according to the positive connection between the torus diameter and the pit diameter, and the negative connection between the pit depth and the pit diameter, respectively. The increase in the pit diameter strengthened the structural flexibility, increased the external force on the torus–margo structure, and reduced the torus displacement required to close the pit chamber. As a result, a negative association was observed between the pit diameter and the closing pressure. Once the torus made contact with the pit border, the torus in the cross-section resembled that of a beam supported by two endpoints within the contact region. The augmentation of the torus diameter resulted in enhanced torus flexibility and facilitated greater interaction between the torus and the pit border. Simultaneously, the augmentation of the torus diameter resulted in the amplification of the external force. Hence, a negative association was seen between the diameter of the torus and the closing to sealing pressure. The findings of this study demonstrated that the geometric characteristics of the torus–margo structure play a significant role in influencing the safety valve effects during tracheid cavitation. According to the research in [20], there were notable variations in the geometry of bordered pits across different species. Therefore, it was imperative to conduct a comparative analysis of the mechanical properties among the various conifer species.
The model results were significantly influenced by material parameters, such as the Young’s modulus. In line with previous studies on the mechanical analysis of the pit membrane [28,31], our model solution demonstrates a positive correlation between Young’s modulus values and both the closing pressure and sealing pressure. Despite the emphasis placed on the significance of material properties [28,31], the availability of experimental data for the pit membrane remained limited due to the inherent challenges associated with measuring these variables. Despite the presence of uncertainties in Young’s modulus values, the mechanical behavior in the model solutions remained reliable as long as the material properties between the margo and the torus did not exhibit considerable differences. To mitigate the occurrence of air-seeding, it was hypothesized that the Young’s modulus of the margo and the torus materials should not exhibit excessively high values. Otherwise, the torus–margo structure will be unable to effectively seal the bordered pit as a result of insufficient pressure differential between neighboring tracheids. To enhance the sealing capacity, it was important for species that exhibited resistance to cavitation to possess a margo with high flexibility. However, the deflection of the torus caused by a highly flexible margo under the pressure difference between functional tracheids would increase flow resistance [18]. The margo flexibility was supposed as a viable indicator for assessing the trade-off qualities between hydraulic efficiency and safety in the xylem. On the other hand, many investigations have expressed concerns regarding the potential for the torus to be extracted through the pit aperture due to the significant flexibility of the margo [18]. In the statistical analysis conducted on 115 conifer species [20], it was consistently observed that the diameter of the torus exceeded the diameter of the pit aperture. This finding underscores the significance of the torus’s structural-load-carrying capacity in preventing torus prolapse. Given the assumption that the external force (about 60 μN) that pushed the torus out of the pit aperture was uniformly distributed across the surface area of the pit membrane [23], the calculated pressure with the pit models in the study was between 2.02 and 2.94 MPa. The findings suggested that the torus touching the pit border exhibited a robust ability to withstand external pressure.
When air-seeding occurred within a tracheid, the sap within the tracheid underwent quick gasification due to the negative pressure. To prevent the spread of air-seeding through bordered pits, it is advisable to perform the torus aspiration in a swift manner. The analysis of the model solution revealed that the torus aspiration, when subjected to a pressure of 350 kPa, required around 10−5 s to effectively seal bordered pits. According to the study [43], it was found that the negative pressure, which was influenced by the height of conifers, may reach values lower than −2 MPa. Consequently, the duration required for the sealing pits could be significantly reduced. The structural inertia of the torus–margo structure, as determined by its mass in Equation (2), impeded the torus from sealing the bordered pit under cavitation pressure forces. Hence, the reduction in torus–margo mass resulted in a decrease in the duration needed for pit sealing. Based on the static results, it was found that an increase in the diameter of the pit led to an improvement in the flexibility of the margo, resulting in a reduction in the time required for sealing pits. The augmentation of the depth of the pit necessitated a greater degree of torus deflection in order to effectively seal the pits, resulting in a lengthier duration for the pit-sealing process. While the statistical associations between the pit width, pit depth, and mass of the torus–margo structure with the sealing time were found to be non-significant, the linear regression analysis provided support for the mechanical findings on the impacts of the torus–margo structure. In contrast to the static simulation, the dynamic reactions in the transient aspiration were influenced by a greater number of parameters. The increase in pit diameter resulted in contrasting impacts on the sealing time due to the combined influence of the enhanced margo flexibility and the increased torus and margo mass. The observed discrepancy between the relevance of the pit diameter and the anticipated value derived from the static simulation may be attributed to this factor. The complex relationship between the torus–margo structure and its dynamic responses was revealed through the investigation of the structure’s behavior under applied pressure. Hence, it was possible that the linear regression analysis did not adequately capture the relationship between the torus–margo structure and the sealing time. In comparison with the static simulation focusing on the sealing mechanism in aspirated bordered pits, the dynamic analysis preferred simulating transient responses during pit aspiration. The findings from both the static and dynamic analyses suggested that the aspiration of the bordered pit in conifers was a complex mechanical process that relied on the specific structural and material characteristics of the torus and margo.
The numerical results of the mechanical model originally elucidated the contact sealing process and unveiled the effects of the torus–margo structure. The findings suggested that employing a numerical simulation grounded in reliable mechanics theory could serve as a viable method for studying aspiration in bordered pits. This approach was particularly useful in investigating mesoscopic structures such as torus and margo, where performing experiments could be challenging. When compared to the study in [31], the p-value obtained from the correlation analysis in the present study was found to be lower. In contrast to the analysis for the elastic deformation of the torus and margo structure in the study, the contact behavior in the present study exhibited a pronounced nonlinearity that was closely associated with the surface profile of the torus, margo, and pit border. Due to the presence of notable variations in the surface profile throughout each pit, the inevitable differences were detrimental to the effectiveness of the correlation analysis. To mitigate random error in the correlation analysis, it would be necessary to augment the dataset of pit borders.
To enhance the accuracy of the mechanical model, it was recommended that three key areas of investigation should be undertaken. The first involved the reconstruction of a more intricate sandwich configuration of the torus, accompanied by thorough observation [14], as the presence of soft pectin surrounding the torus would substantially enhance the contact regions inside the interface between the torus and the pit border. The second was quantifying and characterizing the material properties of the torus and margo, specifically focusing on factors such as the orientation of the fibrils and the anisotropic nature [44]. The final was to enhance the precision of fluid pressure exerted on the torus and margo, as it was observed to be non-uniform over the surface of the torus–margo [45], and exhibited variations according to the deflection of the torus. The integration of fluid dynamics and solid mechanics in a coupling study was a viable and practical technique. Furthermore, the mechanical model that has been provided, incorporating intricate user-defined programming, could be utilized to conduct further investigations into the failure of the contact seal resulting from pressure overload and material yield.

5. Conclusions

A comprehensive theoretical framework was established to describe the mechanics of aspirated bordered pits, encompassing the elastic deformation of the torus–margo structure and the contact behavior between the torus and the pit border. Ten pit samples were reconstructed from scanning electron microscopy (SEM) and transmission electron microscopy (TEM) images for the mechanical model of Platycladus orientalis stems. In aspirated bordered pits, the contact pressure between the torus and the pit border was higher than the external air pressure as the contact area was only part of the torus surface. The range of minimal pressure drop necessary for the sealing of pits was observed to be between 42.41 and 275.91 kPa. The duration for sealing pits exhibited a range of 2.68 × 10−5 to 3.51 × 10−5 s when subjected to an applied pressure of 350 kPa. The findings presented in this study offered theoretical support for the capillary-seeding hypothesis. The augmentation of the pit diameter, which improved margo flexibility along with the reduction in pit depth, contributed to the reduction in external force and time necessary for pit sealing. The augmented mass of the torus and margo resulted in amplified structural inertia, necessitating a lengthier duration for the sealing of pits. The efficient operation of the aspiration mechanism in bordered pits was closely linked to the specific structural and material properties of the torus and margo.

Author Contributions

Conceptualization, P.X.; methodology, P.X. and W.S.; software, Y.W.; validation, L.X.; resources, Q.L.; data curation, J.G.; writing—original draft preparation, J.G.; writing—review and editing, P.X.; visualization, H.Z. All authors have read and agreed to the published version of the manuscript.

Funding

This research was funded by the National Natural Science Foundation of China (No. 32001286) and the Fundamental Research Funds for the Central Universities (No. 2572021BF06).

Data Availability Statement

Data will be made available on request.

Conflicts of Interest

The authors declare no conflict of interest.

References

  1. Blackman, C.J.; Creek, D.; Maier, C.; Aspinwall, M.J.; E Drake, J.; Pfautsch, S.; O’grady, A.; Delzon, S.; E Medlyn, B.; Tissue, D.T.; et al. Drought response strategies and hydraulic traits contribute to mechanistic understanding of plant dry-down to hydraulic failure. Tree Physiol. 2019, 39, 910–924. [Google Scholar] [CrossRef] [PubMed]
  2. Johnson, K.M.; Brodribb, T.J. Evidence for a trade-off between growth rate and xylem cavitation resistance in Callitris rhomboidea. Tree Physiol. 2023, 43, 1055–1065. [Google Scholar] [CrossRef]
  3. Jansen, S.; McAdam, S. Pits with aspiration explain life expectancy of a conifer species. Proc. Natl. Acad. Sci. USA 2019, 116, 14794–14796. [Google Scholar] [CrossRef] [PubMed]
  4. De Kauwe, M.G.; Medlyn, B.E.; Ukkola, A.M.; Mu, M.; Sabot, M.E.; Pitman, A.J.; Meir, P.; Cernusak, L.A.; Rifai, S.W.; Choat, B.; et al. Identifying areas at risk of drought-induced tree mortality across South-Eastern Australia. Glob. Chang. Biol. 2020, 26, 5716–5733. [Google Scholar] [CrossRef] [PubMed]
  5. Johnson, D.M.; Katul, G.; Domec, J. Catastrophic hydraulic failure and tipping points in plants. Plant Cell Environ. 2022, 45, 2231–2266. [Google Scholar] [CrossRef] [PubMed]
  6. Choat, B.; Cobb, A.R.; Jansen, S. Structure and function of bordered pits: New discoveries and impacts on whole-plant hydraulic function. New Phytol. 2007, 177, 608–626. [Google Scholar] [CrossRef]
  7. Choat, B.; Pittermann, J. New insights into bordered pit structure and cavitation resistance in angiosperms and conifers. New Phytol. 2009, 182, 557–560. [Google Scholar] [CrossRef]
  8. Pittermann, J.; Choat, B.; Jansen, S.; Stuart, S.A.; Lynn, L.; Dawson, T.E. The Relationships between Xylem Safety and Hydraulic Efficiency in the Cupressaceae: The Evolution of Pit Membrane Form and Function. Plant Physiol. 2010, 153, 1919–1931. [Google Scholar] [CrossRef]
  9. Sasani, N.; Pâques, L.E.; Boulanger, G.; Singh, A.P.; Gierlinger, N.; Rosner, S.; Brendel, O. Physiological and anatomical responses to drought stress differ between two larch species and their hybrid. Trees 2021, 35, 1467–1484. [Google Scholar] [CrossRef]
  10. Matsumura, J.; Yamasaki, Y.; Oda, K.; Fujisawa, Y. Profile of bordered pit aspiration in Cryptomeria japonica using confocal laser scanning microscopy: Pit aspiration and heartwood color. J. Wood Sci. 2005, 51, 328–333. [Google Scholar] [CrossRef]
  11. Roskilly, B.; Keeling, E.; Hood, S.; Giuggiola, A.; Sala, A. Conflicting functional effects of xylem pit structure relate to the growth-longevity trade-off in a conifer species. Proc. Natl. Acad. Sci. USA 2019, 116, 15282–15287. [Google Scholar] [CrossRef] [PubMed]
  12. Badel, E.; Ewers, F.W.; Cochard, H.; Telewski, F.W. Acclimation of mechanical and hydraulic functions in trees: Impact of the thigmomorphogenetic process. Front. Plant Sci. 2015, 6, 266. [Google Scholar] [CrossRef] [PubMed]
  13. Chukhchin, D.G.; Vashukova, K.; Novozhilov, E. Bordered Pit Formation in Cell Walls of Spruce Tracheids. Plants 2021, 10, 1968. [Google Scholar] [CrossRef] [PubMed]
  14. Maschek, D.; Goodell, B.; Jellison, J.; Lessard, M.; Militz, H. A new approach for the study of the chemical composition of bordered pit membranes: 4Pi and confocal laser scanning microscopy. Am. J. Bot. 2013, 100, 1751–1756. [Google Scholar] [CrossRef] [PubMed]
  15. Lens, F.; Tixier, A.; Cochard, H.; Sperry, J.S.; Jansen, S.; Herbette, S. Embolism resistance as a key mechanism to understand adaptive plant strategies. Curr. Opin. Plant Biol. 2013, 16, 287–292. [Google Scholar] [CrossRef]
  16. Bao, F.; Lu, J.; Zhao, Y. Effect of bordered pit torus position on permeability in Chinese yezo spruce. Wood Fiber Sci. 2001, 33, 193–199. [Google Scholar]
  17. Mayr, S.; Kartusch, B.; Kikuta, S. Evidence for Air-Seeding: Watching the Formation of Embolism in Conifer Xylem. J. Plant Hydraul. 2014, 1, e004. [Google Scholar] [CrossRef]
  18. Cochard, H.; Hölttä, T.; Herbette, S.; Delzon, S.; Mencuccini, M. New Insights into the Mechanisms of Water-Stress-Induced Cavitation in Conifers. Plant Physiol. 2009, 151, 949–954. [Google Scholar] [CrossRef]
  19. Song, Y.; Poorter, L.; Horsting, A.; Delzon, S.; Sterck, F. Pit and tracheid anatomy explain hydraulic safety but not hydraulic efficiency of 28 conifer species. J. Exp. Bot. 2021, 73, 1033–1048. [Google Scholar] [CrossRef]
  20. Bouche, P.S.; Larter, M.; Domec, J.-C.; Burlett, R.; Gasson, P.; Jansen, S.; Delzon, S. A broad survey of hydraulic and mechanical safety in the xylem of conifers. J. Exp. Bot. 2014, 65, 4419–4431. [Google Scholar] [CrossRef]
  21. Delzon, S.; Douthe, C.; Sala, A.; Cochard, H. Mechanism of water-stress induced cavitation in conifers: Bordered pit structure and function support the hypothesis of seal capillary-seeding. Plant Cell Environ. 2010, 33, 2101–2111. [Google Scholar] [CrossRef] [PubMed]
  22. Jansen, S.; Lamy, J.-B.; Burlett, R.; Cochard, H.; Gasson, P.; Delzon, S. Plasmodesmatal pores in the torus of bordered pit membranes affect cavitation resistance of conifer xylem. Plant Cell Environ. 2012, 35, 1109–1120. [Google Scholar] [CrossRef] [PubMed]
  23. Zelinka, S.L.; Bourne, K.J.; Hermanson, J.C.; Glass, S.V.; Costa, A.; Wiedenhoeft, A.C. Force-displacement measurements of earlywood bordered pits using a mesomechanical tester. Plant Cell Environ. 2015, 38, 2088–2097. [Google Scholar] [CrossRef] [PubMed]
  24. Domec, J.; Lachenbruch, B.; Meinzer, F.C. Bordered pit structure and function determine spatial patterns of air-seeding thresholds in xylem of Douglas-fir (Pseudotsuga menziesii; Pinaceae) trees. Am. J. Bot. 2006, 93, 1588–1600. [Google Scholar] [CrossRef] [PubMed]
  25. McDowell, N.G.; Brodribb, T.J.; Nardini, A. Hydraulics in the 21st century. New Phytol. 2019, 224, 537–542. [Google Scholar] [CrossRef]
  26. Sperry, J.S.; Hacke, U.G. Analysis of circular bordered pit function I. Angiosperm vessels with homogenous pit membranes. Am. J. Bot. 2004, 91, 369–385. [Google Scholar] [CrossRef] [PubMed]
  27. Konrad, W.; Roth-Nebelsick, A. The Significance of Pit Shape for Hydraulic Isolation of Embolized Conduits of Vascular Plants During Novel Refilling. J. Biol. Phys. 2005, 31, 57–71. [Google Scholar] [CrossRef][Green Version]
  28. Tixier, A.; Herbette, S.; Jansen, S.; Capron, M.; Tordjeman, P.; Cochard, H.; Badel, E. Modelling the mechanical behaviour of pit membranes in bordered pits with respect to cavitation resistance in angiosperms. Ann. Bot. 2014, 114, 325–334. [Google Scholar] [CrossRef]
  29. Hacke, U.G.; Sperry, J.S.; Pittermann, J. Analysis of circular bordered pit function II. Gymnosperm tracheids with torus-margo pit membranes. Am. J. Bot. 2004, 91, 386–400. [Google Scholar] [CrossRef]
  30. Schulte, P.J.; Hacke, U.G.; Schoonmaker, A.L. Pit membrane structure is highly variable and accounts for a major resistance to water flow through tracheid pits in stems and roots of two boreal conifer species. New Phytol. 2015, 208, 102–113. [Google Scholar] [CrossRef]
  31. Schulte, P.J.; Hacke, U.G. Solid mechanics of the torus–margo in conifer intertracheid bordered pits. New Phytol. 2020, 229, 1431–1439. [Google Scholar] [CrossRef] [PubMed]
  32. Muzamal, M.; Gamstedt, E.K.; Rasmuson, A. Mechanistic study of microstructural deformation and stress in steam-exploded softwood. Wood Sci. Technol. 2017, 51, 447–462. [Google Scholar] [CrossRef]
  33. Terziev, N.; Daniel, G.; Torgovnikov, G. Theoretical determination of pit membrane natural frequency for destruction by resonance effect. BioResources 2021, 16, 2683–2695. [Google Scholar] [CrossRef]
  34. Sadd, M.H. Elasticity: Theory, Applications, and Numerics; Academic Press: Cambridge, MA, USA, 2009. [Google Scholar]
  35. Larson, M.G.; Bengzon, F. The Finite Element Method: Theory, Implementation, and Applications; Springer Science and Business Media: New York, NY, USA, 2013. [Google Scholar]
  36. Mencuccini, M.; Grace, J.; Fioravanti, M. Biomechanical and hydraulic determinants of tree structure in Scots pine: Anatomical characteristics. Tree Physiol. 1997, 17, 105–113. [Google Scholar] [CrossRef] [PubMed]
  37. Niklas, K.J.; Spatz, H.-C. Worldwide correlations of mechanical properties and green wood density. Am. J. Bot. 2010, 97, 1587–1594. [Google Scholar] [CrossRef] [PubMed]
  38. Gregory, S.C.; Petty, J.A. Value Action of Bordered Pits in Conifers. J. Exp. Bot. 1973, 24, 763–765. [Google Scholar] [CrossRef]
  39. Salmén, L. On the organization of hemicelluloses in the wood cell wall. Cellulose 2022, 29, 1349–1355. [Google Scholar] [CrossRef]
  40. Bauch, J.; Liese, W.; Berndt, H. Biological investigations for the improvement of the permeability of softwoods. Holzforschung 1970, 24, 199–205. [Google Scholar] [CrossRef]
  41. Imamura, Y.; Harada, H.; Saiki, H. Embedding substances of pit membranes in softwood tracheids and their degradation by enzymes. Wood Sci. Technol. 1974, 8, 243–254. [Google Scholar] [CrossRef]
  42. Sperry, J.S.; Tyree, M.T. Water-stress-induced xylem embolism in three species of conifers. Plant Cell Environ. 1990, 13, 427–436. [Google Scholar] [CrossRef]
  43. Brodribb, T.J.; Holbrook, N.M. Water Stress Deforms Tracheids Peripheral to the Leaf Vein of a Tropical Conifer. Plant Physiol. 2005, 137, 1139–1146. [Google Scholar] [CrossRef] [PubMed]
  44. Li, S.; Wang, J.; Yin, Y.; Li, X.; Deng, L.; Jiang, X.; Chen, Z.; Li, Y. Investigating effects of bordered pit membrane morphology and properties on plant xylem hydraulic functions—A case study from 3D reconstruction and microflow modelling of pit membranes in angiosperm xylem. Plants 2020, 9, 231. [Google Scholar] [CrossRef] [PubMed]
  45. Schulte, P.J. Computational fluid dynamics models of conifer bordered pits show how pit structure affects flow. New Phytol. 2012, 193, 721–729. [Google Scholar] [CrossRef] [PubMed]
Figure 1. The bordered pits in the stem of Platycladus orientalis were inclined to aspirate under water stress. In a greenhouse experiment simulating water stress, many of the bordered pits aspirated in the stem living in serious drought (a), while the bordered pit living in a sufficient water environment seldom aspirated (b).
Figure 1. The bordered pits in the stem of Platycladus orientalis were inclined to aspirate under water stress. In a greenhouse experiment simulating water stress, many of the bordered pits aspirated in the stem living in serious drought (a), while the bordered pit living in a sufficient water environment seldom aspirated (b).
Forests 14 02324 g001
Figure 2. Scanning electron micrographs of earlywood bordered pits in stems from Platycladus orientalis, (a) Pit diameter = 9.24 μm, (b) Pit diameter = 7.79 μm, (c) Pit diameter = 7.22 μm.
Figure 2. Scanning electron micrographs of earlywood bordered pits in stems from Platycladus orientalis, (a) Pit diameter = 9.24 μm, (b) Pit diameter = 7.79 μm, (c) Pit diameter = 7.22 μm.
Forests 14 02324 g002
Figure 3. Transmission electron micrographs of earlywood bordered pits in stems from Platycladus orientalis, (a) Pit diameter = 8.05 μm, (b) Pit diameter = 8.73 μm, (c) Pit diameter = 9.25 μm.
Figure 3. Transmission electron micrographs of earlywood bordered pits in stems from Platycladus orientalis, (a) Pit diameter = 8.05 μm, (b) Pit diameter = 8.73 μm, (c) Pit diameter = 9.25 μm.
Forests 14 02324 g003
Figure 4. The reconstruction process from 2D SEM and TEM picture to 3D pit model.
Figure 4. The reconstruction process from 2D SEM and TEM picture to 3D pit model.
Forests 14 02324 g004
Figure 5. The displacement verification of the torus–margo model under the applied pressure from 0 to 1 Mpa. The deviation between the present study and the study in [27] was lower than 5.260%, as modeling errors were inevitable to manually create polygons for each pore in margo modeling.
Figure 5. The displacement verification of the torus–margo model under the applied pressure from 0 to 1 Mpa. The deviation between the present study and the study in [27] was lower than 5.260%, as modeling errors were inevitable to manually create polygons for each pore in margo modeling.
Forests 14 02324 g005
Figure 6. Pit geometry was measured from a scanning electron microscope (SEM, n = 39) and a transmission electron microscope (TEM, n = 14). As the torus diameter measured from SEM was conservative without any pore, the torus diameter measured in SEM was smaller than the diameter measured in TEM. The linear regression (a) between the pit diameter and the torus diameter was significant (p < 0.001). The linear regression (b) between the pit diameter and the pit depth was not significant (p > 0.1).
Figure 6. Pit geometry was measured from a scanning electron microscope (SEM, n = 39) and a transmission electron microscope (TEM, n = 14). As the torus diameter measured from SEM was conservative without any pore, the torus diameter measured in SEM was smaller than the diameter measured in TEM. The linear regression (a) between the pit diameter and the torus diameter was significant (p < 0.001). The linear regression (b) between the pit diameter and the pit depth was not significant (p > 0.1).
Forests 14 02324 g006
Figure 7. Static results of torus center displacement and elastic deformation. The displacement of the torus center under the applied pressure from 0 to 350 kPa is shown in the solid line. The displacement contour of the torus and margo in the cross-section of the pit with colors reflecting the displacement from the centered position (no applied pressure), (a) Pit diameter = 7.22 μm, (b) Pit diameter = 7.79 μm.
Figure 7. Static results of torus center displacement and elastic deformation. The displacement of the torus center under the applied pressure from 0 to 350 kPa is shown in the solid line. The displacement contour of the torus and margo in the cross-section of the pit with colors reflecting the displacement from the centered position (no applied pressure), (a) Pit diameter = 7.22 μm, (b) Pit diameter = 7.79 μm.
Forests 14 02324 g007
Figure 8. The contact pressure on the torus surface with increasing applied pressure. The contact pressure along the radial direction (the torus radius was 1.665 μm) under the applied pressure from 0 to 350 kPa is shown in the solid line. The contour of the torus and margo with colors reflects the contact pressure distribution under 200 kPa.
Figure 8. The contact pressure on the torus surface with increasing applied pressure. The contact pressure along the radial direction (the torus radius was 1.665 μm) under the applied pressure from 0 to 350 kPa is shown in the solid line. The contour of the torus and margo with colors reflects the contact pressure distribution under 200 kPa.
Forests 14 02324 g008
Figure 9. The line regression of the model results for the pressure required to close pits. (a) Pit diameter (p < 0.05), (b) torus diameter (p < 0.05), (c) pit depth (p < 0.1).
Figure 9. The line regression of the model results for the pressure required to close pits. (a) Pit diameter (p < 0.05), (b) torus diameter (p < 0.05), (c) pit depth (p < 0.1).
Forests 14 02324 g009
Figure 10. The line regression of the model results for the pressure from closing to sealing pits. (a) Pit diameter (p < 0.05), (b) torus diameter (p < 0.01), (c) pit depth (p > 0.1).
Figure 10. The line regression of the model results for the pressure from closing to sealing pits. (a) Pit diameter (p < 0.05), (b) torus diameter (p < 0.01), (c) pit depth (p > 0.1).
Forests 14 02324 g010
Figure 11. The influences of the Young’s modulus (a) and Poisson’s ratio values (b) on mechanical responses of the margo–torus structure in bordered pits from Platycladus orientalis.
Figure 11. The influences of the Young’s modulus (a) and Poisson’s ratio values (b) on mechanical responses of the margo–torus structure in bordered pits from Platycladus orientalis.
Forests 14 02324 g011
Figure 12. The line regression between the torus and margo mass and pit diameter (p < 0.1).
Figure 12. The line regression between the torus and margo mass and pit diameter (p < 0.1).
Forests 14 02324 g012
Figure 13. Dynamic results from one of the ten models for stem pits from Platycladus orientalis. The displacement of the torus center under the applied pressure of 350 kPa is shown in the solid line. The displacement contour of the torus and margo in the cross-section of the pit with colors reflecting the deflection from the centered position, (a) Pit diameter = 9.24 μm, (b) Pit diameter = 8.25 μm.
Figure 13. Dynamic results from one of the ten models for stem pits from Platycladus orientalis. The displacement of the torus center under the applied pressure of 350 kPa is shown in the solid line. The displacement contour of the torus and margo in the cross-section of the pit with colors reflecting the deflection from the centered position, (a) Pit diameter = 9.24 μm, (b) Pit diameter = 8.25 μm.
Forests 14 02324 g013
Figure 14. The influences of pit diameter (a), pit depth (b), and the mass of torus–margo structure (c) on the time required to seal pits in dynamic simulations.
Figure 14. The influences of pit diameter (a), pit depth (b), and the mass of torus–margo structure (c) on the time required to seal pits in dynamic simulations.
Forests 14 02324 g014
Table 1. The pit geometry and static simulation results of the pit models.
Table 1. The pit geometry and static simulation results of the pit models.
NoDPM
(μm)
DTO
(μm)
LP
(μm)
Pclosing
(kPa)
Dispclosing
(μm)
Fclosing
(μN)
Psealing
(μm)
PsealingPclosing
(kPa)
17.223.331.9284.910.6481.599133.4148.50
27.543.121.98194.910.8813.978275.9181.00
37.793.221.90108.910.7792.857169.4160.50
48.133.591.4014.910.4570.37279.4164.50
58.153.842.1131.410.5980.75667.4136.00
68.234.041.8890.580.7732.431126.4135.84
78.253.511.4631.910.5520.78547.9116.00
88.514.351.6035.910.5021.07446.4110.50
98.703.941.7224.410.5220.65155.9131.50
109.244.351.4623.910.6190.70442.4118.50
DPM—pit membrane diameter, DTO—torus diameter, LP—pit depth, Pclosing—closing pressure, Dispclosing—displacement of torus center for closing pit, Fclosing—force required for closing pit, Psealing—sealing pressure.
Disclaimer/Publisher’s Note: The statements, opinions and data contained in all publications are solely those of the individual author(s) and contributor(s) and not of MDPI and/or the editor(s). MDPI and/or the editor(s) disclaim responsibility for any injury to people or property resulting from any ideas, methods, instructions or products referred to in the content.

Share and Cite

MDPI and ACS Style

Xia, P.; Gu, J.; Song, W.; Xie, L.; Wu, Y.; Zhang, H.; Li, Q. Contact Mechanics between Torus and Pit Border for Developing Air-Seeding Seal in Aspirated Bordered Pits. Forests 2023, 14, 2324. https://doi.org/10.3390/f14122324

AMA Style

Xia P, Gu J, Song W, Xie L, Wu Y, Zhang H, Li Q. Contact Mechanics between Torus and Pit Border for Developing Air-Seeding Seal in Aspirated Bordered Pits. Forests. 2023; 14(12):2324. https://doi.org/10.3390/f14122324

Chicago/Turabian Style

Xia, Peng, Jianan Gu, Wenlong Song, Li Xie, Yunjie Wu, Hanqi Zhang, and Qionglin Li. 2023. "Contact Mechanics between Torus and Pit Border for Developing Air-Seeding Seal in Aspirated Bordered Pits" Forests 14, no. 12: 2324. https://doi.org/10.3390/f14122324

APA Style

Xia, P., Gu, J., Song, W., Xie, L., Wu, Y., Zhang, H., & Li, Q. (2023). Contact Mechanics between Torus and Pit Border for Developing Air-Seeding Seal in Aspirated Bordered Pits. Forests, 14(12), 2324. https://doi.org/10.3390/f14122324

Note that from the first issue of 2016, this journal uses article numbers instead of page numbers. See further details here.

Article Metrics

Back to TopTop