Macronutrient Content in European Beech (Fagus sylvatica L.) Seedlings Grown in Differently Compacted Peat Substrates in a Container Nursery
Abstract
1. Introduction
2. Materials and Methods
2.1. Biometric Analysis
2.2. Elemental Analysis
2.3. Statistical Analysis
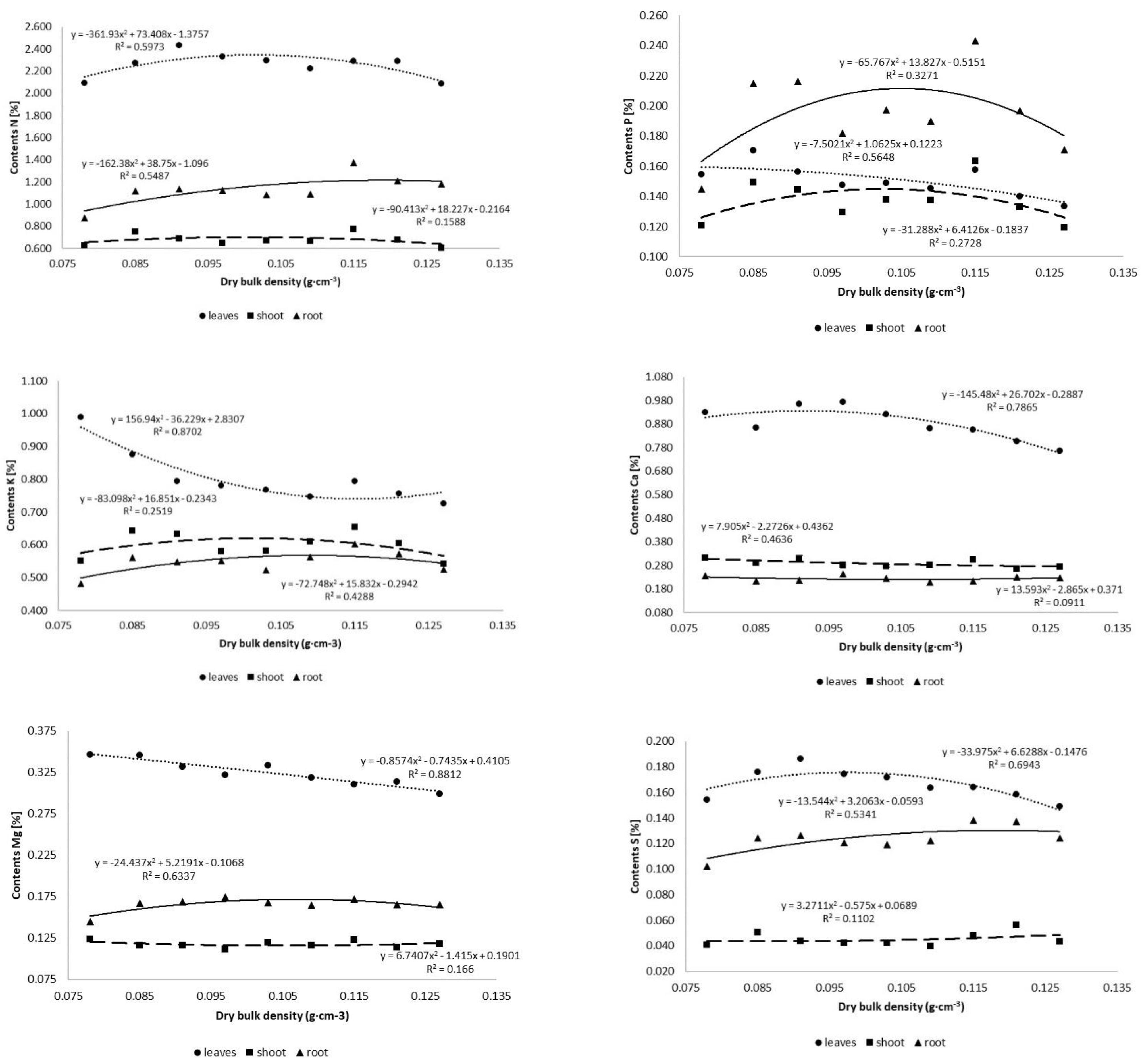
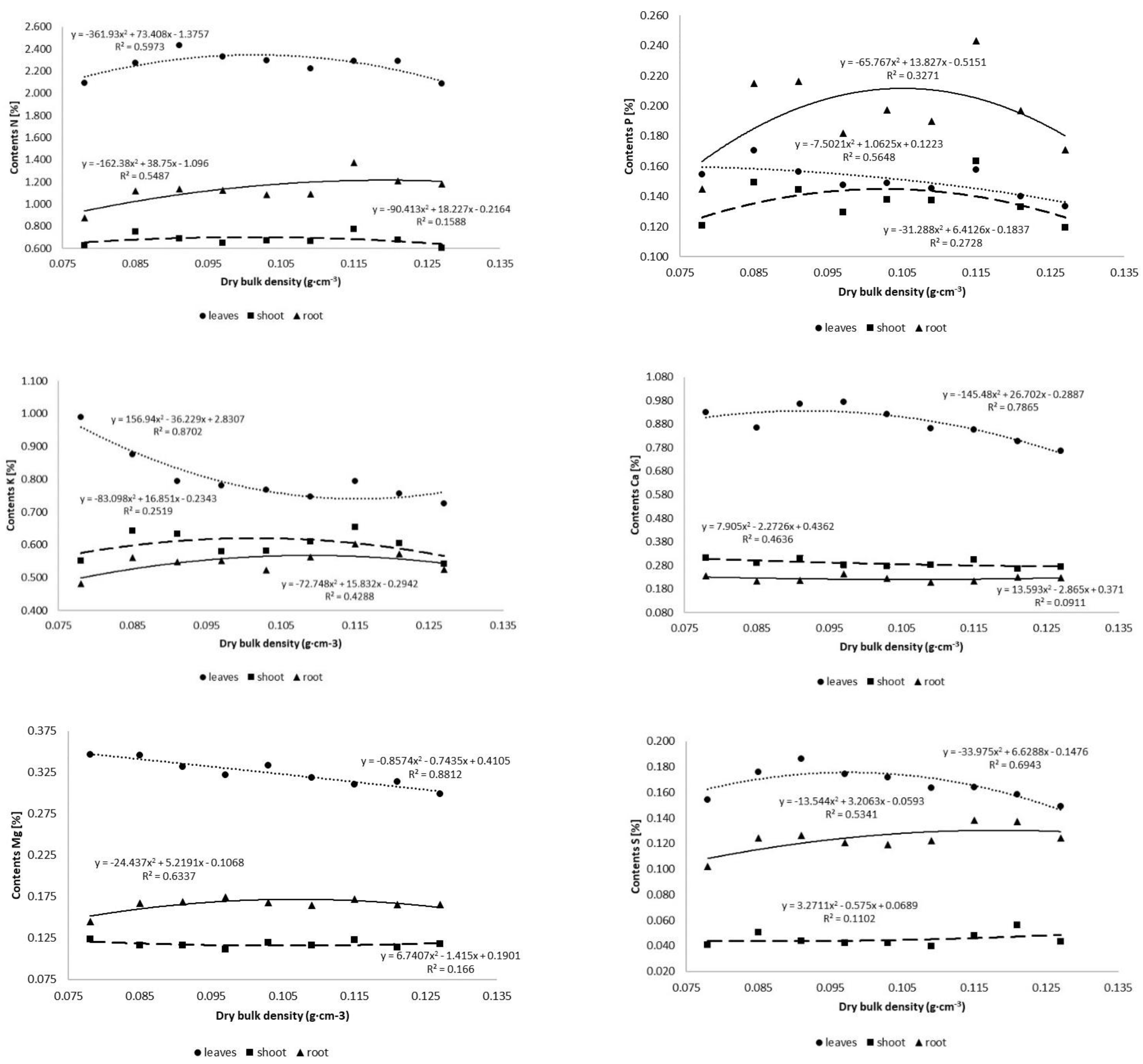
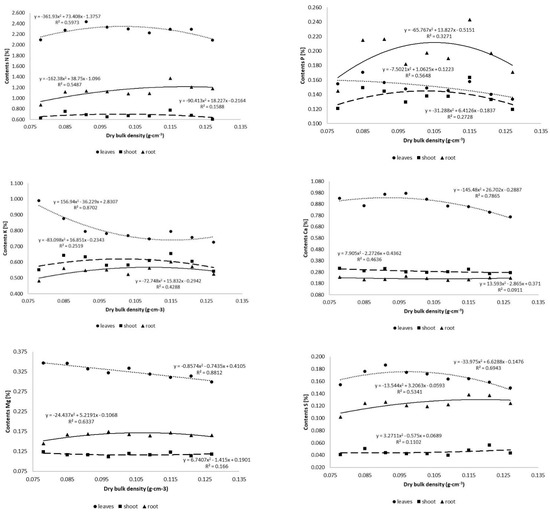
3. Results
4. Discussion
5. Conclusions
Author Contributions
Funding
Institutional Review Board Statement
Informed Consent Statement
Data Availability Statement
Acknowledgments
Conflicts of Interest
References
- Durrant, T.; de Rigo, D.; Caudullo, G. Fagus sylvatica in Europe: Distribution, Habitat, Usage and Threats. In European Atlas of Forest Tree Species; San-Miguel-Ayanz, J., de Rigo, D., Caudullo, G., Durrant, T., Mauri, A., Eds.; Publication Office of the European Union: Luxembourg, 2016; pp. 94–95. ISBN 978-92-79-36740-3. [Google Scholar]
- FOREST EUROPE. State of Europe’s Forests 2020; Liaison Unit Bratislava: Zvolen, Slovakia, 2020. [Google Scholar]
- Available online: https://isap.sejm.gov.pl/isap.nsf/download.xsp/WDU19911010444/U/D19910444Lj.pdf (accessed on 2 October 2022).
- Ekologiczne i Hodowlane Uwarunkowania Przebudowy Drzewostanów Świerkowych w Beskidzie Śląskim i Beskidzie Żywieckim; Małek, S., Ed.; Wydawnictwo Uniwersytetu Rolniczego: Kraków, Poland, 2015; ISBN 978-83-64758-15-7. [Google Scholar]
- Griess, V.C.; Knoke, T. Growth Performance, Windthrow, and Insects: Meta-Analyses of Parameters Influencing Performance of Mixed-Species Stands in Boreal and Northern Temperate Biomes. Can. J. For. Res. 2011, 41, 1141–1159. [Google Scholar] [CrossRef]
- Pretzsch, H.; Rötzer, T. Indicating Forest Ecosystem and Stand Productivity: From Deductive to Inductive Concepts. In Ecological Forest Management Handbook; Larocque, G.R., Ed.; CRC Press: Boca Raton, FL, USA, 2016; pp. 426–455. ISBN 978-0-429-18878-7. [Google Scholar]
- Ding, H.; Pretzsch, H.; Schütze, G.; Rötzer, T. Size-Dependence of Tree Growth Response to Drought for Norway Spruce and European Beech Individuals in Monospecific and Mixed-Species Stands. Plant Biol. J. 2017, 19, 709–719. [Google Scholar] [CrossRef] [PubMed]
- Fober, H. Mineralne Żywienie. In Buk Zwyczajny Fagus sylvatica L.; Białobok, S., Ed.; Państwowe Wydawnictwo Naukowe: Warszawa, Poland; Poznań, Poland, 1990; Volume 10, pp. 143–157. ISBN 978-83-01-07700-6. [Google Scholar]
- Jaworski, A. Hodowla Lasu. T. 3. Charakterystyka Hodowlana Drzew i Krzewów Leśnych; Powszechne Wydawnictwo Rolnicze i Leśne: Warszawa, Poland, 2019; ISBN 978-83-09-01117-0. [Google Scholar]
- Yang, F.; Magh, R.-K.; Ivanković, M.; Lanšćak, M.; Haberstroh, S.; Du, B.; Dannenmann, M.; Rennenberg, H.; Herschbach, C. Foliar P Nutrition of European Beech (Fagus sylvatica L.) Depends on the Season but Remains Unaffected by Co-Cultivation with Silver Fir (Abies alba Mill.). Eur. J. For. Res. 2020, 139, 853–868. [Google Scholar] [CrossRef]
- Salifu, K.F.; Timmer, V.R. Optimizing Nitrogen Loading of Picea Mariana Seedlings during Nursery Culture. Can. J. For. Res. 2003, 33, 1287–1294. [Google Scholar] [CrossRef]
- Oliet, J.A.; Planelles, R.; Artero, F.; Valverde, R.; Jacobs, D.F.; Segura, M.L. Field Performance of Pinus Halepensis Planted in Mediterranean Arid Conditions: Relative Influence of Seedling Morphology and Mineral Nutrition. New For. 2009, 37, 313–331. [Google Scholar] [CrossRef]
- Szołtyk, G.; Hilszczańska, D. Rewitalizacja Gleb w Szkółkach Leśnych; Centrum Informacyjne Lasów Państwowych: Warszawa, Poland, 2003; ISBN 978-83-88478-61-1. [Google Scholar]
- Fober, H. Odżywianie mineralne. In Dęby. Quercus robur L. Quercus petraea (Matt.) Liebl.; Nasze Drzewa Leśne; Bogucki Wydawnictwo Naukowe: Poznań, Poland; Polska Akademia Nauk. Instytut Dendrologii: Kórnik, Poland, 2006; pp. 232–264. ISBN 978-83-60247-22-8. [Google Scholar]
- Wesoły, W.; Hauke, M. Szkółkarstwo Leśne od A do Z: Praca Zbiorowa; Centrum Informacyjne Lasów Państwowych: Warszawa, Poland, 2009; ISBN 978-83-89744-81-4. [Google Scholar]
- Kozlowski, T.T. Soil Compaction and Growth of Woody Plants. Scand. J. For. Res. 1999, 14, 596–619. [Google Scholar] [CrossRef]
- Passioura, J.B. Soil Conditions and Plant Growth’: Soil Conditions and Plant Growth. Plant Cell Environ. 2002, 25, 311–318. [Google Scholar] [CrossRef]
- Jordan, D.; Ponder, F.; Hubbard, V.C. Effects of Soil Compaction, Forest Leaf Litter and Nitrogen Fertilizer on Two Oak Species and Microbial Activity. Appl. Soil Ecol. 2003, 23, 33–41. [Google Scholar] [CrossRef]
- Lipiec, J.; Medvedev, V.V.; Birkas, M.; Dumitru, E.; Lyndina, T.E.; Rousseva, S.; Fulajtár, E. Effect of Soil Compaction on Root Growth and Crop Yield in Central and Eastern Europe. Int. Agrophys. 2003, 17, 61–69. [Google Scholar]
- Lipiec, J.; Horn, R.; Pietrusiewicz, J.; Siczek, A. Effects of Soil Compaction on Root Elongation and Anatomy of Different Cereal Plant Species. Soil Tillage Res. 2012, 121, 74–81. [Google Scholar] [CrossRef]
- Ferree, D.C.; Streeter, J.G.; Yuncong, Y. Response of Container-Grown Apple Trees to Soil Compaction. HortScience 2004, 39, 40–48. [Google Scholar] [CrossRef]
- Hamza, M.A.; Anderson, W.K. Soil Compaction in Cropping Systems. Soil Tillage Res. 2005, 82, 121–145. [Google Scholar] [CrossRef]
- Kormanek, M.; Banach, J.; Ryba, M. Influence of Substrate Compaction in Nursery Containers on the Growth of Scots Pine (Pinus sylvestris L.) Seedlings. For. Res. Pap. 2013, 74, 307–314. [Google Scholar] [CrossRef]
- Kormanek, M.; Banach, J.; Leńczuk, D. Determination of the Impact of Soil Compaction on Growth Performance and Quality of Seedlings of European Beech Fagus sylvatica L. Grown in the Laboratory Conditions; Technická Univerzita Zvolen: Zvolen, Slovakia, 2013; pp. 67–78. [Google Scholar]
- Kormanek, M.; Głąb, T.; Banach, J.; Szewczyk, G. Effects of Soil Bulk Density on Sessile Oak Quercus petraea Liebl. Seedlings. Eur. J. For. Res. 2015, 134, 969–979. [Google Scholar] [CrossRef]
- Pająk, K.; Kormanek, M.; Małek, S.; Banach, J. Effect of Peat-Perlite Substrate Compaction in Hiko V265 Trays on the Growth of Fagus sylvatica L. Seedlings. Sustainability 2022, 14, 4585. [Google Scholar] [CrossRef]
- Onweremadu, E.U.; Eshett, E.T.; Ofoh, M.C.; Nwufo, M.I.; Obiefuna, J.C. Seedling Performance as Affected by Bulk Density and Soil Moisture on a Typic Tropaquept. J. Plant Sci. 2007, 3, 43–51. [Google Scholar] [CrossRef]
- Szabla, K.; Pabian, R. Szkółkarstwo Kontenerowe: Nowe Technologie i Techniki w Szkółkarstwie Leśnym; Centrum Informacji Lasów Państwowych: Warszawa, Poland, 2009; ISBN 978-83-89744-80-7. [Google Scholar]
- Skrzyszewska, K.; Banach, J.; Bownik, G. Wpływ sposobu przedsiewnego przygotowania żołędzi i terminu siewu na kiełkowanie nasion i wzrost sadzonek dębu szypułkowego. Sylwan 2019, 163, 716–725. [Google Scholar] [CrossRef]
- Banach, J.; Kormanek, M.; Jaźwiński, J. Quality of Scots Pine, European Beech and Pedunculate Oak Grown from Sowing on Soil with Different Compaction Levels. Leśne Prace Badawcze 2020, 81, 167–174. [Google Scholar] [CrossRef]
- Haase, D.L. Morphological and Physiological Evaluations of Seedling Quality. In Proceedings of the National Proceedings: Forest and Conservation Nursery Associations—2006. Proceedings RMRS-P-50; Riley, L.E., Dumroese, R.K., Landis, T.D., Eds.; Department of Agriculture, Forest Service, Rocky Mountain Research Station: Fort Collins, CO, USA, 2007; Volume 50, pp. 3–8. [Google Scholar]
- Makita, N.; Hirano, Y.; Mizoguchi, T.; Kominami, Y.; Dannoura, M.; Ishii, H.; Finér, L.; Kanazawa, Y. Very Fine Roots Respond to Soil Depth: Biomass Allocation, Morphology, and Physiology in a Broad-Leaved Temperate Forest. Ecol. Res. 2011, 26, 95–104. [Google Scholar] [CrossRef]
- Farahnak, M.; Mitsuyasu, K.; Hishi, T.; Katayama, A.; Chiwa, M.; Jeong, S.; Otsuki, K.; Sadeghi, S.M.M.; Kume, A. Relationship between Very Fine Root Distribution and Soil Water Content in Pre- and Post-Harvest Areas of Two Coniferous Tree Species. Forests 2020, 11, 1227. [Google Scholar] [CrossRef]
- TIBCO Software Inc. Statistica (Data Analysis Software System); TIBCO Software Inc.: Palo Alto, CA, USA, 2017. [Google Scholar]
- Dzwonko, Z. Ekologia. In Buk Zwyczajny: Fagus sylvatica L.; Białobok, S., Ed.; Nasze Drzewa Leśne; Państwowe Wydawnictwo Naukowe: Poznań, Poland, 1990; pp. 237–328. ISBN 978-83-01-07700-6. [Google Scholar]
- Baule, H.; Fricker, C. Nawożenie Drzew Leśnych; II; Państwowe Wydaw. Rolnicze i Leśne: Warszawa, Poland, 1973. [Google Scholar]
- Balcar, V.; Kacálek, D.; Kuneš, I.; Dušek, D. Effect of Soil Liming on European Beech (Fagus sylvatica L.) and Sycamore Maple (Acer pseudoplatanus L.) Plantations. Folia For. Pol. Ser. A 2011, 53, 85–92. [Google Scholar] [CrossRef]
- Wang, Z.; Hassan, M.U.; Nadeem, F.; Wu, L.; Zhang, F.; Li, X. Magnesium Fertilization Improves Crop Yield in Most Production Systems: A Meta-Analysis. Front. Plant Sci. 2020, 10, 1727. [Google Scholar] [CrossRef] [PubMed]
- McDonald, A.J.S.; Ericsson, T.; Larsson, C.-M. Plant Nutrition, Dry Matter Gain and Partitioning at the Whole-Plant Level. J. Exp. Bot. 1996, 47, 1245–1253. [Google Scholar] [CrossRef] [PubMed]
- Cakmak, I.; Kirkby, E.A. Role of Magnesium in Carbon Partitioning and Alleviating Photooxidative Damage. Physiol. Plant. 2008, 133, 692–704. [Google Scholar] [CrossRef]
- Banach, J.; Skrzyszewska, K.; Świeboda, Ł. Substrate Influences the Height of One- and Two-Year-Old Seedlings of Silver Fir and European Beech Growing in Polystyrene Containers. For. Res. Pap. 2013, 74, 117–125. [Google Scholar] [CrossRef]
- Cakmak, I. Magnesium in Crop Production, Food Quality and Human Health. Plant Soil 2013, 368, 1–4. [Google Scholar] [CrossRef]
- Lasota, J.; Kempf, M.; Kempf, P.; Błońska, E. Effect of Dolomite Fertilization on Nutritional Status of Seedlings and Soil Properties in Forest Nursery. Soil Sci. Ann. 2021, 72, 132236. [Google Scholar] [CrossRef]
- Onyszko, M.; Wrońska, I.; Cybulska, K.; Dobrowolska, A.; Telesiński, A. Porównanie Aktywności Enzymatycznej Wybranych Torfowych Podłoży Ogrodniczych. Woda-Sr. Obsz. Wiej. 2015, 15, 69–77. [Google Scholar]
- Błońska, E. Enzyme Activity In Forest Peat Soils. Folia For. Pol. Ser. A 2010, 52, 52–55. [Google Scholar] [CrossRef]
- Salyers, A.A.; Whitt, D.D. Mikrobiologia: Różnorodność, Chorobotwórczość i Środowisko; Wyd. 1, 5 dodr; Wydawnictwo Naukowe PWN: Warszawa, Poland, 2012; ISBN 978-83-01-14057-1. [Google Scholar]
- Wyszkowska, J.; Wyszkowski, M. Effect of Cadmium and Magnesium on Microbiological Activity in Soil. Pol. J. Environ. Stud. 2002, 11, 585–591. [Google Scholar]
- Yang, W.; Zhang, X.; Wu, L.; Rensing, C.; Xing, S. Short-Term Application of Magnesium Fertilizer Affected Soil Microbial Biomass, Activity, and Community Structure. J. Soil Sci. Plant Nutr. 2021, 21, 675–689. [Google Scholar] [CrossRef]
- Clark, L.J.; Whalley, W.R.; Barraclough, P.B. How Do Roots Penetrate Strong Soil? Plant Soil 2003, 255, 93–104. [Google Scholar] [CrossRef]
- Brzezińska, M. Wykorzystanie Ekofizjologicznych Wskaźników Mikrobiologicznych Do Oceny Jakości Gleby. Postępy Nauk. Rol. 2009, 61, 39–51. [Google Scholar]
- Pająk, K.; Małek, S.; Kormanek, M.; Jasik, M. The Effect of Peat Substrate Compaction on the Macronutrient Content of Scots Pine Pinus Sylvestris L. Container Seedlings. Sylwan 2022, 166, 211–223. [Google Scholar] [CrossRef]
- Kormanek, M.; Małek, S.; Banach, J.; Durło, G.; Jagiełło-Leńczuk, K.; Dudek, K. Seasonal Changes of Perlite–Peat Substrate Properties in Seedlings Grown in Different Sized Container Trays. New For. 2021, 52, 271–283. [Google Scholar] [CrossRef]
- Sinnett, D.; Poole, J.; Hutchings, T.R. A Comparison of Cultivation Techniques for Successful Tree Establishment on Compacted Soil. Forestry 2008, 81, 663–679. [Google Scholar] [CrossRef]
- Shrestha, R.K.; Lal, R. Changes in Physical and Chemical Properties of Soil after Surface Mining and Reclamation. Geoderma 2011, 161, 168–176. [Google Scholar] [CrossRef]

| Parameter | Variant | ||||||||
|---|---|---|---|---|---|---|---|---|---|
| V1 | V2 | V3 | V4 | V5 | V6 | V7 | V8 | V9 | |
| Wet substrate weight (60% H2O) (g) | 52 | 56 | 60 | 64 | 68 | 72 | 76 | 80 | 84 |
| Actual bulk density (g∙cm−3) | 0.196 | 0.211 | 0.226 | 0.242 | 0.257 | 0.272 | 0.287 | 0.302 | 0.317 |
| Dry bulk density (g∙cm−3) * | 0.078 | 0.085 | 0.091 | 0.097 | 0.103 | 0.109 | 0.115 | 0.121 | 0.127 |
| Substrate | N [%] | P [%] | K [%] | Ca [%] | Mg [%] | S [%] |
|---|---|---|---|---|---|---|
| substrate before sowing | 0.609 | 0.014 | 0.069 | 1.131 | 0.528 | 0.058 |
| V1 | 0.880 ± 0.017 abc | 0.046 ± 0.007 a | 0.152 ± 0.042 ab | 1.00 ± 0.388 a | 0.369 ± 0.070 a | 0.144 ± 0.013 a |
| V2 | 0.902 ± 0.018 c | 0.052 ± 0.002 ab | 0.152 ± 0.043 ab | 1.082 ± 0.024 a | 0.365 ± 0.069 a | 0.146 ± 0.008 a |
| V3 | 0.892 ± 0.021 bc | 0.049 ± 0.004 ab | 0.124 ± 0.033 ab | 1.089 ± 0.029 a | 0.392 ± 0.079 a | 0.132 ± 0.017 a |
| V4 | 0.881 ± 0.017 abc | 0.054 ± 0.002 b | 0.159 ± 0.035 b | 1.094 ± 0.128 a | 0.363 ± 0.018 a | 0.158 ± 0.017 a |
| V5 | 0.835 ± 0.024 a | 0.048 ± 0.002 a | 0.128 ± 0.012 ab | 1.125 ± 0.074 a | 0.384 ± 0.038 a | 0.148 ± 0.005 a |
| V6 | 0.844 ± 0.014 ab | 0.048 ± 0.002 ab | 0.132 ± 0.024 ab | 0.947 ± 0.054 a | 0.346 ± 0.026 a | 0.147 ± 0.012 a |
| V7 | 0.862 ± 0.007 abc | 0.047 ± 0.002 a | 0.101 ± 0.007 a | 0.937 ± 0.033 a | 0.323 ± 0.015 a | 0.149 ± 0.007 a |
| V8 | 0.874 ± 0.024 abc | 0.051 ± 0.004 ab | 0.104 ± 0.012 a | 1.070 ± 0.104 a | 0.371 ± 0.020 a | 0.149 ± 0.000 a |
| V9 | 0.847 ± 0.004 ab | 0.049 ± 0.002 ab | 0.124 ± 0.014 ab | 1.022 ± 0.060 a | 0.377 ± 0.021 a | 0.145 ± 0.007 a |
| Mean | 0.868 ± 0.026 | 0.049 ± 0.004 | 0.130 ± 0.032 | 1.052 ± 0.149 | 0.366 ± 0.032 | 0.147 ± 0.011 |
| Leaves | N [%] | P [%] | K [%] | Ca [%] | Mg [%] | S [%] |
|---|---|---|---|---|---|---|
| V1 | 2.091 ± 0.103 a | 0.154 ± 0.008 ab | 0.989 ± 0.194 c | 0.931 ± 0.155 ab | 0.347 ± 0.052 a | 0.154 ± 0013 a |
| V2 | 2.272 ± 0.119 ab | 0.170 ± 0.006 d | 0.875 ± 0.067 bc | 0.863 ± 0.019 abc | 0.346 ± 0.006 a | 0.176 ± 0.006 ab |
| V3 | 2.432 ± 0.067 b | 0.156 ± 0.008 ad | 0.795 ± 0.054 ab | 0.966 ± 0.109 a | 0.332 ± 0.006 ab | 0.186 ± 0.004 b |
| V4 | 2.332 ± 0.108 ab | 0.147 ± 0.007 abc | 0.780 ± 0.031 ab | 0.973 ± 0.048 a | 0.322 ± 0.013 ab | 0.174 ± 0.005 ab |
| V5 | 2.295 ± 0.117 ab | 0.149 ± 0.009 ab | 0.768 ± 0.036 ab | 0.921 ± 0.046 abc | 0.334 ± 0.012 ab | 0.172 ± 0.012 ab |
| V6 | 2.224 ± 0.157 ab | 0.145 ± 0.003 abc | 0.746 ± 0.009 ab | 0.862 ± 0.022 abc | 0.319 ± 0.014 ab | 0.163 ± 0.010 ab |
| V7 | 2.292 ± 0.071 ab | 0.157 ± 0.014 ad | 0.794 ± 0.043 ab | 0.857 ± 0.013 abc | 0.311 ± 0.006 ab | 0.164 ± 0.009 ab |
| V8 | 2.288 ± 0.126 ab | 0.140 ± 0.005 bc | 0.756 ± 0.018 ab | 0.808 ± 0.039 bc | 0.314 ± 0.014 ab | 0.158 ± 0.015 ab |
| V9 | 2.087 ± 0.058 a | 0.133 ± 0.008 c | 0.726 ± 0.049 a | 0.765 ± 0.025 c | 0.299 ± 0.016 b | 0.149 ± 0.011 a |
| Mean | 2.257 ± 0.136 | 0.150 ± 0.013 | 0.803 ± 0.104 | 0.883 ± 0.104 | 0.325 ± 0.024 | 0.166 ± 0.014 |
| N | P | K | Ca | Mg | S | |
|---|---|---|---|---|---|---|
| V1 | 100 | 7 | 47 | 45 | 17 | 7 |
| V2 | 100 | 7 | 39 | 38 | 15 | 8 |
| V3 | 100 | 6 | 33 | 40 | 14 | 8 |
| V4 | 100 | 6 | 33 | 42 | 14 | 7 |
| V5 | 100 | 6 | 33 | 40 | 15 | 7 |
| V6 | 100 | 7 | 34 | 39 | 14 | 7 |
| V7 | 100 | 7 | 35 | 37 | 14 | 7 |
| V8 | 100 | 6 | 33 | 35 | 14 | 7 |
| V9 | 100 | 6 | 35 | 37 | 14 | 7 |
| Shoot | N [%] | P [%] | K [%] | Ca [%] | Mg [%] | S [%] |
|---|---|---|---|---|---|---|
| V1 | 0.628 ± 0.076 a | 0.121 ± 0.007 ab | 0.552 ± 0.037 ab | 0.311 ± 0.015 b | 0.124 ± 0.007 a | 0.041 ± 0.005 a |
| V2 | 0.753 ± 0.101 a | 0.149 ± 0.017 bc | 0.643 ± 0.071 bc | 0.290 ±0.019 abc | 0.116 ± 0.008 a | 0.050 ± 0.008 a |
| V3 | 0.691 ± 0.054 a | 0.144 ± 0.008 abc | 0.632 ± 0.025 abc | 0.309 ± 0.026 ab | 0.116 ± 0.010 a | 0.044 ± 0.005 a |
| V4 | 0.650 ± 0.072 a | 0.129 ± 0.019 ab | 0.580 ± 0.063 abc | 0.281 ± 0.025 abc | 0.111 ± 0.011 a | 0.042 ± 0.002 a |
| V5 | 0.671 ± 0.045 a | 0.138 ± 0.006 abc | 0.581 ± 0.039 abc | 0.277 ± 0.013 abc | 0.120 ± 0.007 a | 0.042 ± 0.002 a |
| V6 | 0.669 ± 0.044 a | 0.138 ± 0.012 abc | 0.610 ± 0.005 abc | 0.281 ± 0.017 abc | 0.116 ± 0.005 a | 0.040 ± 0.006 a |
| V7 | 0.775 ± 0.129 a | 0.163 ± 0.028 c | 0.653 ± 0.048 abc | 0.303 ± 0.010 ab | 0.123 ± 0.004 a | 0.048 ± 0.008 a |
| V8 | 0.677 ± 0.050 a | 0.133 ± 0.011 ab | 0.603 ± 0.038 abc | 0.267 ± 0.010 c | 0.114 ± 0.004 a | 0.056 ± 0.007 a |
| V9 | 0.605 ± 0.030 a | 0.119 ± 0.004 a | 0.542 ± 0.022 a | 0.273 ± 0.011 ac | 0.118 ± 0.003 a | 0.043 ± 0.005 a |
| Mean | 0.680 ± 0.089 | 0.137 ± 0.020 | 0.599 ± 0.061 | 0.288 ± 0.023 | 0.118 ± 0.008 | 0.045 ± 0.008 |
| Root | N [%] | P [%] | K [%] | Ca [%] | Mg [%] | S [%] |
|---|---|---|---|---|---|---|
| V1 | 0.873 ± 0.181 a | 0.145 ± 0.008 b | 0.481 ± 0.017 a | 0.235 ± 0.028 a | 0.145 ± 0.003 b | 0.102 ± 0.035 a |
| V2 | 1.118 ± 0.245 ab | 0.215 ± 0.050 ac | 0.561 ± 0.063 ab | 0.214 ± 0.022 a | 0.167 ± 0.009 a | 0.124 ± 0.033 a |
| V3 | 1.136 ± 0.140 ab | 0.216 ± 0.008 ac | 0.548 ± 0.053 ab | 0.217 ± 0.023 a | 0.169 ± 0.019 a | 0.126 ± 0.031 a |
| V4 | 1.124 ± 0.196 ab | 0.182 ± 0.025 ab | 0.550 ± 0.034 ab | 0.242 ± 0.012 a | 0.174 ± 0.011 a | 0.121 ± 0.036 a |
| V5 | 1.083 ± 0.192 ab | 0.197 ± 0.026 abc | 0.522 ± 0.062 ab | 0.225 ± 0.020 a | 0.168 ± 0.011 a | 0.119 ± 0034 a |
| V6 | 1.088 ± 0.255 ab | 0.190 ± 0.028 abc | 0.562 ± 0.042 ab | 0.207 ± 0.012 a | 0.164 ± 0.011 ab | 0.122 ± 0.039 a |
| V7 | 1.374 ± 0.382 b | 0.243 ± 0.054 c | 0.601 ± 0.037 b | 0.214 ± 0.024 a | 0.172 ± 0.002 a | 0.138 ± 0.046 a |
| V8 | 1.210 ± 0.279 ab | 0.197 ± 0.029 abc | 0.572 ± 0.083 ab | 0.229 ± 0.025 a | 0.165 ± 0.013 a | 0.137 ± 0.046 a |
| V9 | 1.182 ± 0.253 ab | 0.171 ± 0.007 ab | 0.524 ± 0.037 ab | 0.228 ± 0.025 a | 0.165 ± 0.003 a | 0.124 ± 0.036 a |
| Mean | 1.132 ± 0.262 | 0.195 ± 0.039 | 0.547 ± 0.057 | 0.223 ± 0.023 | 0.165 ± 0.012 | 0.124 ± 0.037 |
Publisher’s Note: MDPI stays neutral with regard to jurisdictional claims in published maps and institutional affiliations. |
© 2022 by the authors. Licensee MDPI, Basel, Switzerland. This article is an open access article distributed under the terms and conditions of the Creative Commons Attribution (CC BY) license (https://creativecommons.org/licenses/by/4.0/).
Share and Cite
Pająk, K.; Małek, S.; Kormanek, M.; Jasik, M.; Banach, J. Macronutrient Content in European Beech (Fagus sylvatica L.) Seedlings Grown in Differently Compacted Peat Substrates in a Container Nursery. Forests 2022, 13, 1793. https://doi.org/10.3390/f13111793
Pająk K, Małek S, Kormanek M, Jasik M, Banach J. Macronutrient Content in European Beech (Fagus sylvatica L.) Seedlings Grown in Differently Compacted Peat Substrates in a Container Nursery. Forests. 2022; 13(11):1793. https://doi.org/10.3390/f13111793
Chicago/Turabian StylePająk, Katarzyna, Stanisław Małek, Mariusz Kormanek, Michał Jasik, and Jacek Banach. 2022. "Macronutrient Content in European Beech (Fagus sylvatica L.) Seedlings Grown in Differently Compacted Peat Substrates in a Container Nursery" Forests 13, no. 11: 1793. https://doi.org/10.3390/f13111793
APA StylePająk, K., Małek, S., Kormanek, M., Jasik, M., & Banach, J. (2022). Macronutrient Content in European Beech (Fagus sylvatica L.) Seedlings Grown in Differently Compacted Peat Substrates in a Container Nursery. Forests, 13(11), 1793. https://doi.org/10.3390/f13111793

