Abstract
This study aimed to reveal the main environmental factors affecting PH, SOM, SOC, TN, and AHN in mountainous areas of Beijing, using the Chaoguan Xigou watershed as the research object. The relationship among pH, SOM, SOC, TN, AHN, topographic factors, and vegetation factors was analyzed by correlation and redundancy analysis (RDA). The results showed that altitude was significantly positively correlated with vegetation types in the study area (p < 0.01). Menhinnick richness index (D), Shannon–Wiener diversity index (H), and Alatalo evenness index (E) ranged from 0.35–0.79, 0.86–1.73, and 0.39–0.7, respectively, indicating moderate variations. E was significantly positively correlated with stand type (p < 0.05), altitude (p < 0.05), and H (p < 0.01). The variation ranges of PH, SOM, SOC, TN, and AHN in soil were 5.78–7.13, 54.73–90.38 g/kg, 23.77–60.25 g/kg, 1.71–4.22 g/kg, and 95.64–223.26 mg/kg, respectively. All soil nutrient indexes had medium variation except for pH (weak variation). In this study, RDA results showed that altitude is the main environmental factor affecting the soil pH, SOM, SOC, TN, and AHN in this area and could explain 25.9% of the total variance. However, the effects of factors associated with altitude on pH, SOM, SOC, TN, and AHN need to be further studied.
1. Introduction
Soil is one of the five elements of the Earth’s physical geographic environment [1], the link between other elements, and a key site for carbon and nitrogen cycles and other biochemical reactions [2]. Fertility is the most basic characteristic of the soil, and soil nutrients are an important chemical index for evaluating soil fertility and the mineral nutrient composition necessary for plant growth [3]. As one of the key soil nutrients, soil organic matter is the main component in the biogeochemical cycle in the terrestrial biosphere [4], which is the basis of soil fertility. Soil organic carbon (SOC) is an important indicator of soil quality [5]. As an energy material for microbial activities, it affects the availability of soil nutrients [6]. Soil total nitrogen (TN) is the most important component of soil nutrients, and essential nutrients for organisms [7], which have an important impact on the growth and development of vegetation [8]. Soil pH affects the soil structure, humification process [9], nutrients mobilization, and ion exchange in soil [10]. Therefore, analyzing soil nutrient characteristics of forest land can provide insights into the forest community structure, ecosystem process [11], and regional forest land management strategies.
Vegetation affects the availability of soil nutrients by changing the input of compounds and organic matter in the form of litter and root exudates [12,13]. Changes in soil nutrient availability caused by vegetation [14] affect the absorption and assimilation of nutrients by vegetation [15]. As a result, this interaction may drive forest diversity and function [16]. In addition, forest soils suffer less human disturbance than other soils [17]. Geological conditions [18], species richness [19], stand characteristics [20], and climatic conditions [21] are the main factors that affect forest soils. Previous studies on the effects of biodiversity and vegetation types on soil nutrients showed consistent results [22,23]. These studies indicated that species diversity is the main biological mechanism mediating positive regulation between forest plants and soil [24,25]. The effects of different vegetation types on soil nutrients vary [26,27]. However, various studies showed that topographic factors have different effects on soil nutrients. For instance, Seibert et al. [28] indicated that slope direction significantly affects soil nutrients. Song et al. [29] showed that elevation, slope direction, and slope position are the main topographic factors affecting the spatial heterogeneity of regional soil nutrients. Deng et al. [30] found that the combination of different topographic factors has different effects on soil nutrients. Therefore, it is necessary to analyze the relationship between regional soil nutrients and topographic and vegetation factors.
The Miyun Reservoir, located in the mountainous area north of Miyun County in the suburbs of Beijing, is the largest reservoir in North China and the most important source of surface water in Beijing. The upper reaches of the basin have mountainous areas, complex terrain, and various soil and vegetation types. These factors significantly affect soil nutrient characteristics. The Chaoguan Xigou watershed is located upstream of the Miyun Reservoir, and it is one of the catchment areas of the Miyun Reservoir. The watershed has typical natural environment and vegetation types. This study comprehensively analyzed the topographic characteristics, vegetation characteristics, and pH, soil organic matter (SOM), soil organic carbon (SOC), total nitrogen (TN), and alkali-hydrolyzable nitrogen (AHN) characteristics of the watershed using the typical vegetation community in the Chaoguan Xigou watershed. This study aimed to determine: (1) the vegetation distribution characteristics of the watershed; (2) the pH, SOM, SOC, TN, and AHN status of the watershed; and (3) the main influencing factors of pH, SOM, SOC, TN, and AHN in the watershed. Therefore, this study provides a theoretical basis for regional soil management and sustainable forest management.
2. Materials and Methods
2.1. Study Sites
The study was conducted in the Chaoguan Xigou watershed (117°06′ E, 40°40′ N), Miyun District, Beijing (area, 889.02 hm2) (Figure 1). Mountains surround the study area on three sides, and the outlet is the Chaohe River, forming a fully closed basin. The whole basin is low in the east and high in the west. It has an altitude of 210~1158 m and an average slope of 25°. Inceptisols are the major soil type in the study area. The average thickness of the soil is about 20 cm, belonging to a thin soil layer. The bedrock in the area is limestone and the parent material is mostly hard. The area has a typical warm temperate semi-humid continental monsoon climate. The study area belongs to the middle mountain area, with an average annual rainfall of 600~900 mm, of which 70% of the rainfall is concentrated in July, August, and September. The area has an average annual temperature of 9~11 °C, with four distinct seasons and the same period of rain and heat.
Figure 1.
Location of the study area and distribution of the sampling sites. (a) Remote Sensing Image of China, the red area represents Beijing; (b) remote sensing image of Miyun District, Beijing, the red area represents Chaoguan Xigou watershed; and (c) topographic map of Chaoguan Xigou and distribution of sampling points.
2.2. Sample Plot Layout
Two horizontal and two vertical conceptual large-scale transects were determined in the watershed using the limited random sampling method based on the field investigation and comparative analysis of forest vegetation types in Miyun District. Permanent plots were established on four conceptual transects and 22 typical representative fixed plots were selected for forest vegetation investigation (Figure 1c). Sample plot information is shown in Table 1. The elevation and slope of the study area were 226.2–762.4 m and 5–38°, respectively. The forest types of arbor forests in the basin could be divided into four categories: coniferous forest (Type I), coniferous and broad-leaved mixed forest (Type II), broad-leaved forest (Type III), and broad-leaved mixed forest (Type IV). In March 2008, a sampling area of 50 m × 50 m was set up in each plot. Soil samples were collected from the surface of the soil below the litter layer. Soil samples of 0–10 cm depth were taken at intervals of 5 m. A total of 121 points were sampled in each plot. The samples were packed in soil bags and taken to the laboratory for further analyses.
Table 1.
Basic information of the 22 selected sample plots.
2.3. Indoor Experiment
The soil samples were air dried and impurities were removed. The pH, soil organic matter (SOM), soil organic carbon (SOC), total nitrogen (TN), and alkali-hydrolysable nitrogen (AHN) were then measured. The soil was sieved through a 2 mm sieve for pH detection, through a 0.25 mm sieve for SOM, SOC, and TN detection, and through a 1 mm sieve for AHN detection. The pH was determined at a soil and water ratio of 2.5:1 via a potentiometer method [31]. The SOM was determined using a potassium dichromate sulfate oxidation volumetric method [32]. The SOC was measured by total organic carbon analyzer (TOC-L CSH) [33]. The TN was determined via a potassium sulfate–copper sulfate–selenium powder and nitrogen analyzer. The AHN was determined using the alkaline hydrolysis diffusion method [34].
2.4. Data Analysis
The diversity of different sites was analyzed using the Menhinnick richness index (D), Shannon–Wiener diversity index (H), and Alatalo evenness index (E). The three indexes were calculated as follows:
where S represents the total number of species in the sample plot; N represents the number of all species in the plot; and pi represents the abundance ratio of each species. In Equation (3), D represents the Simpson index, calculated as follows:
IBM SPSS Statistics (Version 26.0, IBM Corp., Armonk, NY, USA) was used for all statistical analyses. Correlation analysis was performed after uniformity and normal distribution tests. Canoco (Version 5.0, Microcomputerpower, Ithaca, NY, USA) software was used for detrended correspondence analysis (DCA) and redundancy analysis (RDA) to assess the relationship between environmental variables and soil nutrient content. Origin (Version 2021, OriginLab, Northampton, MA, USA) was used for graphic drawing.
3. Results
3.1. Analysis of Watershed Topography and Vegetation Characteristics
The statistical analysis of the species diversity index of 16 tree plots (Figure 2) showed that the variation ranges of D, H, and E were 0.35–0.79, 0.86–1.73, and 0.39–0.7, respectively (average, 0.62, 1.37, and 0.54, respectively). The maximum values of D and H appeared in the D3 sample plot, while the maximum value of E appeared in the C4 sample plot. The minimum values of D and H appeared in sample B2, while the minimum value of E appeared in sample C1. CV < 10%, CV = 10–100%, and CV > 100% represented weak variation, medium variation, and strong variation, respectively, based on the division of coefficient of variation. The coefficients of variation of D, H, and E were 17.9%, 18.0%, and 14.7%, respectively, indicating moderate variation.
Figure 2.
Species diversity map of 16 tree sample plots. The orange, green, and blue bars represent the Menhinnick richness index (D), Shannon–Wiener diversity index (H), and Alatalo evenness index (E), respectively.
Altitude was significantly positively correlated with vegetation type (Table 2) (p < 0.01). In this study area, vegetation type changes from coniferous forest to broad-leaved mixed forest with increasing altitude. D was significantly positively correlated with stand type (p < 0.05), altitude (p < 0.05), and species diversity index (p < 0.01), indicating that the evenness of broad-leaved mixed forest was significantly higher than that of other stands. D and H and H and E were significantly positively correlated (p < 0.01). However, D was not significantly correlated with E. H and E were also not significantly correlated with stand type and altitude.
Table 2.
Correlation analysis between topographic factors and vegetation factors.
3.2. Characteristics of pH, SOM, SOC, TN, and AHN in the Study Area
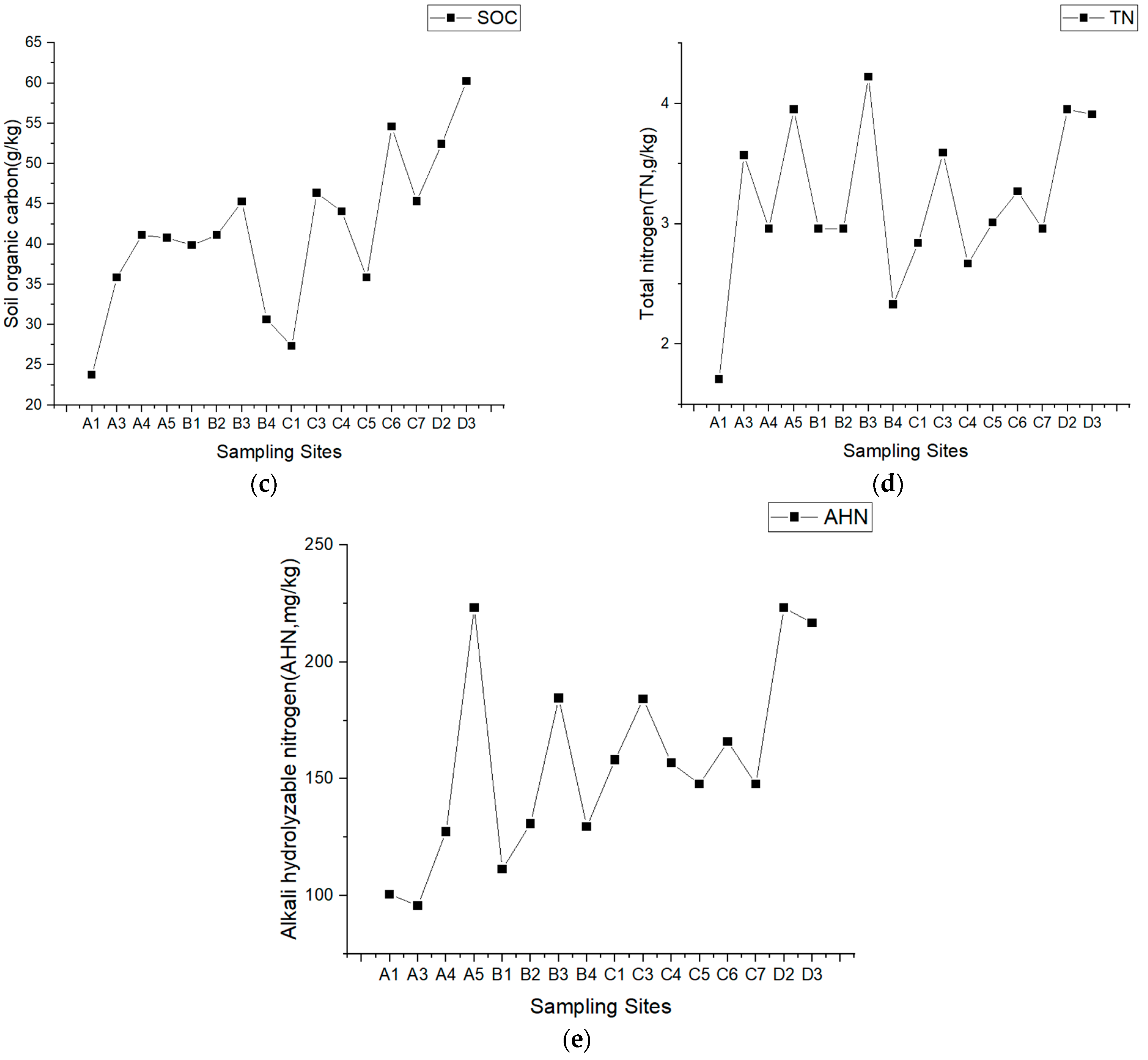
The variation ranges of pH, SOM, SOC, TN, and AHN were 5.78–7.13, 54.73–107.89 g/kg, 23.77–60.25 g/kg, 1.71–4.22 g/kg, and 95.64–223.26 mg/kg, respectively (average values; 6.53, 76.20 g/kg, 42.20 g/kg, 3.18 g/kg, and 156.47 mg/kg, respectively) (Figure 3). The pH, SOM, SOC, TN, and AHN values were maximum in A1, C6, D3, B3 A5, respectively. All soil nutrient indexes belonged to medium variation except for pH (weak variation).

Figure 3.
The status map of pH, SOM, SOC, TN, and AHN of 16 sampling sites. (a) pH; (b) soil organic matter (SOM); (c) soil organic carbon (SOC); (d) total nitrogen (TN); and (e) alkali-hydrolyzable nitrogen (AHN).
The correlation analysis (Table 3) showed that SOM was significantly positively correlated with SOC (p < 0.01), TN (p < 0.05), and available nitrogen (p < 0.01). The SOC was also significantly positively correlated with TN (p < 0.01) and AHN (p < 0.01). The TN was significantly positively correlated with AHN (p < 0.01). However, pH was slightly negatively correlated with TN and AHN.
Table 3.
Correlation analysis of pH, SOM, SOC, TN, and AHN.
3.3. Main Influencing Factors of pH, SOM, SOC, TN, and AHN
The correlation analysis (Table 4) also showed that soil nutrients were not significantly correlated with the slope in the study area. In contrast, SOC (p < 0.01) and AHN (p < 0.01) were significantly positively correlated with altitude. Stand type was significantly positively correlated with SOC (p < 0.05). Moreover, stand type was slightly positively correlated with other nutrients. The Menhinnick index was significantly positively correlated with SOM (p < 0.05). Furthermore, the Menhinnick index was slightly correlated with other factors.
Table 4.
Correlation analysis of soil nutrients, topographic factors, and preparation factors.
3.4. RDA Analysis
The DCA axis and environmental variables were compared using stepwise multiple regression. The DCA results showed that the length of the four ranking axes was less than 3, and the response of the element data to environmental variables was linear. Therefore, RDA was used to determine the environmental factors affecting PH, SOM, SOC, TN, and AHN. The RDA ranking of corresponding PH, SOM, SOC, TN, AHN and environmental factors at each sampling point is shown in Figure 4. Altitude, slope, vegetation type, Menhinnick index, Shannon–Wiener index, and Alatalo index were taken as environmental variables, while soil nutrient content was selected as a response variable. The interpretation rate of all environmental factors to the total variance was 44.70%. The first two axes to the total variance were 44.24%, indicating that environmental factors impact PH, SOM, SOC, TN, and AHN. VPA analysis was conducted to determine the main influencing factors of soil nutrient content (Table 5). Altitude, slope, Alatalo index, Menhinnick index, stand type and Shannon–Wiener explained 25.9%, 9.8%, 4.8%, 3.5%, 0.6%, and 0.2% of the total variance, respectively. This result shows that altitude has a dominant effect on PH, SOM, SOC, TN, and AHN in the study area.
Figure 4.
Samples−species−environmental variables triplot of RDA analysis. The blue arrows represent the environment and response variables, while the black circle represents sampling sites.
Table 5.
Correlation analysis of soil nutrients.
4. Discussion
4.1. Distribution of Vegetation in Watershed
Changes in altitudes and slopes cause water and heat distribution differences, resulting in gradient changes in vegetation distribution patterns [35]. In this study, the vegetation type transformed from coniferous forest to broad-leaved mixed forest with increasing altitude (Table 2). Our previous understanding was that the vegetation community is transformed from evergreen broad-leaved forest to coniferous broad-leaved mixed and coniferous forests with increasing altitude and decreasing temperature [36]. This difference may be due to the huge mountain flood and debris flow in the basin, which severely damages most of the vegetation [37]. After that, various approaches were used to conduct vegetation restoration, such as mountain closure and afforestation, aerial seeding, and afforestation [37], which resulted in the difference between the distribution of vegetation in this area and that of natural forest.
Biodiversity includes diversity of genetics, species, and ecosystems [38], of which species diversity is the carrier of genetic diversity and the component of ecosystem diversity [39]. Species diversity includes species abundance and evenness. In this study, species diversity of trees was comprehensively measured using the Menhinnick richness index (D), Alatalo evenness index (E), and Shannon–Wiener index (H). Meanwhile, the variation ranges of D, H, and E were 0.35–0.79, 0.86–1.73, and 0.39–0.7, respectively (Figure 2), which were lower than the variation ranges reported in other studies [40], possibly due to the debris flow disaster mentioned above [37] or the failure to consider understory shrubs and herbs. D and E were significantly positively correlated with H, indicating that H can reflect the richness and evenness of species in the study area, similar to previous studies [41,42]. Additionally, E significantly increased with increasing altitudes and vegetation community change (p < 0.05). This result indicates that the vegetation distribution in broad-leaved mixed forest was more uniform, and H also showed the same change, consistent with previous studies [43]. However, this relationship was not significant.
4.2. The Status of pH, SOM, SOC, TN, and AHN in the Watershed
The soil in the study area was weakly acidic or neutral, and the variability of soil pH value was weak based on the national grading standard of soil nutrient content [44]. Previous studies have shown that the soil pH value in Beijing mountainous area is above 6.0 [45,46], and the coefficient of variation of soil pH value is lower than that of SOM, SOC, TN, and AHN [47]. However, the change of soil pH value greatly affects the availability of soil nutrients and the nutritional status of vegetation [48]. The SOM was significantly positively correlated with SOC (p < 0.01) (Table 3). The content of SOM and SOC in broad-leaved forest were higher than those in coniferous forest. However, previous studies have shown that litter mixing can promote decomposition in coniferous and broad-leaved mixed forest [49,50], so that the SOC content of coniferous and broad-leaved mixed forest is significantly higher than that of deciduous broad-leaved mixed forest and broad-leaved forest [51]. The main reason for this difference is that the influence of vegetation type and altitude should also be considered in this study. Moreover, soil organic matter and soil organic carbon increased gradually from east to west on the whole watershed scale [52,53].
Herein, TN content was high in all plots except for A1 (Figure 3d). This was consistent with previous research [54]. The content of AHN was high in plots A5, D2, and D3. Moreover, the content of AHN was slightly high in C1, C3, C4, C6, and B3, and medium in other remaining plots (Figure 3). TN (p < 0.05) and AHN (p < 0.01) were significantly positively correlated with SOM. In summary, the SOM was rich and the degree of maturation was high, so the contents of TN and AHN were high in this region. In addition, the sample plot survey found that there were many shrubs and herbs in the understory, such as Lespedeza (Lespedeza bicolor Turcz.) and Alfalfa (Medicago sativa L.). These shrubs have the ability to absorb, fix, and convert nitrogen. This may also be a reason for the high content of TN and AHN. In addition, the TN content first gradually increases, then decreases from east to west in study area [52,53]. The AHN content showed regional changes. The content of AHN increased gradually from east to west, but decreased in the lower altitude of the easternmost part of the study area [52,53]. In conclusion, although the study area has good soil nutrient status, the AHN content is low in low-altitude areas. Therefore, nitrogen-fixing plant species should be introduced in the area [55] to improve the AHN content [56] and soil nutrient status [57,58].
4.3. Main Factors Affecting the Contents of pH, SOM, SOC, TN, and AHN in Watershed
This study assessed the main environmental factors affecting pH, SOM, SOC, TN, and AHN by analyzing the relationship among slope, elevation, vegetation type, species richness, species diversity, and species evenness and ranking them through RDA. The RDA results (Figure 4, Table 5) showed that altitude was the main environmental factor affecting pH, SOM, SOC, TN, and AHN in this area and could explain 25.9% of the total variance. The content of pH, SOM, SOC, TN, and AHN increased with increasing altitude. However, the changes in SOC (p < 0.05) and AHN contents (p < 0.05) were the most significant (Table 4), consistent with previous studies in this area [52,59]. Previous studies found that, in this area, the soil moisture, temperatures, litter thickness and dry weight of the sample plots above 600 m were significantly higher than those below 600m [60]. These environmental conditions inhibit microbial activity and slow litter decomposition, which is conducive to the accumulation of soil organic carbon [61]. In addition, previous studies also showed that the forest stands of sample plots above 600 m in this region were generally composed of trees, shrubs, and grass [60]. However, the stands below 600 m are single and simple in structure [60]. This is also an important indicator that altitude is a major factor affecting pH, SOM, SOC, TN, and AHN in this region. Previous studies indicated that altitude is a key factor affecting the physical and chemical properties of soil [62]. The altitude change may combine with the environmental factors, such as temperature [63], precipitation [64], light [65], atmospheric pressure [64], and soil acidity and alkalinity [65], and change the soil type, soil parent material [66], and the content and effectiveness of soil nutrients [67]. However, the effects of other factors caused by altitude on pH, SOM, SOC, TN, and AHN were not considered in this study. This is a shortcoming of this study, and the influence of these factors on soil should be further studied in the future.
5. Conclusions
In this study, the characteristics of vegetation distribution, soil nutrient status, and main factors affecting soil nutrient content in Chaoguan Xigou basin, a typical basin upstream of the Beijing Miyun Reservoir, were analyzed. In summary, vegetation types change from coniferous forest to broad-leaved mixed forest with increasing altitude. The species evenness and diversity indexes increase with increasing altitude. However, the species richness index, diversity, and evenness indexes are lower at high altitude areas than in other places, possibly due to: (1) debris flow in the basin; and (2) shrubs and grasses under the forest are not considered. The soil in the study area was weakly acidic or neutral. The content of SOM, SOC, and TN were in good condition. The content of SOM and SOC in broad-leaved forest were higher than those in coniferous forest. This reminds us that SOC and SOM are the result of the comprehensive action of multiple factors. However, AHN content was low in low-altitude areas. There are two reasons for the high content of TN and AHN: (1) the content of soil organic matter in the study area is high and mature; and (2) there are many shrubs and herbs in the understory, which can promote the absorption, fixation, and transformation of N. However, the AHN content was low in low-altitude areas. Therefore, the introduction of nitrogen-fixing species needs to be considered. In this study, RDA analysis showed that altitude could explain 25.9% of the total variance, indicating that altitude is the main environmental factor affecting pH, SOM, SOC, TN, and AHN in the watershed. Combined with previous studies, we believe that this is due to the obvious changes of soil moisture, temperature, litter thickness, litter dry weight, and stand structure with the change of altitude in the study area. In addition, the change of altitude may be combined with environmental factors such as temperature, precipitation, light, and atmospheric pressure to change soil type, soil parent material, and soil nutrient content and availability. The effects of these factors on pH, SOM, SOC, TN, and AHN need to be further studied.
Author Contributions
Writing—original draft preparation, X.L.; writing—review and editing, G.J.; project administration, X.Y.; data curation, L.N. All authors have read and agreed to the published version of the manuscript.
Funding
This research was funded by the National Key Research and Development Program (2020YFF0305905-03).
Data Availability Statement
Data are contained within the article.
Acknowledgments
The authors are grateful to Liu Rui, Zhang Longqi and Wang Xin and Zhang Xiao for collecting and organizing the original data. We are also thankful to Lei Ziran, Liu Ziqi and Liu Zihe for the software assistance, to Gang Zhang for improving the language.
Conflicts of Interest
The authors declare no conflict of interest.
References
- Pan, Y.; Fang, F.; Tang, H. Patterns and Internal Stability of Carbon, Nitrogen, and Phosphorus in Soils and Soil Microbial Biomass in Terrestrial Ecosystems in China: A Data Synthesis. Forests 2021, 12, 1544. [Google Scholar] [CrossRef]
- Liu, F.; Wang, X.; Chi, Q.; Tian, M. Spatial variations in soil organic carbon, nitrogen, phosphorus contents and controlling factors across the “Three Rivers” regions of southwest China. Sci. Total Environ. 2021, 794, 148795. [Google Scholar] [CrossRef] [PubMed]
- Huang, J.; Jiang, X.; Zeng, Y.; Chen, J.; Chai, R.; Liu, K.; Zhang, H. Research Progress on evaluation methods and indicators of paddy soil fertility. Soil Fertil. China 2017, 06, 1–8. [Google Scholar]
- Yu, H. Measures to increase soil organic matter. New Countrys. 2018, 9, 1. [Google Scholar]
- Peng, S.; Liu, Y.; Liu, Y.; Fan, Y.; Zhou, Y.; Yang, Q.; Zou, W. Effects of broad-leaved coniferous forest on soil organic carbon and nitrogen contents. J. Gannan Norm. Univ. 2022, 43, 97–102. [Google Scholar]
- Ma, N.; Gao, X.; Zhao, X.; Zhao, L.; Liu, H.; Yang, M. Distribution characteristics of soil organic carbon and its effect on topographic vegetation in a small watershed of the Loess Hilly region. Acta Ecol. Sin. 2022, 14, 1–9. [Google Scholar]
- Song, X.; Peng, C.; Ciais, P.; Li, Q.; Xiang, W.; Xiao, W.; Zhou, G.; Deng, L. Nitrogen addition increased CO2 uptake more than non-CO2 greenhouse gases emissions in a Moso bamboo forest. Sci. Adv. 2020, 6, eaaw5790. [Google Scholar] [CrossRef] [Green Version]
- Fang, H. Effects of Nitrogen Deposition on Carbon Pool and Carbon Sequestration Efficiency of Cunninghamia lanceolata Plantation Ecosystem. Master’s Thesis, Jiangxi Agricultural University, Nanchang, China, 2013. [Google Scholar]
- Sirisuntornlak, N.; Ullah, H.; Sonjaroon, W.; Anusontpornperm, S.; Arirob, W.; Datta, A. Interactive Effects of Silicon and Soil pH on Growth, Yield and Nutrient Uptake of Maize. Silicon 2020, 13, 289–299. [Google Scholar] [CrossRef]
- Hou, S.; Zheng, N.; Tang, L.; Ji, X.; Li, Y. Effect of soil pH and organic matter content on heavy metals availability in maize (Zea mays L.) rhizospheric soil of non-ferrous metals smelting area. Environ. Monit. Assess. 2019, 191, 634. [Google Scholar] [CrossRef]
- Elser, J.J.; Fagan, W.F.; Kerkhoff, A.J.; Swenson, N.G.; Enquist, B.J. Biological stoichiometry of plant production: Metabolism, scaling and ecological response to global change. New Phytol. 2010, 186, 593–608. [Google Scholar] [CrossRef] [Green Version]
- Wang, M.; Gong, Y.; Lafleur, P.; Wu, Y. Patterns and drivers of carbon, nitrogen and phosphorus stoichiometry in Southern China’s grasslands. Sci. Total Environ. 2021, 785, 147201. [Google Scholar] [CrossRef]
- Zhu, X.; Shen, Y.; He, B.; Zhao, Z. Humus soil as a critical driver of flora conversion on karst rock outcrops. Sci. Rep. 2017, 7, 12611. [Google Scholar] [CrossRef] [PubMed] [Green Version]
- Nunes, J.A.; Schaefer, C.E.; Ferreira, J.W.; Neri, A.V.; Correa, G.R.; Enright, N.J. Soil-vegetation relationships on a banded ironstone ‘island’, Carajas Plateau, Brazilian Eastern Amazonia. An. Acad. Bras. Ciências 2015, 87, 2097–2110. [Google Scholar] [CrossRef] [PubMed]
- Zhang, Y.; Li, C.; Wang, M. Linkages of C: N: P stoichiometry between soil and leaf and their response to climatic factors along altitudinal gradients. J. Soils Sediments 2018, 19, 1820–1829. [Google Scholar] [CrossRef]
- Van der Putten, W.H.; Bardgett, R.D.; Bever, J.D.; Bezemer, T.M.; Casper, B.B.; Fukami, T.; Kardol, P.; Klironomos, J.N.; Kulmatiski, A.; Schweitzer, J.A.; et al. Plant–Soil feedbacks: The past, the present and future challenges. J. Ecol. 2013, 101, 265–276. [Google Scholar] [CrossRef]
- Liu, X.; Li, H.; Cao, L.; Zhang, Y. Analysis of heterogeneity of forest soil nutrients in Guangdong Province. J. Beijing For. Univ. 2021, 43, 90–101. [Google Scholar]
- Kumar, S.; Singh, R.P. Spatial distribution of soil nutrients in a watershed of Himalayan landscape using terrain attributes and geostatistical methods. Environ. Earth Sci. 2016, 75, 473. [Google Scholar] [CrossRef]
- Chen, L.; Deng, Q.; Yuan, Z.; Mu, X.; Kallenbach, R.L. Age-related C:N:P stoichiometry in two plantation forests in the Loess Plateau of China. Ecol. Eng. 2018, 120, 14–22. [Google Scholar] [CrossRef]
- Zhang, S. Heterogeneity of soil nutrients in ecosystems: A review of methodology, variability and impact factors. J. Environ. Earth Sci. 2019, 1, 6–28. [Google Scholar] [CrossRef]
- Su, L.; Du, H.; Zeng, F.; Peng, W.; Rizwan, M.; Núñez-Delgado, A.; Zhou, Y.; Song, T.; Wang, H. Soil and fine roots ecological stoichiometry in different vegetation restoration stages in a karst area, southwest China. J. Environ. Manag. 2019, 252, 109694. [Google Scholar] [CrossRef]
- Long, C.; Yang, X.; Long, W.; Li, D.; Zhou, W.; Zhang, H. Soil nutrients influence plant community assembly in two tropical coastal secondary forests. Trop. Conserv. Sci. 2018, 11, 1–9. [Google Scholar] [CrossRef] [Green Version]
- Zhu, J.; Wu, A.; Zou, S.; Xiong, X.; Liu, S.; Chu, G.; Zhang, Q.; Liu, J.; Tang, X.; Yan, J.; et al. Relationship between tree diversity and biomass and productivity in subtropical evergreen broad-leaved forest and its influencing factors. Biodivers. Sci. 2021, 29, 1435–1446. [Google Scholar] [CrossRef]
- Liang, G.; Tao, J.; Guo, K.; Wang, Z.; Zhang, Y.; Wang, J. Soil nutrients and their stoichiometric ratios under different forest types and densities. Jilin For. Sci. Technol. 2021, 50, 14–21. [Google Scholar]
- Sanaei, A.; Yuan, Z.; Ali, A.; Loreau, M.; Mori, A.S.; Reich, P.B.; Jucker, T.; Lin, F.; Ye, J.; Fang, S.; et al. Tree species diversity enhances plant-soil interactions in a temperate forest in northeast China. For. Ecol. Manag. 2021, 491, 119160. [Google Scholar] [CrossRef]
- Li, S.; Li, G.; Li, C.; Du, J.; Xu, W.; Xie, M. Seasonal variation of vegetation types on stoichiometric characteristics of soil carbon, nitrogen and phosphorus in Loess Hilly Region. J. Soil Water Conserv. 2021, 35, 343–349. [Google Scholar]
- Cao, X.; Zhao, W.; Li, J.; Yan, W. Analysis and comprehensive evaluation of soil nutrient content of several typical forests in the middle subtropical zone. J. Ecol. 2022, 42, 1–11. [Google Scholar]
- Seibert, J.; Stendahl, J.; Sørensen, R. Topographical influences on soil properties in boreal forests. Geoderma 2007, 141, 139–148. [Google Scholar] [CrossRef]
- Song, F. Spatial variation of soil nutrients and its relationship with topographic factors in hilly area based on GIS and RDA. Hubei Agric. Sci. 2021, 60, 31–35. [Google Scholar]
- Deng, O.; Zhou, X.; Huang, P.; Deng, L. Correlation between spatial differentiation of soil nutrients and topographic factors in purple hilly area of central Sichuan. Resour. Sci. 2013, 35, 2434–2443. [Google Scholar]
- Wang, J. Discussion on Influencing Factors of soil pH determination by electrode method. Energy Energy Conserv. 2020, 9, 76–77. [Google Scholar]
- Li, X.L. Determination of soil organic matter by potassium dichromate oxidation capacity method. Mod. Rural. Sci. Technol. 2013, 23, 36. [Google Scholar]
- Han, W. Determination of soil organic carbon by total organic carbon analyzer. Coal Chem. Ind. 2017, 40, 72–74. [Google Scholar]
- Khan, S.A.; Mulvaney, R.L.; Hoeft, R.G. A Simple Soil Test for Detecting Sites that are Nonresponsive to Nitrogen Fertilization. Soil Sci. Soc. Am. J. 2001, 65, 1751–1760. [Google Scholar] [CrossRef]
- Liu, Y.; Liu, W.; Feng, B.; Shi, G.; Sun, C.; Li, C.; Zhang, X.; Dong, Q. Effects of slope direction and altitude on vegetation distribution pattern characteristics of alpine mountain meadow. Grassl. J. 2021, 29, 1166–1173. [Google Scholar]
- Zhang, Z.; Zheng, X.; Lin, H.; Lin, X.; Huang, L. Changes of plant functional traits and environmental factors in different succession stages of island plants. J. Ecol. 2019, 39, 3749–3758. [Google Scholar]
- Yu, X.; Geng, Y.; Niu, L.; Yue, Y. Effects of sampling scale on spatial variability of forest soil nutrients in Typical Watersheds in mountainous areas of Beijing—A case study of Miyun Chaoguanxigou watershed. For. Sci. 2010, 46, 162–166. [Google Scholar]
- Bartkowski, B. Economic Valuation of Biodiversity; Taylor and Francis: Oxford, UK, 2017. [Google Scholar]
- Ge, S. What determines species diversity? Sci. Bull. 2017, 62, 2033–2041. [Google Scholar] [CrossRef]
- Ren, Y. Study on Functional Diversity of Typical Forest Communities in Mountainous Areas of Beijing. Master’s Thesis, Beijing Forestry University, Beijing, China, 2012. [Google Scholar]
- Feng, S.; Zhao, H.; Guo, J.; Lan, D.; Zhao, X. Vegetation types and soil characteristics in Ulat desert area. J. Northwest Bot. 2021, 41, 695–702. [Google Scholar]
- Lv, T.; Liu, Y.; Kang, J.; Liu, T.; Liang, R. Species composition and diversity of communities in different habitats along Delingha Hara Lake. Grassl. J. 2021, 29, 146–155. [Google Scholar]
- Li, W. Study on Forest Vegetation Diversity in Typical Watersheds in Mountainous Areas of Beijing. Master’s Thesis, Beijing Forestry University, Beijing, China, 2008. [Google Scholar]
- He, L.; Zhang, X.; Xu, D.; Xue, M. Distribution of soil nutrients in cultivated land in Wanshan District. J. Agric. Technol. Serv. 2020, 37, 9–11. (In Chinese) [Google Scholar]
- Ma, L.; Zhai, M.; Lin, P. Distribution of soil physical and chemical properties in mountainous area of west Beijing. J. Beijing For. Univ. 1999, 21, 32–37. [Google Scholar]
- Zhang, F.R.; Wang, Y.C.; Li, H.; Wang, S.; An, L.P. Soil series identification in Baihuashan area, Beijing and its classification and mapping reference in different soil classification systems. J. Mt. Sci. 2002, 20, 164–169. [Google Scholar]
- Fu, B.; Liu, S.; Ma, K. Plant diversity and Probing probing of A heterogeneous broad-leaved forest near Beijing, China. Plant Soil 2004, 261, 47–54. [Google Scholar] [CrossRef]
- Hardtle, W.; von Oheimb, G.; Friedei, A.; Meyer, H. Relationship between pH-value and nutrient availability in forest soils: The consequence for the use of ecograms in forest ecology. Flora 2004, 199, 134–142. [Google Scholar] [CrossRef]
- Wang, C.; Dong, X.; Du, R.; Zhang, Z.; Huang, X. Changes in nutrient release and enzyme activity during leaf decomposition of mixed larix rupprechtii and broadleaved species. Chin. J. Appl. Ecol. 2021, 32, 1709–1716. [Google Scholar]
- Kong, A. Study on Enzyme Activities in Soil and Litter of Quercus Variabilis and Pinus tabulaeformis Forests in Low Mountainous Area of Beijing. Master’s Thesis, Beijing Forestry University, Beijing, China, 2012. [Google Scholar]
- Liu, X. Dynamics of Litter Decomposition and Its Effect on Soil Properties of Typical Forest Types in Tianma Nature Reserve. Master’s Thesis, Anhui Agricultural University, Hefei, China, 2021. [Google Scholar]
- Niu, L. Study on Heterogeneity of Forest Vegetation and Soil Nutrients in Typical Watersheds in Beijing. Ph.D. Dissertation, Beijing Forestry University, Beijing, China, 2010. [Google Scholar]
- Feng, Y.; Liang, W.; Wei, X.; Zhao, W. Analysis of soil nutrient characteristics of Larch Forest in North China at different altitude gradients in Guandi mountain. West. For. Sci. 2020, 49, 68–73. [Google Scholar]
- Zhang, L.; Bai, C.; Yu, X.; Liang, W. Soil nutrients and phosphatase activity and their relationship in natural secondary forest in western mountainous region of North Beijing. J. Agric. Univ. Hebei 2007, 30, 65–69. [Google Scholar]
- Hoogmoed, M.; Cunningham, S.C.; Baker, P.J. Is there more soil carbon under nitrogen-fixing trees than under non-nitrogen-fixing trees in mixed-species restoration plantings? Agric. Ecosyst. Environ. 2014, 188, 80–84. [Google Scholar] [CrossRef]
- Galiana, A.; Gnahoua, G.M.; Chaumont, J. Improvement of nitrogen fixation in Acacia mangium through inoculation with rhizobium. Agrofor. Syst. 1998, 40, 297–307. [Google Scholar] [CrossRef]
- Li, X.; Sun, K.; Li, F.Y. Variation in leaf nitrogen and phosphorus stoichiometry in the nitrogen-fixing Chinese sea-buckthorn (Hippophae rhamnoides L. subsp. sinensis Rousi) across northern China. Ecol. Res. 2014, 29, 723–731. [Google Scholar] [CrossRef]
- Wu, X.; Niu, Y.; Xun, M.; Jin, J.; Tang, Y.; Chen, Y. Soil Carbon, Nitrogen, and Phosphorus Storages and Their Stoichiometry Due to Mixed Afforestation with Hippophae rhamnoides in the Loess Hilly Region, China. Forests 2021, 12, 1718. [Google Scholar] [CrossRef]
- Xiao, Y. Evaluation and historical evolution analysis of soil nutrients in Miyun County. Beijing Agric. 2008, 18, 130–134. [Google Scholar]
- Bai, Y. Forest Near Nature Management Mode in Chaoguan Xigou Watershed. Master’s Thesis, Beijing Forestry University, Beijing, China, 2010. [Google Scholar]
- Wu, Y.; Liu, G.; Fu, B.; Guo, Y.; Hu, C. Changes of soil CO2 emission with elevation gradient and its influencing factors in forest ecosystem. Acta Ecol. Sin. 2007, 27, 4678–4685. [Google Scholar]
- Wang, S.; Wang, X.; Ouyang, Z. Study on Influencing Factors of soil organic carbon and total nitrogen density in the upper reaches of Miyun reservoir. Environ. Sci. 2012, 33, 946–951. [Google Scholar]
- Zhang, Y.; Li, Y.; Zhu, G. Effects of altitude factors on the distribution pattern of temperature, precipitation and climate type in the Qinghai Xizang Plateau. Glacial Permafr. 2019, 41, 505–515. [Google Scholar]
- Lv, A.; Huo, Z.; Yang, J. Responses of woody plants to climate change at different elevations in southern Shanxi Province. Chin. J. Agrometeorol. 2020, 41, 11. [Google Scholar]
- Cao, J.; Yang, H.; Cui, Z.; Zhang, X. Distribution characteristics of soil nutrient content at different altitudes on the western slope of Sejila in Southeast Tibet. Plateau Agric. 2019, 3, 19–27. [Google Scholar]
- Tan, S. Soil Eco Chemometric Characteristics and Microbial Diversity at Different Altitudes in Lushan. Master’s Thesis, Huazhong Agricultural University, Wuhan, China, 2020. [Google Scholar]
- Sui, X.; Wang, Y.; Liu, Y.; Zhang, Y.; Wu, L. Response of soil nutrients and bacterial community to altitude in Yunnan pine forest in typical karst area. Zhejiang Agric. J. 2021, 33, 2348–2357. [Google Scholar]
Publisher’s Note: MDPI stays neutral with regard to jurisdictional claims in published maps and institutional affiliations. |
© 2022 by the authors. Licensee MDPI, Basel, Switzerland. This article is an open access article distributed under the terms and conditions of the Creative Commons Attribution (CC BY) license (https://creativecommons.org/licenses/by/4.0/).




