Abstract
The characterization of poplar wood assumes a strategic position to increase the competitiveness of the entire forest wood supply chain. From this aspect, the identification of wood quality represents a primary objective for researchers and private landowners. The quality of wood can be defined via traditional visual methods based on the experience of technicians or using traditional tools, such as incremental drills and sound hammers. The traditional properties of these traits, based only on visual characteristics, can outline a classification based on the macroscopic properties of wood with the aim of defining the volume of recoverable wood. However, this approach does not provide a good indicator of the physical or mechanical properties of wood. Mechanical tests of wood require the felling of trees with the correlated preparation of the specimens. A different solution to determine wood quality is based on the application of non-destructive technology (NDT). In this context, the aim of the present study was to determine the predictive accuracy of non-destructive analysis of the MOEd in standing trees and logs of a 22-year-old poplar clone and to examine the relationship with MOEs in sawn specimens. This relationship was also studied at three different stem heights. We non-destructively measured poplar trees and green logs using TreeSonic and Resonance Log Grader and compared the results with those obtained via a destructive method using a universal testing machine. The results showed that for clone I-214 poplar trees, the dynamic elastic moduli of standing trees and logs were validly correlated with the static elastic modulus. These results suggest that it is possible to evaluate the mechanical properties of poplar wood directly from standing trees using non-destructive techniques (NDT) and that this tool can be easily used to presort material in the forest.
1. Introduction
As sylviculture aims to guarantee and perpetuate the productivity of forest stands, the commercial volume of trees, and their ecological sustainability, wood-based products are the principal economical source used to realize these purposes. Therefore, wood quality represents a primary objective for the entire wood supply chain. Several authors have focused their studies on wood qualities and properties, paying attention to various aspects, such as the influence of forest stand characteristics on physical, mechanical, and chemical wood characteristics [1,2], or the practical wood implications derived from quality characteristics [3]. Other researchers have investigated the potential of various methods and techniques of wood quality evaluation [4,5,6]. Wood quality can be defined as a set of characteristics that make woody materials economically valuable for their end uses. For several years, researchers in wood processing industries have been constantly looking for ways to increase the value and quantity of their products [7]; therefore, assessing wood quality has become an important practice for forest operations [8]. With the growing demand for wood-based products, the determination of quality and defects in the wood of standing trees is one of the most important operations in forestry management and forest product industries [9]. The importance of measuring wood properties has been discussed in several studies [3,10,11], which have highlighted the feasibility of various methods applied in standing trees or after the felling phase. Wood quality can be defined by the traditional visual methods based on technicians’ experience and timber characteristics using traditional tools, such as increment borers and sounding mallets. Visual inspection of a tree’s “body language” represents a classic means of estimating the presence of defects and anomalies [12]. In standing trees, a circular stem, a regular growth form, and other features are visually evaluated; after felling, visual inspection of the width and regularity of tree rings, number and size of knots, and eccentric pith on the cross-sectional log face occurs. Traditional appraisal of these traits, founded only on visual characteristics, can delineate a classification based on macroscopic wood properties, sometimes permitting definition of the volume of timber that can be recovered; however, this approach does not provide a good indicator of the physical or mechanical properties of the wood. For example, the traditional technique for determining wood density in standing trees is to extract increment cores from trees and measure their volume and mass of wood in a laboratory [13]; mechanical testing of wood requires felling of trees with the correlated preparation of test specimens. These measurements are therefore slow, relatively destructive, expensive, and time-consuming [14,15,16]. Therefore, the development of a fast screening method for standing trees has always been desirable [17,18]. Non-destructive testing (NDT) technology is a valid system of evaluation of some major wood characteristics. In the last two decades, NDT tools have contributed considerably to the characterization of wood quality in standing trees, cut logs, and sawn lumber [18]. In general terms, non-destructive testing of materials is a technique for detection and evaluation of the stress that materials can undergo (mainly physical and mechanical) without failure or changes in their overall characteristics [19]. Pioneering studies on non-destructive testing (NDT) techniques in wood technology are numerous and have been used to define their capability of predicting the intrinsic wood properties of individual trees and assessing wood quality at the stand and forest scale. Wood quality can be assessed by numerous techniques, such as the use of penetrometers and drilling resistometers, acoustic methods, and imaging visions [20,21]. As reported in numerous studies, these methods are fast, easy, inexpensive, applicable to field tests, and could be employed to improve log sorting and optimized cross cutting of tree stems to achieve optimal industrial use [22,23]. These technologies have become well-established as material evaluation tools, and their use has become widely accepted for quality control in the wood industry [3,24]. The NDT techniques applied to wood differ considerably from those applied to homogeneous materials [9,11,21]. In particular, acoustic analysis of wood features has been executed with methods based on transit time, resonance frequency, ultrasound, and wavelength spectral analysis [25,26]. In particular, the acoustic approach is based on the principle of stress wave propagation, which was developed to predict the mechanical properties and grading of timber and wood products [20,27,28] to evaluate the strength of standing trees, logs, and lumber [29,30,31,32], as well as for silvicultural management of standing trees [33,34,35]. In standing trees, the determination of the propagation velocity of acoustic waves is carried out via the time of flight (TOF method) of a generated wave with an actuator (usually one impact with a hammer) [36], whereas in logs or lumber, the propagation velocity can be measured by stationary acoustic waves generated with a resonance method through spectral analysis [36,37]. Wave propagation in wood is a dynamic process that is internally related to the physical and mechanical properties of wood [38]; based on this correlation, it is possible to estimate some wood quality indicators. One of the most important mechanical properties that can be measured by NDT methods is Young’s modulus, i.e., the modulus of elasticity, which describes the stiffness of the material and strongly affects the acoustic properties of wood [39,40]; a high modulus of elasticity (MOE) value indicates a high resistance of wood to deformation [41]. MOE is one of the most important properties of wood and a major determinant of potential end-use products [2]. MOE is a measure of how much a wood member resists bending when a load is applied; thus, a higher MOE value indicates higher stiffness and greater suitability for structural products [42]. Wang and Simpson [43] evaluated the potential of acoustic analysis as presorting criteria to identify wood quality through the assessment of the dynamic modulus of elasticity (MOEd). This parameter is well-correlated with the static MOE (MOEs), which is measured by testing the piece to failure, with a slow process in the laboratory involving expensive equipment that is not very portable. Brüchert et al. [44] investigated the possibility of wood quality prediction from standing trees to sawn timber in coniferous species, and Vaughan et al. [42] determined the correlations between dynamic and static MOE value of small, clear wood samples. In previous studies, mechanical properties were validated by comparing them with the protocols envisaged by national and international standards, revealing a correlation between various methods and indicating a degree of accuracy between static bending and acoustic measurements [45]. However, all of these non-destructive methodologies must be supported by real values in order to guarantee the accuracy of the data obtained, and it is necessary to apply the dataset of these correlations (MOEd vs. MOEs) to more commercial wood trees.
Among the numerous and important species worldwide, the poplar represents one of the most important commercial wood species. The Populus species promotes local economic sustainable development based on the processing and use of wood resources, and the poplar wood industry chain represents a competitive bioeconomy worldwide. The widespread planting of poplars in Europe and throughout the world is primarily due to its rapid growth and adaptability to a range of soil and climate conditions [29]. For this reason, several studies have been conducted in recent years to characterize poplar wood, such as in terms of density, compliance coefficients [45], acoustic emission and propagation [46,47], and modulus od elasticity (MOE) [48,49] from standing trees using acoustic waves, also considering some parameters that affect wood characteristics, e.g., stand location, clones, season [50], or timber size [51]; however, only a few studies have tested the predictive accuracy of MOE until failure of the wood extracted from the same trees [52,53]. In Iran, Madhoushi and Daneshvar [9] found a correlation between the MOEd and the MOEs in sawn wood and standing trees of eastern cottonwood (Populus deltoides). In Spain, Gallego et al. [52] and Casado et al. [51] showed high values of the linear regression coefficients between non-destructive and destructive methods in young plantations of clone I-214 (Populus × euroamericana (Dode) Guinier) using an oscilloscope for standing trees and logs [52] and longitudinal vibrations on poplar lumbers [51]. In China, Zhou et al. [54] tested a resonance tool to sort Chinese poplar (I-72) logs for laminated veneer lumber products, finding a strong correlation between resonance-based acoustic velocities and dynamic MOE.
However, there is still a significant lack of knowledge regarding the predictive accuracy of modulus of elasticity of poplar clone I-214; therefore, the aim of this study was to determine, by non-destructive analysis, the MOEd in standing trees and logs of the 20-year-old poplar clone I-214 and to examine the relationship with the MOEs in sawn specimens. This relationship was also studied at three stem heights, from base to top. No previous studies have been conducted with respect to the application of NDT stress waves in standing trees and logs in Italy; consequently, a further goal of this study was to incorporate, encourage, and expand these methods for forest management and wood technology in poplar species.
2. Materials and Methods
2.1. Description of the Site
The poplar trees used in this study were selected in an area that falls within the municipality of Francica in the province of Vibo Valentia in the Calabria region (Italy), on private land, where traditional crops in the area were once cultivated. The area under consideration was planted with poplar clone I-214; this choice was made thanks to the productive and qualitative characteristics of the species. The site extends over an area of about 3 hectares (Table 1, Figure 1; 38°36′15″ N–16°08′76″ E), which is mainly flat, with only a slight slope in some places. The geometry used for the realization of this plantation was 6 m × 6 m. Furthermore, the necessary pruning was carried out over the years.
Table 1.
Main characteristics of the stand.
Figure 1.
Site map located in Calabria region (southern Italy).
2.2. Description of Standing Tree Measurement
For this study, 25 standing poplar trees were selected, and two non-destructive methods were used. The time of flight (TOF) of the acoustic stress waves was determined over a length at 3 different heights, thus obtaining H1 (30–130 cm), H2 (130–230 cm), and H3 (230–330 cm) (Figure 2A). The TOF of the sound wave was acquired using a TreeSonic instrument (Fakopp, Sopron, Hungary), and the acoustic velocity was determined. Before harvesting the tree, the breast diameter and total height of the selected trees were measured. Two SD-02 Fakopp piezoelectric sensors with a resonance of about 20 kHz were used to obtain the velocity of propagation along the direction of the fibers and nailed to the outermost part of the trunk of the tree. Furthermore, according to previous works [3,31,37,55], the sensors were always placed 100 cm from each other, and the tips were inserted 2 cm into the wood. To obtain an adequate propagation of the longitudinal waves, the tips penetrated the bark of the trunk at an angle of 45° to the vertical axis of the tree. During field acoustic measurements, the probes were aligned within a vertical plane on the same face [3]. For the recording, a control unit was used that received the signals generated by a percussion hammer weighing 100 g on the upper sensor. Ten readings in the same position were recorded for each tree, and the consequent stress wave times were then converted to mean acoustic velocity for each tree using Equation (1):
where VelTre is the acoustic velocity in the longitudinal direction (m s−1), d is the distance between the two sensors (m), and Δt is the difference in arrival time of the signal to both transducers (s).
Figure 2.
Measurement setup: (A) on standing trees; (B) on green logs; (C) on conditioned specimens.
2.3. Description of Log Measurements
After taking standing tree measurements, the trees were felled, and from each tree, three logs (length 100 cm) were separated and classified into three groups: H1: 30–130 cm, H2: 130–230 cm, and H3: 230–330 cm—as defined above. After about 3 weeks from the felling, measurement of the acoustic velocity in the longitudinal direction on the logs was carried out with a resonance log grader (Fakopp, Sopron, Hungary) (Figure 2B). The resonance longitudinal velocity of the logs was calculated using Equation (2):
where VelGra is the acoustic velocity in the longitudinal direction (m s−1), f is the fundamental frequency (Hz), and L is the log length (m).
An acoustic resonance test was performed on each log; the measurement consisted of hitting a point of the section surface of the log with a 100 g percussion hammer and recording the response sound signal with a microphone. From the response signal, the first longitudinal resonance frequency was obtained as the first peak of the spectrum. Based on the frequency, dedicated software made it possible to obtain the propagation speed in the log with greater precision. As reported by other studies [52,56], during the recording phases of the sound wave, the log was raised from the ground at the central point so as to reduce the damping effect of the ground and obtain a cleaner sound wave.
2.4. Determination of Moisture Content (MC), Density, and Dynamic Elastic Modulus (MOEd)
To determine the water content (MC) under green and dry conditions (12%), the dry oven method was applied, according to EN 408 [57]. The samples were sized and conditioned in the cell according to the regulations before being subjected to mechanical tests. Furthermore, the mass and dimensions of the wood samples were recorded to determine the density. The mean value determined for wood density at 12% MC was 395 kg m−3 (±5.4).
Velocities obtained from the previous measurements (VelTre; VelGra) were adjusted to a reference moisture content (MC) of 12% based on the works of Sandoz [58,59]. An adjustment factor of 0.8% per 1% MC below fiber saturation point (FSP) was applied (Equation (3). It is well known that the influence of MC on non-destructive testing results is much stronger below than above the FSP. According to Sandoz [59], this influence is at least eight times more with respect to sound velocity. A similar effect was reported by Unterwieser and Schickhofer [60] and Rais et al. [61] with respect to longitudinal vibration. Therefore, because green logs had an average MC of 88%, the correction was applied for a reduction in MC from 30 to 12%. MOEd was then calculated from density and velocity, which were previously adjusted to 12% according to Equation (4):
where Velu is the velocity measured at a certain (u) moisture content level.
where MOEd is the dynamic MOE in the longitudinal direction (N mm−2), and is the wood density (kg m−3). Therefore, MOEdTre was obtained on standing trees, and MOEdGra was obtained on logs.
2.5. Determination of Mechanical Testing and Static Elastic Modulus (MOEs)
For each group (H), 50 specimens were used for the bending test in the laboratory of Wood Technology and Forest Mechanization of the AGRARIA Department of Reggio Calabria. The specimens were conditioned in a climatic cell at 20 ± 2 °C and 65% (±5%) relative humidity (RH) to reach an equilibrium moisture content (EMC) of 12%. A four-point bending test was performed using a 300 kN universal testing machine (METRO COM, Novara, Italy), in accordance with European Standard 408:2010 + A1 [57]. Data were acquired with DINA 960 XP, 4.3 version (METRO COM, Novara, Italy) software. The supports were placed at a distance equal to 18 times the width, and the two load points were placed at a distance from each support equal to 6 times the width (408:2010 + A1) [57]. The speed of the crosshead was 3.6 mm/min. During the test, the values of the load and the bend were registered. A static diagram of the test is presented in Figure 2C.
2.6. Data Analysis
Statistical data analysis was performed using SPSS software version 20.0 (IBM Corp., Amonk, NY, USA). First, descriptive statistical analysis was carried out for the velocities of the stress wave on standing trees (VelTre) and logs (VelGra), and of the calculated dynamic and static elastic moduli (MOEdTre, MOEdGra, and MOEs). In particular, for each group (H), MOEs were expressed as an average value of the 50 specimens tested in the laboratory. Subsequently, a two-tailed linear correlation analysis was performed between the static modulus of elasticity (MOEs) and sound stress wave velocities acquired with Treesonic (VelTre) and Resonance Log Grader (VelGra). The same approach was applied to calculate the linear correlation between the static modulus of elasticity (MOEs) and the dynamic modulus of elasticity obtained with TreeSonic on standing trees (VelTre) and Resonance Log Grader on logs (VelGra), both for the whole trunks and for the parts divided according to the three designated heights.
3. Results
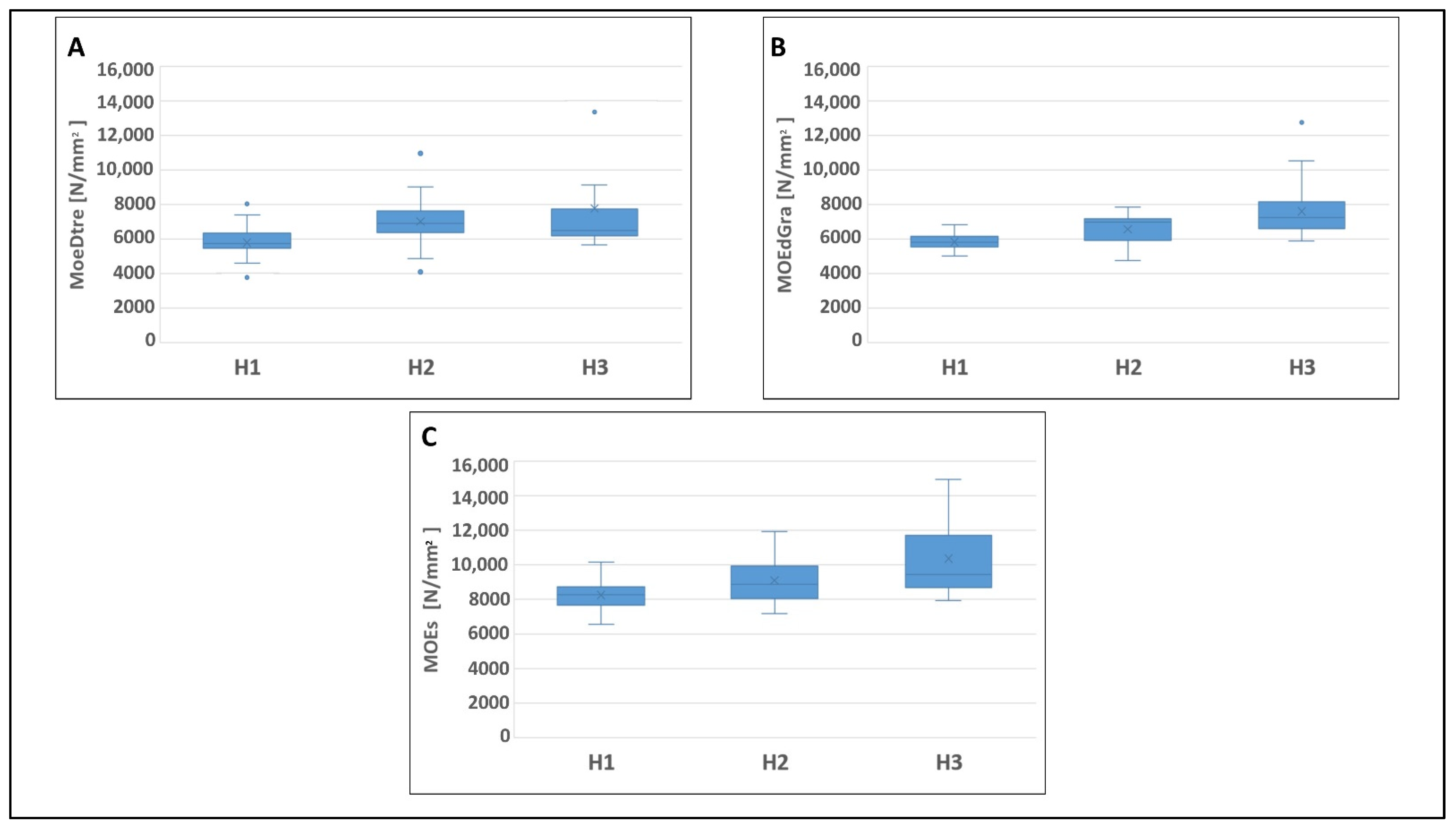
Different measurements of wood with their descriptive statistics are summarized in Table 2. They relate to the stress properties of the acoustic wave of the static and dynamic modulus of elasticity obtained with non-destructive and destructive instruments, distinguishing the data collected for the three heights of the stem (H1, H2, and H3). The TOF measured in the same part of the standing stem and logs with the two different tools (TreeSonic and Resonance Log Grader) were similar for all three cases. The same trend was observed for the MOEd; the highest difference between the mean values of MOEdTre and MOEdGra for the three heights was around 6%. Static MOE values compared to the means of MOEd were 25%–30% higher. In general, all analyzed parameters increased, rising from the bottom to the top of the stem. According to the tests carried out on standing trees, starting from section H1 (30–130 cm from the ground), the average value of the acoustic velocity detected by the TreeSonic device was 3865.15 m s−1; in section H2 (130–230 cm from the ground), it increased by 8.8%; and finally, in section H3 (230–330 cm from the ground), it was 4425.26 m s−1, increasing by 12.9% from the first to the third section. The MOEd estimated by the TreeSonic followed the same trend, increasing by 17.45% and 25.5% from the first to the second section and from the first to the third section, respectively (Figure 3). With regard to tests on logs carried out by Resonance Log Grader, the results were close to those obtained with the TreeSonic device for the same log subdivision (H1, H2, and H3), as shown in Figure 2, both for acoustic velocity and for the MOEd. Finally, even the static elastic modulus derived from the specimens of the three sections confirms how it increased as the height of the stem increased, increasing from 8248.51 N mm−2 for section H1 to 9091.2 N mm−2 (+9.3%) and 10,364.78 N mm−2 (+20.4%) for section H3.
Table 2.
Descriptive statistics of the stress velocities of the sound wave (m s−1) on standing trees (VelTre) and logs (VelGra) and of the calculated dynamic and static elastic modules (MPa). The variables were split along the three designated stem heights (H1-H2-H3).
Figure 3.
Graphical representation of the modulus of elasticity (MOE) assessed with (A) Treesonic on standing trees, (B) Resonance Log Grader on green logs, and (C) universal testing machine DINA 960 XP (METRO COM, Italy) on conditioned specimens.
Considering the acoustic stress wave velocities and the static modulus of elasticity, Table 3 shows the global linear correlation among the data collected during the surveys. The sound stress wave velocities detected with the TreeSonic instrument on the entire tree were strongly correlated with the measurements made with the Resonance Log Grader on the logs, as well as with the results of the static modulus of elasticity. The MOEs demonstrates a strong two-tailed correlation with a confidence interval of 0.01 both with VelGra and with VelTre. In general, VelGra and VelTre were also strongly correlated with each other.
Table 3.
Two-tailed linear correlation between the static modulus of elasticity (MOEs) and sound stress wave velocities acquired with TreeSonic (VelTre), Resonance Log Grader (VelGra) and dynamic modulus of elasticity obtained with TreeSonic (MOEdTre) and Resonance Log Grader (MOEdGra).
The same trend can be observed (Table 3) for the dynamic and static moduli of elasticity; furthermore, the two dynamic moduli of elasticity, MOEdTre and MOEdGra, were also correlated with each other, with a Pearson correlation coefficient of 0.607.
The correlations between the static modulus of elasticity and the dynamic modulus estimated by the TreeSonic on the different height sections varied according to section. The results (Table 4) observed in the H1 section (the bottom-most section of the tree) showed that the MOEs was not strictly correlated with the MOEdTre, with a Pearson correlation coefficient of 0.279, whereas section H3 showed the highest correlation index between the two moduli of elasticity, i.e., static and dynamic (Pearson correlation coefficient of 0.775).
Table 4.
Two-tailed linear correlation divided by the three designated heights between the static elastic modulus and the dynamic elastic modulus obtained with TreeSonic and Resonance Log Grader devices.
As shown in Table 4, comparing MOEdGra and MOEs, the H3 section showed the highest Pearson correlation index of 0.759 for a confidence interval of 0.01. Figure 4 shows the linear correlations between the acoustic stress wave velocities of the standing trees (Figure 4A) and the logs (Figure 4B), as well as the static modulus of elasticity. Specifically, the relationship between the speeds of stress wave VelTre and the MOEs had an R2 value of 0.476, whereas the correlation between VelGra and the MOEs shows an increase in the R2 value equal to 0.527. The graph highlighted in Figure 4 shows a linear correlation with R2 value of 0.501 with regard to the MOEdTre and the MOEs, whereas a slightly closer linear correlation was observed between the MOEdGra and the MOEs, with an R2 value of 0.530. Even if the correlation value considered in these graphs is global for the entire tree (not subdivided by sections) it is possible to observe in Figure 4 and Figure 5 that section H3 tended to have higher values with respect to the dynamic modulus of standing trees and logs with the static modulus of elasticity calculated from similar specimens.
Figure 4.
The relationships between the static modulus of elasticity and the sound wave stress velocities acquired from standing trees (A) and logs (B).
Figure 5.
The relationships between the static modulus of elasticity and the dynamic modulus of elasticity obtained from standing trees (A) and logs (B).
4. Discussion
Many factors could affect the propagation velocity of acoustic waves through wood, such as the level of wood defects, the percentage of bark, and the relative uniformity of the logs in the section [62]. However, as observed in a study conducted by Danilović [63], pruned trees up to 5 m in stem height have fewer defects (knots) than non-pruned trees. The low standard deviation measured by the TOF and resonance methods could be explained by the thin bark and the homogeneity of the wood [46,50,63] resulting from pruning; therefore, the dynamic elasticity moduli obtained by tests in the present research show a small difference (3%) between the average values of the elastic modulus between standing trees and logs.
As confirmed by the research of Rescalvo et al. [50] and Gallego et al. [52], there is a significant correlation between the propagation velocity of acoustic stress waves of standing trees obtained using the TOF method and the propagation velocity measured on the logs by means of the resonance method, generally with standing tree acoustic speeds being slightly higher (faster velocities) than those measured on logs cut from trees [20].
In general, the stress wave speed in the longitudinal direction increases slightly with the height of the stem, as observed in this study. This trend could be justified by the higher moisture content in the basal part of the trunk; previous studies [20,64] have reported that humidity is one of the causes of reduced wave speeds in trees. Furthermore, these results are consistent with previous results reported by Ishiguri et al. [65] and Madhoushi and Daneshvar [9], who showed that the speed of the stress wave depends on the position of the stem but also because variation in the modulus of elasticity along the stem depends on the species [66,67]. In some species, such as pine [68], a similar trend was reported to that found for poplar [9].
Compared to this research, Gallego et al. [52] reported slightly inferior values, possibly because for MOE calculation, they applied a basic density at 0% moisture content (MC), so the density used in that study was equal to 330–350 kg m−3. Regarding increasing velocity in log wood, compared to standing trees, the relationship between acoustic velocity and green density was defined, and the reduction in green density is proportional to the loss of moisture and to the increase in velocity squared [8].
Furthermore, in accordance with [69,70], in this study, we found highly significant correlations between tree velocity and the MOE of logs. Some authors [38,71] found that there is a relationship between the elastic modulus of standing trees and logs and the static elastic modulus of sawn timber, measuring elastic modulus in the longitudinal direction on the standing trees. The relationship between acoustic measures in trees and logs was very similar to that reported by Gallego et al. [52] who tested a similar clone with different acoustic tools in the same comparative study. In other studies with similar species of the Populus genus, the authors identified a significant correlation between static and dynamic MOE with a deviation of 10.4% [48].
The resulting difference between the average value of the MOEs and the MOEd is about 26%. This result disagrees the results reported by other authors. Leite et al. [72] and Chauhan and Sethy [73] reported a higher MOEd relative to MOEs, but Hoduosek et al. [74] reported a lower MOEd value. In accordance with the results of the present study, Gallego et al. [52] and Hernández et al. [45] reported a static modulus of elasticity higher than the MOEd for the same species and clone. Hernández et al. [45] observed differences of more than 20%, on average, between dynamic and static modulus, advising caution in predicting mechanical properties of wood based on density in Populus × euroamericana clones at young ages. Hoduosek et al. [74] also attributed this trend to sample dimensions, especially length [75], and opined that measured values of MOEd are mostly lower than those of MOEs due to the relationship between frequency and sample dimensions.
Therefore, it is fundamental to correctly define the size of specimens and lumber used in comparative tests to determine the prediction accuracy; for example, Casado et al. [51] identified an overestimation of accuracy for medium-sized lumber and a valid correlation for smaller wood specimens. The results of this research are therefore supported by several studies that showed that the degree of concordance of the velocity relationship for standing trees and logs provides a valid support to identify mechanical properties of poplar wood. Based on these results, the accuracy of the resonance tool was also supported and can be used to evaluate mechanical properties after the felling and cross cutting phases on site as a presorting activity based on wood quality. In fact, compared to the use of TreeSonic, the Resonance Log Grader tool is faster, as its use does not require predetermination of the physical characteristics of the wood (for example, the density); consequently, the detection of the speeds is rapid and immediate.
Therefore, the present study provides strong evidence that both the time-of-flight (for standing trees) and resonance acoustic (for logs) tools can provide aggregated cross-sectional quality information.
5. Conclusions
The aim of the work conducted in this study was to determine, by non-destructive analysis, the MOEd of standing trees and logs of the 22-year-old poplar clone I-214 and to examine the relationship with the MOEs in sawn specimens. The purpose was to determine the predictive accuracy of the modulus of elasticity, starting from the TOF of acoustic stress wave (on standing trees with the TreeSonic device) and resonance (on logs with the Resonance Log Grader tool) tools. The results showed that both non-destructive methods applied in this study are valid for estimating the MOEd, with resulting values differing slightly between methods, as reported, and confirming the prediction performance for determination of static MOE. The choice of one or the other method is at the discretion of the operator, but above all, should be determined according to the phase in which it is decided to carry out the surveys and the products to be obtained.
Therefore, the present study supplies strong evidence that both investigated tools can provide quality information on forest stands. The information obtained with the acoustic techniques can be useful for the prediction of the real elastic modulus and is relevant for adapting both the cutting models from the design of the cut itself with the use of Treesonic and the selection of the logs, thanks to the Resonance Log Grader, by forestry companies or sawmills. Given the variability of use of poplar wood in the production of panels or as veneers, these NDT techniques are adaptable for selection in all segments of the forest wood supply chain in order to facilitate and make the evaluation process more efficient. Moreover, the information obtained by acoustic techniques may be relevant in adapting cutting patterns to logs of lower stiffness and favoring the segregation of logs into batches and altering the cutting patterns for lower stiffness logs in order to produce timber that will not be rejected during the grading process.
Considered the relative ease and rapidity of applying non-destructive instrumentation to both standing trees and logs, such a method could support foresters in determining whether trees from a timber sale or just some part of them might be suitable for structural products or whether they should be directed towards bioenergy, pallet stock, or other existing, lower-value markets [42]. However, for the correct interpretation of the observed data, sufficient knowledge of the characteristics of the investigated tree species is required in order to understand which factors could influence the measurements. The development of new applications for existing technologies is ongoing, with continuous advances and refinements. In the field of NDT technologies, as well as in other fields of research, the use of these tools requires extensive experience with testing techniques due to the difficulty in interpreting data. Only with accurate interpretation can this technology assist in managing wood quality, assessing forest value, and improving the timber quality of forest stands [3]. If correctly integrated into forest inventories, these methodologies allow a large number of measurements to be carried out in the field in a short time and with a satisfactory level of accuracy.
Author Contributions
Conceptualization, S.F.P., M.F.C. and A.R.P.; methodology, S.F.P., M.F.C. and A.R.P.; writing—original draft preparation, S.F.P. and M.F.C.; writing—review and editing, S.F.P., M.F.C. and A.R.P.; project administration, B.B. and G.Z. All authors have read and agreed to the published version of the manuscript.
Funding
This research received no external funding.
Data Availability Statement
Not applicable.
Acknowledgments
This work was supported by the PhD course, “Agricultural, Food and Forestry Science” of the Mediterranean University of Reggio Calabria (Italy)—XXXV cycle. Activities in this study were supported by Grants from Regione Calabria to Proto A.R., project PSR 2014–2022—Mis. 16.1.1—Phase 2 “TECNO WOOD—04250018308”.
Conflicts of Interest
The authors declare no conflict of interest.
Abbreviations
The following acronyms are used in this manuscript:
| NDT | non-destructive test |
| TOF | time-of-flight of wave |
| MC | moisture content |
| FSP | fiber saturation point |
| MOE | modulus of elasticity |
| MOEd | dynamic modulus of elasticity |
| MOEs | static modulus of elasticity |
| VelTre | sound stress wave velocities obtained with Treesonic on standing tree |
| VelGra | sound stress wave velocities obtained with Resonance Log Grader on log |
| MOEdTre | dynamic modulus of elasticity on standing tree |
| MOEdGra | dynamic modulus of elasticity on log |
References
- Marini, F.; Manetti, M.C.; Corona, P.; Portoghesi, L.; Vinciguerra, V.; Tamantini, S.; Kuzminsky, E.; Zikeli, F.; Romagnoli, M. Influence of forest stand characteristics on physical, mechanical properties and chemistry of chestnut wood. Sci. Rep. 2021, 11, 1549. [Google Scholar] [CrossRef] [PubMed]
- Todaro, L.; Macchioni, N. Wood properties of young Douglas-fir in Southern Italy: Results over a 12-year post-thinning period. Eur. J. For. Res. 2011, 130, 251–261. [Google Scholar] [CrossRef]
- Jozsa, L.A.; Middleton, G.R. A Discussion of Wood Quality Attributes and Their Practical Implications; Forintek Canada Corp: Fredericton, NB, Canada, 1994; p. 42, Special Publication No. SP-34. [Google Scholar]
- Proto, A.R.; Macri, G.; Bernardini, V.; Russo, D.; Zimbalatti, G. Acoustic evaluation of wood quality with a non-destructive method in standing trees: A first survey in Italy. IFor.-Biogeosci. For. 2017, 10, 700–706. [Google Scholar] [CrossRef]
- Bonifazi, G.; Calienno, L.; Capobianco, G.; Monaco, A.L.; Pelosi, C.; Picchio, R.; Serranti, S. Modeling color and chemical changes on normal and red heart beech wood by reflectance spectrophotometry, Fourier Transform Infrared spectroscopy and hyperspectral imaging. Polym. Degrad. Stab. 2015, 113, 10–21. [Google Scholar] [CrossRef]
- Calienno, L.; Lo Monaco, A.; Pelosi, C.; Picchio, R. Colour and chemical changes on photodegraded beech wood with or without red heartwood. Wood Sci. Technol. 2014, 48, 1167–1180. [Google Scholar] [CrossRef]
- Borz, S.A.; Oghnoum, M.; Marcu, M.V.; Lorincz, A.; Proto, A.R. Performance of small-scale sawmilling operations: A case study on time consumption, productivity and main ergonomics for a manually-driven bandsaw. Forests 2021, 12, 810. [Google Scholar] [CrossRef]
- Wang, X.; Carter, P.; Ross, R.J.; Brashaw, B.K. Acoustic assessment of wood quality of raw forest materials—A path to increased profitability. For. Prod. J. 2007, 57, 6–14. [Google Scholar]
- Madhoushi, M.; Daneshvar, S. Predicting the static modulus of elasticity in eastern cottonwood (Populus deltoides) using stress wave non-destructive testing in standing trees. Eur. J. Wood Prod. 2016, 74, 885–892. [Google Scholar] [CrossRef]
- Russo, D.; Marziliano, P.A.; Macri, G.; Proto, A.R.; Zimbalatti, G.; Lombardi, F. Does Thinning Intensity Affect Wood Quality? An Analysis of Calabrian Pine in Southern Italy Using a Non-Destructive Acoustic Method. Forests 2019, 10, 303. [Google Scholar] [CrossRef]
- Proto, A.R.; Cataldo, M.F.; Costa, C.; Papandrea, S.F.; Zimbalatti, G. A tomographic approach to assessing the possibility of ring shake presence in standing chestnut trees. Eur. J. Wood Wood Prod. 2020, 78, 1137–1148. [Google Scholar] [CrossRef]
- Allison, R.B.; Wang, X. Chapter 7: Nondestructive Testing in the Urban Forest; General Technical Report, FPL-GTR-238; USDA Forest Service, Forest Products Laboratory: Madison, WI, USA, 2015; pp. 77–86. [Google Scholar]
- Gao, S.; Wang, X.; Wiemann, M.C.; Brashaw, B.K.; Ross, R.J.; Wang, L. A critical analysis of methods for rapid and nondestructive determination of wood density in standing trees. Ann. For. Sci. 2017, 74, 27. [Google Scholar] [CrossRef]
- Fundova, I.; Funda, T.; Wu, H.X. Non-Destructive Assessment of Wood Stiffness in Scots Pine (Pinus sylvestris L.) and its Use in Forest Tree Improvement. Forests 2019, 10, 491. [Google Scholar] [CrossRef]
- Newton, P.F. Acoustic Velocity—Wood Fiber Attribute Relationships for Jack Pine Logs and Their Potential Utility. Forests 2018, 9, 749. [Google Scholar] [CrossRef]
- Škorpík, P.; Konrad, H.; Geburek, T.; Schuh, M.; Vasold, D.; Eberhardt, M.; Schueler, S. Solid wood properties assessed by non-destructive measurements of standing European larch (Larix decidua Mill.): Environmental effects on variation within and among trees and forest stands. Forests 2018, 9, 276. [Google Scholar] [CrossRef]
- Matheson, A.C.; Gapare, W.J.; Ilic, J.; Wu, H.X. Inheritance and genetic gain in wood stiffness in radiata pine assessed acoustically in young standing trees. Silvae Genet. 2008, 57, 56–64. [Google Scholar] [CrossRef]
- Schimleck, L.; Dahlen, J.; Apiolaza, L.A.; Downes, G.; Emms, G.; Evans, R.; Moore, J.; Pâques, L.; Van den Bulcke, J.; Wang, X. Non-Destructive Evaluation Techniques and What They Tell Us about Wood Property Variation. Forests 2019, 10, 728. [Google Scholar] [CrossRef]
- Raj, B. Nondestructive testing and evaluation: Overview. In Encyclopedia of Materials: Science and Technology; Elsevier: Oxford, UK, 2001; pp. 6177–6184. [Google Scholar] [CrossRef]
- Pellerin, R.F.; Ross, R.J. (Eds.) Nondestructive Evaluation of Wood; Forest Products Society: Madison, WI, USA, 2002; p. 210, Publication no. 7250. [Google Scholar]
- Papandrea, S.F.; Cataldo, M.F.; Zimbalatti, G.; Proto, A.R. Comparative evaluation of inspection techniques for decay detection in urban trees. Sens. Actuators A Phys. 2022, 340, 113544. [Google Scholar] [CrossRef]
- Ross, R.J.; Wang, X.; Mattson, J.A.; Erickson, J.R.; Forsman, J.W.; Geske, E.A.; Wehr, M.A. Comparison of Several Nondestructive Evaluation Techniques for Assessing Stiffness and MOE of Small-Diameter Logs; Research Paper; Department of Agriculture, Forest Service, Forest Products Laboratory: Madison, WI, USA, 2001. [Google Scholar]
- Beall, F.C. Wood Products: Nondestructive Evaluation. In Encyclopedia of Materials: Science and Technology, 2nd ed.; Elsevier: Oxford, UK, 2001; pp. 9702–9707. [Google Scholar]
- Wang, X.; Ross, R.J.; Carter, P. Acoustic evaluation of wood quality in standing trees. Part I. Acoustic wave behavior. Wood Fiber Sci. 2007, 39, 28–38. [Google Scholar]
- Bucur, V. Ultrasonic techniques for nondestructive testing of standing trees. Ultrasonics 2005, 43, 237–239. [Google Scholar] [CrossRef] [PubMed]
- Chauhan, S.S.; Walker, J.C.F. Variations in acoustic velocity and density with age, and their interrelationships in radiata pine. For. Ecol. Manag. 2006, 229, 388–394. [Google Scholar] [CrossRef]
- Guntekin, E.; Emiroglu, Z.G.; Yilmaz, T. Prediction of bending properties for turkish red Pine (Pinus brutia Ten.) lumber using stress wave method. BioResources 2013, 8, 231–237. [Google Scholar] [CrossRef]
- Ross, R.J. Wood Handbook: Wood as an Engineering Material; General Technical Report FPL-GTR-190; USDA Forest Service, Forest Products Laboratory: Madison, WI, USA, 2010; 509p.
- Casado, M.; Acuña, L.; Basterra, L.A.; Ramón-Cueto, G.; Vecilla, D. Grading of structural timber of Populus×euramericana clone I-214. Holzforschung 2012, 66, 633–638. [Google Scholar] [CrossRef]
- Grabianowski, M.; Manley, B.; Walker, J.C.F. Acoustic measurements on standing trees, logs and green lumber. Wood Sci. Technol. 2006, 40, 205–216. [Google Scholar] [CrossRef]
- Wang, X. Acoustic measurements on trees and logs: A review and analysis. Wood Sci. Technol. 2013, 47, 965–975. [Google Scholar] [CrossRef]
- Wang, X.; Ross, R.J.; McClellan, M.; Barbour, R.J.; Erickson, J.R.; Forsman, J.W.; McGinnis, G.D. Nondestructive evaluation of standing trees with a stress wave method. Wood Fiber Sci. 2001, 33, 522–533. [Google Scholar]
- Auty, D.; Achim, A. The relationship between standing tree acoustic assessment and timber quality in Scots pine and the practical implications for assessing timber quality from naturally regenerated stands. Forestry 2008, 81, 475–487. [Google Scholar] [CrossRef]
- Emms, G.W.; Nanayakkara, B.; Harrington, J.J. Application of longitudinal-wave time-of-flight sound speed measurement to Pinus radiata seedlings. Can. J. For. Res. 2013, 43, 750–756. [Google Scholar] [CrossRef]
- Stoilov, S.; Proto, A.R.; Angelov, G.; Papandrea, S.F.; Borz, S.A. Evaluation of salvage logging productivity and costs in the sensitive forests of Bulgaria. Forests 2021, 12, 309. [Google Scholar] [CrossRef]
- Arciniegas, A.; Prieto, F.; Brancheriau, L.; Lasaygues, P. Literature review of acoustic and ultrasonic tomography in standing trees. Trees 2014, 28, 1559–1567. [Google Scholar] [CrossRef]
- Legg, M.; Bradley, S. Measurement of stiffness of standing trees and felled logs using acoustics: A review. J. Acoust. Soc. Am. 2016, 139, 588–604. [Google Scholar] [CrossRef] [PubMed]
- Wang, X.; Ross, R.J.; McClellan, M.; Barbour, R.J.; Erickson, J.R.; Forsman, J.W.; McGinnis, G.D. Strength and Stiffness Assessment of Standing Trees Using a Nondestructive Stress Wave Technique; Department of Agriculture, Forest Service, Forest Products Laboratory: Madison, WI, USA, 2000. [Google Scholar]
- Teder, M.; Pilt, K.; Miljan, M.; Lainurm, M.; Kruuda, R. Overview of some non-destructive methods for in-situ assessment of structural timber. In Proceedings of the 3rd International Conference Civil Engineering, Jelgava, Latvia, 12–13 May 2011; pp. 12–13. [Google Scholar]
- Cave, I.D.; Walker, J.C.F. Stiffness of wood in fast-grown plantation softwoods: The influence of microfibril angle. For. Prod. J. 1994, 44, 43. [Google Scholar]
- Liang, S.Q.; Fu, F. Comparative study on three dynamic modulus of elasticity and static modulus of elasticity for Lodgepole pine lumber. J. For. Res. 2007, 18, 309–312. [Google Scholar] [CrossRef]
- Vaughan, D.; Auty, D.; Dahlen, J.; Sánchez, A.J.; Meador, M.K. Modelling variation in wood stiffness of Pinus ponderosa using static bending and acoustic measurements. For. Int. J. For. Res. 2021, 94, 232–243. [Google Scholar] [CrossRef]
- Wang, X.; Simpson, W.T. Using acoustic analysis to presort warp-prone ponderosa pine 2 by 4s before kiln-drying. Wood Fiber Sci. 2006, 38, 206–214. [Google Scholar]
- Brüchert, F.; Wilhelmsson, L.; Mochan, S.; Sauter, U.H. An integrated approach for wood quality prediction from standing tree to sawn timber. In Proceedings of the 17th International Nondestructive Testing and Evaluation of Wood Symposium, Sopron, Hungary, 14–16 September 2011; pp. 40–47. [Google Scholar]
- Hernandez, R.E.; Koubaa, A.; Beaudoin, M.; Fortin, Y. Selected mechanical properties of fast-growing poplar hybrid clones. Wood Fiber Sci. 1998, 30, 138–147. [Google Scholar]
- Rescalvo, F.J.; Rodríguez, M.; Bravo, R.; Abarkane, C.; Gallego, A. Acoustic Emission and Numerical Analysis of Pine Beams Retrofitted with FRP and Poplar Wood. Materials 2020, 13, 435. [Google Scholar] [CrossRef]
- Saadat-Nia, M.; Brancheriau, L.; Gallet, P.; Enayati, A.A.; Pourtahmasi, K.; Honavar, F. Ultrasonic wave parameter changes during propagation through poplar and spruce reaction wood. BioResources 2011, 6, 1172–1185. [Google Scholar]
- Cheng, F.; Hu, Y. Nondestructive test and prediction of MOE of FRP reinforced fast-growing poplar glulam. Compos. Sci. Technol. 2011, 71, 1163–1170. [Google Scholar] [CrossRef]
- Ettelaei, A.; Layeghi, M.; Hosseinabadi, H.Z.; Ebrahimi, G. Prediction of modulus of elasticity of poplar wood using ultrasonic technique by applying empirical correction factors. Measurement 2019, 135, 392–399. [Google Scholar] [CrossRef]
- Rescalvo, F.J.; Ripoll, M.A.; Suarez, E.; Gallego, A. Effect of Location, Clone, and Measurement Season on the Propagation Velocity of Poplar Trees Using the Akaike Information Criterion for Arrival Time Determination. Materials 2019, 12, 356. [Google Scholar] [CrossRef]
- Casado, M.; Acuña, L.; Vecilla, D.; Relea, E.; Basterra, A.; Ramón, G.; López, G. The influence of size in predicting the elastic modulus of Populus x euramericana timber using vibration techniques. Struct. Archit. 2010, 579, 2025–2032. [Google Scholar]
- Gallego, A.; Ripoll, M.A.; Timbolmas, C.; Rescalvo, F.; Suarez, E.; Valverde, I.M.; Rodríguez, M.; Navarro, F.B.; Merlo, E. Modulus of elasticity of I-214 young poplar wood from standing trees to sawn timber: Influence of the age and stand density. Eur. J. Wood Wood Prod. 2021, 79, 1225–1239. [Google Scholar] [CrossRef]
- Merlo, E.; Alvarez, J.G.; Santaclara, O.; Riesco, G. Modelling modulus of elasticity of Pinus pinaster Ait. in northwestern Spain with standing tree acoustic measurements, tree, stand and site variables. For. Syst. 2014, 23, 153–166. [Google Scholar] [CrossRef]
- Zhou, Z.R.; Zhao, M.C.; Wang, Z.; Wang, B.J.; Guan, X. Acoustic testing and sorting of Chinese poplar logs for structural LVL products. BioResources 2013, 8, 4101–4116. [Google Scholar] [CrossRef]
- Mora, C.R.; Schimleck, L.R.; Isik, F.; Mahon, J.M.; Clark, A.; Daniels, R.F. Relationships between acoustic variables and different measures of stiffness in standing Pinus taeda trees. Can. J. For. Res. 2009, 39, 1421–1429. [Google Scholar] [CrossRef]
- Llana, D.F.; Short, I.; Harte, A.M. Use of non-destructive test methods on Irish hardwood standing trees and small-diameter round timber for prediction of mechanical properties. Ann. For. Sci. 2020, 77, 62. [Google Scholar] [CrossRef]
- EN 408+A1; Timber Structures—Structural Timber and Glued Laminated Timber—Determination of Some Physical and Mechanical Properties. European Committee for Standardization: Brussels, Belgium, 2012.
- Sandoz, J.L. Grading of construction timber by ultrasound. Wood Sci. Technol. 1989, 23, 95–108. [Google Scholar] [CrossRef]
- Sandoz, J.L. Moisture content and temperature effect on ultrasound timber grading. Wood Sci. Technol. 1993, 27, 373–380. [Google Scholar] [CrossRef]
- Unterwieser, H.; Schickhofer, G. Pre-grading of sawn timber in green condition. In Proceedings of the Conference of COST Action E, Warsaw, Poland, 15–17 October 2007; Volume 53, pp. 15–17. [Google Scholar]
- Rais, A.; Pretzsch, H.; van de Kuilen, J.W.G. European beech log and lumber grading in wet and dry conditions using longitudinal vibration. Holzforschung 2020, 74, 939–947. [Google Scholar] [CrossRef]
- Forêt Privée Française FCBA Institut Technologique; Arts et Métiers ParisTech. Wood Qualities of New Poplar Cultivars. Forêt- entreprise. 2013, 212. Available online: https://www.springerprofessional.de/en/modulus-of-elasticity-of-i-214-young-poplar-wood-from-standing-t/19077358 (accessed on 9 August 2022).
- Danilović, M.; Sarić, R.; Cirović, V.; Pudja, V. The impact of pruning on tree development in poplar Populus×canadensis “I-214” plantations. IFor.-Biogeosci. For. 2022, 15, 33. [Google Scholar] [CrossRef]
- Brashaw, B.K.; Wang, X.; Ross, R.J.; Pellerin, R.F. Relationship between stress wave velocities of green and dry veneer. For. Prod. J. 2004, 54, 85–89. [Google Scholar]
- Ishiguri, F.; Diloksumpun, S.; Tanabe, J.; Iizuka, K.; Yokota, S. Stress-wave velocity of trees and dynamic Young’s modulus of logs of 4-year-old Eucalyptus camaldulensis trees selected for pulpwood production in Thailand. J. Wood Sci. 2013, 59, 506–511. [Google Scholar] [CrossRef]
- Madhoushi, M.; Boskabadi, Z. Relationship between the dynamic and static modulus of elasticity in standing trees and sawn lumbers of Paulownia fortune planted in Iran. Maderas. Cienc. Tecnol. 2019, 21, 35–44. [Google Scholar] [CrossRef]
- Divos, F.; Toshinari, T. Relation between static and dynamic modulus of elasticity of wood. Acta Silv. Lignaria Hung. 2005, 1, 105–110. [Google Scholar]
- Antony, F.; Jordan, L.; Schimleck, L.R.; Clark III, A.; Souter, R.A.; Daniels, R.F. Regional variation in wood modulus of elasticity (stiffness) and modulus of rupture (strength) of planted loblolly pine in the United States. Can. J. For. Res. 2011, 41, 1522–1533. [Google Scholar] [CrossRef]
- Ikeda, K.; Kino, N. Quality evaluation of standing trees by a stress-wave propagation method and its application I. Seasonal changes of moisture contents of sugi standing trees and evaluation with stress-wave propagation velocity. Mokuzai Gakkaishi 2000, 46, 181–188. [Google Scholar]
- Ikeda, K.; Arima, T. Quality evaluation of standing trees by a stress-wave propagation method and its application II. Evaluation of sugi stands and application to production of sugi structural square sawn timber. Mokuzai Gakkaishi 2000, 46, 189–196. [Google Scholar]
- Wang, X.; Divos, F.; Pilon, C.; Brashaw, B.K.; Ross, R.J.; Pellerin, R.F. Assessment of Decay in Standing Timber Using Stress Wave Timing Nondestructive Evaluation Tools: A Guide for Use and Interpretation; General Technical Report (GTR) FPL-GTR-147; US Department of Agriculture, Forest Service, Forest Products Laboratory: Madison, WI, USA, 2004; 12p.
- Leite, E.R.D.S.; Hein, P.R.G.; Souza, T.M.D.; Rabelo, G.F. Estimation of the dynamic elastic properties of wood from Copaifera langsdorffii Desf using resonance analysis. Cerne 2012, 18, 41–47. [Google Scholar] [CrossRef]
- Chauhan, S.; Sethy, A. Differences in dynamic modulus of elasticity determined by three vibration methods and their relationship with static modulus of elasticity. Maderas Cienc. Y Tecnol. 2016, 18, 373–382. [Google Scholar] [CrossRef]
- Hodoušek, M.; Dias, A.M.P.G.; Martins, C.; Marques, A.; Böhm, M. Comparison of non-destructive methods based on natural frequency for determining the modulus of elasticity of Cupressus lusitanica and Populus x canadensis. BioResources 2017, 12, 270–282. [Google Scholar] [CrossRef]
- Bucur, V.; Archer, R.R. Elastic constants for wood by an ultrasonic method. Wood Sci. Technol. 1984, 18, 255–265. [Google Scholar] [CrossRef]
Publisher’s Note: MDPI stays neutral with regard to jurisdictional claims in published maps and institutional affiliations. |
© 2022 by the authors. Licensee MDPI, Basel, Switzerland. This article is an open access article distributed under the terms and conditions of the Creative Commons Attribution (CC BY) license (https://creativecommons.org/licenses/by/4.0/).




