Abstract
Forests owned by individuals and family landowners account for about two-thirds of Georgia’s private forests. This study provides a snapshot of the status and trend of forest management practices of Georgia family forest landowners and the unit costs associated with significant management activities through a survey of the consulting foresters practicing in the state. Family forest landowners increasingly managed pines intensively with various management regimes. Hardwood and mixed forests accounted for more than half of Georgia’s private forests, but they were mainly managed in a custodial manner. Besides receiving revenue from timber sales, many landowners in Georgia received additional income from hunting leases and selling pine straw. The results have important implications for the financial returns of timber investment and the long-term timber supply of the state. It also provides essential information to county assessors for fair and equitable timberland valuation for property tax purposes.
1. Introduction
Two-thirds of Georgia, or 24.8 million acres, is forested [1]. The majority (90%) of the forest land is privately owned [2]. Individual and family forest owners control 13.4 million acres, or 60% of Georgia’s total private forest land. The remaining 40%, or 8.8 million acres, is owned by corporate and other private landowners. Private forest land is the cornerstone of the state’s forest sector, directly supporting more than 55,000 jobs, $3.94 billion in payroll, and $929 million in state government revenues in 2019 [3]. These lands also provide various environmental, ecological, and social benefits [4,5].
Major forest types in Georgia include southern yellow pines (45% of the forest area), hardwoods (41%), and mixed pine-hardwood (12%) [6]. Southern yellow pines mainly refer to Pinus taeda (loblolly pine), Pinus palustris (longleaf pine), Pinus echinata (shortleaf), and Pinus elliottii (slash pine). Loblolly–slash pine is the most prevalent softwood forest-type group, whereas oak–hickory is the most prevalent hardwood group. As in many other U.S. Southern states, the acreage of pine plantations in Georgia grew significantly in the second half of the twentieth century and gradually leveled out in the past decade [6]. Planted pine accounted for 66% of Georgia’s softwood forests in 2019 [7].
Although most of the private forests are managed for multiple purposes [8,9,10], about two-thirds of the private family landowners in Georgia have claimed investment as one of the reasons for holding timberland [11]. Landowners with large timberland holdings are more inclined to manage the land for timber income or investment. Despite the importance of family forests to sustainable timber supply [12,13], many family forest landowners have limited access to information on revenues and costs associated with forest management [14,15]. This largely inhibits their ability to make sound and timely forest management decisions. Although a few studies have addressed the cost trends for forestry practices in the U.S. South [16,17,18], the cost data are aggregated and averaged at the regional level. Considering the vast variations in forestry practices and costs among the Southern states, it is highly desirable to have the information with a finer resolution for timberland investment return analysis or timberland valuation for property tax purposes.
As a component of a research project to develop a timberland valuation method for property tax purposes in Georgia, this study fills the gap by documenting current common forest management practices and the associated costs for family forest landowners in the state through a survey of consulting foresters. Compared to regional cost reports, it provides more robust information on Georgia’s private landowners’ management costs for forest investment return analysis. Rural tax assessors could also benefit from the results as forest management costs play a critical role in timberland valuation for tax appraisal. Additionally, comparisons with the study results from other Southern states provide implications for the competitiveness of timber and timberland investment in Georgia.
2. Materials and Methods
The data were collected through a survey of consulting foresters in 2019. Forestry activities in two physiographic regions (Coastal Plain and Piedmont) of Georgia were documented separately in the survey because the composition of various forest types, prevalent management regimes, rate of timber growth, and timber prices differ by region (Figure 1). The Coastal Plain region covers the Upper and Lower Coastal Plains in Figure 1.
Figure 1.
Major physiographic regions in Georgia.
Foresters offering consulting services in Georgia were identified using a database maintained by the Georgia Forestry Commission. The database has been regularly updated by the agency for the convenience of private forest landowners and represents the great majority of consulting foresters practicing in Georgia. Compared to previous studies [19,20], the number of private forestry consultants in Georgia had increased 24% from 147 in 1986 to 183 in 2019, suggesting a growing demand for private consulting foresters in the state. Changes in industrial timberland ownership caused a reduction of industrial foresters and an increase in consulting foresters.
Column 2 of Table 1 presents the characteristics of the surveyed foresters documented in the database, including their credentials, services areas, and service provision approaches (personally or subcontract). Many consulting foresters have multiple credentials. In Georgia, foresters must be registered to offer consulting services to the public. Therefore, a great majority of the surveyed consulting foresters (97%) are registered foresters. Forty percent of Georgia consulting foresters were members of the Society of American Foresters (SAF), and 15% were members of the Association of Consulting Foresters (ACF). Around 15% of the consultants were SAF-certified foresters. Over half (55%) were real estate license holders, and 15% were certified real estate appraisers. Over half (56%) of the surveyed consulting foresters were certified prescribed burners. Five percent of the surveyed foresters were licensed surveyors.
Table 1.
Profiles of the surveyed foresters and respondents: credentials, service areas, and ways of service provision.
Consulting foresters in Georgia provide a wide range of services related to forest properties. In addition to traditional timber sale and silvicultural services, many consulting foresters provide services related to wildlife management, recreational land development, land investment counseling, and real estate. This is consistent with the responding foresters’ observation that many private forests in Georgia were used for hunting lease purposes.
A survey questionnaire was developed based on previous research on forest management in Georgia and other states in the U.S. South [21,22,23]. Additionally, experts in forest productivity were consulted for typical forest management regimes of major forest types in various physiographic regions of the state. The eight-page questionnaire included five parts. Part I solicited the consultants’ major service regions and years of practicing. Part II comprised questions on the intensity of silvicultural practices for Georgia’s private forest landowners. Specifically, the questions included the preferred species, site preparation activities, mid-rotation forest management practices, and range of harvesting age by forest type. There were six structured questions in Parts I and II.
Part III encompassed information on unit costs for the common forestry practices and income from non-timber sources. A table with itemized management service and associated units ($/plan, $/acre, $/gross timber sales, $/hour, or $/mile) was provided for survey participants to fill out. Some forest landowners in Georgia may generate income from the sale of non-timber forest products or the provision of recreational opportunities. Pine straw and hunting leases are among the region’s most widely provided products/services [18]. They provide additional income for private forest landowners to fill income gaps between timber harvests and help pay some forest management expenses. Pine straw contributed more than $100 million to Georgia’s economy and accounted for more than 12% of the state’s forestry products (mainly timber, Christmas trees, and pine straw) farm gate value in 2019 [24]. The surveyed foresters were asked to estimate the annual income from these two sources for an average private landowner in their service area. Since longleaf pine is the preferred species for pine straw production in the region [25], the surveyed foresters were asked to estimate the percentage of longleaf pine used for producing pine straw and the average per acre annual income from the sale.
Questions in Part IV were related to non-timber income from forest land (e.g., hunting leases and sale of pine straw). At the end of the questionnaire, participants were asked to express their opinions on a few statements pertaining to the trends in forest management practices in Georgia. For each statement, the choices ranged from strongly disagree (−2) to strongly agree (2). Additionally, there was an open-ended question to collect their opinions and additional comments about the general trend of forest management in Georgia.
All consulting foresters (183) in the database were surveyed by mail in March 2019. Several empirically supported measures [26] were adopted to improve the response rate, including personalization of cover letters, explanation of the importance of survey responses to timberland taxation in Georgia, prepaid return envelopes, and reminder emails four weeks after the initial mailing. Personal interviews were conducted with four consultants for clarification regarding the information in their returned questionnaires.
A total of 47 questionnaires were returned by the end of April 2019. Several respondents indicated that they collectively filled out one questionnaire. After adjusting for this factor, the response rate was 26.22%.
In general, the respondents were shown to be a good representation of the population (Column 4 of Table 1). Interestingly, the foresters certified with the Society of American Foresters had a higher response rate than other credential groups. Furthermore, the results showed that more than half (55%) of the respondents indicated they had been practicing consulting forestry for more than 30 years. Some indicated they had been in forestry for more than 20 years, although they joined the workforce of consulting forestry only recently. An additional 28% reported having more than 20 years of experience as a consulting forester, and 25% reported having been in practice longer than ten years. Only 5% had experience of fewer than five years. This indicated that the respondents were experienced practitioners in the area and had fair firsthand knowledge of forest management practices in Georgia. This would add credence to the survey results. On the other hand, this also suggests possible biases in our survey. The survey results may be skewed toward the opinions and observations of the more experienced and senior subgroup of consulting foresters in Georgia. Providing electronic questionnaires may be a way to improve the response rate of the younger forester group and reduce survey biases for future research.
Additionally, concerns over non-response bias were addressed using a wave analysis. Since we did not record the exact postmark of each replied questionnaire, we were not able to order them by date and conduct a successive wave analysis. However, we were able to identify the last six respondents. Compared to the early respondents (31.7%), a higher percentage of the late respondents (66.7%) indicated that they mostly practiced in the Piedmont region. There is no significant difference in the number of years in consulting forestry between the late respondents and early respondents (p = 0.62).
A Mann–Whitney U-test was used to test the differences in respondents’ opinions regarding the trends of forest management practices in Georgia over the past decade between the late and early respondents. No significant differences were found in the opinions about these statements between these two groups (p = 0.85 for usage of artificial regeneration, p = 0.18 for usage of chemical release, p = 0.30 for usage of prescribed burning, p = 0.46 for planting pines after clearcutting, p = 0.29 for selling pine straw, p = 0.78 for collecting income from hunting leases, and p = 0.96 for custodial management of hardwoods). We could conclude that non-response bias was not a significant concern in this study based on these tests.
Student’s t-tests were used to identify significant differences in mean responses across regions. Chi-squared tests or Fisher’s Exact tests were used for most categorical variables. Mann–Whitney U-tests were used to detect differences in the answers among the respondents regarding a few statements about the observed trend of forest management in the region. The five-point agreement Likert scales were used; a response choice of −2 corresponded with strongly disagree while a choice of 2 corresponded with strongly agree.
3. Results
Of the consulting foresters responding, 63% indicated that they frequently practiced in the Coastal Plain region and 37% practiced mostly in the Piedmont region of the state. To keep the questionnaire short and simple, the surveyed foresters were asked to provide opinions only for the region where they recently frequently practiced.
3.1. Common Forest Management Activities
3.1.1. Rotation and Thinning Age
The respondents were asked to estimate the typical harvesting and thinning age in timber management for a prudent private forest landowner managing the property for timber production in their service region. The median rotation length of planted pine was 30 years, ranging from 20 to 40 years (Table 2). Despite a wider range of rotation ages for pine plantations in the Coastal Plain region, no significant differences were found between the two regions (p > 0.15). Loblolly pine grows faster in the Lower Coastal Plain region and, therefore, is likely to have a shorter rotation age (e.g., 20–25 years), resulting in a wider range of rotation ages for the Coastal Plain region. On average, the first thinning was carried out at age 15, and the second thinning was made at age 20 for planted pine in Georgia.
Table 2.
Rotation and thinning ages by region, forest type, and stand origin.
The average rotation age of natural pine stands was reported to be longer than pine plantations in both regions: 40 years for the Coastal Plain region and 38 years for the Piedmont region. On average, natural pines were harvested as early as age 25 and as late as age 60. The first thinning was normally made around age 20–24, and the second thinning at age 29–33 for natural pine stands.
The average final harvest age was 45–50 years for hardwood stands, ranging from 40 to 80 years, with no significant differences between the two regions (p > 0.72). A great majority of the respondents had not reported thinning age for hardwood stands, indicating it currently is not a common practice in the region or, more likely, a decision made on a case-by-case basis.
3.1.2. Plantation Choices
The respondents were asked to estimate the percentage of Georgia’s family forest landowners who were willing to invest in plantations after a harvest. Furthermore, they were asked to indicate the preferred tree species for commercial timber plantations.
The respondents indicated that ninety percent of their clients in the Coastal Plain region were likely to be willing to invest in pine plantations after a harvest, while a slightly lower percentage (78%) of the clients in the Piedmont region would likely do so with significant differences between regions (p < 0.05).
Loblolly pine was reported as the most preferred tree species if a prudent private forest landowner decides to invest in reforestation after a timber harvest in Georgia. Most of the respondents (90.2%) believed that prudent private forest landowners would choose loblolly pine for timber production. Only a few respondents (7.84%) reported that private forest landowners would choose slash pine, and the remaining respondents (1.96%) expected that private forest landowners would choose shortleaf pine for timber production. No significant differences in the preferred tree species for commercial timber production were found between regions (p > 0.64).
3.1.3. Site Preparation Operations
The respondents were asked to estimate the average percentage of pine plantations in their area receiving various types of site preparation operations (i.e., shear and pile, site-preparation burning, chemical site preparation, herbaceous weed control, fertilization, and others).
Chemical site preparation with herbaceous weed control (broadcast or banded) was the most frequently reported site preparation treatment in Georgia, followed by prescribed burning (Figure 2). Prescribed fire is often used in conjunction with mechanical or chemical site preparation but could be used alone.
Figure 2.
The survey respondents’ reported site preparation practices conducted in pine stands in Georgia.
Thirty percent of the respondents (17 consultants) reported that more than 75% of the pine plantations were treated with chemicals for site preparation. An additional 21% (10 consultants) reported that more than 50% of the plantations received chemical site preparation. A higher percentage of planted pine in the Coastal Plain region received chemical site preparation than that in the Piedmont region (p = 12%).
Twenty-eight percent of the respondents reported that prescribed fire was applied for site preparation for more than 75% of planted pine, and about thirty percent reported that 50%–75% of planted pine had prescribed burning at the establishment. A quarter of the respondents estimated that 25%–50% of the planted pine received prescribed burning. No significant differences were found between regions (p = 93%).
In general, the usage of mechanical site preparation was very limited. About two-thirds of the respondents reported that less than 5% of the pine plantations in the Coastal Plain region received mechanical site preparation treatment. More than 77% of the respondents in the Piedmont region reported a limited application of mechanical site preparation (less than 5%) for planted pine.
Additionally, more than two-thirds (68%) of the respondents reported that fertilization was rarely (less than 5%) used for site preparation of pine plantations. About twenty percent reported that establishment fertilization was applied to 5%–25% of the pine plantations.
3.1.4. Other Forest Management Activities during a Rotation
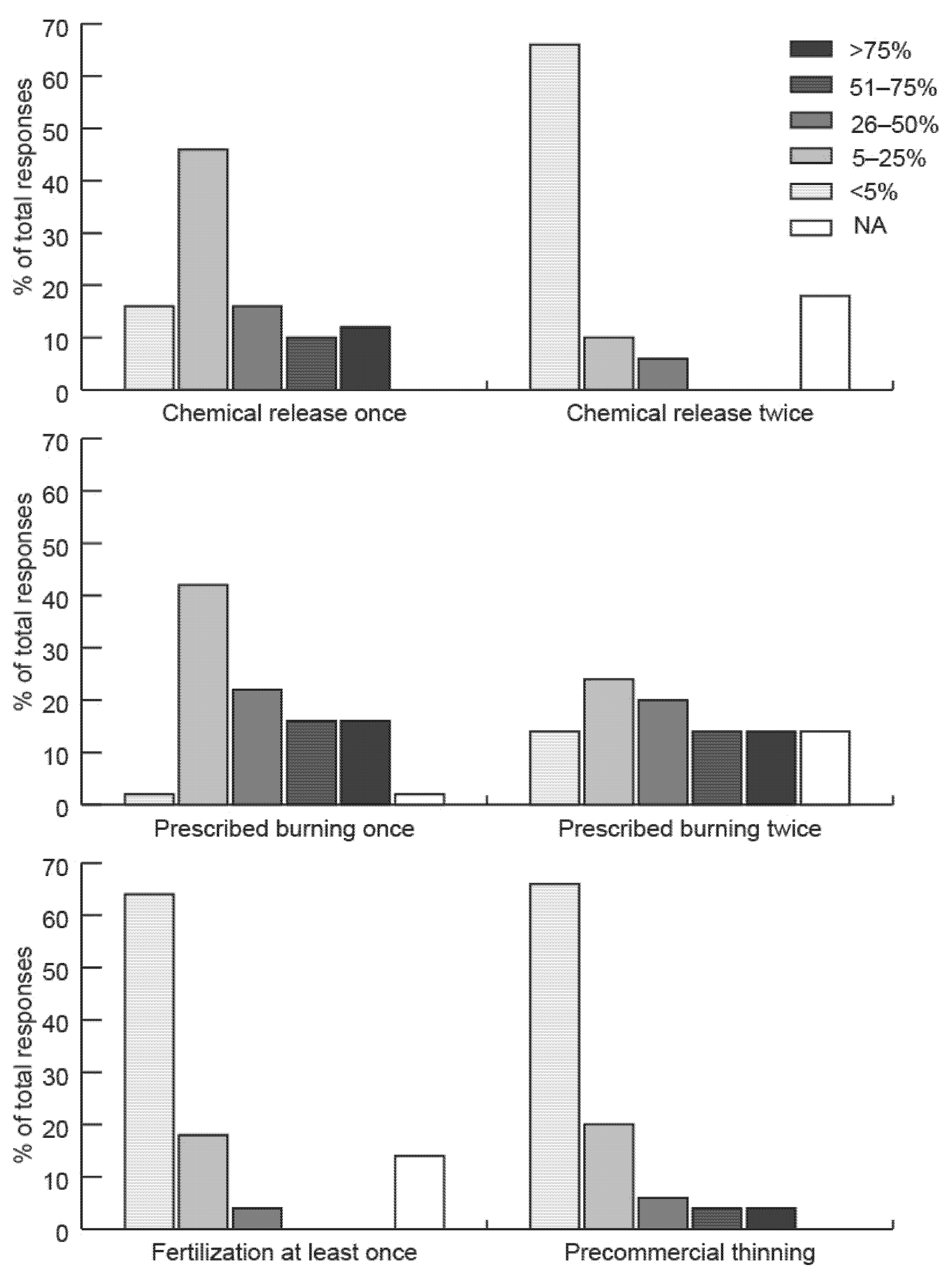
The respondents were asked to estimate the average percentage of private forests that received various mid-rotation silvicultural treatments (chemical release, prescribed burning, fertilization, and pre-commercial thinning) in their region. Due to differences in management intensity among forest types, the estimation was made for pines, mixed forests, and hardwoods separately.
About half of the respondents (46%) believed that 5%–25% of the pines in their region received one application of chemical release during a rotation (Figure 3). Twelve percent of the respondents reported that more than 75% of pines were treated with chemical release and ten percent reported that 50%–75% of planted pines received the treatment. Respondents reported less than 5% or 25%–50% of pines treated with vegetation/woody control chemicals, and each accounted for 16% of the total responding foresters. No significant differences were found between regions (p = 0.50). The respondents’ observations about more intensive use of chemical release were less dispersed. Around two-thirds of the respondents reported that less than 5% of pines in their service region received two applications of chemical release during a rotation. An additional 10% reported the percentage to be 5%–25%.
Figure 3.
The survey respondents’ reported mid-rotation forest management practices conducted in pine stands in Georgia.
Forty-two percent of the respondents reported that 5%–25% of pines were prescribed burned once. Thirty-two percent believed that more than 25% of pines received one treatment of prescribed burning before harvesting. About half of the respondents (44%) reported that less than 25% of pines were prescribed burned more than once during a rotation. No significant differences were found between regions (p = 0.92).
Compared to chemical release and prescribed burning, other timber stand improvement practices such as fertilization and pre-commercial thinning were less commonly used by Georgia’s family forest landowners in pine management. About three-quarters (74%) of the respondents believed that less than 5% of pines managed by family forest landowners received one application of fertilizer. A great majority (95%) reported less than 5% of pine stands were fertilized twice. More than two-thirds (68%) of the respondents reported that less than 5% of pines received pre-commercial thinning. An additional 21% reported the percentage to be 5%–25%. The responses did not differ by region (p = 0.19).
Compared to pines, family landowners managed mixed forests and hardwoods in Georgia less intensively. Many times, a custodial management approach was used. About two-thirds of the respondents (74%) reported that less than 25% of the pine-hardwoods mixed forests in Georgia received chemical release (Figure 4). The portion that received prescribed burning was slightly higher. Hardwoods were managed largely in a custodial manner (Figure 5). Only a very small portion of hardwoods (<5%) received timber stand improvement practices.
Figure 4.
The survey respondents’ reported mid-rotation forest management practices conducted in pine–hardwood mixed stands in Georgia.
Figure 5.
The survey respondents’ reported mid-rotation forest management practices conducted in hardwood stands in Georgia.
3.2. Costs Associated with Forest Management Activities
Using a hypothetical 100-acre loblolly pine stand (site index of 60 at base age 25) as a reference, the surveyed foresters were asked to estimate the unit costs of various services related to owning and managing forests in their region: “For a 100-acre loblolly pine timberland with a site index of 60 (base age = 25), please enter your standard rate by service type. If you contract out the service or your firm does not offer the service, please provide an estimate in the region.”
Table 3 summarizes the respondents’ unit cost estimates of various services by region and type. Median and the interquartile range (difference between the 25th to 75th percentiles) were reported to reduce the impact of outliers.
Table 3.
Estimated unit forest management costs for a hypothetical 100-acre pine tract by region and type ($/acre unless otherwise specified).
3.2.1. Forest Management Plan Preparation Fee
Twenty-four respondents reported their estimates of forest management plan preparation fees. The median management plan preparation fee in Georgia was $1100 per plan. No significant differences were found among regions (p = 0.17).
3.2.2. Site Preparation Planting Costs
Thirty respondents reported information on site preparation costs. Site preparation activities include mechanical site preparation (shear-pile bedding), chemical site preparation, windrow (shear and pile), and burning. The median site preparation costs for mechanical, chemical, windrow, and burning were $210, $85, $175, and $21 per acre, respectively. The differences in average costs were not statistically significant between regions: mechanical site preparation costs (p = 0.17), chemical site preparation costs (p = 0.11), windrow (p = 0.22), and burning (p = 0.21).
Generally, two types of planting methods are used in Georgia: machine planting and hand planting. The median cost was $90 per acre for machine planting and $65 per acre for hand planting. The cost of machine planting was significantly higher than hand planting (p < 0.01). In addition, the average cost for machine planting was higher in the Piedmont region ($92 per acre) than in the Coastal Plain region ($78 per acre), with p = 0.02. In contrast, the average cost for hand planting was not significantly different between the two regions (p = 0.32).
3.2.3. Mid-Rotation Control
The median cost was $40 per acre for herbaceous weed control and $60 per acre for woody control. No significant differences were found in these costs between regions (p = 0.75).
3.2.4. Timber Sale Administration Costs
Approximately half of the respondents reported timber sale administration costs. A turnkey timber sale operation covers all aspects of a timber sale, including timber cruising, marking, advertising, selling, and harvest monitoring. On average, forestry consultants charged 10% of total gross timber sale revenue for a turnkey operation and approximately 6% if only supervising timber sales. Administration costs for a thinning were reported higher than regular harvests, about 12%–15% of gross timber revenue. The average costs for timber marking and cruising were $35 and $10 per acre, respectively. The reported timber sale administration costs between regions did not differ significantly between the regions.
3.2.5. Other Forest Management Costs
Other major forest management activities include land surveying, boundary establishment and maintenance, road construction, and maintenance, prescribed burning, firebreak establishment and maintenance, pre-commercial thinning, and timber stand improvement. Responses on the costs of land surveying, road construction, and road maintenance were very limited. Some respondents indicated that these services were mainly contracted out to other vendors. Therefore, the cost estimates are not available for these practices.
The median costs of boundary line establishment and maintenance were $300 per mile and $200 per mile, respectively. The median prescribed burning cost was $20 per acre. Fees for establishing and maintaining firebreak were normally charged at $85 per hour. Regional differences in these costs were not found significant (p = 0.19 for boundary line establishment cost, p = 0.48 for boundary line maintenance cost, and p = 0.40 for prescribed fire cost).
Only a few respondents reported cost estimates of pre-commercial thinning and timber stand improvement, suggesting they are not commonly conducted on family forest lands in Georgia.
3.3. Non-Timber Income from Forests
3.3.1. Hunting Leases
Table 4 presents the respondents’ estimates of the percentage of forest land leased for hunting purposes in Georgia and the estimated annual hunting lease income. The respondents estimated that, on average, around 75% of the forest land in Georgia was leased for hunting purposes. A significantly higher portion of pines was leased for hunting than hardwoods (64%) and mixed forests (68%). There were no significant differences in the percentage of forest land leased for hunting between the two regions.
Table 4.
Estimated percentage of forest land leased for hunting purposes by forest type and region in Georgia and average hunting lease rate.
Since a vast majority of corporate forest land in Georgia was leased for hunting [27], the percentage of family forests available for hunting leases would be lower than 75%. Considering the shares of corporate (8.5 million acres) and family forests (13.4 million acres) among total private forests, an estimated 60%–70% of family forests in Georgia were leased for hunting.
On average, the annual hunting lease rates were about $10 per acre for pine stands and $12 per acre for hardwoods and mixed forests. The differences were significant between forest types (p < 0.01) but not significant across regions (p > 0.67). An additional $2 per acre per year would be incurred by the forest landowners to facilitate the provision of hunting services. Costs may include the installation of food plots, legal fees to review the lease agreement, insurance premiums, and practices that improve the habitat of the game species. The gap between median and mean annual costs was large, suggesting that a wide range existed among landowners.
3.3.2. Income from Pine Straw
About half of the longleaf pine in Georgia was used for raking and pine straw production (Table 5). On average, Georgia’s landowners were able to receive about $165 per acre from the sale of longleaf pine straw. Differences in the estimated per acre annual income from pine straw sales were not significant between the two regions.
Table 5.
Percentage of Georgia’s longleaf pine used for pine straw and average annual income.
3.4. Opinions on the Trends of Forest Management Practices
Table 6 shows the results of the respondents’ opinions regarding the trends of forest management practices in Georgia over the past decade. There are several observations:
Table 6.
Respondents’ average Likert-scale level of agreement with statements pertaining to current trends in forest management in their region of Georgia.
- The respondents believed that an important portion of Georgia’s forest landowners generate income from hunting leases;
- Many survey respondents agreed that prescribed burning is being increasingly used in Georgia. It indicated that landowners were conscious of protecting their forest lands from wildland forest fires and unwanted species;
- The survey respondents agreed that the usage of chemical release has increased. It suggested that landowners were increasingly concerned about forest health and productivity;
- Reforestation has increasingly gained popularity among forest landowners;
- Forest management of hardwoods is mostly custodial (e.g., paying taxes and maintaining boundaries) in Georgia.
Mann–Whitney U-tests were used to compare if there was a regional difference in the responses. No significant differences were found between regions in the respondents’ opinions about these statements, with one exception. The respondents in the Coastal Plain region were more likely to agree that more landowners choose to plant pines after a harvest than those in the Piedmont region (p = 0.10).
Additionally, the respondents were asked to comment on the status and trends of forest management in Georgia. Surveyed foresters expressed a few common concerns about forest management in Georgia: (1) Forest land was under intense conversion pressure for pecan, and other agricultural uses in the Upper Coastal Plain region (n = 2); (2) Continued depressed timber stumpage prices discouraged private landowners from investing in reforestation (n = 3); (3) There may be a need for some private family forest landowners to improve access to market and strengthen their market power (n = 2); (4) Ad valorem taxes are confiscatory for private forest landowners in some counties of Georgia (n = 2).
4. Discussion
4.1. Status and Trends in Georgia Family Landowners’ Forest Management
The results of this study are highly generalized, and it is recommended to regard them as suggested management regimes for a particular timber stand. Meanwhile, response rates for certain questions are not as high as expected. Caution should be taken when the results are applied. However, the results provided a snapshot of how private forests were managed in Georgia and suggested a general trend over the past decade. Family forest landowners in Georgia were shown, in general, to manage pines more intensively than hardwood and pine–hardwood forests in terms of site preparation, planting, and mid-rotation control. Pines grow faster and can be harvested sooner than the other two forest types. The intensive management of pines was believed to generate attractive financial returns to private landowners [21,28].
Respondents reported a continued trend of the increase in pine plantations in Georgia. Previous empirical studies suggest that federal cost-share programs have positively affected tree planting in the South [1,22,29]. Major existing programs include the Environmental Quality Incentives Program (EQIP) administered by the Natural Resources Conservation Service (NRCS), the Conservation Reserve Program (CRP) administered by the Farm Service Agency (FSA), and the Southern Pine Beetle (SPB) cost-share program administered by the Georgia Forestry Commission (GFC). Qualifying landowners were able to get financial (e.g., 75% of reforestation costs) and technical assistance in tree planting from these programs. Loblolly pine was reported as the most frequently chosen timber species for plantations after harvest. The increase in plantations also has advanced the adoption of improved seedlings. Cultured to adapt to Georgia’s climate and soils, improved seedlings provided by the GFC nursery and private nurseries in the region have a higher survival rate, grow faster, yield larger timber volumes, and have better disease resistance than the seedlings used decades ago.
Site preparation was normally used to facilitate the establishment of a pine plantation, either on cutover sites or agricultural fields. Our study showed that chemical treatment accompanied by burning was commonly used as a cost-effective way for site preparation in Georgia. For competition control, prescribed burning and/or chemical release were conducted on a moderate percentage of pines in Georgia for mid-rotation management. Despite the potential to improve timber productivity [30,31], some silvicultural practices such as fertilization and pre-commercial thinning were not commonly used by private forest landowners. This observation was similar to the findings from a study on southern forestry practices [16,32]. Overall, the result was consistent with the observations of other researchers in that tree improvement, site preparation, and competition control (mainly prescribed fire) were among the top silvicultural practices contributing to the productivity of pine plantations in the U.S. South in the past decade [23]. It may suggest that there is still room for improvement in intensive forest management practices for family forest landowners in the area.
Although knowledge about more intensive silvicultural activities pertaining to hardwoods and mixed forests may have improved [33], it was common for a Georgia family forest landowner to manage stands in these two forest types using a hands-off approach. The most recent Forest Inventory Analysis (FIA) reported that a vast majority of mixed forests and hardwoods in Georgia originated naturally [7].
4.2. Forest Management Costs
In general, the cost estimates from this study were consistent with the estimates reported by other similar studies conducted at the regional or state level [16,32,34,35,36], with a few exceptions.
Obtaining a forest management plan could be quite costly for a private family forest landowner in Georgia. The median cost of a forest management plan for a 100-acre pine tract in Georgia was similar to those from an earlier study in Mississippi if inflation is adjusted for [34]. This may partially explain the low percentage of Georgia’s family forests having a written management plan, as reported by the USDA Forest Service National Woodland Owner Survey (NWOS) [11]. The survey found that less than 10% of the ownerships and less than 30% of the acreage of family forests in Georgia were covered by a written forest management plan in 2018. Consulting foresters prepared 37% of the total forest management plans. Nevertheless, once a plan is in place, as high as 95% of the family forests have implemented the management plan. Previous studies found that having a professionally prepared management plan is often the first step for family forest landowners to get help from assistance foresters (consulting foresters, industrial foresters, and public foresters) in their forest management [12]. Although not required by law, many county tax assessors in Georgia regard having a forest management plan as an indicator of good-faith timber production in assessing whether a property is eligible for current use property tax relief. This suggests that any assistance or effort targeted at reducing a family forest landowner’s cost of getting a forest management plan would likely direct family forest landowners to get more professional assistance in forest management.
The mechanical site preparation costs reported by this study ($210/acre) were higher than the 2018 regional average ($182/acre) reported by Maggard and Barlow [32]. We were not able to make statistical inferences regarding the significance of the difference, though. There are several possible causes that could potentially contribute to the difference. Mechanical site preparation has various techniques, and specific site conditions (e.g., topography, vegetation condition, soil condition, and tree species) largely determine the type of techniques needed for the practice. The combination of various techniques has different implications for mechanical site preparation costs. The shear-pile bedding specified in our study was close to the mechanical site preparation in double passes reported in Maggard and Barlow [32], while windrow (shear and pile) was similar to their specification in a single pass. The difference in mechanical site preparation costs would be smaller if these were taken into consideration. The statistical method of reporting also could play a role. Our study used median with the 25th–75th percentile, while the regional study reported averages weighted by acreage treated by different techniques. Costs also could vary by forest tract size. As the tract size increases, the average costs per acre for some forestry practices decrease because of economies of scale. In our survey, the foresters were asked to estimate the costs for a hypothetical 100-acre pine stand. The regional cost trend study focused on the actual acreage assisted and the costs associated with the practices in the study period.
Additionally, the cost estimates for prescribed burning (for site preparation or understory control) from our study ($20/acre) were similar to the findings ($21.05/acre in 2015) in Mississippi [36] but lower than those ($31.92/acre in 2018) reported by the regional study. Maggard and Barlow [32] suggested that prescribed burning costs more in the Piedmont than in other regions, while our study showed no statistical difference in the prescribed burning costs between the Piedmont region and the Coastal Plain region.
4.3. Opportunities and Issues
Besides timber sales, many landowners in Georgia get income from hunting leases and pine straw. Based on the respondents’ estimates of private forests leased for hunting, about 60%–70% of family forests in Georgia were leased for this purpose. However, this was significantly higher than the percentage (32%) reported by the NWOS [11] and the acreage (5.6 million acres for hunting leases—deer and 2.2 million acres for hunting leases—turkey in 2019) estimated by the University of Georgia Cooperative Extension [24].
Previous studies show that hunting lease fees vary by game species on the property, property amenities, and region [37,38,39]. The median annual hunting lease rate ($12 per acre) reported by the respondents in this study was largely consistent with those reported in previous studies [18,24]. Stubbs [26] reported that the weighted average annual hunting lease (deer) rate was $15.69 per acre, ranging from $10 to $30 per acre in the top 10 counties in Georgia in 2019 [24]. A report by F&W Forestry Services suggested that the range of annual hunting lease rate per acre was from $10 to $15 in southwest Georgia in 2015 [18]. Interestingly, this study differed from some previous studies regarding the effects of the physiographic region on hunting leases [37,39] and agreed with the results by Mingie et al. [40] that hunting leases/club dues were not significantly different across physiographic regions. Nevertheless, this study supported previous results that the hunting lease rate for hardwood was higher than for pines [37,39]. Hardwoods and mixed forests are generally believed to provide better habitat for major game species and thus are associated with better game quality, abundance, and diversity [41].
5. Conclusions
Forest management costs could vary by state and subregion. Average costs reported by regional studies serve as a good reference for general trends in the region. It is prudent to periodically collect costs data for a state or subregion to complement the regional cost studies. This need is acute when the cost data are used for more specific uses (e.g., timberland valuation for property tax purposes or timberland investment decisions).
The benchmark data are critical inputs for estimating financial returns from timberland investment, valuing timberland for forestry uses, and assessing regional timber supply from family forest landowners. Conducting this type of study periodically could provide insight into general trends in forest management intensity and costs and generate useful inputs for long-term timber supply analysis of the region.
Additionally, a comparison with the earlier study in Georgia [19] suggested that timber inventory and preparation of forest management plans are still the most popular services provided by the consulting foresters. Still, an increased portion of them offered wildlife management, recreational land development, and real estate-related services. On the one hand, this suggests that private forests have been increasingly managed and owned for multiple objectives in the state. On the other hand, it also suggests that consulting foresters need to expand their knowledge and expertise beyond traditional silvicultural practices and build their toolbox of skills to meet the growing demand of their clientele.
Author Contributions
Conceptualization, Y.L.; methodology, S.G.C.; software, S.G.C.; validation, S.G.C. and Y.L.; survey design, Y.L., R.L.I. and J.P.; survey administration and data entry, J.P.; formal analysis, S.G.C. and Y.L.; resources, Y.L.; data curation, Y.L.; writing—original draft preparation, S.G.C.; writing—review and editing, R.L.I. and Y.L.; supervision, Y.L.; project administration, Y.L.; funding acquisition, Y.L. All authors have read and agreed to the published version of the manuscript.
Funding
A portion of this research was supported by a grant from the Georgia Department of Revenue and a grant from the University of Georgia Research Foundation, Inc.
Data Availability Statement
Original data are not available to protect the respondents’ confidentiality. Aggregated data are available upon request.
Acknowledgments
The authors would like to express sincere thanks to all the consulting foresters in Georgia who contributed their valuable time and thoughtful information by responding to the survey. We are grateful for the help from David Dickens during the stage of questionnaire design. All errors remain our own.
Conflicts of Interest
The authors declare no conflict of interest.
References
- Georgia Forestry Commission. Georgia Statewide Assessment of Forest Resources 2015; Georgia Forestry Commission: Dry Branch, GA, USA, 2015. [Google Scholar]
- Butler, B.J.; Butler, S.M. Family Forest Ownerships with 10+ Acres in Georgia, 2011–2013; USDA Forest Service, Northern Research Station: Newtown Square, PA, USA, 2016.
- Georgia Forestry Commission. Economic Benefits of the Forest Industry in Georgia Statewide Assessment of Forest Resources: 2018; Georgia Forestry Commission: Dry Branch, GA, USA, 2020. [Google Scholar]
- Stein, S.M.; McRoberts, R.E.; Mahal, L.G.; Carr, M.A.; Alig, R.J.; Comas, S.J.; Theobald, D.M.; Cundiff, A. Private Forests, Public Benefits: Increased Housing Density and Other Pressures on Private Forest Contributions; USDA Forest Service, Pacific Northwest Research Station: Portland, OR, USA, 2009.
- Moore, R.; Williams, T.; Rodriguez, E.; Hepinstall-Cymmerman, J. Quantifying the Value of Non-Timber Ecosystem Services from Georgia’s Private Forests; Warnell School of Forestry and Natural Resources, University of Georgia: Athens, GA, USA, 2011. [Google Scholar]
- Brandeis, T.J.; McCollum, J.; Hartsell, A.; Brandeis, C.; Rose, A.K.; Oswalt, S.N.; Vogt, J.T.; Marcano-Vega, H. Georgia’s Forests, 2014; USDA Forest Service, Southern Research Station: Asheville, NC, USA, 2016.
- USDA Forest Service Forest Inventory and Analysis Program. Forest Inventory EVALIDator Web-Application Version 1.8.0.01; USDA Forest Service, Northern Research Station: St. Paul, MN, USA, 2021.
- Conway, M.C.; Amacher, G.S.; Sullivan, J.; Wear, D. Decisions nonindustrial forest landowners make: An empirical examination. J. For. Econ. 2003, 9, 181–203. [Google Scholar] [CrossRef] [Green Version]
- Newman, D.; Wear, D. Production economics of private forestry: A comparison of industrial and nonindustrial forest Owners. Am. J. Agric. Econ. 1993, 75, 674–684. [Google Scholar] [CrossRef]
- Pattanayak, S.; Murray, B.; Abt, R. How joint is joint forest production? An econometric analysis of timber supply conditional on endogenous amenity values. For. Sci. 2002, 48, 479–491. [Google Scholar] [CrossRef]
- Butler, B.J.; Butler, S.M.; Caputo, J.; Dias, J.; Robillard, A.; Sass, E.M. Family Forest Ownerships of the United States, 2018: Results from the USDA Forest Service, National Woodland Owner Survey; USDA Forest Service, Northern Research Station: Madison, WI, USA, 2021.
- Zhang, D.; Warren, S.; Bailey, C. The role of assistance foresters in nonindustrial private forest management: Alabama landowners’ perspectives. South. J. Appl. For. 1998, 22, 101–105. [Google Scholar] [CrossRef] [Green Version]
- Zhang, D.; Mehmood, S. Predicting nonindustrial private forest landowners’ choices of a forester for harvesting and tree planting assistance in Alabama. South. J. Appl. For. 2001, 25, 101–107. [Google Scholar] [CrossRef] [Green Version]
- Larson, D.; Hardie, I. Seller behavior in stumpage markets with imperfect information. Land Econ. 1989, 65, 239–253. [Google Scholar] [CrossRef]
- Munn, I.A.; Rucker, R.R. Predicting forestry consultant participation based on physical characteristics of timber sales. J. For. Econ. 1998, 4, 105–126. [Google Scholar]
- Maggard, A.; Barlow, R. Special Report: 2016 Costs and Trends for Southern Forestry Practices; Forest Landowner: Carrollton, GA, USA, 2017; pp. 31–39. [Google Scholar]
- Callaghan, D.W.; Khanal, P.N.; Straka, T.J. An analysis of costs and cost trends for southern forestry practices. J. For. 2019, 117, 21–29. [Google Scholar] [CrossRef]
- F&W Forestry Services. Hunting Leases; F&W Forestry Report: Albany, GA, USA, 2014. [Google Scholar]
- Hodges, D.G.; Cubbage, F.W. Private forestry consultants: 1983 status and accomplishments in Georgia. South. J. Appl. For. 1986, 10, 225–230. [Google Scholar] [CrossRef]
- Hodges, D.G.; Cubbage, F.W. Nonindustrial private forest management in the South: Assistance foresters’ activities and perceptions. South. J. Appl. For. 1990, 14, 44–48. [Google Scholar] [CrossRef]
- Yin, R.; Sedjo, R.A. Is this the age of intensive management? A study of loblolly pine on Georgia’s Piedmont. J. For. 2001, 99, 10–17. [Google Scholar] [CrossRef]
- Alig, R.J.; Lee, K.J.; Moulton, R.J. Likelihood of Timber Management on Nonindustrail Private Forests: Evidence from Research Studies; USDA Forest Service, Southeastern Forest Experiment Station: Asheville, NC, USA, 1990.
- Fox, T.R.; Jokela, E.J.; Allen, H.L. The development of pine plantation silviculture in the southern United States. J. For. 2007, 105, 337–347. [Google Scholar] [CrossRef]
- Stubbs, K. 2019 Georgia Farm Gate Value Report; University of Georgia Center for Agribusiness and Economic Development: Athens, GA, USA, 2020. [Google Scholar]
- Dyer, J.F.; Barlow, R.J.; Kush, J.S.; Gilbert, J.C. Pine Straw Production: From Forest to Front Yard. In Proceedings of the 16th Biennial Southern Silvicultural Research Conference, Charleston, SC, USA, 14–17 February 2011; pp. 100–108. [Google Scholar]
- Dillman, D.A. Mail and Internet Surveys: The Tailored Design Method, 2nd ed.; John Wiley & Sons Inc.: Hoboken, NJ, USA, 2007; p. 523. [Google Scholar]
- Morrison, H.S., IV; Marsinko, A.P.; Guynn, D.C. Forest Industry Hunt-Lease Programs in the Southern United States: 1999. In Proceedings of the Fifty-Fifth Annual Conference of Southeastern Association of Fish and Wildlife Agencies, SEAFWA, Louisville, KY, USA, 13–17 October 2001; pp. 567–574. [Google Scholar]
- Yin, R.; Pienaar, L.; Aronow, M. The productivity and profitability of fiber farming. J. For. 1998, 96, 13–18. [Google Scholar] [CrossRef]
- Li, Y.; Zhang, D. A spatial panel data analysis of tree planting in the US South. South. J. Appl. For. 2007, 31, 192–198. [Google Scholar] [CrossRef] [Green Version]
- Jokela, E.J.; Stearns-Smith, S.C. Fertilization of established southern pine stands: Effects of single and split nitrogen treatments. South. J. Appl. For. 1993, 17, 135–138. [Google Scholar] [CrossRef]
- Dickens, E.D.; Moorhead, D.J.; Kissel, D.E.; Morris, L.A. Mid-Rotation Rate of Return (ROR) Estimates with a Single Nitrogen+Phosphorus or Nitrogen+Phosphorus+Potassium Fertilizer Application in Loblolly, Longleaf, and Slash Pine Stands; Warnell School of Forestry and Natural Resources, University of Georgia: Athens, GA, USA, 2016. [Google Scholar]
- Maggard, A.; Barlow, R. 2018 Costs and Trends for Southern Forestry Practices; FOR-2073; Auburn University (AL), Alabama Cooperative Extension System: Auburn, AL, USA, 2019. [Google Scholar]
- Clabo, D.; Peairs, S.; Dickens, E.D. Managing Upland Loblolly Pine-Hardwood Forest Types for Georgia Landowners; WSFNR-19-50; Warnell School of Forestry and Natural Resources, University of Georgia: Athens, GA, USA, 2019. [Google Scholar]
- Wright, W.C.; Munn, I.A. 2013 Fees and Services of Mississippi’s Consulting Foresters; Forest and Wildlife Research Center, Mississippi State University: Starkville, MS, USA, 2016. [Google Scholar]
- Watkins, C.C.; Munn, I.A. Fees and Services of Consulting Foresters in Mississippi; Forest and Wildlife Research Center, Mississippi State University: Starkville, MS, USA, 1999. [Google Scholar]
- Godar Chhetri, S.; Gordon, J.; Munn, I.; Henderson, J. Comparison of the timber management expenses of non-industrial private forest landowners in Mississippi, United States: Results from 1995–1997 and 2015. Environments 2019, 6, 107. [Google Scholar] [CrossRef] [Green Version]
- Rhyne, J.D.; Munn, I.A.; Hussain, A. Hedonic analysis of auctioned hunting leases: A case study of Mississippi Sixteenth Section Lands. Hum. Dimens. Wildl. 2009, 14, 227–239. [Google Scholar] [CrossRef]
- Zhang, D.; Hussain, A.; Armstrong, J.B. Supply of hunting leases from non-industrial private forest lands in Alabama. Hum. Dimens. Wildl. 2006, 11, 1–14. [Google Scholar] [CrossRef]
- Munn, I.A.; Hussain, A. Factors determining differences in local hunting lease rates: Insights from Blinder-Oaxaca decomposition. Land Econ. 2010, 86, 66–78. [Google Scholar] [CrossRef]
- Mingie, J.C.; Poudyal, N.C.; Bowker, J.M.; Mengak, M.T.; Siry, J.P. A hedonic analysis of big game hunting club dues in Georgia, USA. Hum. Dimens. Wildl. 2017, 22, 110–125. [Google Scholar] [CrossRef]
- Harris, L.D. Bottomland Hardwoods: Valuable, Vanishing, Vulnerable; Florida Cooperative Extension Service, Institute of Food and Agricultural Services, University of Florida: Gainesville, FL, USA, 1984. [Google Scholar]
Publisher’s Note: MDPI stays neutral with regard to jurisdictional claims in published maps and institutional affiliations. |
© 2022 by the authors. Licensee MDPI, Basel, Switzerland. This article is an open access article distributed under the terms and conditions of the Creative Commons Attribution (CC BY) license (https://creativecommons.org/licenses/by/4.0/).




