Effects of Forest Gaps on Abies faxoniana Rehd. Leaf Litter Mass Loss and Carbon Release along an Elevation Gradient in a Subalpine Forest
Abstract
:1. Introduction
2. Materials and Methods
2.1. Site Description and Experimental Design
2.2. Litterbag Experiment
2.3. Data Analysis
3. Results
3.1. Temperature Characteristics and Snow Depth
3.2. Litter Mass Loss and Decomposition Constant k
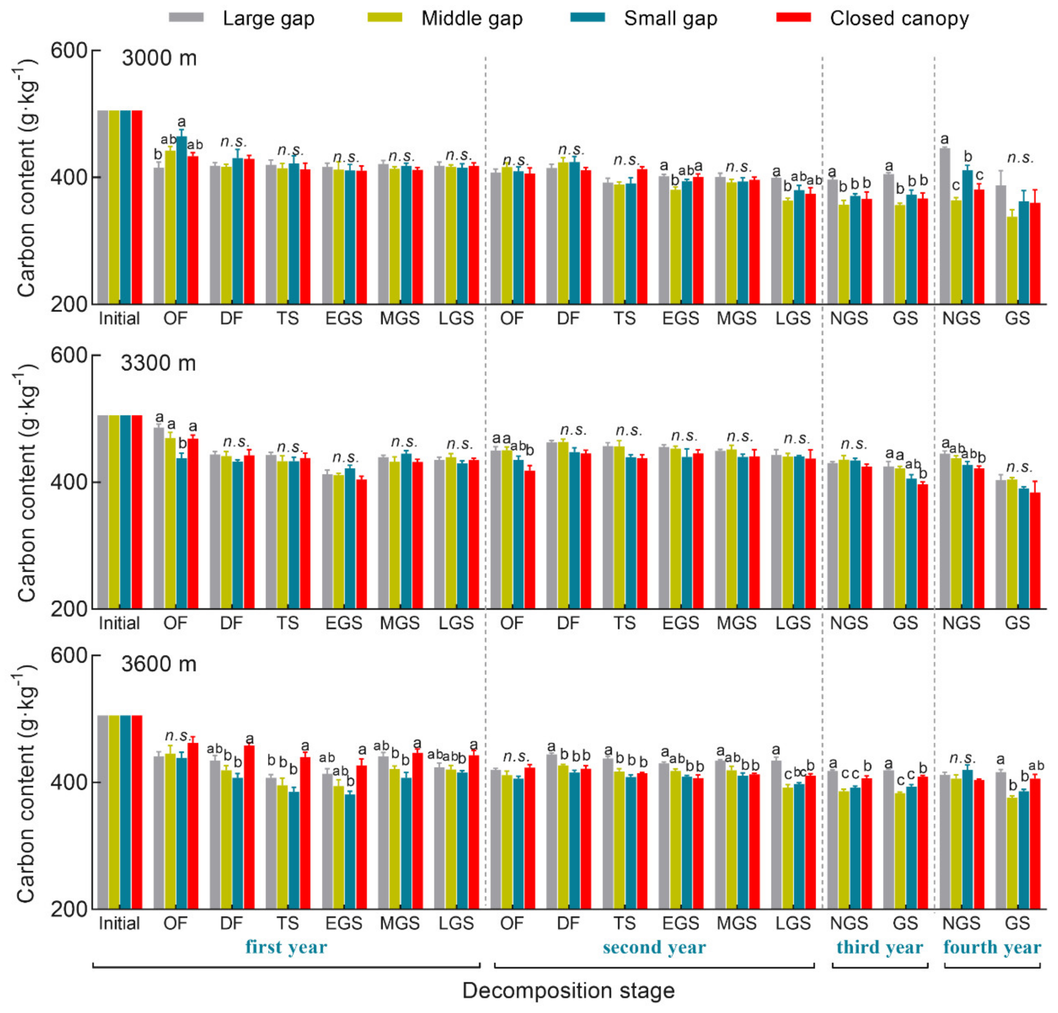
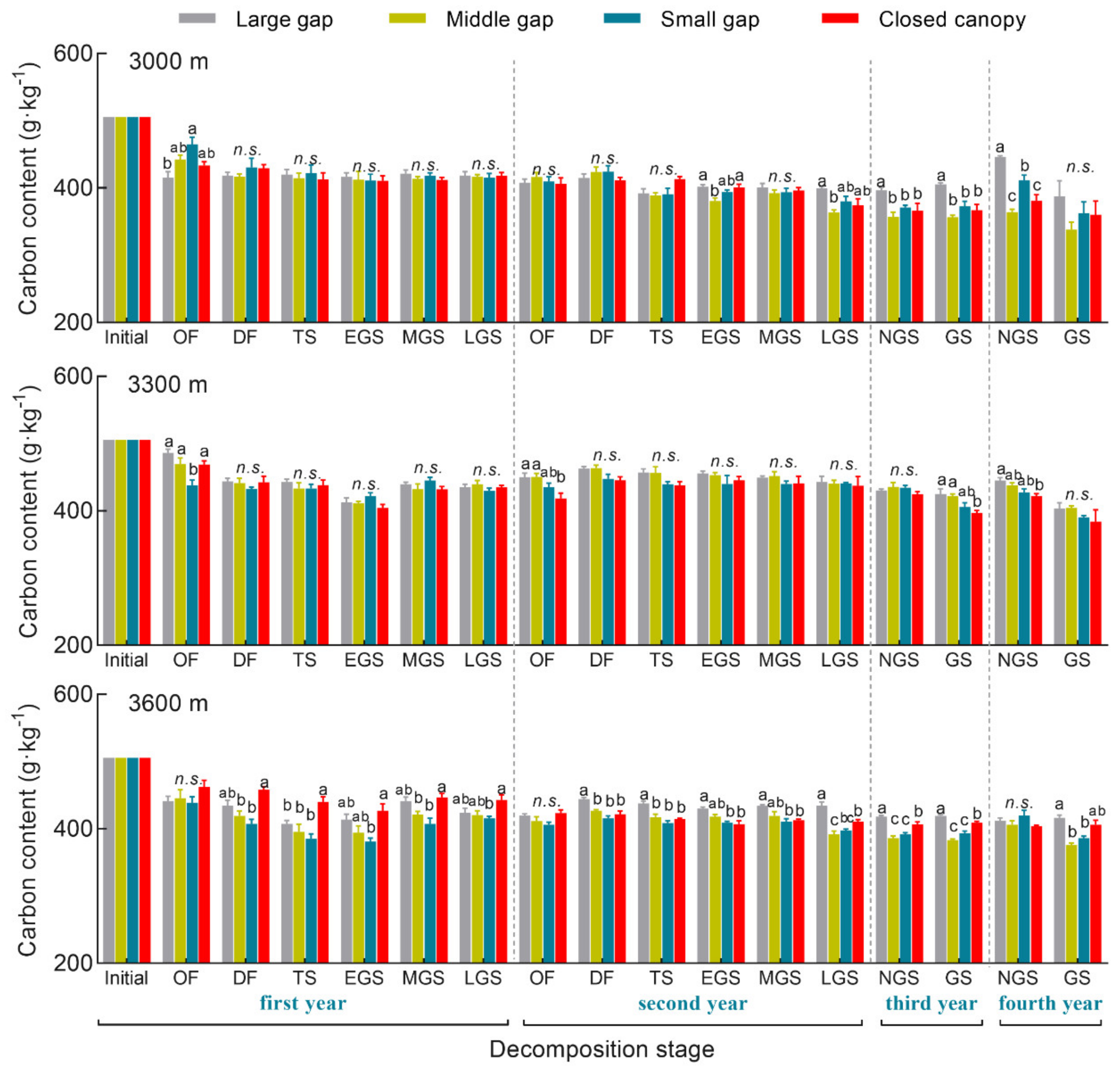
3.3. Litter Carbon Content
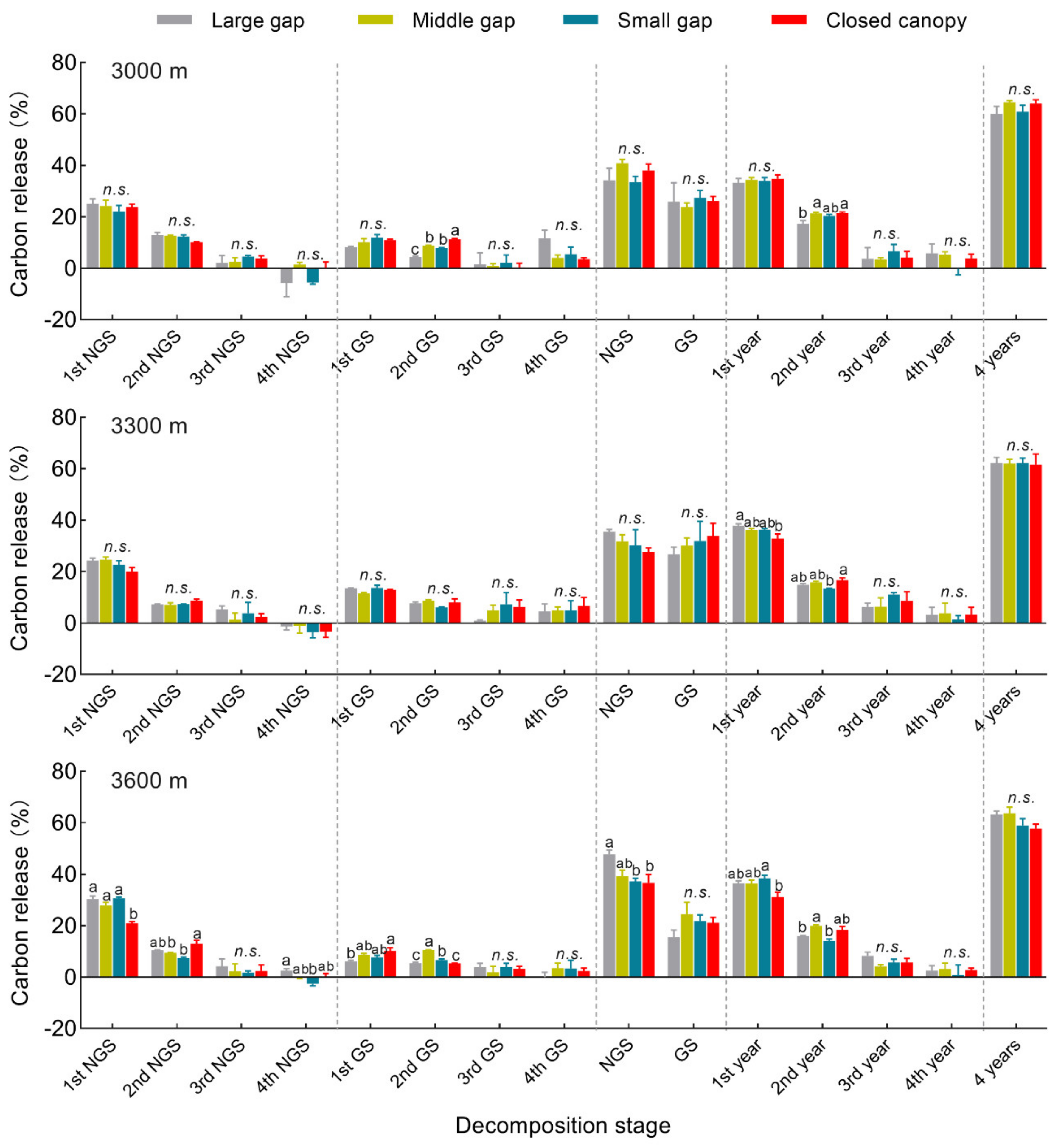
3.4. Litter Carbon Release
3.5. Key Drivers of Litter Mass Loss and Carbon Release
4. Discussion
5. Conclusions
Supplementary Materials
Author Contributions
Funding
Institutional Review Board Statement
Informed Consent Statement
Data Availability Statement
Acknowledgments
Conflicts of Interest
References
- Ssmaneh, T.; Shamsollah, A.; Jahangir, K.; Shaban, S. Effects of Tree Species Composition on Soil Properties and Invertebrates in A Deciduous Forest. Arab. J. Geosci. 2019, 12, 368. [Google Scholar]
- Prescott, C.E.; Grayston, S.J.; Helmisaari, H.S.; Kaštovská, E.; Körner, C.; Lambers, H.; Meier, I.C.; Millard, P.; Ostonen, I. Surplus Carbon Drives Allocation and Plant–Soil Interactions. Trends Ecol. Evol. 2020, 35, 1110–1118. [Google Scholar] [CrossRef] [PubMed]
- Prescott, C.E. Litter Decomposition: What Controls It and How Can We Alter It to Sequester More Carbon in Forest Soils? Biogeochemistry 2010, 101, 133–149. [Google Scholar] [CrossRef]
- Berg, B. Decomposition Patterns for Foliar Litter—A Theory for Influencing Factors. Soil Biol. Biochem. 2014, 78, 222–232. [Google Scholar] [CrossRef]
- Aerts, R. The Freezer Defrosting: Global Warming and Litter Decomposition Rates in Cold Biomes. J. Ecol. 2006, 94, 713–724. [Google Scholar] [CrossRef]
- Schliemann, S.A.; Bockheim, J.G. Methods for Studying Treefall Gaps: A Review. For. Ecol. Manag. 2011, 261, 1143–1151. [Google Scholar] [CrossRef]
- Ritter, E. Litter Decomposition and Nitrogen Mineralization in Newly Formed Gaps in a Danish Beech (Fagus sylvatica) Forest. Soil Biol. Biochem. 2005, 37, 1237–1247. [Google Scholar] [CrossRef]
- González, G.; Lodge, D.J.; Richardson, B.A.; Richardson, M.J. A Canopy Trimming Experiment in Puerto Rico: The Response of Litter Decomposition and Nutrient Release to Canopy Opening and Debris Deposition in a Subtropical Wet Forest. For. Ecol. Manag. 2014, 332, 32–46. [Google Scholar] [CrossRef]
- Gliksman, D.; Haenel, S.; Osem, Y.; Yakir, D.; Zangy, E.; Preisler, Y.; Grünzweig, J.M. Litter decomposition in Mediterranean pine forests is enhanced by reduced canopy cover. Plant Soil 2018, 422, 317–329. [Google Scholar] [CrossRef]
- Tan, B.; Zhang, J.; Yang, W.Q.; Yin, R.; Xu, Z.F.; Liu, Y.; Zhang, L.; Li, H.; You, C.M. Forest gaps retard carbon and nutrient release from twig litter in alpine forest ecosystems. Eur. J. For. Res. 2020, 139, 53–65. [Google Scholar] [CrossRef]
- Prescott, C.E.; Blevins, L.L.; Staley, C.L. Effects of clear-cutting on decomposition rates of litter and forest floor in forests of British Columbia. Can. J. For. Res. 2020, 30, 1751–1757. [Google Scholar] [CrossRef]
- Sariyildiz, T. Effects of Gap-Size Classes on Long-Term Litter Decomposition Rates of Beech, Oak and Chestnut Species at High Elevations in Northeast Turkey. Ecosystems 2008, 11, 841–853. [Google Scholar] [CrossRef]
- Obojes, N.; Meurer, A.; Newesely, C.; Tasser, E.; Oberhuber, W.; Mayr, S.; Tappeiner, U. Water Stress Limits Transpiration and Growth of European Larch up to the Lower Subalpine Belt in an Inner-Alpine Dry Valley. New Phytol. 2018, 220, 460. [Google Scholar] [CrossRef] [PubMed] [Green Version]
- Cao, R.; Yang, W.; Chang, C.; Wang, Z.; Wang, Q.; Jiang, Y.; Li, H.; Tan, B. Soil Microbial Biomass Carbon and Freeze-Thaw Cycles Drive Seasonal Changes in Soil Microbial Quotient Along a Steep Altitudinal Gradient. J. Geophys. Res. Biogeosci. 2021, 126, e2021JG006325. [Google Scholar] [CrossRef]
- Cao, R.; Yang, W.; Chang, C.; Wang, Z.; Wang, Q.; Li, H.; Tan, B. Differential Seasonal Changes in Soil Enzyme Activity along an Altitudinal Gradient in an Alpine-Gorge Region. Appl. Soil Ecol. 2021, 166, 104078. [Google Scholar] [CrossRef]
- Withington, C.L.; Sanford, R.L. Decomposition Rates of Buried Substrates Increase with Altitude in the Forest-Alpine Tundra Ecotone. Soil Biol. Biochem. 2007, 39, 68–75. [Google Scholar] [CrossRef]
- Fierer, N.; Mccain, C.M.; Meir, P.; Zimmermann, M.; Rapp, J.M.; Silman, M.R.; Knight, R. Microbes Do Not Follow the Elevational Diversity Patterns of Plants and Animals. Ecology 2011, 92, 797–804. [Google Scholar] [CrossRef] [PubMed] [Green Version]
- Körner, C. The Use of “altitude” in Ecological Research. Trends Ecol. Evol. 2007, 22, 569–574. [Google Scholar] [CrossRef] [PubMed]
- Gutiérrez-Girón, A.; Díaz-Pinés, E.; Rubio, A.; Gavilán, R.G. Both Altitude and Vegetation Affect Temperature Sensitivity of Soil Organic Matter Decomposition in Mediterranean High Mountain Soils. Geoderma 2015, 237–238, 1–8. [Google Scholar] [CrossRef]
- Ma, H.P.; Yang, X.L.; Guo, Q.Q.; Zhang, X.J.; Zhou, C.N. Soil Organic Carbon Pool along Different Altitudinal Level in the Sygera Mountains, Tibetan Plateau. J. Mt. Sci. 2016, 13, 476–483. [Google Scholar] [CrossRef]
- He, X.; Hou, E.; Liu, Y.; Wen, D. Altitudinal Patterns and Controls of Plant and Soil Nutrient Concentrations and Stoichiometry in Subtropical China. Sci. Rep. 2016, 6, 24261. [Google Scholar] [CrossRef] [PubMed] [Green Version]
- Denslow, J.S.; Ellison, A.M.; Sanford, R.E. Treefall Gap Size Effects on Above- and below-Ground Processes in a Tropical Wet Forest. J. Ecol. 1998, 86, 597–609. [Google Scholar] [CrossRef]
- Zhang, Q.; Liang, Y. Effects of Gap Size on Nutrient Release from Plant Litter Decomposition in a Natural Forest Ecosystem. Can. J. For. Res. 1995, 25, 1627–1638. [Google Scholar] [CrossRef]
- Zhang, Q.; Zak, J.C. Potential Physiological Activities of Fungi and Bacteria in Relation to Plant Litter Decomposition along a Gap Size Gradient in a Natural Subtropical Forest. Microb. Ecol. 1998, 35, 172–179. [Google Scholar] [CrossRef] [PubMed]
- Yin, R.; Qin, W.; Zhao, H.; Wang, X.; Cao, G.; Zhu, B. Climate Warming in an Alpine Meadow: Differential Responses of Soil Faunal vs. Microbial Effects on Litter Decomposition. Biol. Fertil. Soils 2022, 58, 509–514. [Google Scholar] [CrossRef]
- Tan, B.; Yin, R.; Zhang, J.; Xu, Z.; Liu, Y.; He, S.; Zhang, L.; Li, H.; Wang, L.; Liu, S.; et al. Temperature and Moisture Modulate the Contribution of Soil Fauna to Litter Decomposition via Different Pathways. Ecosystems 2021, 24, 1142–1156. [Google Scholar] [CrossRef]
- Li, H.; Wu, F.; Yang, W.; Xu, L.; Ni, X.; He, J.; Tan, B.; Hu, Y. Effects of Forest Gaps on Litter Lignin and Cellulose Dynamics Vary Seasonally in an Alpine Forest. Forests 2016, 7, 27. [Google Scholar] [CrossRef] [Green Version]
- Blok, D.; Elberling, B.; Michelsen, A. Initial stages of tundra shrub litter decomposition may be accelerated by deeper winter snow but slowed down by spring warming. Ecosystems 2016, 19, 155–169. [Google Scholar] [CrossRef] [Green Version]
- Gong, L.; Chen, X.; Zhang, X.N.; Yang, X.D.; Cai, Y.J. Schrenk spruce leaf litter decomposition varies with snow depth in the Tianshan Mountains. Sci. Rep. 2020, 10, 19556. [Google Scholar] [CrossRef] [PubMed]
- Baptist, F.; Yoccoz, N.G.; Choler, P. Direct and Indirect Control by Snow Cover over Decomposition in Alpine Tundra along a Snowmelt Gradient. Plant Soil 2010, 328, 397–410. [Google Scholar] [CrossRef]
- He, W.; Wu, F.; Yang, W.; Tan, B.; Zhao, Y.; Wu, Q.; He, M. Lignin Degradation in Foliar Litter of Two Shrub Species from the Gap Center to the Closed Canopy in an Alpine Fir Forest. Ecosystems 2016, 19, 115–128. [Google Scholar] [CrossRef]
- Wu, Q. Short- and Long-Term Effects of Snow-Depth on Korean Pine and Mongolian Oak Litter Decomposition in Northeastern China. Ecosystems 2020, 23, 662–674. [Google Scholar] [CrossRef]
- Ni, X.; Yang, W.; Liao, S.; Li, H.; Tan, B.; Yue, K.; Xu, Z.; Zhang, L.; Wu, F. Rapid Release of Labile Components Limits the Accumulation of Humic Substances in Decomposing Litter in an Alpine Forest. Ecosphere 2018, 9, e02434. [Google Scholar] [CrossRef]
- Wang, Q.W.; Pieristè, M.; Liu, C.; Kenta, T.; Robson, T.M.; Kurokawa, H. The Contribution of Photodegradation to Litter Decomposition in a Temperate Forest Gap and Understorey. New Phytol. 2021, 229, 2625–2636. [Google Scholar] [CrossRef] [PubMed]
- Wu, F.; Yang, W.; Zhang, J.; Deng, R. Litter Decomposition in Two Subalpine Forests during the Freezeethaw Season. Acta Oecologica 2010, 36, 135–140. [Google Scholar] [CrossRef]
- Wu, Q.; Wu, F.; Yang, W.; Tan, B.; Yang, Y.; Ni, X.; He, J. Characteristics of Gaps and Disturbance Regimes of the Alpine Fir Forest in Western Sichuan. Chin. J. Appl. Environ. Biol. 2013, 19, 922–928. [Google Scholar] [CrossRef]
- Zhu, J.; Yang, W.; He, X. Temporal Dynamics of Abiotic and Biotic Factors on Leaf Litter of Three Plant Species in Relation to Decomposition Rate along a Subalpine Elevation Gradient. PLoS ONE 2013, 8, e62073. [Google Scholar] [CrossRef] [Green Version]
- Xu, Z.; Zhu, J.; Wu, F.; Liu, Y.; Tan, B.; Yang, W. Effects of Litter Quality and Climate Change along an Elevational Gradient on Litter Decomposition of Subalpine Forests, Eastern Tibetan Plateau, China. J. For. Res. 2016, 27, 505–511. [Google Scholar] [CrossRef]
- Zhu, J.; He, X.; Wu, F.; Yang, W.; Tan, B. Decomposition of Abies Faxoniana Litter Varies with Freeze-Thaw Stages and Altitudes in Subalpine/Alpine Forests of Southwest China. Scand. J. For. Res. 2012, 27, 586–596. [Google Scholar] [CrossRef]
- IUSS Working Group. WRB World Reference Base for Soil Resources 2014. International Soil Classification System for Naming Soils and Creating Legends for Soil Maps; IUSS Working Group: Vienna, Austria, 2014. [Google Scholar]
- Reed, S.; Martens, D. Methods of Soil Analysis, Part 3: Chemical Methods; John Wiley & Sons: Hoboken, NJ, USA, 1996. [Google Scholar]
- Konestabo, H.S.; Michelsen, A.; Holmstrup, M. Responses of Springtail and Mite Populations to Prolonged Periods of Soil Freeze-Thaw Cycles in a Sub-Arctic Ecosystem. Appl. Soil Ecol. 2007, 36, 136–146. [Google Scholar] [CrossRef]
- Olson, J.S. Energy Storage and the Balance of Producers and Decomposers in Ecological Systems. Ecology 1963, 44, 322–331. [Google Scholar] [CrossRef] [Green Version]
- Qualls, R.G. Long-Term (13 Years) Decomposition Rates of Forest Floor Organic Matter on Paired Coniferous and Deciduous watersheds with Contrasting Temperature Regimes. Forests 2016, 7, 231. [Google Scholar] [CrossRef] [Green Version]
- Rovira, P.; Vallejo, V.R. Labile and Recalcitrant Pools of Carbon and Nitrogen in Organic Matter Decomposing at Different Depths in Soil: An Acid Hydrolysis Approach. Geoderma 2002, 107, 109–141. [Google Scholar] [CrossRef]
- Bauhus, J.; Vor, T.; Bartsch, N.; Cowling, A. The Effects of Gaps and Liming on Forest Floor Decomposition and Soil C and N Dynamics in a Fagus Sylvatica Forest. Can. J. For. Res. 2004, 34, 509–518. [Google Scholar] [CrossRef]
- Bagnato, S.; Marziliano, P.A.; Sidari, M.; Mallamaci, C.; Marra, F.; Muscolo, A. Effects of gap size and cardinal directions on natural regeneration, growth dynamics of trees outside the gaps and soil properties in European beech forests of southern Italy. Forests 2021, 12, 1563. [Google Scholar] [CrossRef]
- Fuzhong, W.; Changhui, P.; Jianxiao, Z.; Jian, Z.; Bo, T.; Wanqin, Y. Impacts of Freezing and Thawing Dynamics on Foliar Litter Carbon Release in Alpine/Subalpine Forests along an Altitudinal Gradient in the Eastern Tibetan Plateau. Biogeosciences 2014, 11, 6471–6481. [Google Scholar] [CrossRef]
- Li, H.; Wu, F.; Yang, W.; Xu, L.; Ni, X.; He, J.; Tan, B.; Hu, Y.; Justin, M.F. The Losses of Condensed Tannins in Six Foliar Litters Vary with Gap Position and Season in an Alpine Forest. iForest 2016, 9, 910. [Google Scholar] [CrossRef] [Green Version]
- Tamura, M.; Tharayil, N. Plant Litter Chemistry and Microbial Priming Regulate the Accrual, Composition and Stability of Soil Carbon in Invaded Ecosystems. New Phytol. 2014, 203, 110–124. [Google Scholar] [CrossRef]
- Hobara, S.; Osono, T.; Hirose, D.; Noro, K.; Hirota, M.; Benner, R. The Roles of Microorganisms in Litter Decomposition and Soil Formation. Biogeochemistry 2014, 118, 471–486. [Google Scholar] [CrossRef]
- Scharenbroch, B.C.; Bockheim, J.G. Gaps and Soil C Dynamics in Old Growth Northern Hardwood-Hemlock Forests. Ecosystems 2008, 11, 426–441. [Google Scholar] [CrossRef]
- Ni, X.; Yang, W.; Li, H.; Xu, L.; He, J.; Tan, B.; Wu, F. The Responses of Early Foliar Litter Humification to Reduced Snow Cover during Winter in an Alpine Forest. Can. J. Soil Sci. 2014, 94, 453–461. [Google Scholar] [CrossRef]
- Groffman, P.M.; Hardy, J.P.; Fisk, M.C.; Fahey, T.J.; Driscoll, C.T. Climate Variation and Soil Carbon and Nitrogen Cycling Processes in a Northern Hardwood Forest. Ecosystems 2009, 12, 927–943. [Google Scholar] [CrossRef]
- Bokhorst, S.; Metcalfe, D.B.; Wardle, D.A. Reduction in Snow Depth Negatively Affects Decomposers but Impact on Decomposition Rates Is Substrate Dependent. Soil Biol. Biochem. 2013, 62, 157–164. [Google Scholar] [CrossRef]
- Zhao, Y.; Wu, F.; Yang, W.; Tan, B.; He, W. Variations in Bacterial Communities during Foliar Litter Decomposition in the Winter and Growing Seasons in an Alpine Forest of the Eastern Tibetan Plateau. Can. J. Microbiol. 2015, 62, 35–48. [Google Scholar] [CrossRef] [PubMed] [Green Version]
- Aerts, R.; Callaghan, T.V.; Dorrepaal, E.; van Logtestijn, R.S.P.; Cornelissen, J.H.C. Seasonal Climate Manipulations Have Only Minor Effects on Litter Decomposition Rates and N Dynamics but Strong Effects on Litter P Dynamics of Sub-Arctic Bog Species. Oecologia 2012, 170, 809–819. [Google Scholar] [CrossRef] [PubMed] [Green Version]
- Guenet, B.; Danger, M.; Abbadie, L.; Lacroix, G. Priming Effect: Bridging the Gap between Terrestrial and Aquatic Ecology. Ecology 2010, 91, 2850–2861. [Google Scholar] [CrossRef] [PubMed]
- Kreyling, J.; Haei, M.; Laudon, H. Snow Removal Reduces Annual Cellulose Decomposition in a Riparian Boreal Forest. Can. J. Soil Sci. 2013, 93, 427–433. [Google Scholar] [CrossRef]





| Environmental Factor | Stage | 3000 m | 3300 m | 3600 m | |||||||||
|---|---|---|---|---|---|---|---|---|---|---|---|---|---|
| Large Gap | Middle Gap | Small Gap | Closed Canopy | Large Gap | Middle Gap | Small Gap | Closed Canopy | Large Gap | Middle Gap | Small Gap | Closed Canopy | ||
| Mean temperature (°C) | OF | −1.02 | −1.14 | −2.27 | −1.98 | −1.76 | −0.98 | −1.22 | −1.37 | 0.78 | −0.23 | −0.51 | −0.70 |
| DF | −2.45 | −2.26 | −4.11 | −4.55 | −2.69 | −1.05 | −1.29 | −2.85 | −2.35 | −1.81 | −1.59 | −4.21 | |
| TS | 6.25 | 4.63 | 5.04 | 3.91 | 4.58 | 5.26 | 5.06 | 4.50 | 0.05 | 2.94 | 2.87 | 0.34 | |
| EGS | 12.63 | 12.21 | 11.78 | 9.77 | 11.72 | 10.64 | 11.31 | 9.65 | 9.17 | 9.60 | 7.22 | 6.47 | |
| MGS | 15.28 | 12.92 | 14.50 | 13.08 | 13.61 | 13.60 | 11.98 | 12.47 | 16.11 | 12.02 | 11.54 | 12.11 | |
| LGS | 9.32 | 9.19 | 8.48 | 8.08 | 8.10 | 9.07 | 10.01 | 8.01 | 7.34 | 5.57 | 6.27 | 7.25 | |
| NGS | 0.79 | 0.42 | −0.57 | −1.04 | −0.04 | 0.97 | 0.69 | 0.01 | −0.93 | −0.28 | −0.35 | −1.76 | |
| GS | 12.38 | 11.38 | 11.55 | 10.29 | 11.09 | 11.10 | 11.12 | 10.05 | 10.50 | 8.77 | 8.11 | 8.34 | |
| Frequency of freeze-thaw cycles (time·d−1) | OF | 0.92 | 0.59 | 0.51 | 0.50 | 0.64 | 0.84 | 0.78 | 0.91 | 0.36 | 0.41 | 0.91 | 0.81 |
| DF | 0.70 | 0.72 | 0.45 | 0.43 | 0.07 | 0.61 | 0.89 | 0.74 | 0.41 | 0.40 | 0.76 | 0.76 | |
| TS | 0.41 | 0.51 | 0.47 | 0.40 | 0.47 | 0.36 | 0.51 | 0.68 | 0.09 | 0.45 | 0.48 | 0.65 | |
| EGS | — | — | — | — | 0.03 | 0.01 | 0.01 | 0.07 | 0.09 | 0.03 | 0.05 | 0.03 | |
| MGS | — | — | — | — | — | — | — | — | — | — | — | — | |
| LGS | 0.03 | 0.02 | 0.03 | 0.01 | 0.05 | 0.07 | 0.03 | 0.01 | 0.13 | 0.30 | 0.22 | 0.05 | |
| NGS | 0.63 | 0.53 | 0.48 | 0.46 | 0.35 | 0.61 | 0.70 | 0.75 | 0.30 | 0.36 | 0.68 | 0.75 | |
| GS | 0.01 | 0.01 | 0.01 | 0.01 | 0.03 | 0.03 | 0.01 | 0.04 | 0.08 | 0.12 | 0.08 | 0.05 | |
| Snow depth (cm) | OF | 10.58 | 8.42 | 5.75 | 0.17 | 20.50 | 16.42 | 9.67 | 0.25 | 31.67 | 24.17 | 11.58 | 0.25 |
| DF | 11.92 | 9.42 | 6.75 | 0.50 | 28.33 | 19.75 | 8.67 | 0.50 | 42.92 | 29.92 | 12.25 | 0.50 | |
| TS | 6.17 | 4.00 | 2.88 | 0.33 | 7.88 | 5.08 | 3.58 | 0.13 | 12.79 | 8.79 | 6.42 | 0.25 | |
| Sources of Variance | df | Mass Loss | Carbon Content | Carbon Release | |||
|---|---|---|---|---|---|---|---|
| F-Value | p-Value | F-Value | p-Value | F-Value | p-Value | ||
| Elevation | 2 | 56.5 ** | <0.001 | 1465.2 ** | <0.001 | 56.5 ** | <0.001 |
| Gap | 3 | 39.7 ** | <0.001 | 137.9 ** | <0.001 | 39.7 ** | <0.001 |
| Time | 15 | 2513.6 ** | <0.001 | 232.5 ** | <0.001 | 2513.6 ** | <0.001 |
| Elevation × Gap | 6 | 49.4 ** | <0.001 | 68.8 ** | <0.001 | 49.4 ** | <0.001 |
| Elevation × Time | 30 | 6.6 ** | <0.001 | 30.6 ** | <0.001 | 6.6 ** | <0.001 |
| Gap × Time | 45 | 2.7 ** | <0.001 | 10.5 ** | <0.001 | 2.7 ** | <0.001 |
| Elevation × Gap × Time | 90 | 4.8 ** | <0.001 | 8.9 ** | <0.001 | 4.8 ** | <0.001 |
| Parameter | Freeze–Thaw Cycles | Mean Temperature | |
|---|---|---|---|
| Mass loss | Non-growing season | −0.548 ** | −0.055 |
| Growing season | - | 0.042 | |
| 4 years | −0.273 | 0.070 | |
| Carbon release | Non-growing season | −0.473 ** | −0.315 * |
| Growing season | - | 0.144 | |
| 4 years | −0.328 * | 0.127 | |
Publisher’s Note: MDPI stays neutral with regard to jurisdictional claims in published maps and institutional affiliations. |
© 2022 by the authors. Licensee MDPI, Basel, Switzerland. This article is an open access article distributed under the terms and conditions of the Creative Commons Attribution (CC BY) license (https://creativecommons.org/licenses/by/4.0/).
Share and Cite
Li, H.; Du, T.; Chen, Y.; Zhang, Y.; Yang, Y.; Yang, J.; Dong, Q.; Zhang, L.; Wu, Q. Effects of Forest Gaps on Abies faxoniana Rehd. Leaf Litter Mass Loss and Carbon Release along an Elevation Gradient in a Subalpine Forest. Forests 2022, 13, 1201. https://doi.org/10.3390/f13081201
Li H, Du T, Chen Y, Zhang Y, Yang Y, Yang J, Dong Q, Zhang L, Wu Q. Effects of Forest Gaps on Abies faxoniana Rehd. Leaf Litter Mass Loss and Carbon Release along an Elevation Gradient in a Subalpine Forest. Forests. 2022; 13(8):1201. https://doi.org/10.3390/f13081201
Chicago/Turabian StyleLi, Han, Ting Du, Yulian Chen, Yu Zhang, Yulian Yang, Jiaping Yang, Qing Dong, Li Zhang, and Qinggui Wu. 2022. "Effects of Forest Gaps on Abies faxoniana Rehd. Leaf Litter Mass Loss and Carbon Release along an Elevation Gradient in a Subalpine Forest" Forests 13, no. 8: 1201. https://doi.org/10.3390/f13081201
APA StyleLi, H., Du, T., Chen, Y., Zhang, Y., Yang, Y., Yang, J., Dong, Q., Zhang, L., & Wu, Q. (2022). Effects of Forest Gaps on Abies faxoniana Rehd. Leaf Litter Mass Loss and Carbon Release along an Elevation Gradient in a Subalpine Forest. Forests, 13(8), 1201. https://doi.org/10.3390/f13081201
