The Predictive Accuracy of Modulus of Elasticity (MOE) in the Wood of Standing Trees and Logs
Abstract
:1. Introduction
2. Materials and Methods
2.1. Description of the Site
2.2. Description of Standing Tree Measurement
2.3. Description of Log Measurements
2.4. Determination of Moisture Content (MC), Density, and Dynamic Elastic Modulus (MOEd)
2.5. Determination of Mechanical Testing and Static Elastic Modulus (MOEs)
2.6. Data Analysis
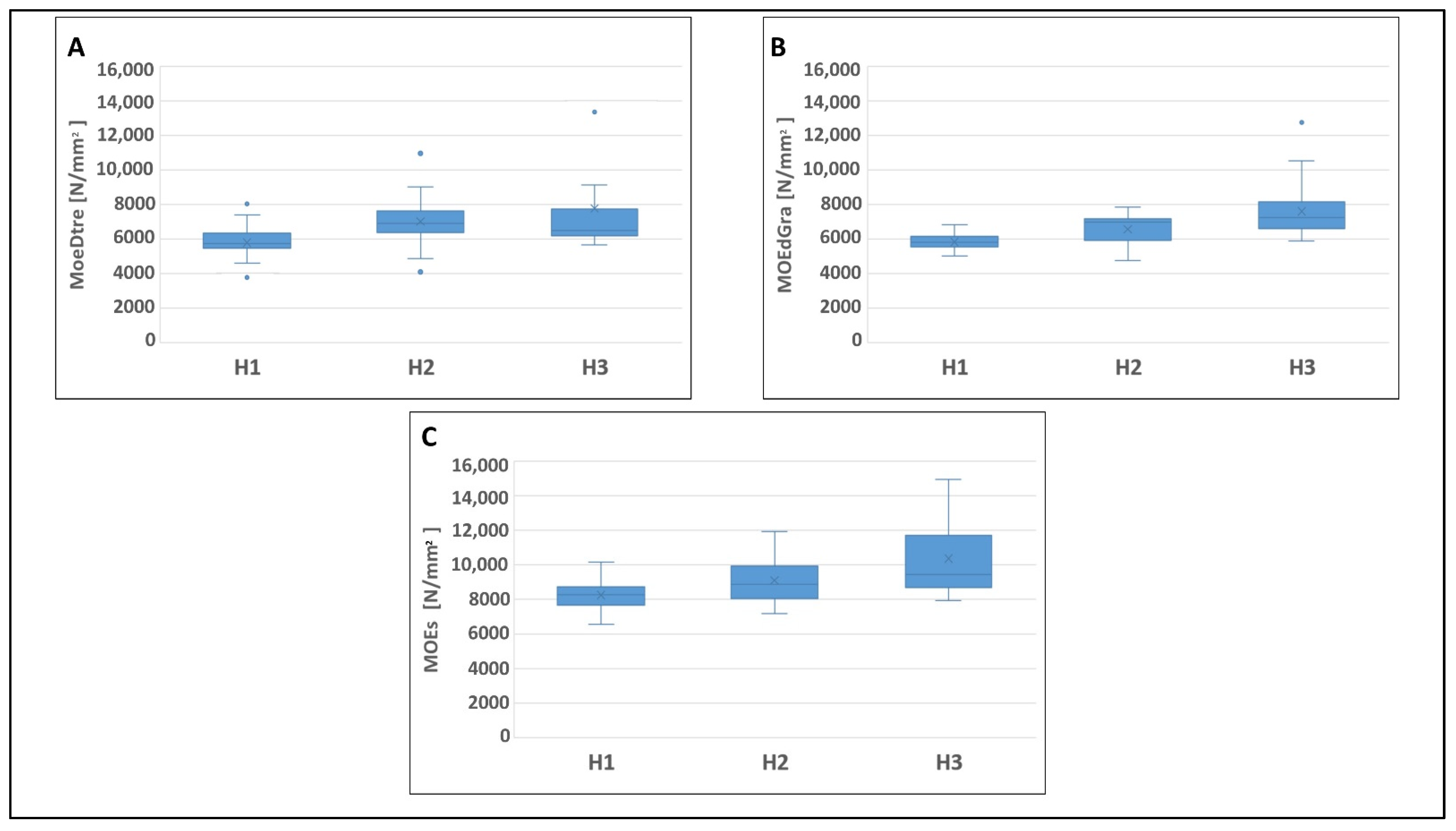
3. Results
4. Discussion
5. Conclusions
Author Contributions
Funding
Data Availability Statement
Acknowledgments
Conflicts of Interest
Abbreviations
| NDT | non-destructive test |
| TOF | time-of-flight of wave |
| MC | moisture content |
| FSP | fiber saturation point |
| MOE | modulus of elasticity |
| MOEd | dynamic modulus of elasticity |
| MOEs | static modulus of elasticity |
| VelTre | sound stress wave velocities obtained with Treesonic on standing tree |
| VelGra | sound stress wave velocities obtained with Resonance Log Grader on log |
| MOEdTre | dynamic modulus of elasticity on standing tree |
| MOEdGra | dynamic modulus of elasticity on log |
References
- Marini, F.; Manetti, M.C.; Corona, P.; Portoghesi, L.; Vinciguerra, V.; Tamantini, S.; Kuzminsky, E.; Zikeli, F.; Romagnoli, M. Influence of forest stand characteristics on physical, mechanical properties and chemistry of chestnut wood. Sci. Rep. 2021, 11, 1549. [Google Scholar] [CrossRef] [PubMed]
- Todaro, L.; Macchioni, N. Wood properties of young Douglas-fir in Southern Italy: Results over a 12-year post-thinning period. Eur. J. For. Res. 2011, 130, 251–261. [Google Scholar] [CrossRef]
- Jozsa, L.A.; Middleton, G.R. A Discussion of Wood Quality Attributes and Their Practical Implications; Forintek Canada Corp: Fredericton, NB, Canada, 1994; p. 42, Special Publication No. SP-34. [Google Scholar]
- Proto, A.R.; Macri, G.; Bernardini, V.; Russo, D.; Zimbalatti, G. Acoustic evaluation of wood quality with a non-destructive method in standing trees: A first survey in Italy. IFor.-Biogeosci. For. 2017, 10, 700–706. [Google Scholar] [CrossRef]
- Bonifazi, G.; Calienno, L.; Capobianco, G.; Monaco, A.L.; Pelosi, C.; Picchio, R.; Serranti, S. Modeling color and chemical changes on normal and red heart beech wood by reflectance spectrophotometry, Fourier Transform Infrared spectroscopy and hyperspectral imaging. Polym. Degrad. Stab. 2015, 113, 10–21. [Google Scholar] [CrossRef]
- Calienno, L.; Lo Monaco, A.; Pelosi, C.; Picchio, R. Colour and chemical changes on photodegraded beech wood with or without red heartwood. Wood Sci. Technol. 2014, 48, 1167–1180. [Google Scholar] [CrossRef]
- Borz, S.A.; Oghnoum, M.; Marcu, M.V.; Lorincz, A.; Proto, A.R. Performance of small-scale sawmilling operations: A case study on time consumption, productivity and main ergonomics for a manually-driven bandsaw. Forests 2021, 12, 810. [Google Scholar] [CrossRef]
- Wang, X.; Carter, P.; Ross, R.J.; Brashaw, B.K. Acoustic assessment of wood quality of raw forest materials—A path to increased profitability. For. Prod. J. 2007, 57, 6–14. [Google Scholar]
- Madhoushi, M.; Daneshvar, S. Predicting the static modulus of elasticity in eastern cottonwood (Populus deltoides) using stress wave non-destructive testing in standing trees. Eur. J. Wood Prod. 2016, 74, 885–892. [Google Scholar] [CrossRef]
- Russo, D.; Marziliano, P.A.; Macri, G.; Proto, A.R.; Zimbalatti, G.; Lombardi, F. Does Thinning Intensity Affect Wood Quality? An Analysis of Calabrian Pine in Southern Italy Using a Non-Destructive Acoustic Method. Forests 2019, 10, 303. [Google Scholar] [CrossRef]
- Proto, A.R.; Cataldo, M.F.; Costa, C.; Papandrea, S.F.; Zimbalatti, G. A tomographic approach to assessing the possibility of ring shake presence in standing chestnut trees. Eur. J. Wood Wood Prod. 2020, 78, 1137–1148. [Google Scholar] [CrossRef]
- Allison, R.B.; Wang, X. Chapter 7: Nondestructive Testing in the Urban Forest; General Technical Report, FPL-GTR-238; USDA Forest Service, Forest Products Laboratory: Madison, WI, USA, 2015; pp. 77–86. [Google Scholar]
- Gao, S.; Wang, X.; Wiemann, M.C.; Brashaw, B.K.; Ross, R.J.; Wang, L. A critical analysis of methods for rapid and nondestructive determination of wood density in standing trees. Ann. For. Sci. 2017, 74, 27. [Google Scholar] [CrossRef]
- Fundova, I.; Funda, T.; Wu, H.X. Non-Destructive Assessment of Wood Stiffness in Scots Pine (Pinus sylvestris L.) and its Use in Forest Tree Improvement. Forests 2019, 10, 491. [Google Scholar] [CrossRef]
- Newton, P.F. Acoustic Velocity—Wood Fiber Attribute Relationships for Jack Pine Logs and Their Potential Utility. Forests 2018, 9, 749. [Google Scholar] [CrossRef]
- Škorpík, P.; Konrad, H.; Geburek, T.; Schuh, M.; Vasold, D.; Eberhardt, M.; Schueler, S. Solid wood properties assessed by non-destructive measurements of standing European larch (Larix decidua Mill.): Environmental effects on variation within and among trees and forest stands. Forests 2018, 9, 276. [Google Scholar] [CrossRef]
- Matheson, A.C.; Gapare, W.J.; Ilic, J.; Wu, H.X. Inheritance and genetic gain in wood stiffness in radiata pine assessed acoustically in young standing trees. Silvae Genet. 2008, 57, 56–64. [Google Scholar] [CrossRef]
- Schimleck, L.; Dahlen, J.; Apiolaza, L.A.; Downes, G.; Emms, G.; Evans, R.; Moore, J.; Pâques, L.; Van den Bulcke, J.; Wang, X. Non-Destructive Evaluation Techniques and What They Tell Us about Wood Property Variation. Forests 2019, 10, 728. [Google Scholar] [CrossRef]
- Raj, B. Nondestructive testing and evaluation: Overview. In Encyclopedia of Materials: Science and Technology; Elsevier: Oxford, UK, 2001; pp. 6177–6184. [Google Scholar] [CrossRef]
- Pellerin, R.F.; Ross, R.J. (Eds.) Nondestructive Evaluation of Wood; Forest Products Society: Madison, WI, USA, 2002; p. 210, Publication no. 7250. [Google Scholar]
- Papandrea, S.F.; Cataldo, M.F.; Zimbalatti, G.; Proto, A.R. Comparative evaluation of inspection techniques for decay detection in urban trees. Sens. Actuators A Phys. 2022, 340, 113544. [Google Scholar] [CrossRef]
- Ross, R.J.; Wang, X.; Mattson, J.A.; Erickson, J.R.; Forsman, J.W.; Geske, E.A.; Wehr, M.A. Comparison of Several Nondestructive Evaluation Techniques for Assessing Stiffness and MOE of Small-Diameter Logs; Research Paper; Department of Agriculture, Forest Service, Forest Products Laboratory: Madison, WI, USA, 2001. [Google Scholar]
- Beall, F.C. Wood Products: Nondestructive Evaluation. In Encyclopedia of Materials: Science and Technology, 2nd ed.; Elsevier: Oxford, UK, 2001; pp. 9702–9707. [Google Scholar]
- Wang, X.; Ross, R.J.; Carter, P. Acoustic evaluation of wood quality in standing trees. Part I. Acoustic wave behavior. Wood Fiber Sci. 2007, 39, 28–38. [Google Scholar]
- Bucur, V. Ultrasonic techniques for nondestructive testing of standing trees. Ultrasonics 2005, 43, 237–239. [Google Scholar] [CrossRef] [PubMed]
- Chauhan, S.S.; Walker, J.C.F. Variations in acoustic velocity and density with age, and their interrelationships in radiata pine. For. Ecol. Manag. 2006, 229, 388–394. [Google Scholar] [CrossRef]
- Guntekin, E.; Emiroglu, Z.G.; Yilmaz, T. Prediction of bending properties for turkish red Pine (Pinus brutia Ten.) lumber using stress wave method. BioResources 2013, 8, 231–237. [Google Scholar] [CrossRef]
- Ross, R.J. Wood Handbook: Wood as an Engineering Material; General Technical Report FPL-GTR-190; USDA Forest Service, Forest Products Laboratory: Madison, WI, USA, 2010; 509p.
- Casado, M.; Acuña, L.; Basterra, L.A.; Ramón-Cueto, G.; Vecilla, D. Grading of structural timber of Populus×euramericana clone I-214. Holzforschung 2012, 66, 633–638. [Google Scholar] [CrossRef]
- Grabianowski, M.; Manley, B.; Walker, J.C.F. Acoustic measurements on standing trees, logs and green lumber. Wood Sci. Technol. 2006, 40, 205–216. [Google Scholar] [CrossRef]
- Wang, X. Acoustic measurements on trees and logs: A review and analysis. Wood Sci. Technol. 2013, 47, 965–975. [Google Scholar] [CrossRef]
- Wang, X.; Ross, R.J.; McClellan, M.; Barbour, R.J.; Erickson, J.R.; Forsman, J.W.; McGinnis, G.D. Nondestructive evaluation of standing trees with a stress wave method. Wood Fiber Sci. 2001, 33, 522–533. [Google Scholar]
- Auty, D.; Achim, A. The relationship between standing tree acoustic assessment and timber quality in Scots pine and the practical implications for assessing timber quality from naturally regenerated stands. Forestry 2008, 81, 475–487. [Google Scholar] [CrossRef]
- Emms, G.W.; Nanayakkara, B.; Harrington, J.J. Application of longitudinal-wave time-of-flight sound speed measurement to Pinus radiata seedlings. Can. J. For. Res. 2013, 43, 750–756. [Google Scholar] [CrossRef]
- Stoilov, S.; Proto, A.R.; Angelov, G.; Papandrea, S.F.; Borz, S.A. Evaluation of salvage logging productivity and costs in the sensitive forests of Bulgaria. Forests 2021, 12, 309. [Google Scholar] [CrossRef]
- Arciniegas, A.; Prieto, F.; Brancheriau, L.; Lasaygues, P. Literature review of acoustic and ultrasonic tomography in standing trees. Trees 2014, 28, 1559–1567. [Google Scholar] [CrossRef]
- Legg, M.; Bradley, S. Measurement of stiffness of standing trees and felled logs using acoustics: A review. J. Acoust. Soc. Am. 2016, 139, 588–604. [Google Scholar] [CrossRef] [PubMed]
- Wang, X.; Ross, R.J.; McClellan, M.; Barbour, R.J.; Erickson, J.R.; Forsman, J.W.; McGinnis, G.D. Strength and Stiffness Assessment of Standing Trees Using a Nondestructive Stress Wave Technique; Department of Agriculture, Forest Service, Forest Products Laboratory: Madison, WI, USA, 2000. [Google Scholar]
- Teder, M.; Pilt, K.; Miljan, M.; Lainurm, M.; Kruuda, R. Overview of some non-destructive methods for in-situ assessment of structural timber. In Proceedings of the 3rd International Conference Civil Engineering, Jelgava, Latvia, 12–13 May 2011; pp. 12–13. [Google Scholar]
- Cave, I.D.; Walker, J.C.F. Stiffness of wood in fast-grown plantation softwoods: The influence of microfibril angle. For. Prod. J. 1994, 44, 43. [Google Scholar]
- Liang, S.Q.; Fu, F. Comparative study on three dynamic modulus of elasticity and static modulus of elasticity for Lodgepole pine lumber. J. For. Res. 2007, 18, 309–312. [Google Scholar] [CrossRef]
- Vaughan, D.; Auty, D.; Dahlen, J.; Sánchez, A.J.; Meador, M.K. Modelling variation in wood stiffness of Pinus ponderosa using static bending and acoustic measurements. For. Int. J. For. Res. 2021, 94, 232–243. [Google Scholar] [CrossRef]
- Wang, X.; Simpson, W.T. Using acoustic analysis to presort warp-prone ponderosa pine 2 by 4s before kiln-drying. Wood Fiber Sci. 2006, 38, 206–214. [Google Scholar]
- Brüchert, F.; Wilhelmsson, L.; Mochan, S.; Sauter, U.H. An integrated approach for wood quality prediction from standing tree to sawn timber. In Proceedings of the 17th International Nondestructive Testing and Evaluation of Wood Symposium, Sopron, Hungary, 14–16 September 2011; pp. 40–47. [Google Scholar]
- Hernandez, R.E.; Koubaa, A.; Beaudoin, M.; Fortin, Y. Selected mechanical properties of fast-growing poplar hybrid clones. Wood Fiber Sci. 1998, 30, 138–147. [Google Scholar]
- Rescalvo, F.J.; Rodríguez, M.; Bravo, R.; Abarkane, C.; Gallego, A. Acoustic Emission and Numerical Analysis of Pine Beams Retrofitted with FRP and Poplar Wood. Materials 2020, 13, 435. [Google Scholar] [CrossRef]
- Saadat-Nia, M.; Brancheriau, L.; Gallet, P.; Enayati, A.A.; Pourtahmasi, K.; Honavar, F. Ultrasonic wave parameter changes during propagation through poplar and spruce reaction wood. BioResources 2011, 6, 1172–1185. [Google Scholar]
- Cheng, F.; Hu, Y. Nondestructive test and prediction of MOE of FRP reinforced fast-growing poplar glulam. Compos. Sci. Technol. 2011, 71, 1163–1170. [Google Scholar] [CrossRef]
- Ettelaei, A.; Layeghi, M.; Hosseinabadi, H.Z.; Ebrahimi, G. Prediction of modulus of elasticity of poplar wood using ultrasonic technique by applying empirical correction factors. Measurement 2019, 135, 392–399. [Google Scholar] [CrossRef]
- Rescalvo, F.J.; Ripoll, M.A.; Suarez, E.; Gallego, A. Effect of Location, Clone, and Measurement Season on the Propagation Velocity of Poplar Trees Using the Akaike Information Criterion for Arrival Time Determination. Materials 2019, 12, 356. [Google Scholar] [CrossRef]
- Casado, M.; Acuña, L.; Vecilla, D.; Relea, E.; Basterra, A.; Ramón, G.; López, G. The influence of size in predicting the elastic modulus of Populus x euramericana timber using vibration techniques. Struct. Archit. 2010, 579, 2025–2032. [Google Scholar]
- Gallego, A.; Ripoll, M.A.; Timbolmas, C.; Rescalvo, F.; Suarez, E.; Valverde, I.M.; Rodríguez, M.; Navarro, F.B.; Merlo, E. Modulus of elasticity of I-214 young poplar wood from standing trees to sawn timber: Influence of the age and stand density. Eur. J. Wood Wood Prod. 2021, 79, 1225–1239. [Google Scholar] [CrossRef]
- Merlo, E.; Alvarez, J.G.; Santaclara, O.; Riesco, G. Modelling modulus of elasticity of Pinus pinaster Ait. in northwestern Spain with standing tree acoustic measurements, tree, stand and site variables. For. Syst. 2014, 23, 153–166. [Google Scholar] [CrossRef]
- Zhou, Z.R.; Zhao, M.C.; Wang, Z.; Wang, B.J.; Guan, X. Acoustic testing and sorting of Chinese poplar logs for structural LVL products. BioResources 2013, 8, 4101–4116. [Google Scholar] [CrossRef]
- Mora, C.R.; Schimleck, L.R.; Isik, F.; Mahon, J.M.; Clark, A.; Daniels, R.F. Relationships between acoustic variables and different measures of stiffness in standing Pinus taeda trees. Can. J. For. Res. 2009, 39, 1421–1429. [Google Scholar] [CrossRef]
- Llana, D.F.; Short, I.; Harte, A.M. Use of non-destructive test methods on Irish hardwood standing trees and small-diameter round timber for prediction of mechanical properties. Ann. For. Sci. 2020, 77, 62. [Google Scholar] [CrossRef]
- EN 408+A1; Timber Structures—Structural Timber and Glued Laminated Timber—Determination of Some Physical and Mechanical Properties. European Committee for Standardization: Brussels, Belgium, 2012.
- Sandoz, J.L. Grading of construction timber by ultrasound. Wood Sci. Technol. 1989, 23, 95–108. [Google Scholar] [CrossRef]
- Sandoz, J.L. Moisture content and temperature effect on ultrasound timber grading. Wood Sci. Technol. 1993, 27, 373–380. [Google Scholar] [CrossRef]
- Unterwieser, H.; Schickhofer, G. Pre-grading of sawn timber in green condition. In Proceedings of the Conference of COST Action E, Warsaw, Poland, 15–17 October 2007; Volume 53, pp. 15–17. [Google Scholar]
- Rais, A.; Pretzsch, H.; van de Kuilen, J.W.G. European beech log and lumber grading in wet and dry conditions using longitudinal vibration. Holzforschung 2020, 74, 939–947. [Google Scholar] [CrossRef]
- Forêt Privée Française FCBA Institut Technologique; Arts et Métiers ParisTech. Wood Qualities of New Poplar Cultivars. Forêt- entreprise. 2013, 212. Available online: https://www.springerprofessional.de/en/modulus-of-elasticity-of-i-214-young-poplar-wood-from-standing-t/19077358 (accessed on 9 August 2022).
- Danilović, M.; Sarić, R.; Cirović, V.; Pudja, V. The impact of pruning on tree development in poplar Populus×canadensis “I-214” plantations. IFor.-Biogeosci. For. 2022, 15, 33. [Google Scholar] [CrossRef]
- Brashaw, B.K.; Wang, X.; Ross, R.J.; Pellerin, R.F. Relationship between stress wave velocities of green and dry veneer. For. Prod. J. 2004, 54, 85–89. [Google Scholar]
- Ishiguri, F.; Diloksumpun, S.; Tanabe, J.; Iizuka, K.; Yokota, S. Stress-wave velocity of trees and dynamic Young’s modulus of logs of 4-year-old Eucalyptus camaldulensis trees selected for pulpwood production in Thailand. J. Wood Sci. 2013, 59, 506–511. [Google Scholar] [CrossRef]
- Madhoushi, M.; Boskabadi, Z. Relationship between the dynamic and static modulus of elasticity in standing trees and sawn lumbers of Paulownia fortune planted in Iran. Maderas. Cienc. Tecnol. 2019, 21, 35–44. [Google Scholar] [CrossRef]
- Divos, F.; Toshinari, T. Relation between static and dynamic modulus of elasticity of wood. Acta Silv. Lignaria Hung. 2005, 1, 105–110. [Google Scholar]
- Antony, F.; Jordan, L.; Schimleck, L.R.; Clark III, A.; Souter, R.A.; Daniels, R.F. Regional variation in wood modulus of elasticity (stiffness) and modulus of rupture (strength) of planted loblolly pine in the United States. Can. J. For. Res. 2011, 41, 1522–1533. [Google Scholar] [CrossRef]
- Ikeda, K.; Kino, N. Quality evaluation of standing trees by a stress-wave propagation method and its application I. Seasonal changes of moisture contents of sugi standing trees and evaluation with stress-wave propagation velocity. Mokuzai Gakkaishi 2000, 46, 181–188. [Google Scholar]
- Ikeda, K.; Arima, T. Quality evaluation of standing trees by a stress-wave propagation method and its application II. Evaluation of sugi stands and application to production of sugi structural square sawn timber. Mokuzai Gakkaishi 2000, 46, 189–196. [Google Scholar]
- Wang, X.; Divos, F.; Pilon, C.; Brashaw, B.K.; Ross, R.J.; Pellerin, R.F. Assessment of Decay in Standing Timber Using Stress Wave Timing Nondestructive Evaluation Tools: A Guide for Use and Interpretation; General Technical Report (GTR) FPL-GTR-147; US Department of Agriculture, Forest Service, Forest Products Laboratory: Madison, WI, USA, 2004; 12p.
- Leite, E.R.D.S.; Hein, P.R.G.; Souza, T.M.D.; Rabelo, G.F. Estimation of the dynamic elastic properties of wood from Copaifera langsdorffii Desf using resonance analysis. Cerne 2012, 18, 41–47. [Google Scholar] [CrossRef]
- Chauhan, S.; Sethy, A. Differences in dynamic modulus of elasticity determined by three vibration methods and their relationship with static modulus of elasticity. Maderas Cienc. Y Tecnol. 2016, 18, 373–382. [Google Scholar] [CrossRef]
- Hodoušek, M.; Dias, A.M.P.G.; Martins, C.; Marques, A.; Böhm, M. Comparison of non-destructive methods based on natural frequency for determining the modulus of elasticity of Cupressus lusitanica and Populus x canadensis. BioResources 2017, 12, 270–282. [Google Scholar] [CrossRef]
- Bucur, V.; Archer, R.R. Elastic constants for wood by an ultrasonic method. Wood Sci. Technol. 1984, 18, 255–265. [Google Scholar] [CrossRef]





| Species | Populus × euroamericana |
|---|---|
| Clone | I-214 |
| Latitude (°) | 38°36′15″ |
| Longitude (°) | 16°08′76″ |
| Age | 22 |
| Trees per ha | 400 |
| Mean DBH (cm) | 30 |
| Mean height (m) | 20.41 |
| H | N | Minimum | Maximum | Mean | Std. Deviation | CV | |
|---|---|---|---|---|---|---|---|
| H1 | VelTre | 22 | 3125 | 4556 | 3853.75 | 333.4 | 8.65 |
| VelGra | 22 | 3598 | 4196 | 3876.55 | 144.24 | 3.72 | |
| MOEdTre | 22 | 3782.82 | 8040.51 | 5793.94 | 987.06 | 17.03 | |
| MOEdGra | 22 | 5014.63 | 6820.04 | 5828.8 | 434.21 | 7.44 | |
| MOEs | 22 | 6574.2 | 10,145.52 | 8248.51 | 909.63 | 11.02 | |
| H2 | VelTre | 22 | 3250 | 5321 | 4226.6 | 509.29 | 12.04 |
| VelGra | 22 | 3500 | 4500 | 4110.18 | 275.77 | 6.70 | |
| MOEdTre | 22 | 4091.5 | 10,967.37 | 7015.81 | 1667.72 | 23.77 | |
| MOEdGra | 22 | 4745.18 | 7844.07 | 6572.04 | 852.49 | 12.97 | |
| MOEs | 22 | 7166.7 | 11,908.6 | 9091.2 | 1300.55 | 14.30 | |
| H3 | VelTre | 22 | 3828.5 | 5985 | 4425.26 | 719.79 | 16.26 |
| VelGra | 22 | 3900 | 5741 | 4413.18 | 430.97 | 9.76 | |
| MOEdTre | 22 | 5677.67 | 13,875.37 | 7777.24 | 2740.8 | 35.24 | |
| MOEdGra | 22 | 5891.76 | 12,767.07 | 7612.99 | 1591.12 | 20.90 | |
| MOEs | 22 | 7914.9 | 14,958 | 10,364.78 | 2118.74 | 20.44 | |
| N | VelTre | VelGra | MOEdTre | MOEdGra | ||
|---|---|---|---|---|---|---|
| MOEs | Pearson Corr. | 66 | 0.690 ** | 0.726 ** | 0.708 ** | 0.728 ** |
| VelGra | Pearson Corr. | 66 | 0.627 ** | 1 | - | - |
| MOEdGra | Pearson Corr. | 66 | - | - | 0.607 ** | 1 |
| H | N | MOEdTre | MOEdGra | ||
|---|---|---|---|---|---|
| H1 | MOEs | Pearson Corr. | 22 | 0.279 | 0.439 * |
| H2 | MOEs | Pearson Corr. | 22 | 0.466 * | 0.287 |
| H3 | MOEs | Pearson Corr. | 22 | 0.775 ** | 0.759 ** |
Publisher’s Note: MDPI stays neutral with regard to jurisdictional claims in published maps and institutional affiliations. |
© 2022 by the authors. Licensee MDPI, Basel, Switzerland. This article is an open access article distributed under the terms and conditions of the Creative Commons Attribution (CC BY) license (https://creativecommons.org/licenses/by/4.0/).
Share and Cite
Papandrea, S.F.; Cataldo, M.F.; Bernardi, B.; Zimbalatti, G.; Proto, A.R. The Predictive Accuracy of Modulus of Elasticity (MOE) in the Wood of Standing Trees and Logs. Forests 2022, 13, 1273. https://doi.org/10.3390/f13081273
Papandrea SF, Cataldo MF, Bernardi B, Zimbalatti G, Proto AR. The Predictive Accuracy of Modulus of Elasticity (MOE) in the Wood of Standing Trees and Logs. Forests. 2022; 13(8):1273. https://doi.org/10.3390/f13081273
Chicago/Turabian StylePapandrea, Salvatore F., Maria F. Cataldo, Bruno Bernardi, Giuseppe Zimbalatti, and Andrea R. Proto. 2022. "The Predictive Accuracy of Modulus of Elasticity (MOE) in the Wood of Standing Trees and Logs" Forests 13, no. 8: 1273. https://doi.org/10.3390/f13081273
APA StylePapandrea, S. F., Cataldo, M. F., Bernardi, B., Zimbalatti, G., & Proto, A. R. (2022). The Predictive Accuracy of Modulus of Elasticity (MOE) in the Wood of Standing Trees and Logs. Forests, 13(8), 1273. https://doi.org/10.3390/f13081273

