A Quantitatively Divided Approach for the Vertical Belt of Vegetation Based on NDVI and DEM—An Analysis of Taibai Mountain
Abstract
:1. Introduction
2. Materials and Methods
2.1. Study Area
2.2. Materials
2.3. Methods
2.3.1. Flowchart
2.3.2. Construction of a DEM-NDVI Scatter Plot
2.3.3. Half-Peak Width Calculation Method
2.3.4. SPOT Image Interpretation
3. Results
3.1. Seasonal Characteristics of the DEM-NDVI Scatter Plot
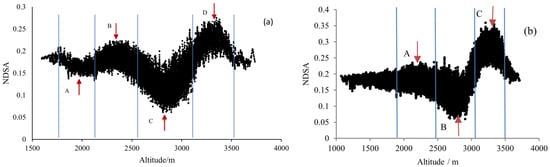
3.2. Determination of the Vegetation’s Vertical Zone Structure Using an DEM-NDVI Scatter Plot
3.3. Determination of Vegetation Vertical Zone Boundaries Based on DEM-NDVI Scatter Plots
3.4. Validation of the Accuracy of the DEM-NDVI Scatter Plot Vegetation Zoning
4. Discussion
4.1. Selection of Basic Materials and Methods
- (1)
- Since the classification of vertical vegetation zones by DEM-NDVI scatterplot is fast and accurate, some scholars have used this method to divide vegetation zones. However, due to the problem of mixed pixels, most studies construct DEM-NDVI scatterplots and extract vertical vegetation zones based on Landsat remote sensing images with 30 m spatial resolution [14,15,16]. For Taibai Mountain, the study area of this paper, the vertical zone of vegetation is very typical, and the vertical zone is basically pure forest. Therefore, the author tries to create a scatter map by using MODIS NDVI data with a 250 m resolution. The figure can also effectively reflect the segmented fluctuation of NDVI with elevation, indicating the effectiveness of low-resolution images in the DEM-NDVI scatter plot for delineating vegetation zones. The success of using 250 m resolution MODIS NDVI data to divide vertical zones can promote the extraction of vegetation zones in a wider range, reduce the amount of data processing, shorten the data processing time, and improve work efficiency;
- (2)
- The selection of the image data period should be flexible and varied according to the characteristics of the study area. Chang Chun et al. used autumn DEM-NDVI scatter plots to quantitatively divide the vegetation vertical zones of Wolongguan Gully [12]. In the process of this study, it was found that the vegetation vertical zones of the Taibai Mountain Protected Area could not be accurately delineated by single summer or autumn DEM-NDVI scatter plots. Therefore, the author believes that the use of DEM-NDVI scatter plots to divide the vertical zone of alpine vegetation should be flexibly applied according to the characteristics of the study area, and single-season data may cause the vertical zone of vegetation to be wrong or missing.
4.2. Discussion on the Vegetation Zone of Taibai Mountain
- (1)
- The majority of the elevations of the vertical belts of Taibai Mountain mentioned in the current literature are based on early field research, mostly in units of hundreds of meters [11,20,23]. According to Bai Hongying et al. in their book, the southern slope of Taibai Mountain is 1300 to 2300 m for oak forest, 2300 to 2600 m for birch forest, 2600 to 3200 m for fir forest, 3200 to 3400 m for redwood forest, and 3400 to the top of the mountain is 3700 m for alpine meadow [32]. In the paper of Zhang Junyao et al., the vertical vegetation zones on the southern slope of Taibai Mountain were: oak forest (1300–2000 m), red birch/pine mixed forest (2000–2300 m), red birch forest (2300–2650 m), Bashan fir forest (2650–3000 m), Taibai redwood forest (3000–3400 m), and subalpine shrub meadow (3400–3767 m) [11,33]. The vegetation vertical zone divided in this paper is very similar to the results of Zhang Junyao, which shows that the results of this study have a certain reliability. At the same time, the division of the vertical zone of vegetation has broken through the 100 m unit and reached the vegetation zone with a meter as the unit, which improves the division accuracy. In the context of climate change, how does the change in mountain altitudinal zone represent the change in mountain ecosystem [34]. However, the migration of vegetation zones is usually slow, perhaps 100 or 200 years [35], and short-term (decades) changes are often difficult to capture. In this study, the classification accuracy of vegetation zones is raised to the meter level, and the vertical zones of vegetation can be extracted according to the DEM-NDVI scatter plots of successive years, so as to realize multi-year monitoring of the changes of the vertical zones, capture the subtle information of the changes of vegetation zones, and provide data support for more accurate research;
- (2)
- There is a mixed pine oak forest on the south slope of 1900–2300 m, but no such zone on the north slope. The deep mechanism of this phenomenon needs further study. Fang Zheng and Gao Shuzhen proposed in 1963 that the reason for this phenomenon is caused by long-term anthropogenic destruction activities [30]. However, it is still worth exploring whether the development of forests in Taibai Mountain after decades of human activities is still the main reason for this phenomenon;
- (3)
- There are some differences in the division of birch forest in Taibai Mountain. Some studies believe that the vertical distribution area of birch forest should be turned into coniferous forest zone [36,37], and some people divide 2000–2650 into pine and birch forest zone [38], and some people think that birch forest, as the transition zone between warm temperate deciduous broad-leaved forest and cold temperate coniferous forest, is relatively stable in the middle of the Qinling Mountains, and it is more appropriate to divide it into Chinese forest zone [39,40]. According to the results of this study, the NDVI difference of birch forest in summer and autumn has obvious fluctuation valley points with adjacent vegetation, especially on the southern slope of Taibai Mountain. Therefore, this paper also supports the view that birch forest can be classified as a single birch forest belt from a certain angle.
4.3. Limitations and Prospects
- (1)
- The method of half-peak width calculation is often used to divide the temperature zone in physical geography [31,41]. The application of this method in this paper is a preliminary attempt to quantitatively divide the scatter-plot segment. Comparing with the results of remote sensing interpretation, it is found that the partition results are satisfactory, but they are still worth further demonstrating by other methods;
- (2)
- The binomial curve derivation method adopted in the quantitative division of DEM-NDVI scatter plot structure in this study is essentially a statistical method, and statistical methods have high requirements for data integrity and accuracy [42]. Improper selection of methods in the process of data analysis will seriously affect the scientificity of the standard. Therefore, in the process of using DEM and NDVI to divide vegetation vertical zones, some new methods, such as the cloud model [43,44,45], can be tried to better deal with the ambiguity and randomness in qualitative concepts.
5. Conclusions
- (1)
- By analyzing the structure of the DEM-NDVI scatterplot in summer, autumn, and the difference between summer and autumn, the scatterplot of the difference between summer and autumn can well depict the distribution pattern of vegetation vertical zones in Taibai Mountain, and the southern slope can be divided into six vertical zones. They were the oak forest zone, pine oak mixed forest zone, birch forest zone, fir forest zone, Taibai redwood forest zone, and alpine shrub meadow zone. The southern slope can be divided into five vertical zones, namely, the human disturbance zone, the birch forest zone, the fir forest zone, the redwood forest zone, and the alpine scrub meadow zone;
- (2)
- Quantitative calculations showed that the vertical zones of vegetation on the north and south slopes of Taibai Mountain were different in height and width, as follows: from the bottom of the mountain to 2300 m, the southern slope included two vertical zones of oak forest and pine oak mixed forest, while the northern slope was a man-made disturbance zone; above 2300 m, the vertical zones of the north and south slopes have a similar distribution pattern; from bottom to top, there are birch forests, fir forests, sequoia forests, and alpine scrub meadows, respectively. The distribution height of each zone on the south slope is 80–120 m higher than that on the north slope, and the distribution width of the fir forest zone on the south slope is larger than that on the north slope, while the birch forest zone and sequoia zone on the north slope are larger than that on the south slope;
- (3)
- Compared with the results of the interpretation of vegetation classification by remote sensing images, the distribution trend of vertical zones of vegetation is roughly the same, but the DEM-NDVI scatter map can reflect the average distribution of vegetation populations and can more completely express the characteristics of vertical zones of vegetation as they change with altitude.
Author Contributions
Funding
Data Availability Statement
Conflicts of Interest
References
- Liu, J.F.; Ma, S.; Li, S. Changes in vegetation NDVI from 1982 to 2016 and its responses to climate change in the black-soil area of Northeast China. Acta Ecol. Sin. 2018, 38, 7647–7657. [Google Scholar]
- Hamilton, A.C.; Perrott, R.A. A study of altitudinal zonation in the montane forest belt of Mt. Elgon, Kenya/Uganda. Vegetatio 1981, 45, 107–125. [Google Scholar] [CrossRef]
- Zhang, B.P.; Yao, Y.H. Implications of mass elevation effect for the altitudinal patterns of global ecology. J. Geogr. Sci. 2016, 26, 871–877. [Google Scholar] [CrossRef]
- Wang, Q.; Shi, M.Q.; Guo, Y.L.; Zhang, Y. The vertical differentiation of the mountain settlement niche in the upper reaches of Minjiang River. Acta Geogr. Sin. 2013, 68, 1559–1567. [Google Scholar]
- Ma, M.Z.; Shen, G.Z.; Xiong, G.M.; Zhao, C.; Xu, W.; Zhou, Y.; Xie, Z. Characteristic and representativeness of the vertical vegetation zonation along the altitudinal gradient in Shennongjia Natural Heritage. Chin. J. Plant Ecol. 2017, 41, 1127–1139. [Google Scholar]
- Li, C.G.; Tan, B.Z. Studies on the methods of mangrove inventory based on RS, GPS and GIS. J. Nat. Resour. 2003, 18, 215–221. [Google Scholar]
- Zhang, Q.Y.; Zhsng, Y.C.; Luo, P.; Wang, Q.; Wu, N. Ecological characteristics of cypress population in yang-slope forest line of Baima Mountain. Chin. J. Plant Ecol. 2007, 31, 857–864. [Google Scholar]
- Mihai, B.; Savulescu, I.; Sandric, I. Change detection analysis (1986–2002) of vegetation cover in Romania. Mt. Res. Dev. 2007, 27, 250–258. [Google Scholar] [CrossRef]
- Sitko, I.; Troll, M. Timberline changes in relation to summer farming in the western chornohora (Ukrainian carpathians). Mt. Res. Dev. 2008, 28, 263–271. [Google Scholar] [CrossRef]
- Li, W.T. Forest Vegetation Classification Using High Resolution Remote Sensing Image. Master’s Thesis, Beijing Forestry University, Beijing, China, 2016. [Google Scholar]
- Zhang, J.Y.; Yao, Y.H.; Suonan, D.; Gao, L.; Wang, J.; Zhang, X. Mapping of mountain vegetation in Taibai Mountain based on mountain altitudinal belts with remote sensing. J. Geo-Inf. Sci. 2019, 21, 1284–1294. [Google Scholar]
- Danzeglocke, J.; Oluic, M. Remote Sensing of Upper Timberline Elevation in the Alps on Different Scales. In New Strategies for European Remote Sensing; Millpress: Rotterdam, The Netherlands, 2005. [Google Scholar]
- Danzeglocke, J.; Menz, G. Analysis of upper timberline elevation in the European Alps using MODIS data. In Proceedings of the 2004 IEEE International Geoscience and Remote Sensing Symposium (IGARSS 2004), Anchorage, AK, USA, 20–24 September 2004; IEEE: New York, NY, USA, 2004; pp. 2373–2376. [Google Scholar]
- Chang, C.; Wang, X.Y.; Yang, R.X.; Liu, C.; Luo, L.; Zhen, J.; Xiang, B.; Song, J.; Liao, Y. A quantitative characterization method for alpine vegetation zone based on DEM and NDVI. Geogr. Res. 2015, 34, 2113–2123. [Google Scholar]
- Ji, X.Y.; Luo, L.; Wang, X.Y.; Li, L.; Wan, H. Identification and change analysis of mountain altitudinal zone in Tianshan bogda natural heritage site based on “DEM-NDVI-land cover classification”. J. Geo-Inf. Sci. 2018, 20, 1350–1360. [Google Scholar]
- Liao, Y. Fine Observation and Quantitative Characterization of Subalpine Vegetation Vertical Zone in Wang Lang Nature Reserve. Master’s Thesis, University of Chinese Academy of Sciences, Beijing, China, 2016. [Google Scholar]
- Yue, M. The vertical band spectrum of plants in Qinling Mountains is complete and complex. Humankind 2015, 2, 76–81. [Google Scholar]
- Yue, M.; Xu, Y.B. Qinling mountains of plants. Humankind 2014, 2, 14–25. [Google Scholar]
- Shang, S.H.; Xing, H.H. Comparison of vertical distribution of vegetation on the north and south slopes of Qinling Mountains. Agric. Jilin 2016, 1, 114–115. [Google Scholar]
- Li, H.N. Studies on the Species Diversity and Vertical Distribution Pattern on Northern Slopes of Mt. Taibai. Master’s Thesis, Shaanxi Normal University, Xi’an, China, 2007. [Google Scholar]
- Lei, M.; Chen, T.B.; Feng, L.X.; Chang, Q.R.; Yan, X. Soil formation factors and comparison among different altitudinal zonations of the soils on northern slope of the Taibai Mountains. Geogr. Res. 2001, 20, 583–592. [Google Scholar]
- Zhang, B.P.; Yao, Y.H.; Xiao, F.; Zhou, W.; Zhu, L.; Zhang, J.; Zhao, F.; Bai, H.; Wang, J.; Yu, F.; et al. The finding and significance of the super altitudinali belt of montante deciduous broad-leaved forests in central Qingling Mountains. Acta Geogr. Sin. 2022, 77, 2236–2248. [Google Scholar]
- Miehe, S.; Miehe, G. Vegetation patterns as indicators of climatic humidity in the Western Karakorum//Stellrecht I. In Karakorum-Hindukush-Himalaya: Dynamics of Change, Part I; Rüdiger Koppe Verlag: Köln, Germany, 1998; pp. 101–126. [Google Scholar]
- Kang, M.Y.; Zhu, Y. Discussion and analysis on the geo-ecological boundary in Qinling Range. Acta Ecol. Sin. 2007, 27, 2774–2784. [Google Scholar]
- Bai, H.Y.; Ma, X.P.; Gao, X.; Huo, Q. Variations in January temperature and 0℃ isothermal curve in Qinling Mountains based on DEM. Acta Geogr. Sin. 2012, 67, 1443–1450. [Google Scholar]
- Qin, J.; Bai, H.Y.; Li, S.H.; Wang, J.; Gan, Z.T.; Huang, A. Differences in growth response of Larix chinensis to climate change at the upper timberline of southern and northern slopes of Mt. Taibai in central Qinling Mountains, China. Acta Ecol. Sin. 2016, 36, 5333–5342. [Google Scholar]
- Zhang, S.H.; Bai, H.Y.; Gao, X.; He, Y.N.; Ren, Y. Spatial-temporal changes of vegetation index and its responses to regional temperature in Taibai Mountain. J. Nat. Resour. 2011, 26, 1377–1386. [Google Scholar]
- Zhai, D.P.; Bai, H.Y.; Qin, J.; Deng, C.H.; Liu, R.J.; He, H. Temporal and spatial variability of air temperature lapse rates in Mt. Taibai, Central Qinling Mountains. Acta Geogr. Sin. 2016, 71, 1587–1595. [Google Scholar]
- Li, X.D. Some understanding on the division of vertical vegetation zones on the southern slope of the western Qinling Mountains in Shaanxi Province. Shaanxi For. Sci. Technol. 1985, 3, 88–92. [Google Scholar]
- Fang, Z.; Gao, S.Z. Vertical belt spectrum of vegetation on the north and south slopes of Taibai Mountain in Qinling Mountains. Chin. J. Plant Ecol. 1963, 1, 162–163. [Google Scholar]
- Xu, W.D. Kira’s temperature indices and their application in the study of vegetation. Chin. J. Ecol. 1985, 4, 35–39. [Google Scholar]
- Bai, H.; Liu, K.; Qang, J.; Li, S.H. Vegetation Response and Adaptation in Qinling Mountains under the Background of Climate Change; Science Press: Beijing, China, 2019; p. 11. [Google Scholar]
- Fu, Z.J.; Guo, J.L. The characters of community on the vegetation of the Taibai Mountain in the Qinling. J. Baoji Teach-Er Coll. (Nat. Sci.) 1992, 1, 70–75. [Google Scholar]
- Fan, Z.M. Response analysis of gradient distribution of vegetation to climate change in Heihe River Basin. Acta Ecol. Sin. 2021, 41, 4066–4076. [Google Scholar]
- Liu, G.; Fu, B. Impacts of global climate change on forest ecosystems. J. Nat. Resour. 2001, 16, 71–78. [Google Scholar]
- Fu, Z.; Guo, J. Preliminary study of Betula Albo-Sinensis forest in Mt. Taibai. Acata Phytoecol. Sin. 1994, 18, 261–270. [Google Scholar]
- Geography Department of Shaanxi Normal University. The Annals of Geography: Ankang District of Shaanxi; Shaanxi People’s Press: Xi’an, China, 1986; pp. 364–379. [Google Scholar]
- Liu, H. The vertical zonation of mountain vegetation in China. Acta Geogr. Sin. 1981, 36, 267–279. [Google Scholar]
- Yue, M.; Dang, G.; Gu, T. Vertical zone spectrum of vegetation in Foping national nature reserve and the comparison with the adjacent areas. J. Wuhan Bot. Res. 2000, 18, 375–382. [Google Scholar]
- Zhu, Z. Stability of the Betula forest in Mt. Taibai of the Qinling Mountain range. J. Wuhan Bot. Res. 1991, 9, 169–175. [Google Scholar]
- Wang, M.; Zheng, T.; Zheng, P. Study on the relationship between distribution and heat of introduced plants in Fujian Province. J. Jiangxi Agric. Univ. 2003, 3, 383–387. [Google Scholar]
- Saouini, H.E.; Bouzid, S.; Trankil, A.; Amharref, M.; Bernoussi, A.S. Application of statistical methods for the comparative study of the degree of pollution of wastewater collected from three olive mills in Tangier-Tetouan-Al Hoceima region (Northern Morocco). J. Ecol. Eng. 2023, 24, 320–332. [Google Scholar] [CrossRef] [PubMed]
- Wu, H.; Zhen, J.; Zhang, J. Urban rail transit operation safety evaluation based on an improved CRITIC method and cloud model. J. Rail Transp. Plan. Manag. 2020, 16, 100206. [Google Scholar] [CrossRef]
- Yao, J.; Wang, G.; Xue, B.; Wang, P.; Hao, F.; Xie, G.; Peng, Y. Assessment of lake eutrophication using a novel multidimensional similarity cloud model. J. Environ. Manag. 2019, 248, 109259. [Google Scholar] [CrossRef] [PubMed]
- Mu, H.; Han, F.; Tang, X.; Wang, Z.; Wang, Z. Comparison and analysis of timberline and treeline distribution height and influencing factors of Baima Snow Mountain and Bogda Mountain based on cloud model. Geogr. Res. 2023, 42, 1941–1956. [Google Scholar]





| Peak-Valley Point | Southern Slope | Northern Slope | |||
|---|---|---|---|---|---|
| Binomial Fitting Curve Equation | Peak-Valley Value | Binomial Fitting Curve Equation | Peak-Valley Value | ||
| A | Y = 4 × 10−7X2 − 0.0017X + 1.9986 | X = 2125 | Y = 0.15 | Y = −1 × 10−7X2 + 0.00044X − 0.2308 | X = 2200, Y = 0.18 |
| B | Y = −3 × 10−7X2 + 0.0017X − 1.8386 | X = 2350 | Y = 0.18 | Y = 7 × 10−7X2 − 0.0038X + 5.3711 | X = 2714, Y = 0.10 |
| C | Y = 9 × 10−7X2 − 0.0051X + 7.0869 | X = 2833 | Y = 0.08 | Y = −8 × 10−7X2 + 0.0052X − 8.3513 | X = 3250, Y = 0.28 |
| D | Y = −1 × 10−6X2 + 0.0066X − 10.7890 | X = 3330 | Y = 0.26 | ||
| Vegetation Type | Representative Vegetation | Altitude/m | Distribution Width/m | ||
|---|---|---|---|---|---|
| Lower Bound | Upper Bound | ||||
| Southern slope | Evergreen broad-leaved forest | Quercus variabilis, Quercus aliena | 1509 (lower bound of the study area) | 1919 | 410 |
| Mixed coniferous-broad forest | Pinus armandii, Pinus tabuliformis, Quercus aliena | 1919 | 2331 | 412 | |
| Deciduous broad-leaved forest | Betula albosinensis | 2115 | 2585 | 470 | |
| Evergreen coniferous forest | Abies fargesii | 2516 | 3150 | 636 | |
| Deciduous-coniferous forest | Larix chinensis | 3109 | 3481 | 442 | |
| Scrub meadow | Rhododendron lapponicum | 3481 | 3740 (upper limit of the study area) | 189 | |
| Nouthern slope | Disturbed vegetation | Quercus wutaishanica, Quercus aliena | 1053 (lower bound of the study area) | 2087 | 1147 |
| Deciduous broad-leaved forest | Betula albosinensi | 2087 | 2693 | 606 | |
| Evergreen coniferous forest | Abies fargesii | 2562 | 3066 | 504 | |
| Deciduous-coniferous forest | Larix chinensis | 2987 | 3513 | 526 | |
| Scrub meadow | Rhododendron lapponicum | 3513 | 3720 (upper limit of the study area) | 207 | |
| Vegetation | Altitude of the Vertical Zone on the Southern Slope/m | Altitude of the Vertical Zone on the Northern Slope/m | ||||
|---|---|---|---|---|---|---|
| Lower Bound | Upper Bound | Average Altitude | Lower Bound | Upper Bound | Average Altitude | |
| Oak forest | 1509 | 2302 | 2028 | 1039 | 2230 | 1964 |
| Birch forest | 1960 | 2631 | 2469 | 1829 | 2618 | 2323 |
| Fir forest | 2353 | 3113 | 2791 | 2326 | 3106 | 2673 |
| Redwood forest | 2829 | 3560 | 3224 | 2718 | 3481 | 3102 |
| Scrub meadow | 3162 | 3728 | 3373 | 2902 | 3655 | 3346 |
Disclaimer/Publisher’s Note: The statements, opinions and data contained in all publications are solely those of the individual author(s) and contributor(s) and not of MDPI and/or the editor(s). MDPI and/or the editor(s) disclaim responsibility for any injury to people or property resulting from any ideas, methods, instructions or products referred to in the content. |
© 2023 by the authors. Licensee MDPI, Basel, Switzerland. This article is an open access article distributed under the terms and conditions of the Creative Commons Attribution (CC BY) license (https://creativecommons.org/licenses/by/4.0/).
Share and Cite
Zhao, T.; Bai, H.; Han, H.; Ta, Z.; Li, P.; Wang, P. A Quantitatively Divided Approach for the Vertical Belt of Vegetation Based on NDVI and DEM—An Analysis of Taibai Mountain. Forests 2023, 14, 1981. https://doi.org/10.3390/f14101981
Zhao T, Bai H, Han H, Ta Z, Li P, Wang P. A Quantitatively Divided Approach for the Vertical Belt of Vegetation Based on NDVI and DEM—An Analysis of Taibai Mountain. Forests. 2023; 14(10):1981. https://doi.org/10.3390/f14101981
Chicago/Turabian StyleZhao, Ting, Hongying Bai, Hongzhu Han, Zhijie Ta, Peilin Li, and Pengtao Wang. 2023. "A Quantitatively Divided Approach for the Vertical Belt of Vegetation Based on NDVI and DEM—An Analysis of Taibai Mountain" Forests 14, no. 10: 1981. https://doi.org/10.3390/f14101981
APA StyleZhao, T., Bai, H., Han, H., Ta, Z., Li, P., & Wang, P. (2023). A Quantitatively Divided Approach for the Vertical Belt of Vegetation Based on NDVI and DEM—An Analysis of Taibai Mountain. Forests, 14(10), 1981. https://doi.org/10.3390/f14101981

