Abstract
The increasing concern about ecological impacts of wood preservation chemicals has raised the interest in the natural durability of Scots pine (Pinus sylvestris L.) heartwood. Phenolic compounds—stilbenes—have been found to inhibit fungal growth, making heartwood more resistant to decay. There is a strong genetic component in the stilbene content of the heartwood in Scots pine, with a positive correlation between stilbene content in the heartwood of mother trees and their progenies. Vegetative propagation, i.e., somatic embryogenesis (SE) of Scots pine genotypes with high content of stilbenes could provide a way to produce more durable timber, assuming that there is no trade-off between SE propagation and capacity for high stilbene synthesis. To study this, we made SE initiations from parent genotypes with high and low content of stilbenes in their heartwood, using seed embryos from both open-pollinations and controlled crossings as explants. The success of SE was followed from initiation to embling acclimatization, together with measurements of stilbene content in the explants and the established SE lines. The results show that SE can be induced and emblings regenerated from trees with both high and low content of stilbene. Content of stilbenes was generally low in SE cultures and varied widely among the lines. Following the successful initiation, the later phases of SE propagation proceeded with no connection to the parent genotypes or the stilbene level of the ECs and had large variation among SE-lines.
1. Introduction
Scots pine (Pinus sylvestris L.) is the most widely spread species in genus Pinus and economically it is a very important tree species in the Northern hemisphere. Its wood is used as building and construction wood, for furniture, with further processing as veneer, fiberboards, or chipboards; and to some extent also for pulp and paper production [1]. As organic material, wood in construction is prone to deterioration due to attacks by microbes and fungi. Wood decay resistance has been increased by using super effective wood preservation chemicals, but in recent years, their application has been legally restricted due to the increasing concern about their environmental impacts [2]. This has raised interest in the natural durability of construction wood, in which chemical properties of Scots pine heartwood are considered important.
Heartwood is transformed from the inner layers of the ageing sapwood and is a normally occurring part of the xylem in mature trees [3,4]. In Scots pine, the formation of heartwood is related to the constitutive synthesis of phenolic compounds, stilbenes, and accumulation of resin acids [5]. Scots pine heartwood timber is generally quite durable against brown rot decay caused by cellar fungus Coniophora puteana (Schum. ex Fr.), but the resistance varies widely [6,7], which is connected to the variation in the content of phenolic compounds, mainly stilbenes [8,9,10,11,12,13]. The variation in heartwood stilbene content between individual trees has been found to be highly inherited [14,15,16], and depending on the application it offers a possibility to direct breeding for special Scots pine lines producing higher or lower content of stilbenes in their heartwood. An obstacle in breeding the chemical quality of heartwood is the late age of the beginning of heartwood formation, which delays the selection for several decades, making it practically unprofitable.
The solution for developing tools for early testing might arise from the fact that stilbenes are stress-inducible defense compounds as well. Various types of tissues in Scots pine seedlings have been found to activate stilbene synthesis and produce stilbenes in response to, e.g., ultraviolet irradiation [17,18], ozone fumigation [18,19], fungal infection [20,21], or mechanical wounding [22,23]. In the study [22] of Harju et al., there was indication that the mechanically induced production of phenolic stilbenes in the seedlings (h2 = 0.62) was related to the developmentally programmed content of stilbenes in the heartwood of their mature maternal parents. Thus, methods for early selection by combining the phenotypic measurements of parent trees to the measurements of their young progenies could possibly be developed.
To get selected material, e.g., high-phenolic Scots pine genotypes, available for forest regeneration, vegetative propagation could be utilized instead of traditional seed production in seed orchards. In conifers, somatic embryogenesis (SE) is expected to be a highly potential propagation method tool due to its high multiplication rate and the maintenance of material’s juvenility via cryopreservation allowing, e.g., early testing of the materials [24]. In Scots pine, however, there is wide variation among donor trees in their SE initiation frequency, and the embryo production capacity varies among the genotypes, as reviewed by [25]. SE is a complicated process controlled by complex regulatory networks that remains partly unrevealed but is known to be affected by genetic and physiological factors [26]. Production of phenolic compounds involved in defense reactions has been suggested to interfere with SE process [27,28]. Due to the connection between constitutive and mechanically induced content of stilbenes in Scots pine wood tissue [22], effects of mechanical excision of explants during SE initiation may differ among parent trees and be further reflected in the success in SE.
The prospect of using SE for producing Scots pine forest regeneration material having a high tendency to synthetize stilbenes in their heartwood exists only if there is no trade-off between SE propagation and capacity for high stilbene synthesis. We hypothesize that in the case, where there is no trade-off, there is no difference in SE initiation rate, culture proliferation, somatic embryo production capacity, or embling performance between parent genotypes having high or low stilbene content in their heartwood.
The aim of this pilot study was to examine whether the inherent capacity for high stilbene synthesis of parent trees interferes with SE-plant production in Scots pine. Furthermore, we studied the content of stilbenes during the SE propagation to evaluate whether detectable differences in SE progenies can be already found at this stage. As far as we know, there are no studies where SE has been initiated and emblings regenerated from Scots pine parent trees according to their stilbene content.
2. Materials and Methods
2.1. Selection of Parent Genotypes and Their Controlled Crossings for Explant Production
Parent genotypes were selected in 2011 among 37-year-old grafts growing in a clonal collection of Scots pine in Punkaharju (61°48′ N and 29°19′ E, 90 m a.s.l.), Finland. The selection was based on the previously determined content of total phenolics in the heartwood of 23 genotypes using Folin Ciocalteu (FC) assay (unpublished data). FC assay had been found to predict well the Scots pine heartwood decay resistance against cellar fungus [10]. For phenolic analysis, in March 2004, increment cores 5 mm in diameter had been drilled from stochastic directions to the pith of the stem, from two grafts in each genotype. Increment cores from the height of 130 cm included both sapwood and heartwood. The boundaries between them were marked with pencil immediately after drilling based on their moisture difference. The mean number of heartwood annual rings was 11.3 (SD = 2.6). From each increment core, on average 31-mm-long (SD = 4.6 mm) heartwood specimens were sampled and dried in +60 °C oven for 24 h, after which they were ground with an analysis mill (Kinematica AG, Malters, Switzerland) for FC assay to determine the content of total phenolic compounds. The heartwood specimen contained 4.5 annual rings on an average (SD = 0.7) and they were the annual rings from 5 to 8 counted as precisely as possible from the pith.
The protocol of FC assay was described in [10,29]. A 100 mg sample of milled heartwood was extracted with 5 mL of 80% (v/v) aqueous acetone for 30 min and was washed two times for 5 min (see [30]). The absorption was measured at 735 nm using tannic acid as a standard, and thus, the results were expressed as tannic acid equivalents (TAE) per gram dry mass of wood.
The content of total phenolics in the heartwood samples of the selected six genotypes in 2004 are presented in Table 1. These results were used later to plan reciprocal controlled crosses that were performed in 2011 within low-phenolic-content (genotypes K917, K699, and K927) and high-phenolic-content (genotypes K836, K912, and K803) grafted parents (Table 1) using forced pollen. Due to poor pollen production in 2011, the two controlled crosses with clone K699 pollen were performed in 2012.
Table 1.
The original plan for controlled crossings to produce explants for SE initiation. The content of total phenolics as tannic acid equivalents (TAE) (measured in 2004 using Folin Ciocalteu (FC) assay), and content of pinosylvin (PS) and pinosylvin monomethyl ether (PSM) (both measured in 2012 using HPLC) in the heartwood of parent genotypes are presented.
2.2. SE Initiation
One-year-old immature seed cones were collected from the six selected Scots pine parent genotypes, in 2011 following open-pollination, and in 2012–2013 from controlled crossings, as described in Table 1. Every year, the cones were collected during several sequential stages, when the temperature sum was between 480 and 700 d.d. (degree days, temperature sum with a threshold of +5 °C). The cones were stored in the cold room (+2 °C) until used for tissue culture initiation within the following month.
SE initiations were performed according to [31]. In brief, immature seeds removed from the cones were surface-sterilized for 5 min in 70% ethanol and rinsed three times with sterile water, after which the immature zygotic embryos (ZE) surrounded by megagametophyte were put on initiation medium. Initiations were then kept without subculturing in the dark at room temperature for 10 weeks, followed by examination and picking up induced embryogenic tissues onto proliferation medium.
In 2011, the cone collections were performed at the following d.d.s: 480 (28.6), 526 (1.7), 576 (5.7), 623 (8.7), and 693 (12.7). Both DCR- [32,33] medium containing 13.5 µM 2,4-D and 2.2 µM BA and LM- [34] medium containing 2.2 µM 2,4-D and 2.3 µM BA were used for SE initiation. The DCR medium was solidified with 2.5 g/L Phytagel, and the LM medium with 4 g/L Phytagel, and both media contained 30 g/L sucrose. Thirty explants per maternal genotype and collection time was put on each medium, i.e., altogether 1800 initiations were made.
In 2012, the cones from the 2011 controlled crossings were collected when the d.d. was 554 (9.7), 593 (12.7)., 638 (16.7), and 665 (19.7). Only LM-medium was used, and the number of explants per genotype and collection time varied from 50 to 120, the total number of initiations being 2645. A part of explants, i.e., 465, 30–245 per a collection time, was treated slightly differently, i.e., the megagametophyte surrounding the ZE was cut into halves, trying not to harm the ZE that was picked up after a few days and transferred directly onto SE initiation medium.
In 2013, the cones from the 2012 controlled crossings were collected at the d.d. 550 (27.6), 600 (30.6), and 650 (3.7). As in 2012, only LM medium was used, and 100 explants per genotype and collection time were subjected for SE initiation, the total number of initiations being 600.
2.3. SE Proliferation, Maturation, Embryo Germination, and Conversion
Embryogenic tissues that continued to grow on proliferation media following excision from the explants were considered as established embryogenic cultures (ECs). Proliferation of ECs was performed according to [31]: the ECs initiated on DCR medium were cultured as small tissue clumps on DCR medium containing 9.1 µM 2,4-D and 2.2 µM BA and 30 g/L sucrose, solidified with 2.5 g/L of Phytagel, and, respectively, the ECs initiated on LM medium were cultured on the same LM medium as used for initiation. Subculturing onto fresh medium was done in 2-week intervals by dividing the tissue clumps into smaller pieces and discarding the brownish inner parts (if any). The proliferation rate of ECs was measured with 32 SE lines originating in the controlled crossings and growing on LM medium. The tissue was weighed, transferred onto a fresh medium, and reweighted after 2 weeks of proliferation. The achieved weight was divided by starting weight to get the growth factor. For each line, three replicates were weighted, and the 2-week proliferation period repeated twice (first subculture and second subculture).
Maturation of somatic embryos was performed according to [34] on LM maturation medium containing 80 µM abscisic acid (ABA) and 0.2 M sucrose, solidified with 10 g/L of Phytagel. Briefly, after one week from the last subculture, approximately 150–200 mg of EC was weighed, suspended in liquid LM medium, and spread onto filter paper using Büchner funnel and suction, as described by [25], preparing 3–5 replicates per genotype. Following eight weeks on maturation medium, the number of mature cotyledonary somatic embryos was counted, and the embryos picked up for germination.
Germination took place according to [25], i.e., the embryos were placed horizontally on DCR-based medium, MB5, containing 0.09 M sucrose and 2 g/L Phytagel without growth regulators, in the dark at +22 °C. Germinating embryos with a developing root were transferred into a vertical position, with the root in the medium, onto modified half-strength DCR medium, MB6, containing 0.06 M sucrose, 250 mg/L L-glutamine, and 10 g/L agar in glass jars, and grown under a 16/8 h light/dark photoperiod, under the cool white fluorescent lamps, with 45–75 µmol m−2 s−1, at 22 °C. Following the cultivation in glass jars, the germinants were potted in peat:perlite (1:1) and grown in the greenhouse as described by Aronen et al. (2009), 0.2% Taimi Superex (NPK: 19-4-20, manufactured by Kekkilä LtD., Vantaa, Finland) being used as fertilizer, and Entonem (Koppert, Berkel en Rodenrijs, The Netherlands) for controlling dark-winged fungus gnats (Sciaridae) and Mogeton WP (Agro-Kanesho Co., Ltd., Tokyo, Japan) for controlling moss and liverwort, both according to the manufacturer’s instructions. The survival of the germinants at the greenhouse was observed, and the height of the living ones measured at the end of the first growing season.
2.4. Chemical Analysis of SE Lines
Samples for stilbene analysis were collected (1) from parent heartwood (increment cores sampled in 2012), (2) from initiated and non-initiated explants originating from open pollination and their proliferating ECs, and (3) from proliferating ECs from the controlled crossings, and freeze-dried. Within each maternal genotype, the explants originating from open pollination were pooled into a few separate batches according to their initiation success. The pooling was partly done according to the cone collection d.d., but some of the batches included explants from all the collection dates. Only part of each batch was included in the stilbene analysis.
Samples (20–40 mg) were homogenized in 600 μL of ice-cold methanol for 30 s at 5500 g with a Precellys homogenizer (Bertin Instruments, Montigny-le-Bretonneux, France), incubated in an ice bath for 15 min before re-homogenization (according to [35]). After that, the samples were centrifuged at +4 °C for 3 min at 13,000× g using an Eppendorf 5415R Centrifuge (Marshall Scientific, Hampton, NH, USA). The extraction process was repeated three times. The combined extracts were evaporated to dryness in a vacuum centrifuge Eppendorf 270 Concentrator (Merk KGaA, Darmstad, Germany). The dried extracts were re-dissolved in 600 μL of methanol-water (50:50, v/v) and run with the high-performance liquid chromatography (HPLC). The injected volume was 10 μL for each sample. The HPLC system used (Series 1100, Agilent, City of Waldbronn, Germany) was equipped with a binary pump (G1312A), an ALS autosampler (G1329A), a vacuum degasser (G1322A), a column compartment (G1316A) with a reverse-phase column (Zorbax SB-C18, 4.6 × 75 mm, particle size 3.5 μm, Agilent), and a diode array detector (G1315B). Eluent A (1.5% tetrahydrofuran and 0.25% orthophosphoric acid in Milli-Q ultrapure water) and eluent B (100% methanol) constituted the mobile phase with a flow rate of 2 mL min−1. The following gradient was used for eluent A: 0–5 min 100%; 5–40 min 100–50%; 40–60 min 50%; and 60–62 min 50–100%. The injector and column temperatures were set at +22 °C and +30 °C, respectively.
HPLC runs were monitored at 220, 270, 320, and 360 nm wavelengths. Retention times and UV-spectra were used for identifying the pinosylvin (PS) and pinosylvin monomethyl ether (PSM). The compounds were quantified (mg/g, on a dry weight basis) against commercial standards. The total concentration of stilbenes (STB) was calculated as a sum of the concentrations of PS and PSM.
Stilbene analysis of parent heartwood revealed that genotype K803 had to be reclassified as low stilbene genotype because of the low content of PS and PSM (Table 1). Reclassification occurred after controlled crossings had been performed, which resulted in four classes of parent combinations (High × High, High × Low, Low × High, Low × Low) instead of planned two.
2.5. Statistical Analysis
Multiplication rate and embryo production capacity of the ECs, somatic embryo germination percentage, greenhouse survival of the germinants, and height of the emblings following the first growing season at the greenhouse was studied by non-parametric Kruskall–Wallis test. the connection between stilbene content of the ECs and the other measured traits was examined by Spearman’s rank-order correlation. All the statistical analyses were performed using IBM SPSS Statistics 27.0 (Armonk, NY, USA).
3. Results
3.1. SE Initiation
3.1.1. Open Pollinations
In 2011, among the explants from open-pollinated cones, SE initiation frequency varied from 1 to 11% depending on the maternal genotype (Figure 1), resulting in altogether 82 embryogenic lines. On average, the initiation from the low stilbene content (6%) was more successful compared to the high stilbene content (2%) maternal genotypes. The best response was achieved in the maternal genotype K803 having heartwood of low stilbene content, whereas the lowest initiation frequency was observed in the genotype K836 with high stilbene content. The best time for SE induction was between 500 and 600 d.d. Of the tested initiation media, the LM proved to produce more ECs than the DCR (Table 2). On the DCR medium, there were also many (34) explants showing non-embryogenic callus growth in the cone collections at 623–693 d.d.
Figure 1.
The success of SE initiations using open-pollinated cones in 2011. The proportion of seed embryo explants from the maternal genotypes resulting in embryonic cultures. The heartwood of the maternal genotype (HW).
Table 2.
Number (N) of embryogenic lines initiated on two growth media, DCR1 and LM, from the open-pollinated seed embryo explants in 2011. Half of the presented total number of explants was used for DCR1 medium and half for LM medium.
The average stilbene content between initiated and non-initiated explants originating in open-pollination differed only in the maternal genotype K699 (Figure 2). In K699, the average stilbene content of the non-initiated explants was much higher than that of the initiated explants. The results varied in the other maternal genotypes, with the average stilbene content of the initiated and non-initiated explants being closer to each other (Figure 2). When examining stilbenes in the explants from different collection times, an interesting overall trend was observed: The average stilbene content both in the initiated and non-initiated explants decreased with increasing d.d. sum, with an exception for non-initiated ones in the last collection time (Table 3).
Figure 2.
Average stilbene content (STB) in the initiated and non-initiated seed embryo explants of the 2011 cone collection (open-pollinated). The samples for STB analysis were pooled into two or three batches within each maternal genotype. Numbers on the top of each column represent the total number of the explants within the pooled batches. Because of the sampling scheme, the error bars cannot be given. Low/high stilbene content in the heartwood of the maternal genotype in 2011 HPLC analysis (Low/High).
Table 3.
Average stilbene content (STB) according to the cone collection d.d. for non-initiated and initiated seed embryo explants of 2011 (open pollination). For each d.d. the explants were pooled into batches according to the maternal genotype. The total number (N) of explant lines within the number (N) of batches are given. Average and standard deviation (SD) are for the batches.
3.1.2. Controlled Crossings
The initiation success of the seed embryo explants originating in the controlled crossings varied depending on the cross (Figure 3), resulting in altogether 126 embryogenic lines in 2012–2013 (Table 4). Maternal parents K803 (low) and K912 (high) crossed with paternal parent K836 (high) were the best combinations, which produced more than half of the initiated lines. K927 (low) was the poorest maternal parent, giving only one initiated line. Seed embryo explants from controlled crossings were not studied for stilbene content.
Figure 3.
The success of SE initiations using seed embryo explants from the controlled crossings in 2012–2013. Proportion of the explants resulting in embryogenic cultures. Low stilbene content (L) and high stilbene content (H) in the heartwood of the parent genotype.
Table 4.
Number (N) of embryogenic lines initiated from the seed embryo explants from the controlled crossings in 2012–2013.
3.2. The Proliferation of Embryogenic Cultures
The multiplication rates of embryogenic cultures (ECs) were studied only in controlled crossings. The established ECs from 2012 initiations grew well, although remarkable variation was observed. The two-week growth factor (i.e., multiplication rate for ECs as tissue clumps on LM medium) varied from 1.6 to 8.8. On average, it was 4.2 for the first subculture and 4.5 for the second subculture (Table 5). Significant differences in EC proliferation were observed both among the genotypes (Kruskall–Wallis p = 0.002 for both subcultures) and controlled crossings (Kruskall–Wallis p = 0.005 for the first subculture and 0.007 for the second subculture). The measured stilbene content of the ECs in the proliferation test varied from 0 to 807 µg/g, with significant differences among the crossings (Kruskall–Wallis p = 0.001). However, no connection between stilbene content of the EC and its proliferation rate was found.
Table 5.
The average stilbene content (STB) and multiplication rates of the proliferating ECs originating in the controlled crossings.
3.3. Maturation, Germination, and Conversion of Somatic Embryos
3.3.1. Open Pollinations
Of the open pollination originating SE lines, 55 were tested for their embryo production capacity, and 34 of them (62%) produced mature somatic embryos, the number of embryos being 2–1122/gFW among the lines, the overall mean being 68/gFW embryos (Table 6). The mean germination percentage of the produced somatic embryos was 32, varying 0–96%, with four SE lines showing no germination. Further, in 24 SE lines transferred to the greenhouse, the average survival rate of germinants was 74%, varying 0-100%, with three SE lines having no survived germinants and eight lines showing 100% survival.
Table 6.
The average stilbene content (STB) and embryo production capacity of the ECs originating in the open-pollinated explants.
Stilbene content of the open-pollinated ECs used for testing embryo production capacity was 0–2064 µg/g, being on an average 261 µg/g (SD = 407) (Table 6), and no connection between stilbene content of the ECs and their embryo production capacity could be found. Neither did the ECs derived from different parent genotypes differ from each other in their stilbene content, embryo production capacity, germination percentage of embryos, or greenhouse survival of the germinants.
3.3.2. Controlled Crossings
Of the controlled crossings originating SE lines, 125 were tested for their embryo production capacity, and 102 (82%) of them produced mature somatic embryos. The number of embryos was 2–957/gFW, and the overall mean was 136/gFW with SD 183 (Table 7). The embryo production capacity was found to differ significantly among the crossings (Kruskall–Wallis p = 0.002). The mean germination percentage of the produced somatic embryos was 53 (SD = 27), varying 0–100%, with eight SE lines showing no germination and nine lines having 100% germination. Further, in 75 SE lines transferred to the greenhouse, the average survival rate of germinants was 74% (SD = 24), with three SE lines having no survived emblings and 12 lines showing 100% survival. No significant differences among the crossings were found in embryo germination or greenhouse survival.
Table 7.
The average stilbene content (STB) and embryo production capacity of the ECs originating in the explants originating from controlled crossings.
Stilbene content of the ECs from the controlled crossings was measured only from part of the lines, being 0–806 µg/g, on an average 151 (SD = 193) µg/g (Table 7), and no relation between stilbene content of the ECs and their embryo production capacity was found. There was, however, a slight negative correlation between the stilbene content of the ECs and the greenhouse survival of the emblings (Spearman’s r = −0.37, p = 0.049). No significant difference in stilbene content of the ECs was found among the crossings.
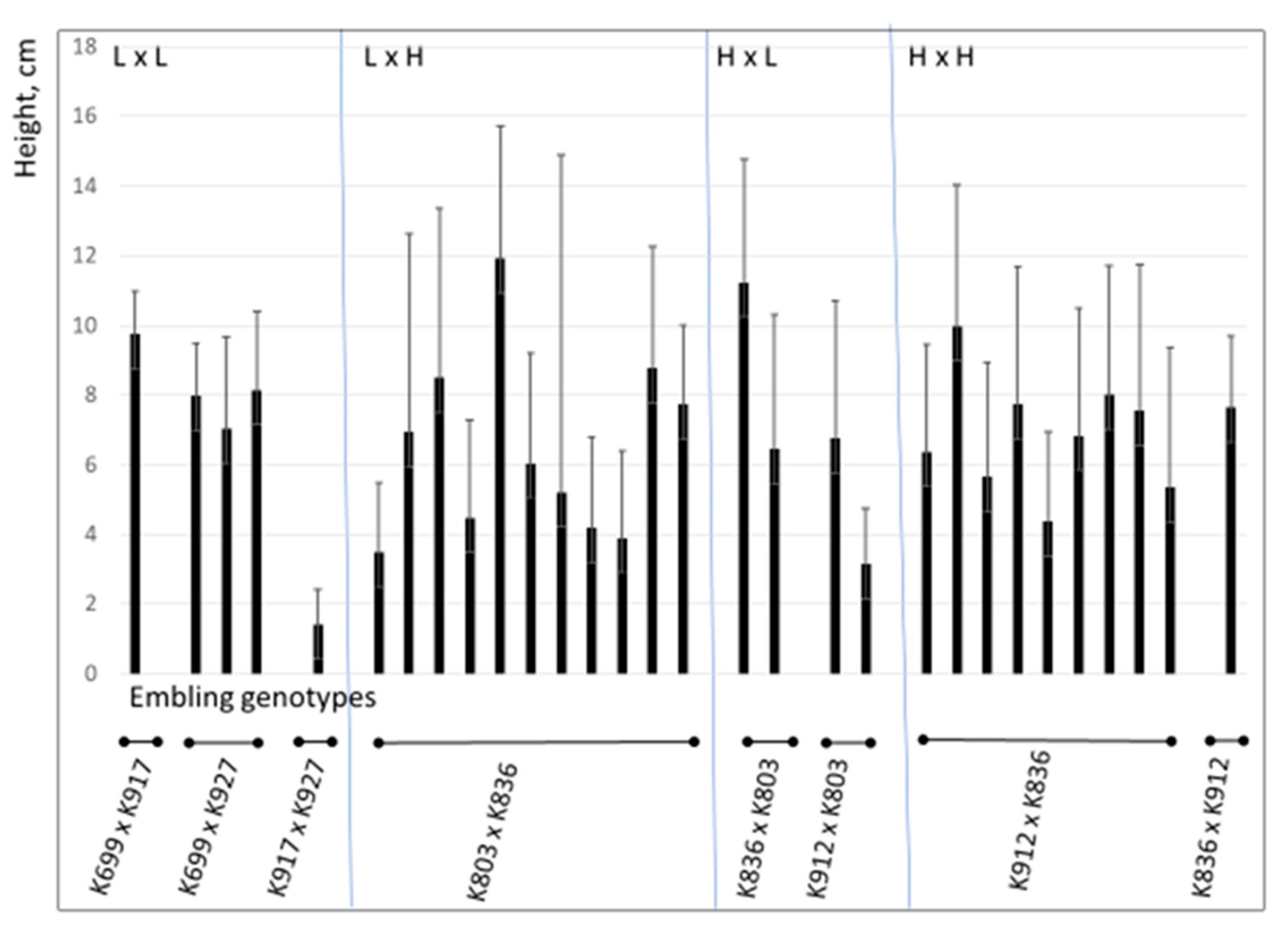
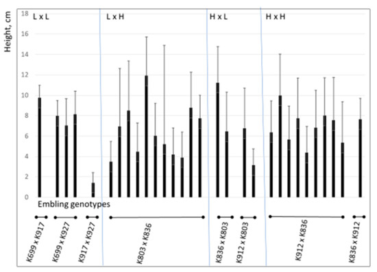
In the greenhouse, the height of the emblings following the first growing season was measured from 30 lines originating in the controlled crossings; the number of the emblings was 8–258 per line. The height of the emblings varied, and the controlled crossings differing significantly from each other (Kruskall–Wallis p-value < 0.001) (Figure 4). No connection between the stilbene content of the ECs and height growth of the emblings at the greenhouse was observed.
Figure 4.
Height of the emblings at the greenhouse following the first growing season, shown with the standard deviation. The genetic background, i.e., the controlled crossing, is shown under each group of SE lines, the crossings being organized according to the heartwood stilbene content of the parent genotypes. Low stilbene content (L) and high stilbene content (H) in the heartwood of the parent genotype.
4. Discussion
This pilot study reported the results of somatic embryogenesis (SE) from Scots pine trees selected for a specific trait of the end-use interest of timber, i.e., stilbene content of their heartwood. As far as we know, this study was the first of its kind. The results suggest that SE propagation success and the trait of interest, stilbene content of the parent heartwood, are independent of each other, although many factors, including parent genotypes, were found to affect the success of SE, especially at the initiation phase.
The genotypes for this study were selected from a local Scots pine graft collection. The selection was based on the analysis of their heartwood total phenolic content, performed several years earlier, which was determined using a non-selective, low-cost, relatively fast, and easy spectrophotometric Folin Ciocalteu (FC) assay. The result of FC assay from Scots pine heartwood had been found to correlate well with the decay resistance against cellar fungus, C. puteana [9,10]. The main phenolic compounds in Scots pine heartwood are stilbenes pinosylvin and pinosylvin monomethyl ether [36]. The later-performed HPLC analysis of the heartwood stilbenes found that one of the studied genotypes (K803) was misclassified to be a high stilbene producing genotype. Thus, in future studies the selection of parents should be based on more detailed analysis of heartwood extractives instead of FC assay.
Generally, SE initiation success in Scots pine is relatively low compared with many other conifers, with published initiation rates varying from 0.2 to 30% for open-pollinated explant materials [31,37,38,39,40,41], and from 1 to 42% for controlled crossings, even with selection for their SE propagation ability [34,42]. Low initiation frequencies were also realized in this study. In open-pollinated material, the initiation rate was somewhat higher for maternal genotypes having a low compared to the high content of constitutive stilbenes in their heartwood; the average initiation rate was 6% compared to 2%, respectively. SE propagation was, however, possible also from genotypes having a high tendency to produce constitutive stilbenes in their heartwood, as demonstrated in one of the controlled crossings of high stilbene parents having SE initiation frequency of almost 8%.
When examining the factors affecting SE initiation, the present results support the earlier Scots pine studies for genotype, d.d. sum, and medium effects. Initiation frequencies varied among the present parent tree genotypes, the K803 being the best maternal genotype both in open-pollinated material and in controlled crossings, and the K836 was the best paternal genotype. Previously, both maternal and paternal effects had been found significant, the maternal effects considered greater than paternal [31,34,42]. With the present material, the highest numbers of initiated ECs were seen when the cones containing the explants were collected either at 526 or 576 (2011) or 593 (2012) d.d., that is, in the middle of the period recommended in the earlier studies, i.e., 400–650 d.d. [31,40]. Basal medium had also been shown to influence SE initiation significantly: In [43], 16% initiation was obtained on LM medium compared with 6% on DCR, whereas the corresponding figures in the present study were approximately 7% on LM and 2% on DCR.
The growth of the established ECs in the present study was in line with earlier studies: 2-week multiplication rates observed for the present ECs were around 4–4.5×, whereas for 6-week multiplication including two subcultures, rates from 5× to 13× depending on tissue clump size had been reported, and much higher rates, i.e., 24–52× in six weeks achieved with ECs spread on filter papers [31]. Of the present embryogenic lines, 62% of the ones with the open-pollinated origin and 82% of the ones from controlled crossings were able to produce mature somatic embryos, close to previously reported proportions, 70–95% [31,34]. Likewise, the huge variation found in the number of somatic embryos produced per gFW among the genotypes is known from the earlier studies [31,34,42].
In Scots pine SE, both normal and abnormal cotyledonary embryos are produced, with embryogenic lines varying in this aspect and showing differences in degeneration of embryos [44]. Further, somatic embryo germination and greenhouse survival rates are known to vary depending on both maturation and germination conditions, as well as the quality of the picked-up embryos. Using the present methods, over 90% survival has been achieved with top-quality embryos, whereas applying the same methods for inferior, stub-type embryos may result in less than 10% survival [31]. Thus, the present results with the average germination rate of 32% for the open-pollinated material and 53% for lines originating in the controlled crossings, and the overall greenhouse survival of 74% suggest that selection of the somatic embryos to be picked-up for germination was not completely successful in all cases. More emblings were lost during in vitro conversion than following acclimatization into the greenhouse, as also previously seen [1].
There were great differences between parent trees in SE-initiation success, and thus the wide variation in the number of lines from each maternal parent or parent combinations (0–35, average 11.2, SD = 10.6). With the typically low and highly variable SE initiation rate, it was impossible to have equal sample sizes for stilbene analyses, which resulted in the chosen analysis scheme. It gave an idea of stilbene levels in different stages of SE procedure. When compared to the average stilbene content in mechanically wounded seedlings [22] or to the constitutive contents in older trees [16], the stilbene content in the explants was approximately 5–30%, depending on the maternal parent or crossing, and in the proliferating ECs it was approximately 2%. The low stilbene content in the ECs refers to low constitutive expression of defense genes in embryogenic tissue growing without any inducing agents.
Overall, no connection between the parent tree stilbene content and the proliferation of embryogenic cultures, embryo maturation, or embling performance could be shown in this study. Stilbenes measured from the explants showed, however, an interesting trend: The average stilbene content both in the initiated and non-initiated explants decreased with increasing d.d. sum, with the exception for non-initiated ones in the last collection time. This phenomenon can be related to the size of developing explants that are very tiny at the earliest collection dates and thus easily wounded, the preparation process becoming easier with time. In Scots pine, stilbene synthesis is known to be induced by mechanical wounding [22,23], explaining the higher stilbene content of smaller and probably more wounded explants. Experience in preparation work also plays an important role in its success: e.g., the higher stilbene content of non-initiated explants in the last collection time deviating from the overall trend could be partly due to increased wounding during preparation work.
Pine SE cultures have been studied previously for their chemical content, but these studies focused mostly on carbohydrates and storage proteins [45,46], as well as polyamines [41,47] related to oxidative cellular stress. Phenolic substances, if studied, have been found to be typical for non-embryogenic tissue in comparison with embryogenic one, as found in Pinus koraiensis Sieb. et Zucc. [48]. Likewise, when proteomics during prolonged culture of two embryogenic cell lines of Pinus nigra Arn. were studied [49], pinosylvin-forming stilbene synthase was observed after the lines had lost their embryogenic capacity. However, the pinosylvin content of these ECs was not analyzed. Non-embryogenic, ageing pine calli, however, have been indicated to produce stilbenes up to amounts high enough for stilbene extraction and suggested production of biocides against nematodes [50]. Induction of stilbene synthesis and stilbene accumulation has also been shown in non-embryogenic P. sylvestris cell suspension culture by applying an elicitor from a fungal pine needle pathogen [51].
5. Conclusions
According to this pilot study, it was possible to apply SE propagation of Scots pine genotypes having high stilbene content in their heartwood. Following the successful initiation, the later phases of SE propagation proceeded with no connection to the parent genotypes or the stilbene level of the ECs and had large variation among SE-lines. The potential for early or even in vitro selection needs to be studied using various induction treatments to reveal the true potential of genotypes to produce stilbenes and to connect that potential to the constitutive stilbene content in mature heartwood.
Author Contributions
Conceptualization, A.H., M.V. and T.A.; methodology, T.A., R.J.-T., A.H., M.V. and S.H.; formal analysis, T.A. and A.H.; writing—original draft preparation, T.A., A.H. and S.H.; writing—review and editing, M.V. and R.J.-T.; visualization, T.A. and A.H.; project administration, S.H.; funding acquisition, T.A., M.V. and A.H. All authors have read and agreed to the published version of the manuscript.
Funding
This research was funded in 2011–2013 by European Regional Development Fund (ERDF 749/24/2010), the Region of South Savo, for the project “Vegetative propagation–knowhow and technology for enhancing bioeconomy”.
Data Availability Statement
Not applicable.
Acknowledgments
We express our gratitude to field and laboratory personnel in Natural Resources Institute Finland for their role in several important stages of this study.
Conflicts of Interest
The authors declare no conflict of interest. The funders had no role in the design of the study; in the collection, analyses, or interpretation of data; in the writing of the manuscript, or in the decision to publish the results.
References
- Krakau, U.; Liesebach, M.; Aronen, T.; Lelu-Walter, M.; Schneck, V. Scots pine (Pinus sylvestris L.). In Forest Tree Breeding in Europe: Current State-of-the-Art and Perspectives; Pâques, L.E., Ed.; Springer: Dordrecht, The Netherlands, 2013; Volume 25, pp. 267–323. [Google Scholar] [CrossRef]
- Humar, M.; Peek, R.D.; Jermer, J. Regulations in the European Union with emphasis on Germany, Sweden, and Slovenia. In Environmental Impacts of Treated Wood; Townsend, T.G., Solo-Gabriele, H., Eds.; CRC Press: Boca Raton, FL, USA, 2006; pp. 37–57. [Google Scholar]
- Taylor, A.M.; Gartner, B.L.; Morrell, J.J. Heartwood formation and natural durability—A review. Wood and Fiber Sci. 2002, 34, 587–611. [Google Scholar]
- Gjerdrum, P. Heartwood in relation to age and growth rate in Pinus sylvestris L. in Scandinavia. An. Int. J. For. Res. 2003, 76, 413–424. [Google Scholar] [CrossRef]
- Lim, K.J.; Paasela, T.; Harju, A.; Venäläinen, M.; Paulin, L.; Auvinen, P.; Kärkkäinen, K.; Teeri, T.H. Developmental Changes in Scots Pine Transcriptome during Heartwood Formation. Plant. Physiol 2016, 172, 1403–1417. [Google Scholar] [CrossRef] [PubMed] [Green Version]
- Harju, A.M.; Venäläinen, M. Genetic parameters regarding the resistance of Pinus sylvestris heartwood to decay caused by Coniophora puteana. Scand. J. For. Res. 2002, 17, 199–205. [Google Scholar] [CrossRef]
- Venäläinen, M.; Harju, A.M.; Kainulainen, P.; Viitanen, H.; Nikulainen, H. Variation in the decay resistance and its relationship with other wood characteristics in old Scots pines. Ann. For. Sci. 2003, 60, 409–417. [Google Scholar] [CrossRef]
- Harju, A.M.; Venäläinen, M.; Anttonen, S.; Viitanen, H.; Kainulainen, P.; Saranpää, P.; Vapaavuori, E. Chemical factors affecting the brown-rot decay resistance of Scots pine heartwood. Trees 2003, 17, 263–268. [Google Scholar] [CrossRef]
- Heijari, J.; Nerg, A.; Kaakinen, S.; Vapaavuori, E.; Raitio, H.; Levula, T.; Viitanen, H.; Holopainen, J.K.; Kainulainen, P. Resistance of Scots pine wood to Brown-rot fungi after long-term forest fertilization. Trees 2005, 19, 729–735. [Google Scholar] [CrossRef]
- Harju, A.M.; Venäläinen, M. Measuring the decay resistance of Scots pine heartwood indirectly by the Folin-Ciocalteu assay. Can. J. For. Res. 2006, 36, 1797–1804. [Google Scholar] [CrossRef]
- Leinonen, A.; Harju, A.M.; Venäläinen, M.; Saranpää, P.; Laakso, T. FT-NIR spectroscopy in predicting the decay resistance related characteristics of solid Scots pine (Pinus sylvestris L.) heartwood. Holzforschung 2008, 62, 284–288. [Google Scholar] [CrossRef]
- Lu, J.; Venäläinen, M.; Julkunen-Tiitto, R.; Harju, A.M. Stilbene impregnation retards brown-rot decay of Scots pine sapwood. Holzforschung 2016, 70, 261–266. [Google Scholar] [CrossRef]
- Belt, T.; Venäläinen, M.; Harju, A. Non-destructive measurement of Scots pine heartwood stilbene content and decay resistance by means of UV-excited fluorescence spectroscopy. Ind. Crops Prod. 2021, 164, 113395. [Google Scholar] [CrossRef]
- Fries, A.; Ericsson, T.; Gref, R. High heritability of wood extractives in Pinus sylvestris progeny tests. Can. J. For. Res. 2000, 30, 1707–1713. [Google Scholar] [CrossRef]
- Fries, A.; Ericsson, T. Genetic parameters in diallel-crossed Scots pine favor heartwood formation breeding objectives. Can. J. For. Res. 1998, 28, 937–941. [Google Scholar] [CrossRef]
- Partanen, J.; Harju, A.M.; Venäläinen, M.; Kärkkäinen, K. Highly heritable heartwood properties of Scots pine: Possibilities for selective seed harvest in seed orchards. Can. J. For. Res. 2011, 41, 1993–2000. [Google Scholar] [CrossRef]
- Schoeppner, A.; Kindl, H. Stilbene synthase (pinosylvine synthase) and its induction by ultraviolet light. FEBS Lett 1979, 108, 349–352. [Google Scholar] [CrossRef] [Green Version]
- Zinser, C.; Jungblut, T.; Heller, W.; Seidlitz, H.K.; Schnitzler, J.; Ernst, D.; Sandermann, H., Jr. The effect of ozone in Scots pine (Pinus sylvestris L.): Gene expression, biochemical changes and interactions with UV-B radiation. Plant Cell Environ. 2000, 23, 975–982. [Google Scholar] [CrossRef]
- Rosemann, D.; Heller, W.; Sandermann, H., Jr. Biochemical plant responses to ozone: II. Induction of stilbene biosynthesis in Scots pine (Pinus sylvestris L.) seedlings. Plant Physiol. 1991, 97, 1280–1286. [Google Scholar] [CrossRef] [Green Version]
- Gehlert, R.; Schöppner, A.; Kindl, H. Stilbene synthase from seedlings of Pinus sylvestris: Purification and induction in response to fungal infection. Mol. Plant Microbe Interact. 1990, 3, 444–449. [Google Scholar] [CrossRef]
- Johansson, S.M.; Lundgren, L.N.; Asiegbu, F.O. Initial reactions in sapwood of Norway spruce and Scots pine after wounding and infection by Heterobasidion parviporum and H. annosum. For. Pathol. 2004, 34, 197–210. [Google Scholar] [CrossRef]
- Harju, A.M.; Venäläinen, M.; Laakso, T.; Saranpää, P. Wounding response in xylem of Scots pine seedlings shows wide genetic variation and connection with the constitutive defence of heartwood. Tree Physiol. 2009, 29, 19–25. [Google Scholar] [CrossRef]
- Paasela, T.; Lim, K.; Pietiäinen, M.; Teeri, T.H. The O-methyltransferase PMT 2 mediates methylation of pinosylvin in Scots pine. New Phytol. 2017, 214, 1537–1550. [Google Scholar] [CrossRef] [PubMed] [Green Version]
- Lelu-Walter, M.; Thompson, D.; Harvengt, L.; Sanchez, L.; Toribio, M.; Pâques, L.E. Somatic embryogenesis in forestry with a focus on Europe: State-of-the-art, benefits, challenges and future direction. Tree Genet. Genomes 2013, 9, 883–899. [Google Scholar] [CrossRef]
- Aronen, T. From lab to field—Current state of somatic embryogenesis in Scots pine. In Vegetative Propagation of Forest Trees; Park, Y., Bonga, J., Moon, H., Eds.; National Institute of Forest Science: Seoul, Korea, 2016; pp. 515–527. [Google Scholar]
- Miguel, C.M.; Rupps, A.; Raschke, J.; Rodrigues, A.S.; Trontin, J. Impact of molecular studies on somatic embryogenesis development for implementation in conifer multi-varietal forestry. In Vegetative Propagation of Forest Trees; Park, Y., Bonga, J., Moon, H., Eds.; National Institute of Forest Science: Seoul, Korea, 2016; pp. 373–421. [Google Scholar]
- Businge, E.; Brackmann, K.; Moritz, T.; Egertsdotter, U. Metabolite profiling reveals clear metabolic changes during somatic embryo development of Norway spruce (Picea abies). Tree Physiol. 2012, 32, 232–244. [Google Scholar] [CrossRef] [PubMed] [Green Version]
- Rutledge, R.G.; Stewart, D.; Caron, S.; Overton, C.; Boyle, B.; MacKay, J.; Klimaszewska, K. Potential link between biotic defense activation and recalcitrance to induction of somatic embryogenesis in shoot primordia from adult trees of white spruce (Picea glauca). BMC Plant Biol. 2013, 13, 116. [Google Scholar] [CrossRef] [Green Version]
- Julkunen-Tiitto, R. Phenolic constituents in the leaves of northern willows: Methods for the analysis of certain phenolics. J. Agric. Food Chem. 1985, 33, 213–217. [Google Scholar] [CrossRef]
- Kainulainen, P.; Satka, H.; Mustaniemi, A.; Holopainen, J.K.; Oksanen, J. Conifer aphids in an air-polluted environment. II. Host plant quality. Environ. Pollut. 1993, 80, 193–200. [Google Scholar] [CrossRef]
- Aronen, T.; Pehkonen, T.; Ryynänen, L. Enhancement of somatic embryogenesis from immature zygotic embryos of Pinus sylvestris. Scand. J. For. Res. 2009, 24, 372–383. [Google Scholar] [CrossRef]
- Gupta, P.K.; Durzan, D.J. Shoot multiplication from mature trees of Douglas-fir (Pseudotsuga menziesii) and sugar pine (Pinus lambertiana). Plant Cell Rep. 1985, 4, 177–179. [Google Scholar] [CrossRef]
- Becwar, M.R.; Nagmani, R.; Wann, S.R. Initiation of embryogenic cultures and somatic embryo development in loblolly pine (Pinus taeda). Can. J. For. Res. 1990, 20, 810–817. [Google Scholar] [CrossRef]
- Lelu-Walter, M.; Bernier-Cardou, M.; Klimaszewska, K. Clonal plant production from self-and cross-pollinated seed families of Pinus sylvestris (L.) through somatic embryogenesis. Plant Cell Tissue Organ. Cult. 2008, 92, 31–45. [Google Scholar] [CrossRef]
- Nybakken, L.; Hörkkä, R.; Julkunen-Tiitto, R. Combined enhancements of temperature and UVB influence growth and phenolics in clones of the sexually dimorphic Salix myrsinifolia. Physiol. Plant. 2012, 145, 551–564. [Google Scholar] [CrossRef]
- Willför, S.; Hemming, J.; Reunanen, M.; Holmbom, B. Phenolic and lipophilic extractives in Scots pine knots and stemwood. Holzforchung 2003, 57, 359–372. [Google Scholar] [CrossRef]
- Burg, K.; Helmersson, A.; Bozhkov, P.; Von Arnold, S. Developmental and genetic variation in nuclear microsatellite stability during somatic embryogenesis in pine. J. Exp. Bot. 2007, 58, 687–698. [Google Scholar] [CrossRef] [Green Version]
- Lelu, M.; Bastien, C.; Drugeault, A.; Gouez, M.; Klimaszewska, K. Somatic embryogenesis and plantlet development in Pinus sylvestris and Pinus pinaster on medium with and without growth regulators. Physiol. Plant. 1999, 105, 719–728. [Google Scholar] [CrossRef]
- Häggman, H.; Jokela, A.; Krajnakova, J.; Kauppi, A.; Niemi, K.; Aronen, T. Somatic embryogenesis of Scots pine: Cold treatment and characteristics of explants affecting induction. J. Exp. Bot. 1999, 50, 1769–1778. [Google Scholar] [CrossRef]
- Keinonen-Mettälä, K.; Jalonen, P.; Eurola, P.; von Arnold, S.; von Weissenberg, K. Somatic embryogenesis of Pinus sylvestris. Scand. J. For. Res. 1996, 11, 242–250. [Google Scholar] [CrossRef]
- Salo, H.M.; Sarjala, T.; Jokela, A.; Häggman, H.; Vuosku, J. Moderate stress responses and specific changes in polyamine metabolism characterize Scots pine somatic embryogenesis. Tree Physiol. 2016, 36, 392–402. [Google Scholar] [CrossRef] [Green Version]
- Niskanen, A.; Lu, J.; Seitz, S.; Keinonen, K.; Von Weissenberg, K.; Pappinen, A. Effect of parent genotype on somatic embryogenesis in Scots pine (Pinus sylvestris). Tree Physiol. 2004, 24, 1259–1265. [Google Scholar] [CrossRef] [Green Version]
- Park, Y.S.; Lelu-Walter, M.; Harvengt, L.; Trontin, J.; Maceacheron, I.; Klimaszewska, K.; Bonga, J.M. Initiation of somatic embryogenesis in Pinus banksiana, P. strobus, P. pinaster, and P. sylvestris at three laboratories in Canada and France. Plant Cell Tissue Organ Cult. 2006, 86, 87–101. [Google Scholar] [CrossRef]
- Abrahamsson, M.; Valladares, S.; Merino, I.; Larsson, E.; von Arnold, S. Degeneration pattern in somatic embryos of Pinus sylvestris L. Vitr. Cell. Dev. Biol. Plant 2017, 53, 86–96. [Google Scholar] [CrossRef] [Green Version]
- Morel, A.; Trontin, J.; Corbineau, F.; Lomenech, A.; Beaufour, M.; Reymond, I.; Le Metté, C.; Ader, K.; Harvengt, L.; Cadene, M. Cotyledonary somatic embryos of Pinus pinaster Ait. most closely resemble fresh, maturing cotyledonary zygotic embryos: Biological, carbohydrate and proteomic analyses. Planta 2014, 240, 1075–1095. [Google Scholar] [CrossRef] [PubMed] [Green Version]
- Klimaszewska, K.; Morency, F.; Jones-Overton, C.; Cooke, J. Accumulation pattern and identification of seed storage proteins in zygotic embryos of Pinus strobus and in somatic embryos from different maturation treatments. Physiol. Plant. 2004, 121, 682–690. [Google Scholar] [CrossRef]
- Vuosku, J.; Suorsa, M.; Ruottinen, M.; Sutela, S.; Muilu-Mäkelä, R.; Julkunen-Tiitto, R.; Sarjala, T.; Neubauer, P.; Häggman, H. Polyamine metabolism during exponential growth transition in Scots pine embryogenic cell culture. Tree Physiol. 2012, 32, 1274–1287. [Google Scholar] [CrossRef] [PubMed] [Green Version]
- Peng, C.; Gao, F.; Wang, H.; Shen, H.; Yang, L. Physiological and biochemical traits in Korean pine somatic embryogenesis. Forests 2020, 11, 577. [Google Scholar] [CrossRef]
- Klubicová, K.; Uvácková, L.; Danchenko, M.; Nemecek, P.; Skultéty, L.; Salaj, J.; Salaj, T. Insights into the early stage of Pinus nigra Arn. somatic embryogenesis using discovery proteomics. J. Proteom. 2017, 169, 99–111. [Google Scholar] [CrossRef]
- Koo, H.B.; Hwang, H.; Han, J.Y.; Cheong, E.J.; Kwon, Y.; Choi, Y.E. Enhanced production of pinosylvin stilbene with aging of Pinus strobus callus and nematicidal activity of callus extracts against pinewood nematodes. Sci. Rep. 2022, 12, 770. [Google Scholar] [CrossRef]
- Lange, B.M.; Trost, M.; Heller, W.; Langebartels, C.; Sandermann, H. Elicitor-Induced formation of free and cell-wall-bound stilbenes in cell-suspension cultures of Scots pine (Pinus sylvestris L.). Planta 1994, 194, 143–148. [Google Scholar] [CrossRef]
Publisher’s Note: MDPI stays neutral with regard to jurisdictional claims in published maps and institutional affiliations. |
© 2022 by the authors. Licensee MDPI, Basel, Switzerland. This article is an open access article distributed under the terms and conditions of the Creative Commons Attribution (CC BY) license (https://creativecommons.org/licenses/by/4.0/).



