Embedment Strength of Low- and Medium-Density Hardwood Species from Spain
Abstract
:1. Introduction
2. Materials and Methods
3. Results and Discussion
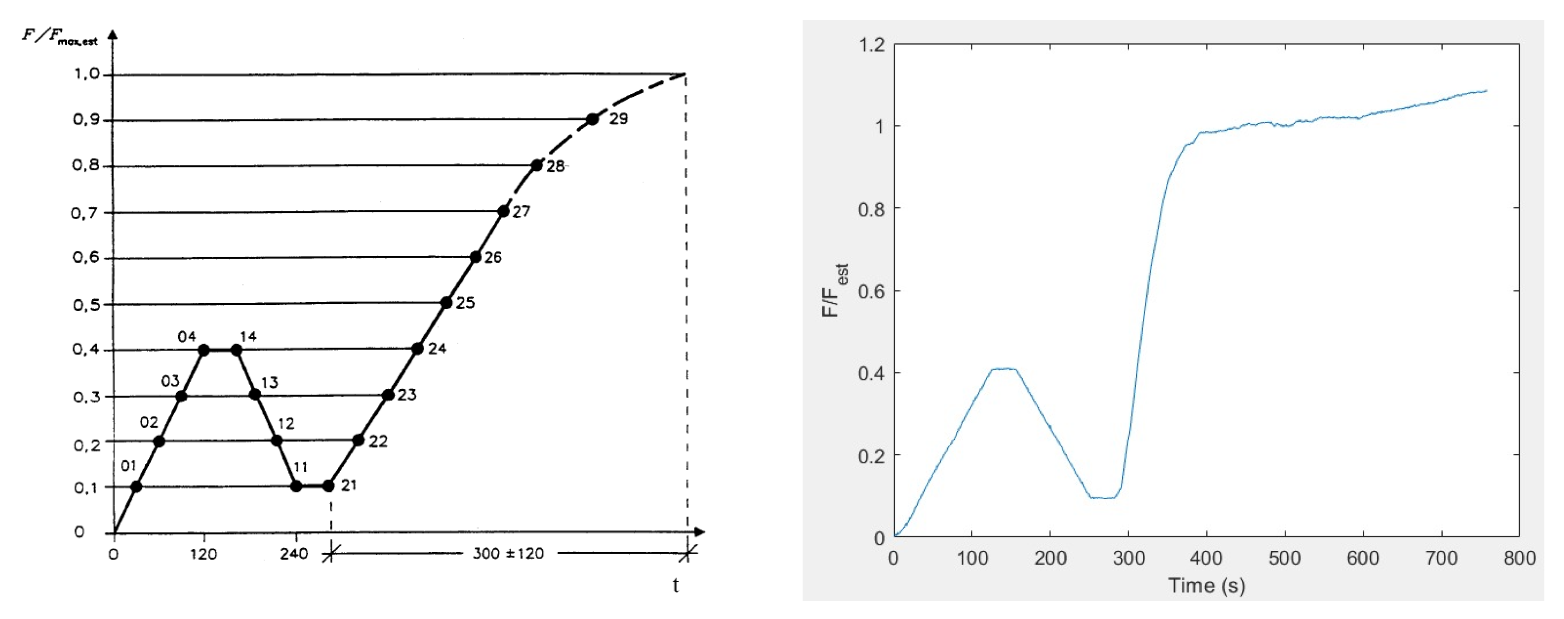
3.1. Load–Displacement Curves
3.2. Embedment Strength
3.3. Failure Mode
3.4. Comparison between Experimental and Theoretical Results
3.5. Correlation between Density and Embedment Strength
4. Conclusions
Author Contributions
Funding
Data Availability Statement
Conflicts of Interest
References
- Malo, K.A.; Abrahamsen, R.B.; Bjertnæs, M.A. Some Structural Design Issues of the 14-Storey Timber Framed Building “Treet” in Norway. Eur. J. Wood Wood Prod. 2016, 74, 407–424. [Google Scholar] [CrossRef]
- Connolly, T.; Loss, C.; Iqbal, A.; Tannert, T. Feasibility Study of Mass-Timber Cores for the UBC Tall Wood Building. Buildings 2018, 8, 98. [Google Scholar] [CrossRef]
- Sebastián-Martín, D. Construir En Altura Con Madera; Conarquitectura Ediciones s.l.: Madrid, Spain, 2022. [Google Scholar]
- Basterra, L.A.; Baño, V.; López, G.; Vallelado, P.; García, I.; Cabrera, G.; Moltini, G. Aplicación y Difusión de La Innovación Para La Promoción de La Construcción En Altura Con Madera En El Espacio Sudoe; CESEFOR: Soria, Spain, 2022; ISBN 9788412487282. [Google Scholar]
- Arasto, A.; Koljonen, T.; Similä, L. Growth by Integrating Bioeconomy and Low-Carbon Economy: Scenarios for Finland until 2050; VTT Technical Research Centre of Finland Ldt: Espoo, Finland, 2018; ISBN 9789513886998. [Google Scholar]
- AENOR. UNE 56544:2011; Clasificación Visual de La Madera Aserrada Para Uso Estructural. Madera de Coníferas: Madrid, Spain, 2011.
- AENOR. UNE 56546:2013; Clasificación Visual de La Madera Aserrada Para Uso Estructural. Madera de Frondosas: Madrid, Spain, 2013.
- Villanueva, J.L.; Moltini, G.; Baño, V. TG1/202104/10_01. In Derivation of MTG Grading Machine Settings for Radiata Pine from Spain, C-Classes; Technical Report Approved by CEN TC124 WG2 TG1 on April 2021; CEN: Brussels, Belgium, 2021. [Google Scholar]
- Moltini, G.; Baño, V.; Martins, C.; Dias, A. TG1/2021/11/03_02. In Derivation of MTG Machine Settings of Souther Blue Gum from Spain and Portugal Tested in Tension According to EN 14081-2:2018; Technical Report Approved by CEN TC124 WG2 TG1 on November 2021; CEN: Brussels, Belgium, 2021. [Google Scholar]
- Moltini, G.; Baño, V. TG1/202104/07_02. In Derivation of Machine Settings for T-Classes of Scots Pine from Spain According to EN 14081-2:2018; Technical Report Approved by CEN TC124 WG2 TG1 on April 2021; CEN: Brussels, Belgium, 2021. [Google Scholar]
- Moltini, G.; Baño, V.; Villanueva, J.L. TG1/2021/11/04_02. In Derivation of MTG Grading Machine Settings for Maritime Pine from Spain Tested in Bending According to EN 14081-2:2018; Technical Report Approved by CEN TC124 WG2 TG1 on November 2021; CEN: Brussels, Belgium, 2021. [Google Scholar]
- Moltini, G.; Cabrera, G.; Baño, V. Prediction of Tensile Modulus of Elasticity from Longitudinal and Transverse Natural Frequencies in Hardwood Species. In Proceedings of the 22nd International Nondestructive Testing and Evaluation of Wood Symposium, Quebec City, QC, Canada, 24–27 May 2022; pp. 210–216. [Google Scholar]
- Gallego, A.; Ripoll, M.A.; Timbolmas, C.; Rescalvo, F.; Suarez, E.; Valverde, I.; Rodríguez, M.; Navarro, F.B.; Merlo, E. Modulus of Elasticity of I-214 Young Poplar Wood from Standing Trees to Sawn Timber: Influence of the Age and Stand Density. Eur. J. Wood Wood Prod. 2021, 79, 1225–1239. [Google Scholar] [CrossRef]
- Rescalvo, F.J.; Timbolmas, C.; Bravo, R.; Valverde-Palacios, I.; Gallego, A. Improving Ductility and Bending Features of Poplar Glued Laminated Beams by Means of Embedded Carbon Material. Constr. Build. Mater. 2021, 304, 124469. [Google Scholar] [CrossRef]
- Basterra, L.A.; Acuña, L.; Casado, M.; López, G.; Bueno, A. Strength Testing of Poplar Duo Beams, Populus x Euramericana (Dode) Guinier Cv. I-214, with Fibre Reinforcement. Constr. Build. Mater. 2012, 36, 90–96. [Google Scholar] [CrossRef]
- Monteiro, S.R.S.; Martins, C.E.J.; Dias, A.M.P.G.; Cruz, H. Mechanical Characterization of Clear Wood from Portuguese Poplar. Bioresources 2019, 14, 9677–9685. [Google Scholar] [CrossRef]
- Hu, W.; Wan, H.; Guan, H. Size Effect on the Elastic Mechanical Properties of Beech and Its Application in Finite Element Analysis of Wood Structures. Forests 2019, 10, 783. [Google Scholar] [CrossRef]
- Brunetti, M.; Aminti, G.; Nocetti, M.; Russo, G. Validation of Visual and Machine Strength Grading for Italian Beech with Additional Sampling. Iforest-Biogeosci. For. 2021, 14, 260–267. [Google Scholar] [CrossRef]
- Lanvin, J.-D.; Reuling, D.; Legrand, G. French Beech—A New Opportunity in Wood Housing. In Proceedings of the 7th—International Scientific Conference on Hardwood Processing, Delft, The Netherlands, 27–30 August 2019; pp. 129–137. [Google Scholar]
- CEN. EN 1912; Strength Classes. Assignment of Visual Grades and Species. CEN: Brussels, Belgium, 2012.
- Kovryga, A.; Stapel, P.; van de Kuilen, J.W.G. Mechanical Properties and Their Interrelationships for Medium-Density European Hardwoods, Focusing on Ash and Beech. Wood Mater. Sci. Eng. 2019, 15, 289–302. [Google Scholar] [CrossRef]
- MITECO. Anuario de Estadística Forestal 2019; Ministerio Para la Transición Ecológica y el Reto Demográfico, Gobierno de España: Madrid, Spain, 2021; ISBN 9788418508493.
- García-Robredo, F. Effect of Species Complementarity on Financial Return in Mixed Stands of European Beech and Scots Pine in Northern Spain. Forests 2018, 9, 559. [Google Scholar] [CrossRef]
- CEN. EN 1995-1-1; Eurocode 5: Design of Timber Structures—Part 1-1: General—Common Rules and Rules for Buildings. CEN: Brussels, Belgium, 2004.
- Ministerio de Fomento. Código Técnico de la Edificación Documento Básico SE-M Seguridad Estructural Madera; Ministerio de Fomento, Gobierno de España: Madrid, Spain, 2019.
- Yurrita, M. New Criteria for the Determination of the Parallel-to-Grain Embedment Strength of Wood. Constr. Build. Mater. 2018, 173, 238–250. [Google Scholar] [CrossRef]
- Steffen, F.; Magnière, N. The Embedment Failure of European Beech Compared to Spruce Wood and Standards. In Proceedings of the Materials and Joints in Timber Structures; Aicher, S., H.-W. Reinhardt, H.-W., Garrecht, H., Eds.; Springer: Dordrecht, The Netherlands, 2014; pp. 221–229. [Google Scholar]
- ASTM. ASTM D 5764-97a; Standard Test Method for Evaluating Dowel-Bearing Strength of Wood and Wood-Based Products. ASTM International: West Conshohocken, PA, USA, 2002.
- CEN. EN 383; Timber Structures—Test Methods—Determination of Embedment Strength and Foundation Values for Dowel Type Fasteners. CEN: Brussels, Belgium, 2007; ISBN 9780580501418.
- ISO/DIS 10984-2:2009; Timber Structures—Dowel-Type Fasteners—Part 2: Determination of Embedding Strength. International Organization for Standardization: Geneva, Switzerland, 2009.
- Franke, S.; Magnière, N. Discussion of Testing and Evaluation Methods for the Embedment Behaviour of Connections. In Proceedings of the International Network on Timber Engineering Reasearch, Bath, UK, 1–4 September 2014. [Google Scholar]
- Whale, L.R.J.; Smith, I. The Derivation of Design Clauses for Nailed and Bolted Joints in Eurocode 5. CIB-W18 Meet. 1986, 1, 446–472. [Google Scholar]
- Ehlbeck, J.; Werner, H. Softwood and Hardwood Embedding Strength for Dowel-Type Fasteners. CIB-W18 Meet. 1992, 25, 555–568. [Google Scholar]
- Sawata, K.; Yasumura, M.; Sawata Yasumura, K.M. Determination of Embedding Strength of Wood for Dowel-Type Fasteners. J. Wood Sci. 2002, 48, 138–146. [Google Scholar] [CrossRef]
- Leijten, A.; Köhler, J.; Jorissen, A. Review of Probability Data for Timber Connections with Dowel-Type Fasteners. CIB-W18 2004, 37, 246–256. [Google Scholar]
- Sandhaas, C.; Ravenshorst, G.J.P.; Blass, H.J.; van de Kuilen, J.W.G. Embedment Tests Parallel-to-Grain and Ductility Aspects Using Various Wood Species. Eur. J. Wood Wood Prod. 2013, 71, 599–608. [Google Scholar] [CrossRef]
- Zitto, M.A.S.; Köhler, J.; Piter, J.C. Embedding Strength in Joints of Fast-Growing Argentinean Eucalyptus Grandis with Dowel-Type Fasteners. Analysis According to the Criterion Adopted by European Standards. Eur. J. Wood Wood Prod. 2011, 70, 433–440. [Google Scholar] [CrossRef]
- Hübner, U. Embedding Strength of European Hardwoods. CIB-W18 Meet. 2008, 41, 203–219. [Google Scholar]
- Franke, S.; Franke, B. Fundamentals and Recent Strength Results of Connections in Modern Hardwood Timber Structures. Wood Mater. Sci. Eng. 2019, 14, 234–242. [Google Scholar] [CrossRef]
- Khan, R.; Niederwestberg, J.; Chui, Y.-H. Influence of Insertion Angle, Diametrer and Thread on Embedment Properties of Self-Tapping Screws. Eur. J. Wood Wood Prod. 2021, 79, 707–718. [Google Scholar] [CrossRef]
- Huo, L.; Zhu, E.; Niu, S.; Wu, G. Analysis and Tests of Lateral Resistance of Bolted and Screwed Connections of CLT. Forests 2022, 13, 375. [Google Scholar] [CrossRef]
- Hu, W.; Zhang, J. Bolt-Bearing Yield Strength of Three-Layered Cross-Laminated Timber Treated with Phenol Formaldehyde Resin. Forests 2020, 11, 551. [Google Scholar] [CrossRef]
- Hu, W.; Zhang, J. Study on Static Lateral Load–Slip Behavior of Single-Shear Stapled Connections in Plywood for Upholstered Furniture Frame Construction. J. Wood Sci. 2021, 67, 40. [Google Scholar] [CrossRef]
- CEN. prEN 1995-1-1:20XX; Design of Timber Structures—Common Rules and Rules for Buildings—Part 1-1: General. CEN: Brussels, Belgium, 2021.
- CEN. EN 13183-1:2002; Moisture content of a piece of sawn timber - Part 1: Determination by oven dry method. CEN: Brussels, Belgium, 2002.
- CEN. EN 14358; Timber Structures—Calculation and Verification of Characteristic Values. CEN: Brussels, Belgium, 2016.
- CEN. EN 408:2011+A1; Timber Structures - Structural Timber and Glued Laminated Timber—Determination of Some Physical and Mechanical Properties. CEN: Brussels, Belgium, 2019.
- Bejtka, I. Verstärkung Von Bauteilen Aus Holz Mit Vollgewindeschrauben (Reinforcement of Components Made of Wood with Fully Threaded Screws); Universitätsverlag Karlsruhe: Karlsruhe, Germany, 2005. [Google Scholar]
- Stamatopoulos, H.; Massaro, F.M.; Qazi, J. Mechanical Properties of Laterally Loaded Threaded Rods Embedded in Softwood. Eur. J. Wood Wood Prod. 2022, 80, 169–182. [Google Scholar] [CrossRef]
- CEN. EN 384: 2016/A2: 2019; Structural Timber. Determination of Characteristic Values of Mechanical Properties and Density. CEN: Brussels, Belgium, 2019.













| Species | Test | N | Mean MC * (%) | Fastener | Nominal ø (mm) | Predrill | Geometry (mm3) | Load-to-Grain Direction |
|---|---|---|---|---|---|---|---|---|
| Poplar | T1 | 18 | 12.0 (5%) | Screw | 9 | 5 mm | Parallel | |
| T2 | 20 | 10.7 (5%) | Screw | 9 | 5 mm | Perpendicular | ||
| T3 | 20 | 12.1 (5%) | Bolt | 12 | 12 mm | Parallel | ||
| T4 | 20 | 12.2 (10%) | Bolt | 12 | 12 mm | Perpendicular | ||
| Beech | T1 | 14 | 11.5 (5%) | Screw | 9 | 5 mm | Parallel | |
| T2 | 20 | 12.0 (5%) | Screw | 9 | 5 mm | Perpendicular | ||
| T3 | 20 | 12.4 (5%) | Bolt | 12 | 12 mm | Parallel | ||
| T4 | 20 | 12.6 (5%) | Bolt | 12 | 12 mm | Perendicular |
| Poplar | Beech | ||||||||
|---|---|---|---|---|---|---|---|---|---|
| Test | * (N/mm2) | (N/mm2) | * (kg/m3) | (kg/m3) | * (N/mm2) | (N/mm2) | * (kg/m3) | (kg/m3) | |
| Screws | T1EN383 | 29.3 a | 18.6 | 410 (16%) | 286 | 58.3 a | 44.7 | 691 (10%) | 553 |
| (22%) | (13%) | ||||||||
| T1ASTM | 26.2 a | 18.0 | 51.5 b | 41.8 | |||||
| (18%) | (11%) | ||||||||
| T1EN408 | 27.4 a | 18.6 | 53.4 b | 42.4 | |||||
| (19%) | (12%) | ||||||||
| T2EN383 | 31.9 a (33%) | 14.8 | 423 (16%) | 293 | 59.5 a | 47.8 | 673 (10%) | 549 | |
| (11%) | |||||||||
| T2ASTM | 21.7 b | 11.9 | 43.2 b | 32.1 | |||||
| (28%) | (16%) | ||||||||
| T2EN408 | 23.1 b | 12.2 | 44.6 b | 33.5 | |||||
| (30%) | (15%) | ||||||||
| Bolts | T3EN383 | 32.4 a (19%) | 22.0 | 391 (17%) | 262 | 62.9 a (19%) | 43.6 | 678 (9%) | 559 |
| T3ASTM | 31.7 a | 21.4 | 59.5 a | 40.5 | |||||
| (20%) | (19%) | ||||||||
| T3EN408 | 31.7 a | 21.5 | 60.1 a | 40.4 | |||||
| (20%) | (20%) | ||||||||
| T4EN383 | 19.2 a | 9.3 | 396 (14%) | 288 | 51.2 a | 32.4 | 681 (8%) | 574 | |
| (35%) | (24%) | ||||||||
| T4ASTM | 15.2 b | 9.4 | 38.1 b | 25.9 | |||||
| (25%) | (21%) | ||||||||
| T4EN408 | 15.2 b | 9.4 | 38.1 b | 25.9 | |||||
| (25%) | (21%) | ||||||||
| Test | Equation of EC5 | Equation of prEC5 | |
|---|---|---|---|
| Screws | T1 () | ||
| T2 () | |||
| Bolts | T3 () | ||
| T4 () | |||
| Poplar | Beech | ||||
|---|---|---|---|---|---|
| Test | |||||
| Screws | T1 () | 1.22 | 0.67 | 1.01 | 0.65 |
| T2 () | 1.30 | 1.04 | 1.31 | 0.84 | |
| Bolts | T3 () | 0.88 | 1.00 | ||
| T4 () | 1.45 | 1.48 | |||
| Screws | Bolts | |||
|---|---|---|---|---|
| Species | T1 () | T2 ( ) | T3 () | T4 () |
| Poplar | 0.81 | 0.56 | 0.64 | 0.68 |
| Beech | 0.64 | 0.69 | 0.73 | 0.80 |
Publisher’s Note: MDPI stays neutral with regard to jurisdictional claims in published maps and institutional affiliations. |
© 2022 by the authors. Licensee MDPI, Basel, Switzerland. This article is an open access article distributed under the terms and conditions of the Creative Commons Attribution (CC BY) license (https://creativecommons.org/licenses/by/4.0/).
Share and Cite
Cabrera, G.; Moltini, G.; Baño, V. Embedment Strength of Low- and Medium-Density Hardwood Species from Spain. Forests 2022, 13, 1154. https://doi.org/10.3390/f13081154
Cabrera G, Moltini G, Baño V. Embedment Strength of Low- and Medium-Density Hardwood Species from Spain. Forests. 2022; 13(8):1154. https://doi.org/10.3390/f13081154
Chicago/Turabian StyleCabrera, Gonzalo, Gonzalo Moltini, and Vanesa Baño. 2022. "Embedment Strength of Low- and Medium-Density Hardwood Species from Spain" Forests 13, no. 8: 1154. https://doi.org/10.3390/f13081154
APA StyleCabrera, G., Moltini, G., & Baño, V. (2022). Embedment Strength of Low- and Medium-Density Hardwood Species from Spain. Forests, 13(8), 1154. https://doi.org/10.3390/f13081154

