Biomass Production and Carbon Sequestration Potential of Different Agroforestry Systems in India: A Critical Review
Abstract
:1. Introduction
2. Materials and Methods
2.1. Data Collection
2.2. Data Analysis
2.3. Carbon Stock Data Collection, Standardization, and Estimation
2.4. Descriptive Meta-Analysis
3. Results
3.1. Biomass Production in Different Regions
3.2. Biomass and Soil Organic Carbon in Different Regions
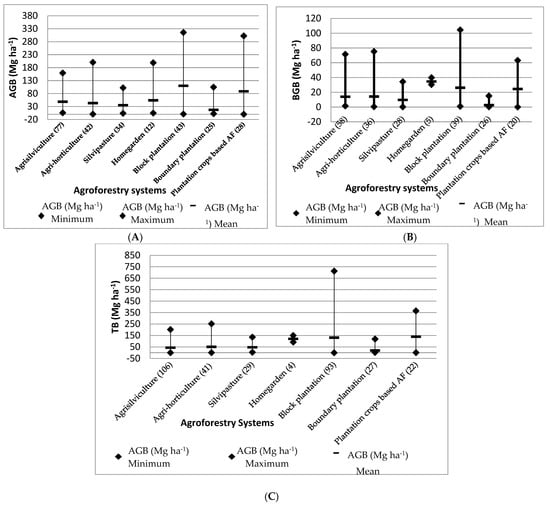
3.3. Biomass Production under Different AFS
3.4. Biomass Carbon and SOC under Different AFS
3.5. Biomass Production and Carbon Sequestration Potential through AFS in India
4. Discussion
4.1. Biomass Production
4.2. Carbon Capture
5. Conclusions
Author Contributions
Funding
Institutional Review Board Statement
Conflicts of Interest
References
- Lundgren, B.O.; Raintree, J.B. Sustained agroforestry. In Agricultural Research for Development: Potentials and Challenges in Asia; Nestel, B., Ed.; ISNAR: The Hague, The Netherlands, 1982; pp. 37–49. [Google Scholar]
- FAO. Terms and Definitions Forest Resource Assessment 2020; Forest Resources Assessment Working Paper 188; Food and Agriculture Organisation of United Nations: Rome, Italy, 2020. [Google Scholar]
- FSI. India State Forest Report 2021; Forest Survey of India: Dehradun, India, 2021. [Google Scholar]
- Nair, P.K.R. Classification of agroforestry systems. Agrofor. Syst. 1985, 3, 97–128. [Google Scholar] [CrossRef]
- Mutuo, P.K.; Cadisch, G.; Albrecht, P.C.A.; Verchot, L. Potential of agroforestry for carbon sequestration and mitigation of greenhouse gas emissions from soils in the tropics. Nutr. Cycl. Agrofor. Ecosyst. 2005, 71, 43–54. [Google Scholar] [CrossRef]
- Verchot, L.V.; Noordwijk, M.V.; Kandji, S.; Tomich, T.; Ong, C. Climate change: Linking adaptation and mitigation through agroforestry. Mitig. Adopt. Strateg. Glob. Chang. 2007, 12, 901–918. [Google Scholar] [CrossRef]
- Nair, P.K.R.; Nair, V.D.; Mohan Kumar, B.; Showalter, J.M. Carbon sequestration in agroforestry systems. Adv. Agron. 2010, 108, 237–307. [Google Scholar]
- Azar, C. Emerging scarcities—Bioenergy-food competition in a carbon constrained world. In Scarcity and Growth Revisited, Resources for the Future; Simpson, R.D., Toman, M.A., Ayres, R.U., Eds.; Routledge: New York, NY, USA, 2005; pp. 98–119. [Google Scholar]
- Righelato, R.; Spracklen, D.V. Environment: Carbon mitigation by biofuels or by saving and restoring forests? Science 2007, 317, 902. [Google Scholar] [CrossRef]
- Ruchika, S. People Are Key to India’s Carbon Sequestration Vision. 2019. Available online: https://indiaclimatedialogue.net/2019/07/19/people-are-key-to-indias-carbon-sequestration-vision/ (accessed on 20 November 2021).
- Chavan, S.; Uthappa, A.R.; Keerthika. Can Agroforestry Help Achieve Sustainable Developmental Goals? 2022. Available online: https://www.downtoearth.org.in/blog/forests/can-agroforestry-help-achieve-sustainable-developmental-goals--82769 (accessed on 5 June 2022).
- Chavan, S.B.; Dhillon, R.S.; Ajit; Rizvi, R.H.; Sirohi, C.; Handa, A.K.; Bharadwaj, K.K.; Johar, V.; Kumar, T.; Singh, P.; et al. Estimating biomass production and carbon sequestration of poplar-based agroforestry systems in India. Environ. Dev. Sustain. 2022. [Google Scholar] [CrossRef]
- Nair, P.K.R.; Nair, V.D.; Kumar, B.M.; Haile, S.G.; Dilly, O.; Pannell, D. Soil carbon sequestration in tropical agroforestry systems: A feasibility appraisal. Environ. Sci. Policy 2009, 12, 1099–1111. [Google Scholar] [CrossRef]
- Albrecht, A.; Kandji, S.T. Carbon sequestration in tropical agroforestry systems. Agric. Ecosyst. Environ. 2003, 99, 15–27. [Google Scholar] [CrossRef]
- Basu, J.P. Agroforestry, climate change mitigation and livelihood security in India. N. Z. J. For. Sci. 2014, 44, S11. [Google Scholar] [CrossRef]
- Takimoto, A.; Nair, P.K.R.; Alavalapati, J.R.R. Socioeconomic potential of carbon sequestration through agroforestry in the West African Sahel. Mitig. Adapt. Strateg. Glob. Chang. 2008, 13, 745–761. [Google Scholar] [CrossRef]
- Rai, P.; Ajit; Chaturvedi, O.P.; Singh, R.; Singh, U.P. Biomass production in multipurpose tree species in natural grasslands under semi arid conditions. J. Trop. For. 2009, 25, 11–16. [Google Scholar]
- Swamy, S.L.; Puri, S.; Singh, A.K. Growth, biomass, carbon storage and nutrient distribution in Gmelina arborea Roxb. stands on red lateritic soils in Central India. Bioresour. Technol. 2003, 90, 109–126. [Google Scholar] [CrossRef]
- Kumar, A.K. Carbon sequestration: Underexplored environmental benefits of Tarai agroforestry. Indian J. Soil Conserv. 2010, 38, 125–131. [Google Scholar]
- Devagiri, G.M.; Money, S.; Singh, S.; Dadhawal, V.K.; Patil, P.; Khaple, A.; Devakumar, S.A.; Hubballi, S. Assessment of abroveground biomass and carbon pool in different vegetation types of the south western part of Karnataka, India using spectral modeling. Trop. Ecol. 2013, 54, 149–165. [Google Scholar]
- Saha, S.K.; Nair, P.K.R.; Nair, V.D.; Kumar, B.M. Soil carbon stock in relation to plant diversity of homegardens in Kerala, India. Agrofor. Syst. 2009, 76, 53–65. [Google Scholar] [CrossRef]
- Koul, D.N.; Panwar, P. Opting different land use for carbon buildup in soils and their bioeconomics in humid subtropics of West Bengal, India. Ann. For. Res. 2012, 55, 253–264. [Google Scholar]
- Kozakiewicz, K.; Dadon, M.; Marchwicka, M. Investigation of selected properties of the black elder wood (Sambucus nigra L.). Ann. Wars. Univ. Life Sci. SGGW For. Wood Technol. 2021, 116, 28–38. [Google Scholar] [CrossRef]
- McKinney, K.; Kozakiewicz, P. Study of selected properties of red maple wood (Acer rubrum) from the experimental plot of the forest arboretum in Rogów. Ann. Wars. Univ. Life Sci. SGGW For. Wood Technol. 2021, 115, 5–17. [Google Scholar] [CrossRef]
- IPCC; Hegerl, G.C.; Zwiers, F.W.; Braconnot, P.; Gillett, N.P.; Luo, Y.; Marengo Orsini, J.A.; Nicholls, N.; Penner, J.E.; Stott, P.A. 2007: Understanding and attributing climate change. In Climate Change 2007: The Physical Science Basis. Contribution of Working Group I to the Fourth Assessment Report of the Intergovernmental Panel on Climate Change; Solomon, S., Qin, D., Manning, M., Chen, Z., Marquis, M., Averyt, K.B., Tignor, M., Miller, H.L., Eds.; Cambridge University Press: Cambridge, UK; New York, NY, USA, 2007. [Google Scholar]
- IPCC. Chapter 4. Forest land. Japan. In Intergovernmental Panel on Climate Change. Guidelines for National Greenhouse Gas Inventories; National Greenhouse Gas Inventories Programme: Geneva, Switzerland, 2006; 83p. [Google Scholar]
- Smith, P.; Haberl, H.; Popp, A.; Erb, K.-H.; Lauk, C.; Harper, R.; Tubiello, F.N.; de Siqueira Pinto, A.; Jafari, M.; Sohi, S.; et al. How much land-based greenhouse gas mitigation can be achieved without compromising food security and environmental goals? Glob. Chang. Biol. 2013, 19, 2285–2302. [Google Scholar] [CrossRef]
- Murthy, I.K.; Kumar, A.A.; Ravindranath, N.H. Potential for increasing carbon sink in Himachal Pradesh, India. Trop. Ecol. 2012, 53, 357–369. [Google Scholar]
- IPCC. IPCC Special Report on Climate Change, Desertifcation, Land Degradation, Sustainable Land Management, Food Security, and Greenhouse Gas Fluxes in Terrestrial Ecosystems; Intergovernmental Panel on Climate Change: Geneva, Switzerland, 2019. [Google Scholar]
- Solomon, S.; Qin, D.; Manning, M.; Chen, Z.; Marquis, M.; Averyt, K.B.; Tignor, M.; Miller, H.L. Climate Change 2007: The Physical Science Basis. Contribution of Working Group I to the Fourth Assessment Report of the Intergovernmental Panel on Climate Change; IPCC Fourth Assessment Report (AR4); Cambridge University Press: Cambridge, UK; New York, NY, USA, 2007. [Google Scholar]
- Ajit; Dhyani, S.K.; Handa, A.K.; Newaj, R.; Chavan, S.B.; Alam, B.; Prasad, R.; Ram, A.; Rizvi, A.; Shakhela, R.R. Estimating carbon sequestration potential of existing agroforestry systems in India. Agrofor. Syst. 2017, 91, 1101–1118. [Google Scholar] [CrossRef]
- Dhyani, S.K.; Newaj, R.; Sharma, A.R. Agroforestry: Its relation with agronomy, Challenges and opportunities. Indian J. Agron. 2009, 54, 249–266. [Google Scholar]
- Devagiri, G.M.; Khaple, A.K.; Anithraj, H.B.; Kushalappa, C.G.; Amaresh Kumar, K.; Shashi Bhushan, M. Assessment of tree diversity and above-ground biomass in coffee agroforest dominated tropical landscape of India’s Central Western Ghats. J. For. Res. 2020, 31, 1005–1015. [Google Scholar] [CrossRef]
- Sathish, B.N.; Bhavya, C.K.; Kushalappa, C.G.; Nanaya, K.M.; Dhanush, C.; Devagiri, G.M.; Gajendra, C.V. Dynamics of native tree structure and diversity in coffee agroforest: A case study from Central Western Ghats. Agrofor. Syst. 2022, 96, 161–172. [Google Scholar] [CrossRef]
- Stockmann, U.; Adams, M.A.; Crawford, J.W.; Field, D.J.; Henakaarchchi, N.; Jenkins, M.; Minasny, B.; McBratney, A.B.; de Courcelles, V.d.R.; Singh, K.; et al. The Knowns, Known unknowns and unknowns of sequestration of soil organic carbon. Agric. Ecosyst. Environ. 2013, 164, 80–99. [Google Scholar] [CrossRef]
- Oostra, S.; Majdi, H.; Olsson, M. Impact of tree species on soil carbon stocks and soil acidity in southern Sweden. Scand. J. For. Res. 2006, 21, 364–371. [Google Scholar] [CrossRef]
- Tamang, M.; Chettri, R.; Vineeta; Shukla, G.; Bhat, J.A.; Kumar, A.; Kumar, M.; Suryawanshi, A.; Cabral-Pinto, M.; Chakravarty, S. Stand Structure, Biomass and Carbon Storage in Gmelina arborea Plantation at Agricultural Landscape in Foothills of Eastern Himalayas. Land 2021, 10, 387. [Google Scholar] [CrossRef]
- Bandana, D.; Bhardwaj, D.R.; Panwar, P.; Pal, S.; Gupta, N.K.; Thakur, C.L. Long term effects of natural and plantation forests on carbon sequestration and soil properties in mid-hill sub-humid condition of Himachal Pradesh, India. Range Manag. Agrofor. 2013, 34, 19–25. [Google Scholar]
- Rai, P.; Vineeta; Shukla, G.; Manohar, K.A.; Bhat, J.A.; Kumar, A.; Kumar, M.; Cabral-Pinto, M.; Chakravarty, S. Carbon Storage of Single Tree and Mixed Tree Dominant Species Stands in a Reserve Forest—Case Study of the Eastern Sub-Himalayan Region of India. Land 2021, 10, 435. [Google Scholar] [CrossRef]
- Kim, D.G.; Miko, U.F.; Kirschbaum; Beedy, T. Carbon sequestration and net emissions of CH4 and N2O under agroforestry: Synthesizing available data and suggestions for future studies. Agric. Ecosyst. Environ. 2016, 226, 65–78. [Google Scholar] [CrossRef]
- IPCC. The Regional Impacts of Climate Change: An Assessment of Vulnerability; Watson, R.T., Zinyowera, M.C., Moss, R.H., Eds.; Cambridge University Press: Cambridge, UK, 1997; Available online: http://www.ipcc.ch/ipccreports/sres/regional/index.php?idp=0 (accessed on 20 November 2021).
- Saha, S.K.; Nair, P.K.R.; Nair, V.D.; Kumar, B.M. Carbon storage in relation to soil size-fractions under some tropical tree-based land-use systems. Plant Soil 2010, 328, 433–446. [Google Scholar] [CrossRef]
- Wardah, T.B.; Zulkhaidah. Carbon stock of agroforestry systems at adjacent buffer zone of Lore Lindu National Park, Central Sulawesi. J. Trop. Soils 2011, 16, 123–128. [Google Scholar] [CrossRef]
- Chave, J.; Condit, R.; Aguilar, S.; Hernandez, A.; Lao, S.; Perez, R. Error propagation and scaling for tropical forest biomass estimates. Philos. Trans. R. Soc. 2004, B359, 409–420. [Google Scholar] [CrossRef]
- Bajigo, A.; Tadesse, M.; Moges, Y.; Anjulo, A. Monitoring of Seasonal Variation in Physicochemical Water Parameters in Nalasopara Region. J. Ecosyst. Ecography 2015, 5, 157. [Google Scholar] [CrossRef]
- Montagnini, F.; Nair, P.K.R. Carbon sequestration: An underexploited environmental benefit of agroforestry systems. Agrofor. Syst. 2004, 61, 281–295. [Google Scholar]
- Chauhan, S.K.; Singh, S.; Sharma, S.; Sharma, R.; Saralch, H.S. Tree biomass and carbon sequestration in four short rotation tree plantations. Range Manag. Agrofor. 2019, 40, 77–82. [Google Scholar]
- Panwar, P.; Chauhan, S.; Kaushal, R.; Das, D.K.; Ajit; Arora, G.; Chaturvedi, O.P.; Jain, A.K.; Chaturvedi, S.; Tewari, S. Carbon sequestration potential of poplar-based agroforestry using the CO2FIX model in the Indo-Gangetic Region of India. Trop. Ecol. 2017, 58, 439–444. [Google Scholar]
- Das, M.; Nath, P.C.; Reang, D.; Nath, A.J.; Das, A.K. Tree Diversity and the improved agroforestry systems in North East India. Appl. Ecol. Environ. Sci. 2019, 8, 154–159. [Google Scholar]
- Koul, D.N.; Shukla, G.; Panwar, P.; Chakravarty, S. Status of soil carbon sequestration under different land use system in Terai Zone of West Bengal. Environ. We Int. J. Sci. Technol. 2011, 6, 95–100. [Google Scholar]
- Zomer, R.J.; Neufeldt, H.; Xu, J.; Ahrends, A.; Bassio, D.; Trabucco, A.; van-Noordwijk, M.; Wang, M. Global tree cover and biomass carbon on agricultural land: The contribution of agroforestry to global and national carbon budgets. Sci. Rep. 2016, 6, 29987. [Google Scholar] [CrossRef]
- Franks, P.; Hou-Jones, X.; Fikreyesus, D.; Sintayechu, M.; Mamuya, S.; Danso, E.; Meshack, C.; MnNicol, I.; Soesbergen, A.V. Reconciling Forest Conservation with Food Production in Sub-Saharan Africa: Case Studies from Ethiopia, Ghana and Tanzania; Research Report; International Institute for Environment and Development (IIED): London, UK, 2017. [Google Scholar]
- Shi, L.; Feng, W.; Xu, J.; Kuzyakov, Y. Agroforestry systems: Meta-analysis of soil carbon stocks, sequestration processes, and future potentials. Land Degrad. Dev. 2018, 29, 3886–3897. [Google Scholar] [CrossRef]
- Panwar, P.; Chakravarty, S. Floristic structure and ecological function of homegardens in humid tropics of West Bengal, India. Indian J. Agrofor. 2010, 12, 69–78. [Google Scholar]
- Kumar, V.; Tripathi, A.M. Vegetation Composition and Functional Changes of Tropical Homegardens: Prospects and Challenges. In Agroforestry for Increased Production and Livelihood Security; Gupta, S.K., Panwar, P., Kaushal, R., Eds.; New India Publishing Agency: New Delhi, India, 2017; pp. 475–505. [Google Scholar]
- Mengistu, B.; Asfaw, Z. Carbon sequestration in agroforestry practices with relation to other land uses around Dallo Mena districts of bale zone, south-eastern Ethiopia. Acad. Res. J. Agric. Sci. Res. 2019, 7, 218–226. [Google Scholar]
- Chakravarty, S.; Puri, A.; Abha, A.M.; Rai, P.; Lepcha, U.; Vineeta; Pala, N.A.; Shukla, G. Linking Social Dimensions of Climate Change: Transforming Vulnerable Smallholder Producers for Empowering and Resiliency. In Climate Change and Agroforestry Systems; Raj, A., Jhariya, M.K., Yadav, M.K., Banerjee, A., Eds.; Apple Academic Press: Palm Bay, FL, USA, 2020. [Google Scholar] [CrossRef]
- Niinemets, U.; Portsumuth, A.; Tobias, M. Leaf shape and venation pattern alter the support investments within leaf lamina in temperate species: Neglected sources of leaf physiological differentiation. Funct. Ecol. 2007, 21, 28–40. [Google Scholar] [CrossRef]
- Devi, L.S.; Yadava, P.S. Above ground biomass and net primary production of semi-evergreen tropical forest of Manipur, north-eastern India. J. For. Res. 2009, 20, 151–155. [Google Scholar] [CrossRef]
- Zhao, S.Q.; Liu, S.; Sohl, T.; Young, C.; Werner, J. Land use and carbon dynamics in the southeastern United States from 1992 to 2050. Environ. Res. Lett. 2013, 8, 044022. [Google Scholar] [CrossRef]
- Zhao, S.Q.; Liu, S.; Li, Z.; Sohl, T.L. A spatial resolution threshold of land cover in estimating terrestrial carbon sequestration in four counties in Georgia and Alabama, USA. Biogeosciences 2010, 7, 71–80. [Google Scholar] [CrossRef]
- Zhu, Z.L.; Bouchard, M.; Butman, D.; Hawbaker, T.; Li, Z.; Liu, J.; Liu, S.; McDonald, C.; Reker, R.; Sayler, K.; et al. Baseline and projected future carbon storage and greenhouse-gas fluxes in the Great Plains region of the United States. In US Geological Survey Professional Paper 1787; Zhu, Z.L., Ed.; USGS: Reston, VA, USA, 2011. Available online: http://pubs.usgs.gov/pp/1787/ (accessed on 12 January 2021).



| Agroclimatic Region/States | AFSs (N @) | AGB (Mg ha−1) | BGB (Mg ha−1) | TB (AGB + BGB + Crop Biomass) (Mg ha−1) | |||
|---|---|---|---|---|---|---|---|
| Range (Mean) | SD | Range (Mean) | SD * | Range (Mean) | SD | ||
| Northern Himalayas (Himachal Pradesh, Jammu and Kashmir and Uttrakhand) | Agrisilvicuture (31) | 6.7–159.41 (54.93) | 42.21 | 1.58–71.55 (14.87) | 14.60 | 15.94–202.59 (64.67) | 43.01 |
| Agri-horticulture (13) | 15.79–137.56 (40.00) | 32.90 | 2.40–34.39 (13.23) | 11.20 | 18.19–171.95 (57.56) | 50.81 | |
| Silvipasture (4) | 34.49–53.20 (43.85) | 13.23 | 9.01–34.42 (19.47) | 10.85 | 43.51–136.42 (87.52) | 41.08 | |
| Indo-Gangetic region (Punjab, Haryana, Uttar Pradesh, Bihar) | Agrisilviculture (14) | 17.16–62.8 (33.82) | 20.25 | 3.62–3.84 (3.76) | 0.10 | 4.96–137.3 (23.85) | 30.64 |
| Silvipasture (17) | 13.57–60.20 (38.41) | 13.52 | 1.17–17.00 (9.32) | 4.08 | 14.74–77.20 (50.72) | 16.67 | |
| Eastern and northeastern India (West Bengal, Odisha, Assam, Sikkam, Meghalaya, Manipur) | Agri-horticulture (14) | 0.81–22.50 (5.57) | 7.28 | 1.52–6.28 (3.63) | 1.81 | 2.33–11.79 (6.41) | 3.57 |
| Home gardens (11) | 4.72–199.00 (52.54) | 75.53 | 30.60–39.90 (34.69) | 4.21 | 92.58–150.75 (121.67) | 41.13 | |
| Plantation-based agroforestry (18) | 0.10–141.10 (40.46) | 46.96 | 0.12–38.47 (13.36) | 13.53 | 0.86–245.64 (87.16) | 82.55 | |
| Boundary plantation (24) | 2.15–104.72 (16.96) | 21.39 | 0.32–15.14 (2.52) | 3.11 | 2.47–119.86 (19.48) | 24.50 | |
| Block plantation (13) | 23.24–642.32 (186.20) | 158.31 | 2.33–128.46 (25.33) | 35.28 | 25.56–770.78 (220.20) | 205.92 | |
| Western and central India (Rajasthan, Gujarat, Maharashtra and Madhya Pradesh) | Agrisilviculture (7) | 5.63–19.24 (11.91) | 6.28 | - | - | 3.20–89.8 (33.63) | 38.38 |
| Agrihorticulture (19) | 0.6–200.5 (81.05) | 68.3 | 0.5–75.2 (24.60) | 21.77 | 1.2–252.6 (78.95) | 88.39 | |
| Block plantation (71) | 1.11–261.4 (79.24) | 77.19 | 0.96–82.5 (21.84) | 23.07 | 0.1–713.3 (120.09) | 168.11 | |
| Southern India (Karnataka, Andhra Pradesh, Tamil Nadu, Kerala) | Agrisilviculture (6) | 14.42–59.75 (37.37) | 19.91 | 2.85–20.25 (11.87) | 5.92 | 3.90–76.87 (35.96) | 27.89 |
| Plantation crop-based agroforestry (10) | 59.96–302.43 (174.96) | 90.15 | 22.14–63.29 (41.29) | 17.34 | 104.14–365.72 (232.38) | 105.85 | |
| Block plantation (5) | 120.9–233.4 (170.9) | 41.4 | 37.24–104.5 (69.49) | 25.8 | 158.1–332.77 (239.8) | 65.25 | |
| Coffee plantation (11) | 187.7–252.5 (221.5) | 26.84 | 50.68–68.18 (59.38) | 6.57 | 238.3–320.7 (279.2) | 30.91 | |
| Agroclimatic Region/States | AFSs (N @) | TBC (Tree + Crop Biomass Carbon) (Mg ha−1) | SOC (Mg ha−1) | ||
|---|---|---|---|---|---|
| Range (Mean) | SD | Range (Mean) | SD * | ||
| Northern Himalayas (Himachal Pradesh, Jammu and Kashmir and Uttrakhand) | Agrisilviculture (31) | 2.16–116.29 (32.61) | 34.02 | 22.28–142.9 (58.07) | 33.60 |
| Agrihorticulture (13) | 8.05–81.68 (29.61) | 19.77 | 43.67–151.7 (64.34) | 33.33 | |
| Silvipasture (4) | 21.75–68.4 (44.59) | 17.6 | 16.2–109.7 (47.63) | 34.69 | |
| Indo-Gangetic region (Punjab, Haryana, Uttar Pradesh, Bihar) | Agrisilviculture (14) | 2.24–19.9 (7.95) | 4.96 | 4.25–48.98 (15.25) | 12.52 |
| Eastern and northeastern India (West Bengal, Odisha, Assam, Sikkam, Meghalaya, Nagaland, Manipur, Mizorum) | Home gardens (11) | 30.76–140.0 (55.18) | 27.74 | 42.8–119.5 (52.15) | 22.27 |
| Plantation crop-based Agroforestry (18) | 0.08–76.16 (26.42) | 26.64 | 30.56–176.74 (96.53) | 71.57 | |
| Boundary plantation (24) | 1.24–59.93 (9.74) | 12.25 | 48.18–55.73 (51.95) | 3.28 | |
| Block plantation (13) | 11.41–362.27 (98.99) | 97.34 | - | - | |
| Western and central India (Rajasthan, Gujarat, Maharashtra and Madhya Pradesh) | Agrisilviculture (7) | 1.5–42.9 (10.24) | 11.54 | 4.28–24.13 (12.26) | 7.08 |
| Agrihorticulture (19) | 0.82–5 (1.84) | 1.77 | - | ||
| Block plantation (71) | 0.05–353.2 (38.12) | 69.07 | 0.1–63.80 (14.55) | 19.57 | |
| Southern India (Karnataka, Andhra Pradesh, Tamil Nadu, Kerala) | Agrisilviculture (6) | 1.57–39.31 (11.93) | 10.50 | 1.23–77.56 (17.08) | 26.33 |
| Plantation crop-based agroforestry (10) | 48.95–169.24 (107.95) | 49.51 | 61.26–71.39 (65.82) | 3.65 | |
| Block plantation (5) | 14.75–152.16 (73.56) | 41.13 | - | - | |
| Coffee plantation (6) | 112.04–150.74 (131.27) | 14.53 | 78.70–170.43 (125.29) | 34.66 | |
Publisher’s Note: MDPI stays neutral with regard to jurisdictional claims in published maps and institutional affiliations. |
© 2022 by the authors. Licensee MDPI, Basel, Switzerland. This article is an open access article distributed under the terms and conditions of the Creative Commons Attribution (CC BY) license (https://creativecommons.org/licenses/by/4.0/).
Share and Cite
Panwar, P.; Mahalingappa, D.G.; Kaushal, R.; Bhardwaj, D.R.; Chakravarty, S.; Shukla, G.; Thakur, N.S.; Chavan, S.B.; Pal, S.; Nayak, B.G.; et al. Biomass Production and Carbon Sequestration Potential of Different Agroforestry Systems in India: A Critical Review. Forests 2022, 13, 1274. https://doi.org/10.3390/f13081274
Panwar P, Mahalingappa DG, Kaushal R, Bhardwaj DR, Chakravarty S, Shukla G, Thakur NS, Chavan SB, Pal S, Nayak BG, et al. Biomass Production and Carbon Sequestration Potential of Different Agroforestry Systems in India: A Critical Review. Forests. 2022; 13(8):1274. https://doi.org/10.3390/f13081274
Chicago/Turabian StylePanwar, Pankaj, Devagiri G. Mahalingappa, Rajesh Kaushal, Daulat Ram Bhardwaj, Sumit Chakravarty, Gopal Shukla, Narender Singh Thakur, Sangram Bhanudas Chavan, Sharmistha Pal, Baliram G. Nayak, and et al. 2022. "Biomass Production and Carbon Sequestration Potential of Different Agroforestry Systems in India: A Critical Review" Forests 13, no. 8: 1274. https://doi.org/10.3390/f13081274
APA StylePanwar, P., Mahalingappa, D. G., Kaushal, R., Bhardwaj, D. R., Chakravarty, S., Shukla, G., Thakur, N. S., Chavan, S. B., Pal, S., Nayak, B. G., Srinivasaiah, H. T., Dharmaraj, R., Veerabhadraswamy, N., Apshahana, K., Suresh, C. P., Kumar, D., Sharma, P., Kakade, V., Nagaraja, M. S., ... Gurung, T. (2022). Biomass Production and Carbon Sequestration Potential of Different Agroforestry Systems in India: A Critical Review. Forests, 13(8), 1274. https://doi.org/10.3390/f13081274

