Analysis of the Expression Patterns of 13 DREB Family Genes Related to Cone-Setting Genes in Hybrid Larch (Larix kaempferi × Larix olgensis)
Abstract
1. Introduction
2. Materials and Methods
2.1. Materials and Processing
2.2. Experimental Methods
2.2.1. Bioinformatics Analysis
2.2.2. Real-Time Fluorescent Quantitative PCR
3. Results
3.1. Bioinformatics Characterization of 13 DREB Family Genes
3.2. Phylogenetic and Conserved Structural Domain Analysis
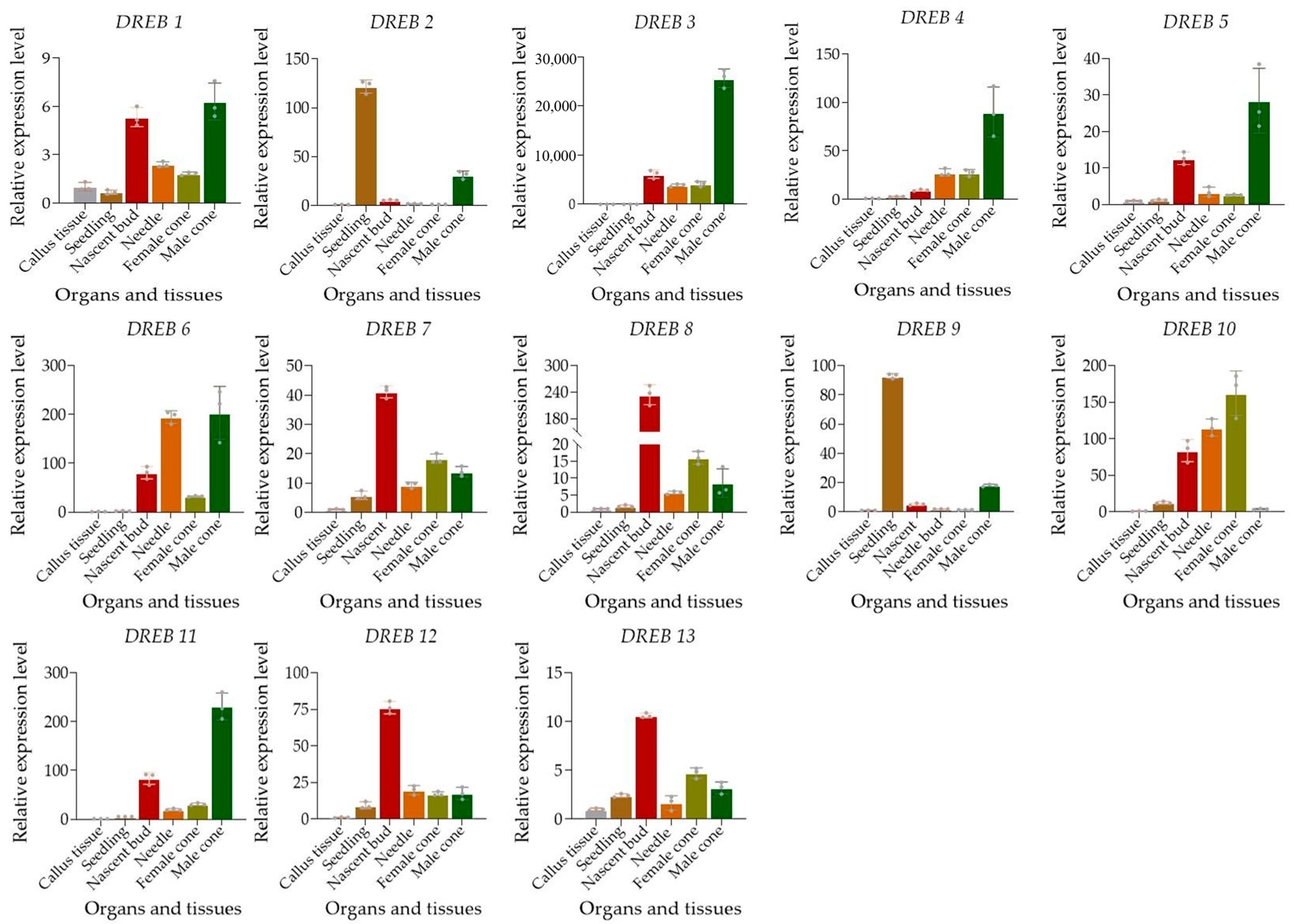
3.3. Analysis of Expression Patterns in Different Tissue Organs
3.4. Changes in Gene Expression during the Developmental Stages of Flower Buds
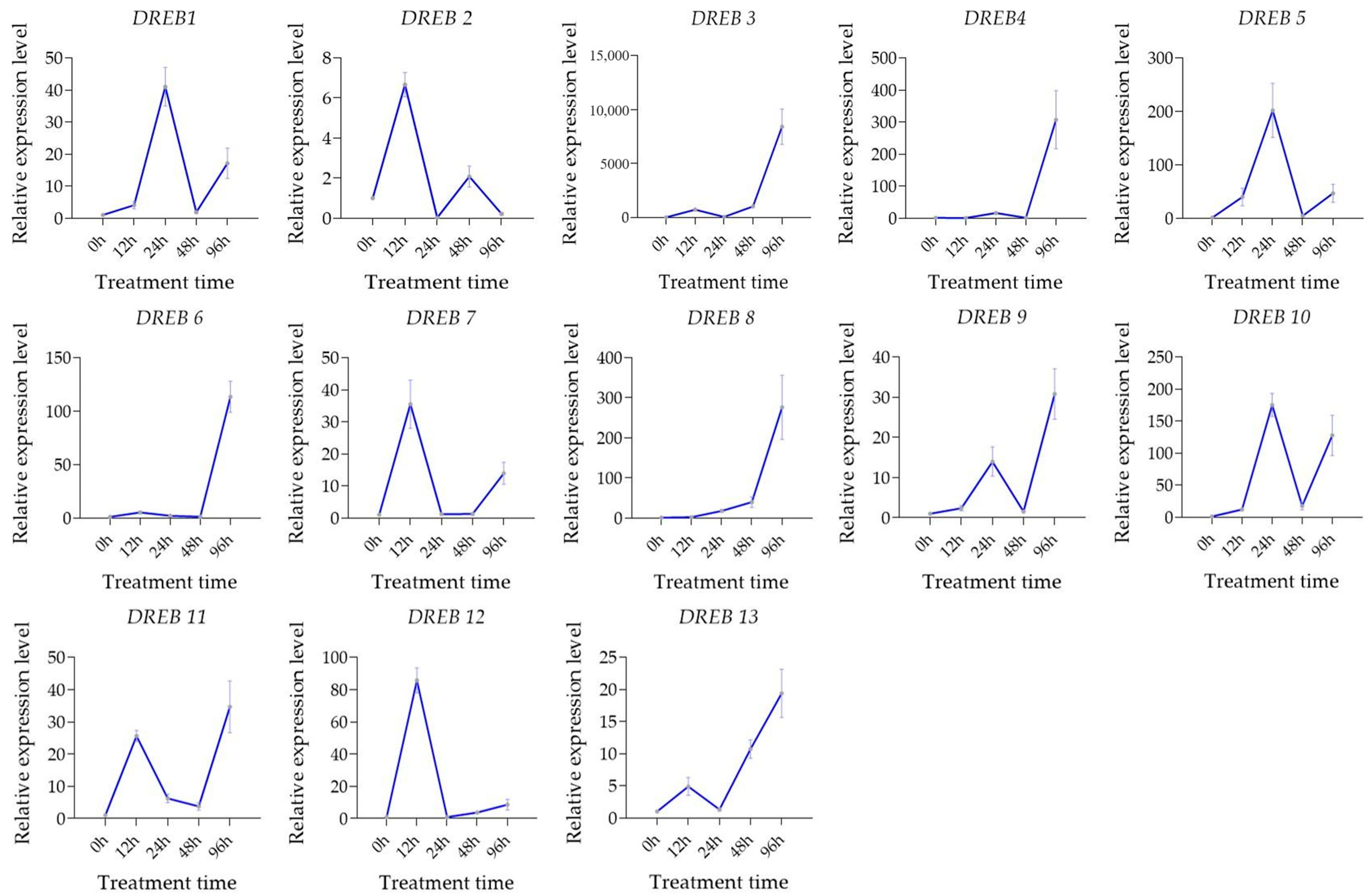
3.5. Analysis of Gene Expression Pattern under Hormone Treatment
3.6. Analysis of Gene Expression Patterns under the Influence of Environmental Factors
4. Discussion
4.1. Identification and Physicochemical Characterization of the DREB Gene Family in Hybrid Larch
4.2. Analysis of Tissue-Specific Expression and Floral Bud Development Stage Expression of DREB Genes in Hybrid Larch
4.3. Analysis of the Differential Expression of DREB Genes in Hybrid Larch under Hormone Treatments and Environmental Factors
5. Conclusions
Supplementary Materials
Author Contributions
Funding
Data Availability Statement
Acknowledgments
Conflicts of Interest
References
- Shinozaki, K.; Yamaguchi-Shinozaki, K.; Seki, M. Regulatory network of gene expression in the drought and cold stress responses. Curr. Opin. Plant Biol. 2003, 6, 410–417. [Google Scholar] [CrossRef] [PubMed]
- Riechmann, J.L.; Heard, J.; Martin, G.; Reuber, L.; Jiang, C.Z.; Keddie, J.; Adam, O.; Pineda, O.J.; Ratcliffe, R.R.; Samaha, R. Arabidopsis transcription factors: Genome-wide comparative analysis among eukaryotes. Science 2000, 290, 2105–2110. [Google Scholar] [CrossRef] [PubMed]
- Jin, J.; Tian, F.; Yang, D.C.; Meng, Y.Q.; Kong, L.; Luo, J.; Gao, G. PlantTFDB 4.0: Toward a central hub for transcription factors and regulatory interactions in plants. Nucleic Acids Res. 2017, 45, D1040–D1045. [Google Scholar] [CrossRef] [PubMed]
- Zahn, L.M.; Feng, B.; Ma, H. Beyond the ABC-model: Regulation of floral homeotic genes. Adv. Bot. Res. 2006, 44, 163–207. [Google Scholar]
- Krizek, B. AINTEGUMENTA and AINTEGUMENTA-LIKE6 act redundantly to regulate Arabidopsis floral growth and patterning. Plant Physiol. 2009, 150, 1916–1929. [Google Scholar] [CrossRef] [PubMed]
- Zhou, L.; Yarra, R. Genome-wide identification and characterization of AP2/ERF transcription factor family genes in oil palm under abiotic stress conditions. Int. J. Mol. Sci. 2021, 22, 2821. [Google Scholar] [CrossRef] [PubMed]
- Li, A.; Yu, X.; Cao, B.B.; Peng, L.X.; Gao, Y.; Feng, T.; Li, H.; Ren, Z.Y. LkAP2L2, an AP2/ERF transcription factor gene of Larix kaempferi, with pleiotropic roles in plant branch and seed development. Russ. J. Genet. 2017, 53, 1335–1342. [Google Scholar] [CrossRef]
- Pâques, L.E.; Millier, F.; Rozenberg, P. Selection perspectives for genetic improvement of wood stiffness in hybrid larch (Larix x eurolepis Henry). Tree Genet. Genomes 2010, 6, 83–92. [Google Scholar] [CrossRef]
- Christenhusz, M.J.; Reveal, J.L.; Farjon, A.; Gardner, M.F.; Mill, R.R.; Chase, M.W. A new classification and linear sequence of extant gymnosperms. Phytotaxa 2011, 19, 55–70. [Google Scholar] [CrossRef]
- Boss, P.K.; Bastow, R.M.; Mylne, J.S.; Dean, C. Multiple pathways in the decision to flower: Enabling, promoting, and resetting. Plant Cell 2004, 16, S18–S31. [Google Scholar] [CrossRef]
- Srikanth, A.; Schmid, M. Regulation of flowering time: All roads lead to Rome. Cell. Mol. Life Sci. 2011, 68, 2013–2037. [Google Scholar] [CrossRef] [PubMed]
- Rashid, M.; Guangyuan, H.; Guangxiao, Y.; Hussain, J.; Xu, Y. AP2/ERF transcription factor in rice: Genome-wide canvas and syntenic relationships between monocots and eudicots. Evol. Bioinform. 2012, 8, 321–355. [Google Scholar] [CrossRef] [PubMed]
- Akhter, S.; Westrin, K.J.; Zivi, N.; Nordal, V.; Kretzschmar, W.W.; Delhomme, N.; Street, N.R.; Nilsson, O.; Emanuelsson, O.; Sundström, J.F. Cone-setting in spruce is regulated by conserved elements of the age-dependent flowering pathway. New Phytol. 2022, 236, 1951–1963. [Google Scholar] [CrossRef] [PubMed]
- Hao, J.F.; Wang, C.; Gu, C.R.; Xu, D.X.; Zhang, L.; Zhang, H.G. Anatomical observation and transcriptome analysis of buds reveal the association between the AP2 gene family and reproductive induction in hybrid larch (Larix kaempferi × Larix olgensis). Tree Physiol. 2023, 43, 118–129. [Google Scholar] [CrossRef] [PubMed]
- An, P.; Qin, R.; Zhao, Q.; Li, X.; Wang, C.; Cao, Q.; Zhang, H.; Zhang, L. Genetic transformation of LoHDZ2 and analysis of its function to enhance stress resistance in Larix olgensis. Sci. Rep. 2022, 12, 12831. [Google Scholar] [CrossRef] [PubMed]
- Nole-Wilson, S.; Krizek, B.A. DNA binding properties of the Arabidopsis floral development protein AINTEGUMENTA. Nucleic Acids Res. 2000, 28, 4076–4082. [Google Scholar] [CrossRef] [PubMed]
- Jofuku, K.D.; Den Boer, B.G.; Van Montagu, M.; Okamuro, J.K. Control of Arabidopsis flower and seed development by the homeotic gene APETALA2. Plant Cell 1994, 6, 1211–1225. [Google Scholar]
- Nakano, T.; Suzuki, K.; Fujimura, T.; Shinshi, H. Genome-wide analysis of the ERF gene family in Arabidopsis and rice. Plant Physiol. 2006, 140, 411–432. [Google Scholar] [CrossRef]
- Yamaguchi-Shinozaki, K.; Shinozaki, K. A novel cis-acting element in an Arabidopsis gene is involved in responsiveness to drought, low-temperature, or high-salt stress. Plant Cell 1994, 6, 251–264. [Google Scholar]
- Zhuang, J.; Cai, B.; Peng, R.H.; Zhu, B.; Jin, X.F.; Xue, Y.; Gao, F.; Fu, X.Y.; Tian, Y.S.; Zhao, W. Genome-wide analysis of the AP2/ERF gene family in Populus trichocarpa. Biochem. Biophys. Res. Commun. 2008, 371, 468–474. [Google Scholar] [CrossRef]
- Zhao, Y.; Ma, R.; Xu, D.; Bi, H.; Xia, Z.; Peng, H. Genome-wide identification and analysis of the AP2 transcription factor gene family in wheat (Triticum aestivum L.). Front. Plant Sci. 2019, 10, 1286. [Google Scholar] [CrossRef]
- Nilsson, L.; Carlsbecker, A.; Sundås-Larsson, A.; Vahala, T. APETALA2 like genes from Picea abies show functional similarities to their Arabidopsis homologues. Planta 2007, 225, 589–602. [Google Scholar] [CrossRef] [PubMed]
- Sharoni, A.M.; Nuruzzaman, M.; Satoh, K.; Shimizu, T.; Kondoh, H.; Sasaya, T.; Choi, I.; Omura, T.; Kikuchi, S. Gene structures, classification and expression models of the AP2/EREBP transcription factor family in rice. Plant Cell Physiol. 2011, 52, 344–360. [Google Scholar] [CrossRef] [PubMed]
- Zhang, J.; Shi, S.Z.; Jiang, Y.; Zhong, F.; Liu, G.; Yu, C.; Lan, B.; Chen, Y. Genome-wide investigation of the AP2/ERF superfamily and their expression under salt stress in Chinese willow (Salix matsudana). PeerJ 2021, 9, e11076. [Google Scholar] [CrossRef] [PubMed]
- Okamuro, J.K.; Caster, B.; Villarroel, R.; Van Montagu, M.; Jofuku, K.D. The AP2 domain of APETALA2 defines a large new family of DNA binding proteins in Arabidopsis. Proc. Natl. Acad. Sci. USA 1997, 94, 7076–7081. [Google Scholar] [CrossRef] [PubMed]
- Zhou, Y.; Zhou, W.; Liu, H.; Liu, P.; Li, Z. Genome-wide analysis of the soybean DREB gene family: Identification, genomic organization and expression profiles in response to drought stress. Plant Breed. 2020, 139, 1158–1167. [Google Scholar] [CrossRef]
- Samir, A.S.E.-Y.; Mohamed, A.S.E.-Y.; Emad, F.D.; Mostafa, M.R. Phytohormone crosstalk research: Cytokinin and its crosstalk with other phytohormones. Curr. Protein Pept. Sci. 2015, 16, 395–405. [Google Scholar]
- Davies, P.J. Plant Hormones and Their Role in Plant Growth and Development; Springer Science & Business Media: Berlin/Heidelberg, Germany, 2012. [Google Scholar]
- Finkelstein, R.R.; Wang, M.L.; Lynch, T.J.; Rao, S.; Goodman, H.M. The Arabidopsis abscisic acid response locus ABI4 encodes an APETALA2 domain protein. Plant Cell 1998, 10, 1043–1054. [Google Scholar] [CrossRef] [PubMed]
- Kizis, D.; Pagès, M. Maize DRE-binding proteins DBF1 and DBF2 are involved in rab17 regulation through the drought-responsive element in an ABA-dependent pathway. Plant J. 2002, 30, 679–689. [Google Scholar] [CrossRef]
- Zhao, L.; Hu, Y.; Chong, K.; Wang, T. ARAG1, an ABA-responsive DREB gene, plays a role in seed germination and drought tolerance of rice. Ann. Bot. 2010, 105, 401–409. [Google Scholar] [CrossRef]
- Wang, Q.; Guan, Y.; Wu, Y.; Chen, H.; Chen, F.; Chu, C. Overexpression of a rice OsDREB1F gene increases salt, drought, and low temperature tolerance in both Arabidopsis and rice. Plant Mol. Biol. 2008, 67, 589–602. [Google Scholar] [CrossRef] [PubMed]
- Zhang, L.; Chen, L.; Pang, S.; Zheng, Q.; Quan, S.; Liu, Y.; Xu, T.; Liu, Y.D.; Qi, M. Function analysis of the ERF and DREB subfamilies in tomato fruit development and ripening. Front. Plant Sci. 2022, 13, 849048. [Google Scholar] [CrossRef] [PubMed]
- Zhang, K.; Jiang, L.; Wang, X.; Han, H.; Chen, D.; Qiu, D.; Yang, Y. Transcriptome-wide analysis of AP2/ERF transcription factors involved in regulating Taxol biosynthesis in Taxus × media. Ind. Crops Prod. 2021, 171, 113972. [Google Scholar] [CrossRef]
- Luukkanen, O.; Johansson, S. Effect of exogenous gibberellins on flowering in Pinus sylvestris grafts. Physiol. Plant. 1980, 50, 365–370. [Google Scholar] [CrossRef]
- Tompsett, P.B.; Fletcher, A.M. Promotion of flowering on mature Picea sitchensis by gibberellin and environmental treatments. The influence of timing and hormonal concentration. Physiol. Plant. 1979, 45, 112–116. [Google Scholar] [CrossRef]
- Kreps, J.A.; Kay, S.A. Coordination of plant metabolism and development by the circadian clock. Plant Cell 1997, 9, 1235. [Google Scholar] [CrossRef] [PubMed][Green Version]
- Dubouzet, J.G.; Sakuma, Y.; Ito, Y.; Kasuga, M.; Dubouzet, E.G.; Miura, S.; Shinozaki, K.; Yamaguchi-Shinozaki, K. OsDREB genes in rice, Oryza sativa L., encode transcription activators that function in drought-, high-salt-and cold-responsive gene expression. Plant J. 2003, 33, 751–763. [Google Scholar] [CrossRef] [PubMed]
- Shen, Y.G.; Zhang, W.K.; He, S.J.; Zhang, J.S.; Liu, Q.; Chen, S.Y. An EREBP/AP2-type protein in Triticum aestivum was a DRE-binding transcription factor induced by cold, dehydration and ABA stress. Theor. Appl. Genet. 2003, 106, 923–930. [Google Scholar] [CrossRef]
- Hu, X.; Liang, J.; Wang, W.; Cai, C.; Ye, S.; Wang, N.; Han, F.; Wu, Z.; Zhu, Q. Comprehensive genome-wide analysis of the DREB gene family in Moso bamboo (Phyllostachys edulis): Evidence for the role of PeDREB28 in plant abiotic stress response. Plant J. 2023. [Google Scholar] [CrossRef]
- Gao, C.; Li, P.; Song, A.; Wang, H.; Wang, Y.; Ren, L.; Qi, X.; Chen, F.; Jiang, J.; Chen, S. Isolation and characterization of six AP2/ERF transcription factor genes in Chrysanthemum nankingense. Int. J. Mol. Sci. 2015, 16, 2052–2065. [Google Scholar] [CrossRef]
- Chang, C.Y.Y.; Bräutigam, K.; Hüner, N.P.; Ensminger, I. Champions of winter survival: Cold acclimation and molecular regulation of cold hardiness in evergreen conifers. New Phytol. 2021, 229, 675–691. [Google Scholar] [CrossRef] [PubMed]









| Gene Name | Forward and Reverse Primers (5′-3′) | |
|---|---|---|
| DREB1 | GGAATGCGTTATCTGTGCTG | TTCAATGTTGGCAGTTTGTG |
| DREB2 | GAATGGCCTCCAATAGAAA | AATCATCCCTCGCAGAAAG |
| DREB3 | CCCTTGACCTTGTGGAGATG | GATTCATTGATTCGTTCCCT |
| DREB4 | TACGGATCAGCTTCCACAGA | GTCATCGCCATTATCTCCA |
| DREB5 | TACTGTTCCTCCTTGTTCGA | GACCATAATAATCATCCGTTTC |
| DREB6 | TTACGCCACAATGACTCCA | AAGCTGACCCTTCTCCTCC |
| DREB7 | CACGATCACGCTCCTTTGTT | GCTGTCATGGCCGTTCTGTT |
| DREB8 | GCGATTCTGGATTCACCACC | CAGGTCCCAGTCTTCCGTCA |
| DREB9 | CGGCGTGTTCATCTTCCAAT | CGCAATCGTCCAGACCTTCA |
| DREB10 | TGCGTCTTCTCTTTCCCGTC | TGAAACCGAAGCCAATCTTGA |
| DREB11 | TTCGGTTTCGGAAATGGAGT | CCGCAAAGTCGGATAGAGGT |
| DREB12 | CCTTCCACTTCGCCCTCTTC | GGCACCCACTGCTGTCAAAC |
| DREB13 | CCGAAGCAGATTCAGCATG | TTCTTCATCGGTCTTGTAGGC |
| LoB80280 | GCCGTGCTGCTGGATAATGAGG | TGTCTGGAACTCAGTCACATCAACG |
| Gene | Number of Amino Acids | Molecular Weight (Da) | Theoretical PI | Aliphatic Index | Grand Average of Hydropathicity | Instability Index | Signal Peptide | Transmembrane |
|---|---|---|---|---|---|---|---|---|
| DREB1 | 236 | 26,114.44 | 8.61 | 79.03 | −0.501 | 57.87 | Non | Non |
| DREB2 | 487 | 54,184.42 | 5.89 | 57.62 | −0.772 | 65.79 | Non | Non |
| DREB3 | 330 | 35,118.07 | 5.01 | 70.52 | −0.292 | 49.32 | Non | Non |
| DREB4 | 424 | 44,945.48 | 5.03 | 58.54 | −0.480 | 74.05 | Non | Non |
| DREB5 | 262 | 29,494.02 | 5.86 | 64.58 | −0.634 | 45.38 | Non | Non |
| DREB6 | 190 | 21,356.98 | 8.66 | 68.37 | −0.562 | 63.52 | Non | Non |
| DREB7 | 137 | 15,801.45 | 11.33 | 84.67 | −0.326 | 60.05 | One | Non |
| DREB8 | 179 | 19,514.90 | 4.80 | 69.89 | −0.353 | 48.66 | Non | Non |
| DREB9 | 224 | 25,821.83 | 7.74 | 48.04 | −0.889 | 60.23 | Non | Non |
| DREB10 | 299 | 34,025.05 | 5.41 | 74.52 | −0.463 | 59.65 | Non | Two |
| DREB11 | 197 | 21,891.33 | 5.32 | 64.52 | −0.695 | 66.17 | Non | Non |
| DREB12 | 210 | 23,310.91 | 8.34 | 58.62 | −0.618 | 55.03 | Non | Non |
| DREB13 | 233 | 26,129.16 | 5.87 | 75.54 | −0.638 | 69.49 | Non | Non |
| Gene Name | Alpha Helix (Hh) | Extended Strand (Ee) | Random Coil (Cc) |
|---|---|---|---|
| DREB1 | 39.83% | 8.90% | 49.15% |
| DREB2 | 23.82% | 15.40% | 55.44% |
| DREB3 | 31.82% | 11.82% | 53.64% |
| DREB4 | 24.76% | 13.68% | 56.37% |
| DREB5 | 41.22% | 13.36% | 39.31% |
| DREB6 | 37.37% | 11.58% | 47.37% |
| DREB7 | 27.01% | 27.01% | 37.96% |
| DREB8 | 21.79% | 13.97% | 59.78% |
| DREB9 | 23.21% | 10.71% | 62.95% |
| DREB10 | 32.11% | 14.72% | 50.50% |
| DREB11 | 25.38% | 10.66% | 61.42% |
| DREB12 | 22.38% | 14.76% | 60.00% |
| DREB13 | 31.33% | 9.44% | 57.51% |
Disclaimer/Publisher’s Note: The statements, opinions and data contained in all publications are solely those of the individual author(s) and contributor(s) and not of MDPI and/or the editor(s). MDPI and/or the editor(s) disclaim responsibility for any injury to people or property resulting from any ideas, methods, instructions or products referred to in the content. |
© 2023 by the authors. Licensee MDPI, Basel, Switzerland. This article is an open access article distributed under the terms and conditions of the Creative Commons Attribution (CC BY) license (https://creativecommons.org/licenses/by/4.0/).
Share and Cite
Xu, D.; Hao, J.; Wang, C.; Zhang, L.; Zhang, H. Analysis of the Expression Patterns of 13 DREB Family Genes Related to Cone-Setting Genes in Hybrid Larch (Larix kaempferi × Larix olgensis). Forests 2023, 14, 2300. https://doi.org/10.3390/f14122300
Xu D, Hao J, Wang C, Zhang L, Zhang H. Analysis of the Expression Patterns of 13 DREB Family Genes Related to Cone-Setting Genes in Hybrid Larch (Larix kaempferi × Larix olgensis). Forests. 2023; 14(12):2300. https://doi.org/10.3390/f14122300
Chicago/Turabian StyleXu, Daixi, Junfei Hao, Chen Wang, Lei Zhang, and Hanguo Zhang. 2023. "Analysis of the Expression Patterns of 13 DREB Family Genes Related to Cone-Setting Genes in Hybrid Larch (Larix kaempferi × Larix olgensis)" Forests 14, no. 12: 2300. https://doi.org/10.3390/f14122300
APA StyleXu, D., Hao, J., Wang, C., Zhang, L., & Zhang, H. (2023). Analysis of the Expression Patterns of 13 DREB Family Genes Related to Cone-Setting Genes in Hybrid Larch (Larix kaempferi × Larix olgensis). Forests, 14(12), 2300. https://doi.org/10.3390/f14122300
