Soil Organic Carbon Pools and Associated Soil Chemical Properties under Two Pine Species (Pinus sylvestris L. and Pinus nigra Arn.) Introduced on Reclaimed Sandy Soils
Abstract
:1. Introduction
2. Materials and Methods
2.1. Study Site
2.2. Soil Sampling
2.3. Laboratory Analyses
2.4. Data Evaluation
3. Results
3.1. Texture, pH, and BD
3.2. Sorption Complex Parameters
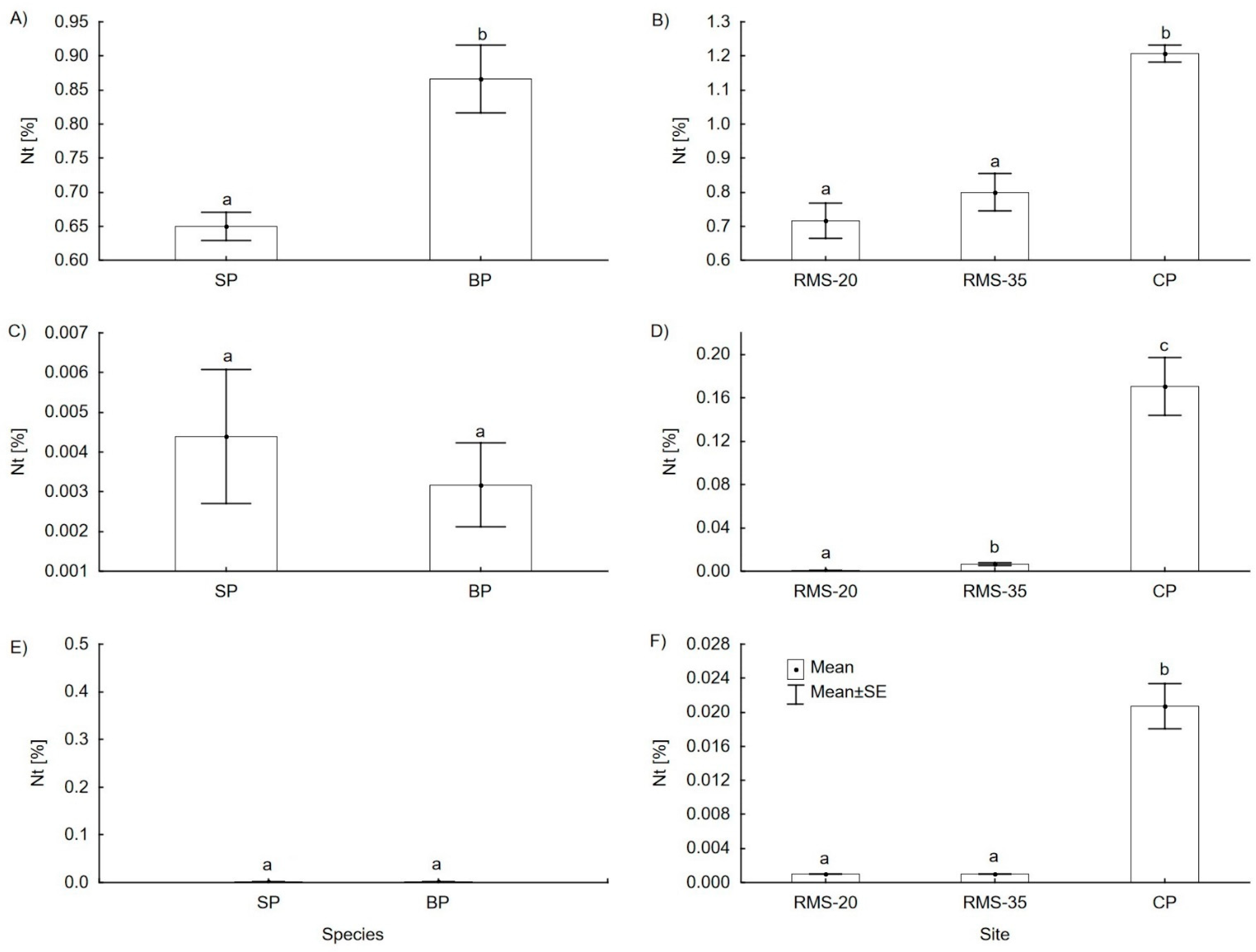
3.3. Carbon and Nitrogen Content
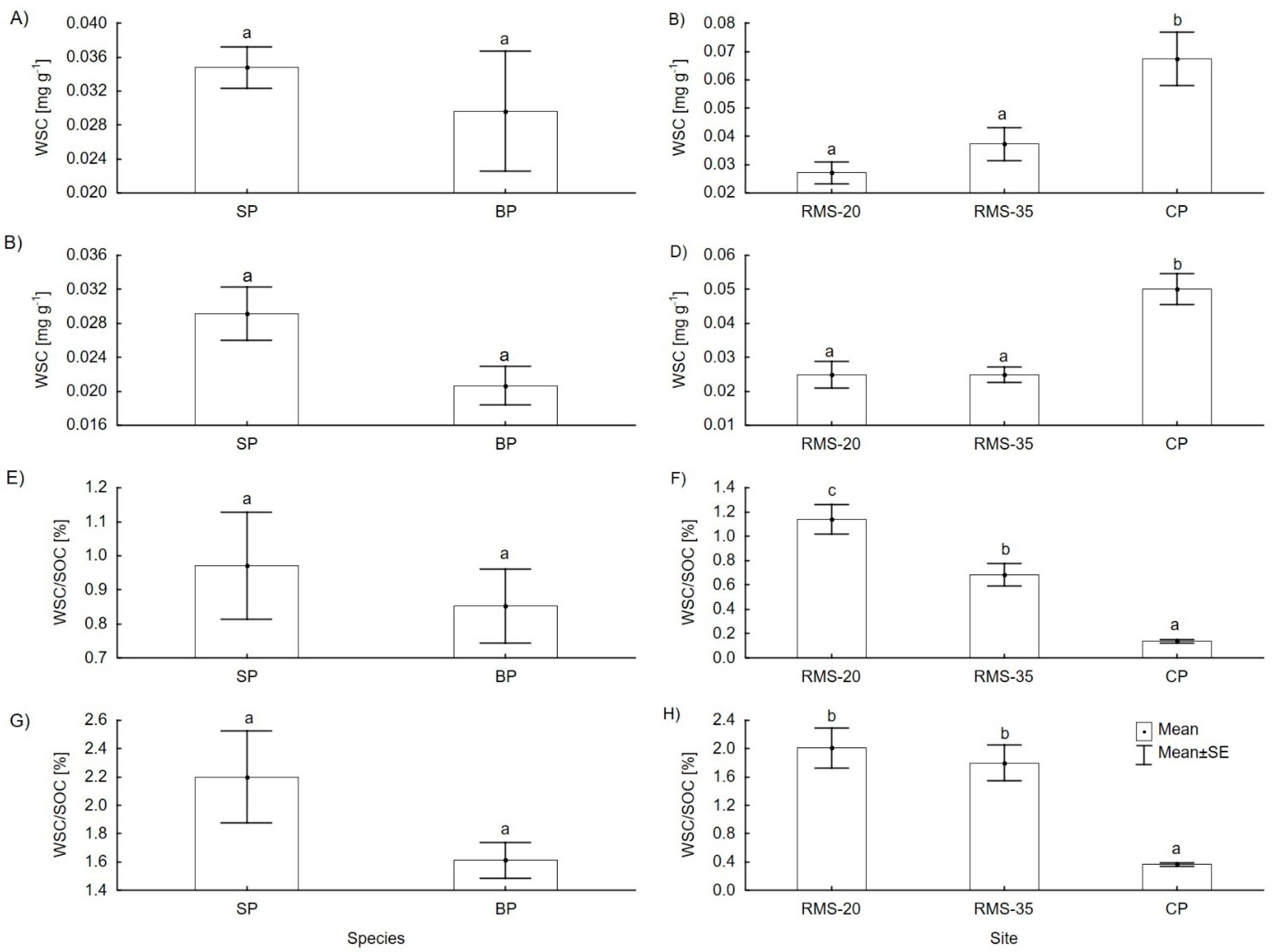
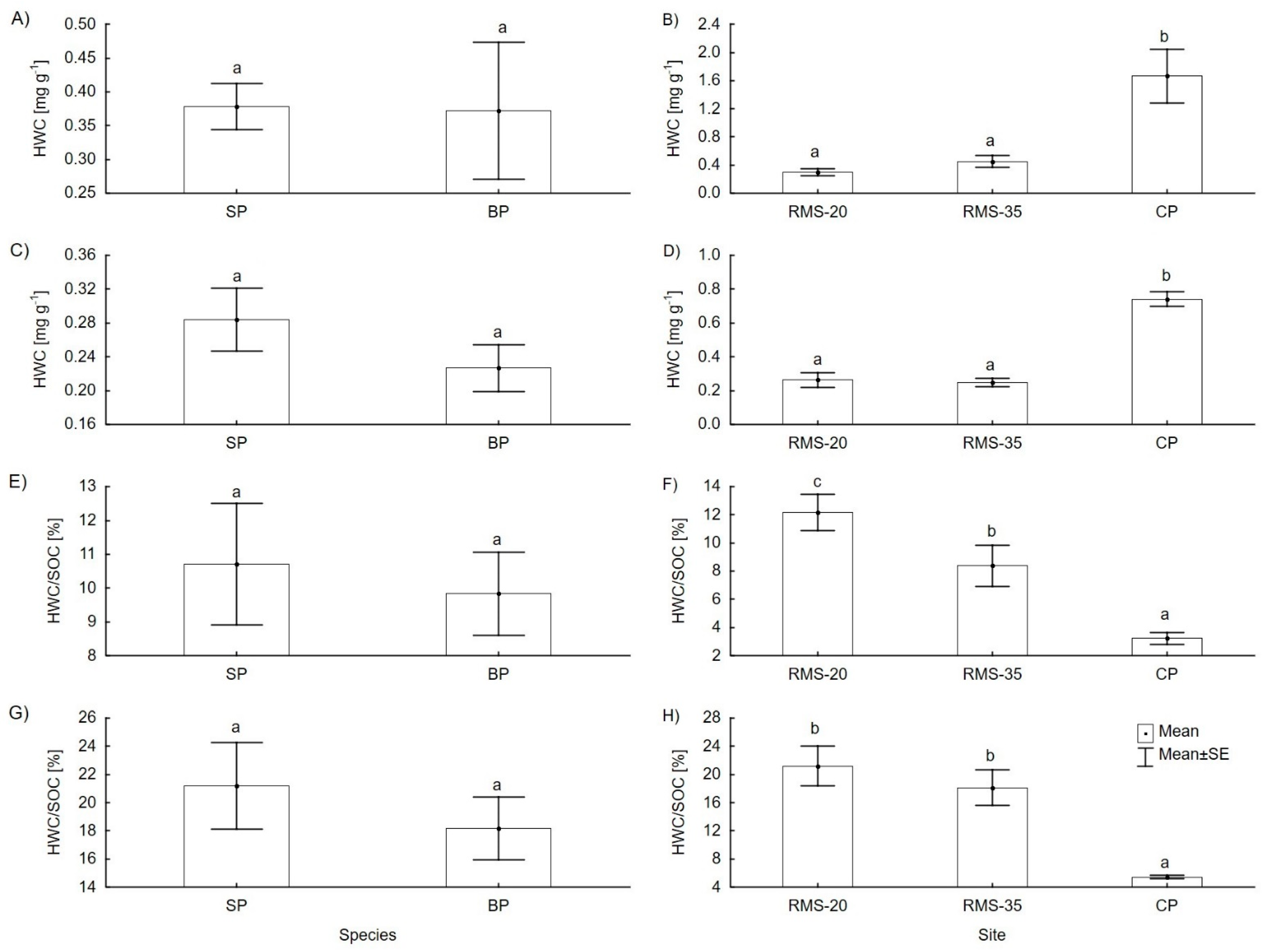
3.4. Water-Extractable Carbon
3.5. Correlation between Studied Soil Parameters
4. Discussion
4.1. Soil Physico-Chemical Parameters
4.2. Carbon and Nitrogen Pools
5. Conclusions
Author Contributions
Funding
Data Availability Statement
Conflicts of Interest
References
- Bell, F.G.; Donnelly, L.J. Mining and Its Impact on the Environment; Taylor & Francis: London, UK; New York, NY, USA, 2006. [Google Scholar]
- Feng, Y.; Wang, J.; Bai, Z.; Reading, L. Effects of surface coal mining and land reclamation on soil properties: A review. Earth-Sci. Rev. 2019, 191, 12–25. [Google Scholar] [CrossRef]
- Pietrzykowski, M. Soil quality index as a tool for Scots pine (Pinus sylvestris) monoculture conversion planning on afforested, reclaimed mine land. J. For. Res. 2014, 25, 63–74. [Google Scholar] [CrossRef]
- Macdonald, S.E.; Landhäusser, S.; Skousen, J.; Franklin, J.; Frouz, J.; Hall, S.L.; Jacobs, D.; Quideau, S. Forest restoration following surface mining disturbance: Challenges and solutions. New For. 2015, 46, 703–732. [Google Scholar] [CrossRef] [Green Version]
- Pietrzykowski, M.; Daniels, W. Estimation of carbon sequestration by pine (Pinus sylvestris L.) ecosystems developed on reforested post-mining sites in Poland on differing mine soil substrates. Ecol. Eng. 2014, 73, 209–218. [Google Scholar] [CrossRef]
- Ahirwal, J.; Kumar, A.; Pietrzykowski, M.; Maiti, S.K. Reclamation of coal mine spoil and its effect on Technosol quality and carbon sequestration: A case study from India. Environ. Sci. Pollut. Res. 2018, 25, 27992–28003. [Google Scholar] [CrossRef] [PubMed]
- Schimel, D.S. Terrestrial ecosystems and the carbon cycle. Glob. Chang. Biol. 1995, 1, 77–91. [Google Scholar] [CrossRef]
- Ramesh, T.; Bolan, N.S.; Kirkham, M.B.; Wijesekara, H.; Kanchikerimath, M.; Rao, C.S.; Sandeep, S.; Rinklebe, J.; Ok, Y.S.; Choudhury, B.U.; et al. Soil organic carbon dynamics: Impact of land use changes and management practices: A review. Adv. Agron. 2019, 156, 1–107. [Google Scholar] [CrossRef]
- Pietrzykowski, M.; Krzaklewski, W. Soil organic matter, C and N accumulation during natural succession and reclamation in an opencast sand quarry (southern Poland). Arch. Agron. Soil Sci. 2007, 53, 473–483. [Google Scholar] [CrossRef]
- Čížková, B.; Woś, B.; Pietrzykowski, M.; Frouz, J. Development of soil chemical and microbial properties in reclaimed and unreclaimed grasslands in heaps after opencast lignite mining. Ecol. Eng. 2018, 123, 103–111. [Google Scholar] [CrossRef]
- Zhao, Z.; Shahrour, I.; Bai, Z.; Fan, W.; Feng, L.; Li, H. Soils development in opencast coal mine spoils reclaimed for 1–13 years in the West-Northern Loess Plateau of China. Eur. J. Soil Biol. 2013, 55, 40–46. [Google Scholar] [CrossRef]
- Adeli, A.; Brooks, J.P.; Read, J.J.; McGrew, R.; Jenkins, J.N. Post-reclamation Age Effects on Soil Physical Properties and Microbial Activity Under Forest and Pasture Ecosystems. Commun. Soil Sci. Plant Anal. 2018, 50, 20–34. [Google Scholar] [CrossRef]
- Bartuska, M.; Frouz, J. Carbon accumulation and changes in soil chemistry in reclaimed open-cast coal mining heaps near Sokolov using repeated measurement of chronosequence sites. Eur. J. Soil Sci. 2015, 66, 104–111. [Google Scholar] [CrossRef]
- Quinkenstein, A.; Böhm, C.; Matos, E.D.S.; Freese, D.; Hüttl, R.F. Assessing the Carbon Sequestration in Short Rotation Coppices of Robinia pseudoacacia L. on Marginal Sites in Northeast Germany. In Agroforestry—The Future of Global Land Use; Springer Science and Business Media LLC.: Berlin/Heidelberg, Germany, 2011; pp. 201–216. [Google Scholar]
- Schulz, E. Influence of site conditions and management on different soil organic matter (som) pools. Arch. Agron. Soil Sci. 2004, 50, 33–47. [Google Scholar] [CrossRef]
- Boyer, J.; Groffman, P. Bioavailability of water extractable organic carbon fractions in forest and agricultural soil profiles. Soil Biol. Biochem. 1996, 28, 783–790. [Google Scholar] [CrossRef]
- Ghani, A.; Dexter, M.; Perrott, K. Hot-water extractable carbon in soils: A sensitive measurement for determining impacts of fertilisation, grazing and cultivation. Soil Biol. Biochem. 2003, 35, 1231–1243. [Google Scholar] [CrossRef]
- Cepáková, Š.; Tošner, Z.; Frouz, J. The effect of tree species on seasonal fluctuations in water-soluble and hot water-extractable organic matter at post-mining sites. Geoderma 2016, 275, 19–27. [Google Scholar] [CrossRef]
- Scaglia, B.; Adani, F. Biodegradability of soil water soluble organic carbon extracted from seven different soils. J. Environ. Sci. 2009, 21, 641–646. [Google Scholar] [CrossRef]
- Balaria, A.; Johnson, C.E.; Xu, Z. Molecular-Scale Characterization of Hot-Water-Extractable Organic Matter in Organic Horizons of a Forest Soil. Soil Sci. Soc. Am. J. 2009, 73, 812–821. [Google Scholar] [CrossRef]
- Sparling, G.; Vojvodić-Vuković, M.; Schipper, L. Hot-water-soluble C as a simple measure of labile soil organic matter: The relationship with microbial biomass C. Soil Biol. Biochem. 1998, 30, 1469–1472. [Google Scholar] [CrossRef]
- Uchida, Y.; Nishimura, S.; Akiyama, H. The relationship of water-soluble carbon and hot-water-soluble carbon with soil respiration in agricultural fields. Agric. Ecosyst. Environ. 2012, 156, 116–122. [Google Scholar] [CrossRef]
- Curtin, D.; Qiu, W.; Peterson, M.; Beare, M.H.; Anderson, C.R.; Chantigny, M.H. Exchangeable cation effects on hot water extractable carbon and nitrogen in agricultural soils. Soil Res. 2020, 58, 356. [Google Scholar] [CrossRef]
- Józefowska, A.; Pietrzykowski, M.; Woś, B.; Cajthaml, T.; Frouz, J. The effects of tree species and substrate on carbon sequestration and chemical and biological properties in reforested post-mining soils. Geoderma 2017, 292, 9–16. [Google Scholar] [CrossRef]
- Hüblová, L.; Frouz, J. Contrasting effect of coniferous and broadleaf trees on soil carbon storage during reforestation of forest soils and afforestation of agricultural and post-mining soils. J. Environ. Manag. 2021, 290, 112567. [Google Scholar] [CrossRef] [PubMed]
- Yan, M.; Fan, L.; Wang, L. Restoration of soil carbon with different tree species in a post-mining land in eastern Loess Plateau, China. Ecol. Eng. 2020, 158, 106025. [Google Scholar] [CrossRef]
- Maiti, S.K.; Bandyopadhyay, S.; Mukhopadhyay, S. Importance of selection of plant species for successful ecological restoration program in coal mine degraded land. In Phytorestoration of Abandoned Mining and Oil Drilling Sites; Elsevier BV: Amsterdam, The Netherlands, 2021; pp. 325–357. [Google Scholar]
- Pietrzykowski, M. Tree species selection and reaction to mine soil reconstructed at reforested post-mine sites: Central and eastern European experiences. Ecol. Eng. 2019, 142, 100012. [Google Scholar] [CrossRef]
- Vacek, Z.; Linda, R.; Cukor, J.; Vacek, S.; Šimůnek, V.; Gallo, J.; Vančura, K. Scots pine (Pinus sylvestris L.), the suitable pioneer species for afforestation of reclamation sites? For. Ecol. Manag. 2021, 485, 118951. [Google Scholar] [CrossRef]
- Woś, B.; Pająk, M.; Krzaklewski, W.; Pietrzykowski, M. Verifying the Utility of Black Locust (Robinia pseudoacacia L.) in the Reclamation of a Lignite Combustion Waste Disposal Site in Central European Conditions. Forests 2020, 11, 877. [Google Scholar] [CrossRef]
- Bigler, C.; Bräker, O.U.; Bugmann, H.; Dobbertin, M.; Rigling, A. Drought as an Inciting Mortality Factor in Scots Pine Stands of the Valais, Switzerland. Ecosystems 2006, 9, 330–343. [Google Scholar] [CrossRef] [Green Version]
- Pietrzykowski, M.; Woś, B. The Impact of Climate Change on Forest Tree Species Dieback and Changes in Their Distribution. In Soil Biology; Springer Science and Business Media LLC.: Berlin/Heidelberg, Germany, 2021; pp. 447–460. [Google Scholar]
- Knoche, D.; Ertle, C. Infection of Scots pine afforestations (Pinus sylvestris L.) by annosum root rot (Heterobasidion annosum (Fr.) Bref.) in the Eastern German Lignite District. Civ. Environ. Eng. Rep. 2010, 4, 35–45. [Google Scholar]
- Eilmann, B.; Rigling, A. Tree-growth analyses to estimate tree species’ drought tolerance. Tree Physiol. 2012, 32, 178–187. [Google Scholar] [CrossRef] [Green Version]
- Herrero, A.; Zamora, R. Plant Responses to Extreme Climatic Events: A Field Test of Resilience Capacity at the Southern Range Edge. PLoS ONE 2014, 9, e87842. [Google Scholar] [CrossRef]
- Marqués, L.; Camarero, J.J.; Gazol, A.; Zavala, M.A. Drought impacts on tree growth of two pine species along an altitudinal gradient and their use as early-warning signals of potential shifts in tree species distributions. For. Ecol. Manag. 2016, 381, 157–167. [Google Scholar] [CrossRef]
- Isajev, V.; Fady, B.; Semerci, H.; Andonovski, V. Euforgen Technical Guidelines for Genetic Conservation and Use for European Black Pine (Pinus nigra); International Plant Genetic Resources Institute: Rome, Italy, 2003. [Google Scholar]
- Thiel, D.; Nagy, L.; Beierkuhnlein, C.; Huber, G.; Jentsch, A.; Konnert, M.; Kreyling, J. Uniform drought and warming responses in Pinus nigra provenances despite specific overall performances. For. Ecol. Manag. 2012, 270, 200–208. [Google Scholar] [CrossRef]
- Dixon, C.; Fyson, G.F.; Pasiecznik, N.; Praciak, A.; Rushforth, K.; Sassen, M.; Sheil, D.; Correia, C.S.; Teeling, C.; van Heist, M. The CABI Encyclopedia of Forest Trees; CABI Publishing: Oxfordshire, UK, 2013. [Google Scholar]
- Forest Europe. State of Europe’s Forests 2015; Forest Europe Liaison Unit: Madrid, Spain, 2015. [Google Scholar]
- Oleksyn, J.; Oleksynowa, K.; Kozłowska, E.; Rachwał, L. Mineral content and the sensitivity of black pine (Pinus nigra) of various provenances to industrial air pollution. For. Ecol. Manag. 1987, 21, 237–247. [Google Scholar] [CrossRef]
- Chudzínska, E.; Diatta, J.B.; Wojnicka-Półtorak, A. Adaptation strategies and referencing trial of Scots and black pine populations subjected to heavy metal pollution. Environ. Sci. Pollut. Res. 2013, 21, 2165–2177. [Google Scholar] [CrossRef] [PubMed] [Green Version]
- Stanek, M.; Piechnik, Ł.; Stefanowicz, A.M. Invasive red oak (Quercus rubra L.) modifies soil physicochemical properties and forest understory vegetation. For. Ecol. Manag. 2020, 472, 118253. [Google Scholar] [CrossRef]
- Vacek, Z.; Cukor, J.; Vacek, S.; Linda, R.; Prokůpková, A.; Podrázský, V.; Gallo, J.; Vacek, O.; Šimůnek, V.; Drábek, O.; et al. Production potential, biodiversity and soil properties of forest reclamations: Opportunities or risk of introduced coniferous tree species under climate change? Forstwiss. Centralblatt 2021, 140, 1243–1266. [Google Scholar] [CrossRef]
- Pietrzykowski, M.; Gruba, P.; Sproull, G. The effectiveness of Yellow lupine (Lupinus luteus L.) green manure cropping in sand mine cast reclamation. Ecol. Eng. 2017, 102, 72–79. [Google Scholar] [CrossRef]
- Chantigny, M.H.; Angers, D.A.; Kaiser, K.; Kalbitz, K. Extraction and Characterization of Dissolved Organic Matter. In Soil Sampling and Methods of Analysis, 2nd ed.; Carter, M.R., Gregorich, E.G., Eds.; CRC Press Taylor & Francis: Boca Raton, FL, USA, 2007. [Google Scholar]
- Hamkalo, Z.; Bedernichek, T. Total, cold and hot water extractable organic carbon in soil profile: Impact of land-use change. Zemdirb.-Agric. 2014, 101, 125–132. [Google Scholar] [CrossRef] [Green Version]
- Rosenvald, K.; Kuznetsova, T.; Ostonen, I.; Truu, M.; Truu, J.; Uri, V.; Lõhmus, K. Rhizosphere effect and fine-root morphological adaptations in a chronosequence of silver birch stands on reclaimed oil shale post-mining areas. Ecol. Eng. 2011, 37, 1027–1034. [Google Scholar] [CrossRef]
- Mareschal, L.; Bonnaud, P.; Turpault, M.P.; Ranger, J. Impact of common European tree species on the chemical and physicochemical properties of fine earth: An unusual pattern. Eur. J. Soil Sci. 2010, 61, 14–23. [Google Scholar] [CrossRef]
- Woś, B.; Józefowska, A.; Likus-Cieślik, J.; Chodak, M.; Pietrzykowski, M. Effect of tree species and soil texture on the Carbon stock, macronutrient content and physicochemical properties of regenerated post-fire forest soils. Land Degrad. Dev. 2021. [Google Scholar] [CrossRef]
- Józefowska, A.; Sokołowska, J.; Woźnica, K.; Woś, B.; Pietrzykowski, M. Tree species and soil substrate affect buffer capacity of anthroposols in afforested postmine sites in Poland. J. Soil Water Conserv. 2019, 74, 372–379. [Google Scholar] [CrossRef]
- Soil Science Division Staff. Soil survey manual. In USDA Handbook 18; Ditzler, C., Scheffe, K., Monger, H.C., Eds.; Government Printing Office: Washington, DC, USA, 2017. [Google Scholar]
- Mukhopadhyay, S.; Masto, R.E. Comparative evaluation of Cassia siamea and Albizia lebbeck for their potential to recover carbon and nutrient stocks in a chronosequence post-mining site. Catena 2021, 208, 105726. [Google Scholar] [CrossRef]
- Shrestha, R.K.; Lal, R. Land use impacts on physical properties of 28 years old reclaimed mine soils in Ohio. Plant Soil 2008, 306, 249–260. [Google Scholar] [CrossRef]
- Shrestha, R.K.; Lal, R. Changes in physical and chemical properties of soil after surface mining and reclamation. Geoderma 2011, 161, 168–176. [Google Scholar] [CrossRef]
- Arvidsson, J. Influence of soil texture and organic matter content on bulk density, air content, compression index and crop yield in field and laboratory compression experiments. Soil Tillage Res. 1998, 49, 159–170. [Google Scholar] [CrossRef]
- Nawaz, M.F.; Bourrié, G.; Trolard, F. Soil compaction impact and modelling. A review. Agron. Sustain. Dev. 2013, 33, 291–309. [Google Scholar] [CrossRef] [Green Version]
- Gruba, P.; Mulder, J. Tree species affect cation exchange capacity (CEC) and cation binding properties of organic matter in acid forest soils. Sci. Total Environ. 2015, 511, 655–662. [Google Scholar] [CrossRef]
- Manrique, L.A.; Jones, C.A.; Dyke, P.T. Predicting Cation-Exchange Capacity from Soil Physical and Chemical Properties. Soil Sci. Soc. Am. J. 1991, 55, 787–794. [Google Scholar] [CrossRef]
- Bradshaw, A. The use of natural processes in reclamation—Advantages and difficulties. Landsc. Urban Plan. 2000, 51, 89–100. [Google Scholar] [CrossRef]
- Marschner, P. Marschner’s Mineral Nutrition of Higher Plants, 3rd ed.; Academic Press: Cambridge, MA, USA, 2011. [Google Scholar]
- Kumar, S.; Maiti, S.K.; Chaudhuri, S. Soil development in 2–21 years old coalmine reclaimed spoil with trees: A case study from Sonepur-Bazari opencast project, Raniganj Coalfield, India. Ecol. Eng. 2015, 84, 311–324. [Google Scholar] [CrossRef]
- Stevenson, F.J.; Cole, M.A. Cycles of Soil: Carbon, Nitrogen, Phosphorus, Sulfur, Micronutrients, 2nd ed.; John Wiley & Sons: Hoboken, NJ, USA, 1999. [Google Scholar]
- Gurmesa, G.A.; Schmidt, I.K.; Gundersen, P.; Vesterdal, L. Soil carbon accumulation and nitrogen retention traits of four tree species grown in common gardens. For. Ecol. Manag. 2013, 309, 47–57. [Google Scholar] [CrossRef]
- Muukkonen, P. Needle biomass turnover rates of Scots pine (Pinus sylvestris L.) derived from the needle-shed dynamics. Trees 2004, 19, 273–279. [Google Scholar] [CrossRef]
- Starr, M.; Saarsalmi, A.; Hokkanen, T.; Merilä, P.; Helmisaari, H.-S. Models of litterfall production for Scots pine (Pinus sylvestris L.) in Finland using stand, site and climate factors. For. Ecol. Manag. 2005, 205, 215–225. [Google Scholar] [CrossRef]
- Gruba, P.; Socha, J. Exploring the effects of dominant forest tree species, soil texture, altitude, and pHH2O on soil carbon stocks using generalized additive models. For. Ecol. Manag. 2019, 447, 105–114. [Google Scholar] [CrossRef]
- Ganjegunte, G.K.; Wick, A.F.; Stahl, P.D.; Vance, G.F. Accumulation and composition of total organic carbon in reclaimed coal mine lands. Land Degrad. Dev. 2009, 20, 156–175. [Google Scholar] [CrossRef]
- Shrestha, R.K.; Lal, R. Soil Carbon and Nitrogen in 28-Year-Old Land Uses in Reclaimed Coal Mine Soils of Ohio. J. Environ. Qual. 2007, 36, 1775–1783. [Google Scholar] [CrossRef]
- Kanzler, M.; Böhm, C.; Freese, D. The development of soil organic carbon under young black locust (Robinia pseudoacacia L.) trees at a post-mining landscape in eastern Germany. New For. 2021, 52, 47–68. [Google Scholar] [CrossRef] [Green Version]
- Woś, B.; Smoliński, A.; Likus-Cieślik, J.; Pietrzykowski, M. The impact of alder litter on chemistry of Technosols developed from lignite combustion waste and natural sandy substrate: A laboratory experiment. Int. J. Phytoremed. 2021, 23, 415–425. [Google Scholar] [CrossRef]
- Sá, J.C.D.M.; Gonçalves, D.R.P.; Ferreira, L.A.; Mishra, U.; Inagaki, T.M.; Furlan, F.J.F.; Moro, R.S.; Floriani, N.; Briedis, C.; Ferreira, A.D.O. Soil carbon fractions and biological activity based indices can be used to study the impact of land management and ecological successions. Ecol. Indic. 2018, 84, 96–105. [Google Scholar] [CrossRef]
- Ćirić, V.; Belić, M.; Nešić, L.; Šeremešić, S.; Pejić, B.; Bezdan, A.; Manojlović, M. The sensitivity of water extractable soil organic carbon fractions to land use in three soil types. Arch. Agron. Soil Sci. 2016, 62, 1654–1664. [Google Scholar] [CrossRef]
- Leinweber, P.; Schulten, H.-R. Hot water extracted organic matter: Chemical composition and temporal variations in a long-term field experiment. Biol. Fertil. Soils 1995, 20, 17–23. [Google Scholar] [CrossRef]
- Kubát, J.; Cerhanová, D.; Nováková, J.; Klement, V.; Čermák, P.; Dostál, J. Total organic c and its decomposable part in arable soils in the Czech Republic. Arch. Agron. Soil Sci. 2004, 50, 21–32. [Google Scholar] [CrossRef]
- Chodak, M.; Khanna, P.; Beese, F. Hot water extractable C and N in relation to microbiological properties of soils under beech forests. Biol. Fertil. Soils 2003, 39, 123–130. [Google Scholar] [CrossRef]
- Bu, X.; Wang, L.; Ma, W.; Yu, X.; McDowell, W.H.; Ruan, H. Spectroscopic characterization of hot-water extractable organic matter from soils under four different vegetation types along an elevation gradient in the Wuyi Mountains. Geoderma 2010, 159, 139–146. [Google Scholar] [CrossRef]
- Corvasce, M.; Zsolnay, A.; D’Orazio, V.; Lopez, R.; Miano, T. Characterization of water extractable organic matter in a deep soil profile. Chemosphere 2006, 62, 1583–1590. [Google Scholar] [CrossRef]





| Variant | Species | Age [Years] | Stand Density [Trees ha−1] | DBH [cm] 1 | H [m] 2 |
|---|---|---|---|---|---|
| BP-20 | Black pine | 20 | 8000 | 5 | 4 |
| SP-20 | Scots pine | 20 | 5000 | 7 | 6 |
| BP-35 | Black pine | 35 | 1900 | 15 | 12 |
| SP-35 | Scots pine | 35 | 2400 | 16 | 14 |
| CP | Scots pine | 105 | 320 | 30 | 21 |
| Effect | Soil Parameters/Horizons [cm] | ||||||||||||
|---|---|---|---|---|---|---|---|---|---|---|---|---|---|
| Sand [%] | Silt [%] | Clay [%] | BD [g cm−3] | pH | EC [µS cm−1] | ||||||||
| 0–5 | 5–20 | 0–5 | 5–20 | 0–5 | 5–20 | 0–5 | 5–20 | Oi + Oe | 0–5 | 5–20 | 0–5 | 5–20 | |
| Species | N.S.1 | N.S. | N.S. | N.S. | N.S. | N.S. | N.S. | N.S. | S. | S. | N.S. | S. | N.S. |
| BP | 95 ± 1 a 2 | 96 ± 1 a | 4 ± 1 a | 3 ± 1 a | 1 ± 0 a | 1 ± 0 a | 1.47 ± 0.01 a | 1.48 ± 0.01 a | 4.5 ± 0.1 b | 4.6 ± 0.1 b | 4.6 ± 0.0 a | 13.6 ± 2.5 a | 10.5 ± 1.2 a |
| SP | 95 ± 1 a | 96 ± 1 a | 4 ± 1 a | 3 ± 1 a | 1 ± 0 a | 1 ± 0 a | 1.40 ± 0.05 a | 1.68 ± 0.16 a | 4.3 ± 0.1 a | 4.3 ± 0.1 a | 4.6 ± 0.1 a | 19.6 ± 2.2 b | 11.1 ± 1.0 a |
| Age | N.S. | N.S. | N.S. | N.S. | N.S. | N.S. | N.S. | N.S. | S. | S. | N.S. | S. | N.S. |
| RMS-20 | 96 ± 0 Ba | 97 ± 0 Ba | 3 ± 0 Aa | 2 ± 0 Aa | 1 ± 0 Aa | 1 ± 0 Aa | 1.47 ± 0.02 Ba | 1.70 ± 0.15 Aa | 4.5 ± 0.0 Bb | 4.6 ± 0.1 Bb | 4.6 ± 0.0 Aa | 12.5 ± 2.3 Aa | 8.6 ± 0.8 Aa |
| RMS-35 | 94 ± 1 Ba | 95 ± 1 Ba | 5 ± 1 Aa | 4 ± 1 Aa | 1 ± 0 Aa | 1 ± 0 Aa | 1.40 ± 0.05 Ba | 1.46 ± 0.03 Aa | 4.3 ± 0.1 Aa | 4.4 ± 0.1 Aa | 4.6 ± 0.0 Aa | 20.8 ± 1.8 Bb | 13.0 ± 0.8 Aa |
| Species × Age 3 | N.S. | N.S. | N.S. | N.S. | N.S. | N.S. | N.S. | N.S. | N.S. | N.S. | N.S. | N.S. | N.S. |
| CP | 91 ± 1 A | 92 ± 0 A | 8 ± 1 B | 7 ± 0 B | 1 ± 0 A | 1 ± 0 A | 0.85 ± 0.14 A | 1.30 ± 0.04 A | 4.2 ± 0 A | 5.3 ± 0 C | 5.2 ± 0.1 B | 44.7 ± 0.6 C | 28.7 ± 3.5 B |
| Effect | Soil Parameters/Horizons [cm] | |||||||
|---|---|---|---|---|---|---|---|---|
| EA [cmol(+) kg−1] | TEB [cmol(+) kg−1] | CEC [cmol(+) kg−1] | BS [%] | |||||
| 0–5 | 5–20 | 0–5 | 5–20 | 0–5 | 5–20 | 0–5 | 5–20 | |
| Species | N.S. 1 | N.S. | N.S. | N.S. | N.S. | N.S. | N.S. | N.S. |
| BP | 1.61 ± 0.28 a 2 | 1.14 ± 0.11 a | 0.36 ± 0.06 a | 0.34 ± 0.11 a | 1.97 ± 0.30 a | 1.45 ± 0.15 a | 20.07 ± 2.55 a | 20.20 ± 2.52 a |
| SP | 2.01 ± 0.32 a | 1.14 ± 0.11 a | 0.36 ± 0.05 a | 0.31 ± 0.07 a | 2.37 ± 0.36 a | 1.48 ± 0.20 a | 15.73 ± 2.01 a | 20.52 ± 3.63 a |
| Age | S. | N.S. | N.S. | N.S. | S. | N.S. | S. | N.S. |
| RMS-20 | 1.16 ± 0.11 Aa | 1.00 ± 0.07 Aa | 0.32 ± 0.02 Aa | 0.21 ± 0.02 Aa | 1.49 ± 0.12 Aa | 1.21 ± 0.08 Aa | 22.19 ± 1.86 Bb | 17.32 ± 1.82 Aa |
| RMS-35 | 2.46 ± 0.24 Bb | 1.28 ± 0.11 Aa | 0.40 ± 0.07 Aa | 0.44 ± 0.11 Aa | 2.86 ± 0.29 Bb | 1.71 ± 0.20 Aa | 13.60 ± 1.77 Aa | 23.40 ± 3.69 Aa |
| Species × Age 3 | N.S. | N.S. | N.S. | N.S. | N.S. | N.S. | N.S. | N.S. |
| CP | 8.32 ± 0.7 C | 4.14 ± 0.08 B | 6.63 ± 0.19 B | 2.51 ± 0.02 B | 14.94 ± 0.55 C | 6.65 ± 0.09 B | 44.69 ± 2.56 C | 37.78 ± 0.42 B |
| C Stock [Mg ha−1] | C Stock in Litter [Mg ha−1] | WSC [mg g−1] | HWC [mg g−1] | pH | Sand [%] | Silt [%] | Clay [%] | |
|---|---|---|---|---|---|---|---|---|
| pH | 0.77 ** | 0.52 * | 0.39 | 0.63 ** | 1.00 | −0.55 * | 0.55 * | −0.01 |
| EC [µS cm−1] | 0.89 ** | 0.88 ** | 0.82 ** | 0.80 ** | 0.47 * | −0.90 ** | 0.90 ** | 0.58 ** |
| Sand [%] | −0.90 ** | −0.78 ** | −0.77 ** | −0.80 ** | −0.55 * | 1.00 | −0.99 ** | −0.71 ** |
| Silt [%] | 0.90 ** | 0.77 ** | 0.80 ** | 0.83 ** | 0.55 * | −0.99 ** | 1.00 | 0.68 ** |
| Clay [%] | 0.42 | 0.41 | 0.50 * | 0.38 | −0.01 | −0.71 ** | 0.68 ** | 1.00 |
| BD [g cm−3] | −0.90 ** | −0.80 ** | −0.78 ** | −0.89 ** | −0.59 ** | 0.80 ** | −0.83 ** | −0.39 |
| EA [cmol(+) kg−1] | 0.98 ** | 0.84 ** | 0.79 ** | 0.90 ** | 0.66 ** | −0.95 ** | 0.96 ** | 0.54 * |
| TEB [cmol(+) kg−1] | 0.97 ** | 0.87 ** | 0.69 ** | 0.81 ** | 0.80 ** | −0.88 ** | 0.87 ** | 0.42 |
| CEC [cmol(+) kg−1] | 0.99 ** | 0.87 ** | 0.75 ** | 0.87 ** | 0.74 ** | −0.93 ** | 0.93 ** | 0.49 * |
| BS [%] | 0.80 ** | 0.63 ** | 0.49 * | 0.63 ** | 0.90 ** | −0.68 ** | 0.66 ** | 0.26 |
Publisher’s Note: MDPI stays neutral with regard to jurisdictional claims in published maps and institutional affiliations. |
© 2022 by the authors. Licensee MDPI, Basel, Switzerland. This article is an open access article distributed under the terms and conditions of the Creative Commons Attribution (CC BY) license (https://creativecommons.org/licenses/by/4.0/).
Share and Cite
Woś, B.; Pająk, M.; Pietrzykowski, M. Soil Organic Carbon Pools and Associated Soil Chemical Properties under Two Pine Species (Pinus sylvestris L. and Pinus nigra Arn.) Introduced on Reclaimed Sandy Soils. Forests 2022, 13, 328. https://doi.org/10.3390/f13020328
Woś B, Pająk M, Pietrzykowski M. Soil Organic Carbon Pools and Associated Soil Chemical Properties under Two Pine Species (Pinus sylvestris L. and Pinus nigra Arn.) Introduced on Reclaimed Sandy Soils. Forests. 2022; 13(2):328. https://doi.org/10.3390/f13020328
Chicago/Turabian StyleWoś, Bartłomiej, Marek Pająk, and Marcin Pietrzykowski. 2022. "Soil Organic Carbon Pools and Associated Soil Chemical Properties under Two Pine Species (Pinus sylvestris L. and Pinus nigra Arn.) Introduced on Reclaimed Sandy Soils" Forests 13, no. 2: 328. https://doi.org/10.3390/f13020328
APA StyleWoś, B., Pająk, M., & Pietrzykowski, M. (2022). Soil Organic Carbon Pools and Associated Soil Chemical Properties under Two Pine Species (Pinus sylvestris L. and Pinus nigra Arn.) Introduced on Reclaimed Sandy Soils. Forests, 13(2), 328. https://doi.org/10.3390/f13020328

