Abstract
Poplar tree improvement strategies are needed to enhance ecosystem services’ provisioning and achieve phytoremediation objectives. We evaluated the establishment potential of new poplar clones developed at the University of Minnesota Duluth, Natural Resources Research Institute (NRRI) from sixteen phytoremediation buffer systems (phyto buffers) (buffer groups: 2017 × 6; 2018 × 5; 2019 × 5) throughout the Lake Superior and Lake Michigan watersheds. We divided clones into Experimental (testing stage genotypes) and Common (commercial and/or research genotypes) clone groups and compared them with each other and each NRRI clone (NRRI group) at the phyto buffers. We tested for differences in clone groups, phyto buffers, and their interactions for survival, health, height, diameter, and volume from ages one to four years. First-year survival was 97.1%, with 95.5%, 96.2%, and 99.6% for the 2017, 2018, and 2019 buffer groups, respectively. All trees had optimal health. Fourth-year mean annual increment of 2017 buffer group trees ranged from 2.66 ± 0.18 to 3.65 ± 0.17 Mg ha−1 yr−1. NRRI clones ‘99038022’ and ‘9732-31’ exhibited exceptional survival and growth across eleven and ten phyto buffers, respectively, for all years. These approaches advance poplar tree improvement efforts throughout the region, continent, and world, with methods informing clonal selection for multiple end-uses, including phytotechnologies.
1. Introduction
The Great Lakes Basin is one of the most important natural resources in North America, providing numerous environmental, economic, and societal benefits. Zalesny et al. [1] elaborated on these benefits, in addition to the substantial role of the Basin in provisioning freshwater and related ecosystem services to millions of people each year [2,3]. This unique water resource, however, is becoming increasingly degraded by anthropogenic activities. Legacy pollution, urban runoff and stormwater, and agricultural inputs (i.e., herbicides, pesticides, nutrients) have all contributed to declining water quality of the Basin, leading to 99% of the surface water being impaired for one or more designated use(s) [4].
Landfills, waste dumps, and similar sites have contributed to non-point source pollution, especially due to the continuous rise in waste generation and concomitant increases in landfill size [5]. Landfill leachate is a potential pollution source from municipal landfill sites that is often characterized by low biodegradability, high nitrogen content, and presence of other pollutants [6]. Leachate and associated surface runoff are often managed through proactive preventative measures or reactive remediation strategies to prevent water contamination. Phytoremediation is one potential long-term, sustainable solution for achieving runoff reduction and cleaning/filtering of water, in which plants and their associated microorganisms are used for environmental cleanup [7,8]. Pollutants are remediated by various mechanisms such as accumulation in plant tissues, plant and microbe metabolism, and volatilization [9,10,11]. Plant water uptake can also reduce contaminant mobility at a site [12].
Purpose-grown trees, particularly poplars (Populus spp.) and other short rotation woody crops (SRWCs), are well-suited to phytotechnology applications due to their ideal physiological, morphological, and genetic traits [13]. Poplars can help managers achieve remediation goals in a condensed timeframe (e.g., <20 years) based on specific silvicultural prescriptions that are matched to site and management objectives [14]. Additionally, poplar-based phytotechnologies can provide other ecosystem services such as carbon sequestration and biomass feedstocks for biofuels, bioenergy, and bioproducts [15,16,17]. In recent decades, poplar biomass production systems have become more important globally, given the large demand for wood combined with sustainable forest management goals. As a result, tree breeding and improvement strategies are needed now more than ever to maximize the performance of poplars for achieving specific remediation and ecosystem service objectives.
As with agronomic and horticultural crops, tree breeding and improvement began hundreds of years ago, and over time has expanded to include numerous coniferous and broadleaved species [18]. Significant results have been obtained within the Populus genus through spontaneous and controlled hybridization and breeding throughout the last century [19,20]. Broad genetic variation, both within and among Populus species, coupled with their ability to undergo successful intra- and inter-specific hybridization, in addition to the ability of some species to propagate readily from cuttings, have driven the success of poplar tree improvement [21,22,23]. To prove the superiority of new collections and crosses, poplar genotypes and cultivars undergo complex testing in multi-environmental trials (MET), in which phenotypic responses to different environments, defined as genotype by environment interactions (G × E), are evaluated. Similarly, METs are used to test the robustness in genotypic performance across varying site and climatic conditions [24,25]. These G × E interactions have been studied often, leading to the characterization of genotypes as generalists or specialists [26,27]. Over the years, traits of interest in poplar breeding programs have evolved from agronomic characteristics (e.g., yield, pest and disease resistance, rooting capabilities) to more contemporary traits relating to biomass production (e.g., physiological drivers of productivity and wood properties) [22] and ecosystem services [13,16].
Regional clonal development in the Midwestern United States has proliferated since the 1930s due to extensive open-pollination collections, intra- and inter-sectional hybridization, and increased interest in wood biomass production [19,20,28]. Over 100,000 poplar offspring have been created since the 1950s [14], with the majority produced by regional breeding programs at the University of Illinois (J. Jokela; B. McMahon), Iowa State University (R. Hall; B. McMahon), University of Minnesota (C. Mohn; D. Riemenschneider), and University of Minnesota Duluth (B. McMahon; W. Berguson). Clonal testing has been highly active since the 1990s [20], with multiple MET networks being established around the Midwest to monitor biomass production [29,30,31]. From these METs, Netzer et al. [32] showed the greatest potential of clones was for P. deltoides Bartr. ex Marsh × P. nigra L. ‘DN’ hybrids (a.k.a., P. × euramericana (Dode) Guinier; P. × canadensis Moench) ‘DN21’, ‘DN154’, ‘DN164’, ‘DN170’, ‘DN177’, and ‘NE264’, in addition to P. nigra × P. maximowiczii A. Henry ‘NM’ hybrid ‘NM2’. With the exception of ‘NM2’, all clones were ‘DN’ hybrids exhibiting generalist growth performance. Another poplar clonal regional testing network was established in 1995, 1997, and 2000 across Iowa, Michigan, Minnesota, and Wisconsin [28]. This MET network initially contained 42 clones but was expanded to a total of 187 clones, most of which were from the aforementioned Midwestern breeding programs [33]. Results from these METs showed greater biomass productivity rates than any previously recorded in the region, leading Riemenschneider et al. [28] to conclude the need for continued tree improvement activities. Significant G × E interactions defined generalist (‘NC14105’, ‘Crandon’, ‘NM2’) and specialist (‘7300501’, ‘80 × 01015’, ‘NC14103’) clones [33], which have since been tested for ecosystem services and environmental technologies [16,34].
The most recent poplar breeding and testing has been conducted at the University of Minnesota Duluth, Natural Resources Research Institute (NRRI) [35,36]. In parallel with traditional clonal testing of poplar productivity through evaluation of genotypic growth and stability [36], NRRI researchers have tested the application of different silvicultural measures [37] and defined geo-robust clones (i.e., extreme generalists) for establishment across broader latitudinal and longitudinal ranges [38]. A contemporary goal of this and other poplar breeding efforts is to test clones for a wide range of ecosystem services such as carbon sequestration and phytoremediation [17,39].
Poplars have been tested and deployed extensively in phytoremediation systems to remediate organic [9,40,41,42,43] and inorganic contaminants [44,45,46,47], in addition to newer classes of pollutants such as contaminants of emerging concern (CECs) [48,49,50]. Testing poplar clones for phytoremediation is a complex process including breeding and selection for: (1) traditional traits related to growth and productivity [51,52,53]; (2) tolerance of contaminants, determined by investigating physiological and metabolic processes [42,43,47,54]; and (3) phytoremediation potential exhibited by contaminant accumulation/degradation [41,55,56]. Simultaneous selection for such a broad range of breeding traits can be achieved with phyto-recurrent selection, a stepwise testing process. In this method, crop and tree improvement strategies are implemented over multiple testing cycles to identify and select clones with superior performance [14,57]. Throughout the selection process, the number of clones decreases while the number of tested parameters and cycle length increase. Selection using basic traits such as growth and root:shoot ratio is enhanced with data on additional parameters such as tree health and growth performance index [58]. Further investigation often includes greenhouse and field-testing clonal performance related to contaminant effects and accumulation, ecophysiology, and morpho-anatomical changes [45,46]. Following multiple selection cycles in the greenhouse, field validation of selected clones is a necessary step in phyto-recurrent selection. For example, testing clones used in the current study, Zalesny and Bauer [59] reported broad clonal variation across eleven-year-old trees grown for nitrate phytoremediation in the Midwestern US. These phyto-recurrent selection results further emphasize the importance of long-term phytoremediation studies in evaluating clonal performance throughout stand development [17].
As described by Zalesny et al. [1], phyto-recurrent selection was used to establish an ongoing MET testing network consisting of sixteen phytoremediation buffer systems (i.e., phyto buffers) at sites located in the Lake Superior (i.e., Michigan’s Upper Peninsula) and Lake Michigan (i.e., eastern Wisconsin) watersheds. Given the potential of new genotypes in the biomass productivity networks illustrated above, our overarching objective in the current study was to test for ecological restoration potential of new clones developed at NRRI. To do so, we divided clones into Experimental (i.e., genotypes with a rich history of testing but are still at the experimental stage) and Common (i.e., genotypes commonly used for commercial and/or research purposes in the region) clone groups that we then compared with each other and each NRRI clone planted at the phyto buffers. Although Zalesny et al. [1] compared individual clones, these current comparisons are warranted because poplar clones in the Midwestern United States are often selected in groups based on stage of testing (i.e., Experimental versus Common) rather than individually, due to uncertainties with nursery production and availability of clonal material. Specifically, we tested for differences in the three clone groups (i.e., NRRI, Experimental, Common), phyto buffers (i.e., environments), and their interactions for health, height, diameter, and volume during early field establishment (i.e., from one to four years after planting). These data are useful to advance poplar tree improvement efforts throughout the region, continent, and world, informing clonal selection for multiple end-uses, including phytotechnologies.
2. Materials and Methods
2.1. Site Description
Zalesny et al. [1] provided a detailed description of the regional phytotechnologies network tested in the current study, including climate- and soil-related information. In summary, there were sixteen phytoremediation buffer systems (i.e., phyto buffers) established across ten field testing sites in 2017 (×6 phyto buffers), 2018 (×5), and 2019 (×5) in the Lake Superior watershed of the Upper Peninsula of Michigan, USA and the Lake Michigan watershed of eastern Wisconsin, USA (Figure 1). The sites ranged in latitude from 46.7840 to 42.8382° N and in longitude from −89.1291 to −86.5976° W. Twenty-year (2000 to 2020) historical monthly averages for precipitation and temperature were obtained from the National Oceanic and Atmospheric Administration (NOAA) National Climate Data Center (https://www.ncdc.noaa.gov/cdo-web/ (accessed on 20 January 2021)) and are listed in Table 1. Table 2 provides buffer-specific soil properties that were acquired from the USDA Natural Resources Conservation Service (NRCS) Web Soil Survey (https://websoilsurvey.sc.egov.usda.gov/ (accessed on 20 January 2021)).
Figure 1.
Regional phytotechnologies network consisting of sixteen phytoremediation buffer systems (i.e., phyto buffers) established in 2017 (×6 phyto buffers), 2018 (×5), and 2019 (×5) in the Lake Superior watershed of the Upper Peninsula of Michigan, USA and the Lake Michigan watershed of eastern Wisconsin, USA. From Zalesny et al. [1].
Table 1.
Precipitation and temperature of ten field testing sites in a regional phytotechnologies network consisting of sixteen phytoremediation buffer systems (i.e., phyto buffers) established from 2017 to 2019 in the Lake Superior watershed of the Upper Peninsula of Michigan, USA and the Lake Michigan watershed of eastern Wisconsin, USA. Adapted from Zalesny et al. [1].
Table 2.
Soil properties of sixteen phytoremediation buffer systems (i.e., phyto buffers) comprising a regional phytotechnologies network established from 2017 to 2019 in the Lake Superior watershed of the Upper Peninsula of Michigan, USA and the Lake Michigan watershed of eastern Wisconsin, USA. Adapted from Zalesny et al. [1].
2.2. Clone Selection
Rogers et al. [58] and Zalesny et al. [1] described the phyto-recurrent selection process that was used to choose genotypes for phyto buffer field establishment. Twelve clones were selected, outplanted, and tested for each of three buffer groups (i.e., with buffer groups defined as phyto buffers established in 2017 (×6), 2018 (×5), and 2019 (×5)), and separate analyses were conducted for each buffer group for the particular set of twelve clones. Based on the objective of the current study, clones were categorized into three clone groups: (1) ‘NRRI’ clones that are new genotypes produced by the University of Minnesota Duluth, Natural Resources Research Institute (NRRI), in Duluth, Minnesota, USA [36,38] (these genotypes were not combined with one another and were analyzed individually, collectively representing the NRRI clone group); (2) ‘Experimental’ clones that have been tested broadly in the region but have not reached commercial status (combined for current analyses); and (3) ‘Common’ clones that have been used in decades of testing and deployment in the Midwestern United States (combined). Clones, genomic groups, and their respective clone groups are listed in Table 3.
Table 3.
Clone groups and buffer groups (i.e., years of planting) of clones and their genomic groups for Populus genotypes tested in a regional phytotechnologies network of sixteen phytoremediation buffer systems (i.e., phyto buffers) established from 2017 to 2019 in the Lake Superior watershed of the Upper Peninsula of Michigan, USA and the Lake Michigan watershed of eastern Wisconsin, USA.
2.3. Phyto Buffer Establishment and Experimental Design
Individual phyto buffers were established during May and June in 2017, 2018, and 2019 by planting 25.4 cm, dormant, unrooted hardwood cuttings that were soaked in water to a height of 16.93 cm for 48 h in a dark room at 21 °C before planting. Site preparation consisted of removing rocks and other obstructions followed by tilling to a depth of 30 cm. For site maintenance, soils were tilled to a depth of 30 cm, rocks and other obstructions were continually removed, and vegetation was removed via hand weeding to a minimum diameter of 0.61 m around each individual tree. At least one maintenance entry per month was performed at each phyto buffer throughout each growing season.
The experimental design consisted of eight randomized complete blocks (RCBD) and twelve clones per block at a spacing of 2.44 × 2.44 m (i.e., 1680 trees ha−1). There was one exception: four blocks were planted at Slinger, Wisconsin due to space constraints. Two border rows were established on the perimeter of each phyto buffer to reduce potential border effects [60,61]. All phyto buffers were fenced using 2.3 m tall Trident extra strength deer fencing (Trident Enterprises, Waynesboro, PE, USA) to eliminate potential impacts from white-tailed deer (Odocoileus virginianus Zimmerman) browse. Replanting of dead trees with identical clones occurred each growing season to ensure full stocking of 1680 trees ha−1. Analyses did not include the replanted trees.
2.4. Field Measurements
Tree height (to the nearest 0.1 m) and diameter (to the nearest 0.1 cm) were measured after each growing season. Height was consistently measured from the ground to the apical bud, whereas diameter measurements changed as trees aged. At one and two years after planting, diameter was measured at 10 cm above the soil surface; starting in year three, diameter at breast height (i.e., DBH at 1.37 m) was determined. Based on height (H) and diameter (D; including one- and two-year diameter and DBH), tree volume (V) was calculated using the following equation provided by Kershaw et al. [62]: V = D2 × H. After four years of growth, the 2017 buffer group trees were too tall to be measured to the nearest 0.1 m. For these trees, DBH values were used to estimate mean annual increment (MAI; Mg ha−1 yr−1) according to genomic-group specific coefficients from Headlee and Zalesny [63] applied in the following model: BiomassIndividual Tree = 10a0 × DBHa1. Standard metric conversion factors and the stocking of 1680 trees ha−1 were used to scale these individual-tree values to stand-level MAI.
2.5. Health Assessments
Six tree health parameters were scored by two researchers to reduce variability in the ratings: (1) vigor, (2) defoliation, (3) leaf discoloration, (4) chlorosis, (5) leaf scorch, and (6) leaf spots. Scoring consisted of a five-category qualitative scale ranging from 1 to 5, where 1 = optimal health, 2 = good health, 3 = moderate health, 4 = poor health, and 5 = dead (modified from Rogers et al. [58]; i.e., health score was inversely related to health). Final health index values were calculated using a multiplicative weighted summation index with a coefficient of 0.25 for vigor and 0.15 for all other parameters. Health assessments were not conducted in 2020.
2.6. Data Analysis
Clone groups described above and listed in Table 3 (i.e., NRRI, Experimental, Common) were substituted for clones in Zalesny et al. [1]; otherwise, data analysis methods were the same for both studies.
As directly reported in Zalesny et al. [1], “Health (of all buffer groups) and MAI (of the 2017 buffer group) data were subjected to analyses of variance (ANOVA) and analyses of means (ANOM) using SAS® (PROC GLM; PROC ANOM; SAS INSTITUTE, INC., Cary, North Carolina, USA) assuming a two-way factorial design including six (2017) or five (2018, 2019) buffers, [five (2017), six (2018), or seven (2019) clone groups], and their interactions. Fisher’s Least Significant Difference (LSD) was used to identify significant differences among least-squares means for main effects and interactions at p < 0.05.”
As directly reported in Zalesny et al. [1], “Height and volume (of all buffer groups) and diameter (excluding 2020 diameter of 2017 buffer group trees) data were subjected to analyses of variance (ANOVA) and analyses of means (ANOM) using SAS® (PROC MIXED; PROC ANOM; SAS INSTITUTE, INC., Cary, NC, USA) assuming a three-way, repeated measures factorial design including six (2017) or five (2018, 2019) buffers, [five (2017), six (2018), or seven (2019) clone groups], three (2017, 2018) or two (2019) ages, and their interactions. The ages (representing tree growth after each growing season) were analyzed as the repeated measure. To account for pseudo-replication over time, six different covariance structures (i.e., vc, cs, ar(1), toep, ante(1), un) were tested in PROC MIXED to determine which one provided the best model fit based on the lowest Bayesian Information Criterion (BIC) scores. Using these covariance structures, ANOVA were conducted in PROC MIXED for all traits, and multiple comparisons analyses were conducted to identify significant differences among least-squares means for main effects and interactions as noted above.”
3. Results
3.1. Survival
First-year survival across all phyto buffers and clones was 97.1%, with 95.5%, 96.2%, and 99.6% survival for the 2017, 2018, and 2019 buffer groups, respectively. For the 2017 buffer group, an additional 24 trees (4.5%) were replanted due to external factors not associated with direct mortality. Specifically, three trees were coppiced due to encroachment of a powerline, 12 trees were impacted by beavers, and nine trees exhibited some level of winter dieback that was not fatal. Additionally, trees at Caledonia (East) were flooded for five days during early May of the 2018 growing season. All trees survived the flood and growth may have been impacted initially, but growth reductions were not evident during end-of-year measurements. For the 2018 buffer group, 33 trees (6.9%) were impacted by external factors, with 11 trees experiencing substantial growth reductions associated with runoff of water used to cool an adjacent mulch pile, and 22 trees having deer browse and broken tops. For the 2019 buffer group, no external factors impacted tree survival. All trees that died or were impacted were replanted to ensure full stocking of 1680 trees ha−1 in subsequent years.
For the 2017 buffer group, first-year survival ranged from 37.5 (‘99059016’ at Menomonee Falls (East)) to 100% (for 18 of 30 possible buffer × clone group combinations) (Table 4). There was minimal variability across phyto buffers, with survival at Whitelaw, which had the lowest number of trees alive, being 3.1% less than Bellevue (West), the buffer with the greatest survival. The variability increased for clone groups, ranging from 77.3% (‘99059016’) to 100% (‘99038022’), although this range in survival was driven by the fact that only 37.5% of the ‘99059016’ trees were alive at Menomonee Falls (East). The next lowest survival for all buffer × clone group combinations was 75% for ‘99059016’ at Caledonia (East) and Slinger. Experimental and Common clone groups exhibited at least 92.5% survival at all buffers. For the 2018 buffer group, first-year survival ranged from 87.5% (‘9732-36’ at Marquette) to 100% (for 21 of 30 possible buffer × clone group combinations) (Table 4). Variability across phyto buffers was stable, with trees at Bellevue (East) and Marquette (the buffers with the lowest survival) exhibiting 3.1% fewer trees alive than at Bellevue (Central), which had the highest survival. The percentage of trees alive across clone groups increased 5.7% from the Common clones to three of the NRRI genotypes: ‘9732-11’; ‘9732-24’; and ‘9732-31’. With the exception of ‘9732-36’ grown at Marquette, all NRRI clones exhibited 100% survival across buffers, whereas the lowest survival for the Experimental and Common clones was 90.6% at Manitowoc and Marquette, respectively. For the 2019 buffer group, first-year survival was 100% for all buffer × clone group combinations, with two exceptions (Table 4). Survival was 87.5% for ‘9732-31’ at Escanaba (East) and Ontonagon (South).
Table 4.
First-year survival (percentage) of three poplar clone groups tested in sixteen phytoremediation buffer systems (i.e., phyto buffers) that were established in 2017, 2018, and 2019 (i.e., buffer groups) in the Lake Superior watershed of the Upper Peninsula of Michigan, USA and the Lake Michigan watershed of eastern Wisconsin, USA.
3.2. Health
Buffer main effects were significant for first-year health of 2017 (p = 0.0006), 2018 (p < 0.0001), and 2019 (p < 0.0001) buffer group trees (Table S1). Health of 2017 buffer group trees measured in 2017 (i.e., HEALTH2017(2017)) ranged from 1.06 ± 0.02 (Whitelaw; most healthy) to 1.17 ± 0.02 (Caledonia (East); least healthy), with an overall mean of 1.11 ± 0.02 (Figure 2). Thus, all trees were of optimal health (i.e., health index ranging from 1 to 2). Trees grown at Menomonee Falls (West) and Whitelaw were 4.8% to 9.1% significantly healthier than at the remaining phyto buffers, which were not different than each other. Whitelaw trees were also 4.6% healthier than the overall mean, and the mean was 4.7% healthier than those from Caledonia (East). Health of 2018 buffer group trees measured in 2018 (i.e., HEALTH2018(2018)) ranged from 1.01 ± 0.02 (Bellevue (East); most healthy) to 1.28 ± 0.02 (Manitowoc; least healthy), with an overall mean of 1.09 ± 0.02 (Figure 2). Trees at Manitowoc had 15% unhealthier trees than Caledonia (West), and both of these buffers had significantly lower health than at Bellevue (Central), Bellevue (East), and Marquette, which were not different from one another. With the exception of Caledonia (West), all buffers exhibited health index scores significantly different than the overall mean, with Manitowoc being the only buffer with poorer health (i.e., by 15%). HEALTH2019(2019) ranged from 1.02 ± 0.01 (Ontonagon (South); most healthy) to 1.14 ± 0.01 (Escanaba (West); least healthy), with an overall mean of 1.07 ± 0.01 (Figure 2). Trees at Escanaba (West) were significantly less healthy than those at Escanaba (East), Munising, and Ontonagon (North), the latter of which had similar health to Ontonagon (South), which exhibited 5% greater health than the overall mean.
Figure 2.
First-year tree health (A) and fourth-year mean annual increment (MAI) (B) of six phytoremediation buffers (i.e., phyto buffers) established in 2017 (i.e., the 2017 Buffer Group), in addition to the first-year tree health of five phyto buffers established in the 2018 Buffer Group (C) and 2019 Buffer Group (D) of a regional phytotechnologies network in the Lake Superior watershed of the Upper Peninsula of Michigan, USA and the Lake Michigan watershed of eastern Wisconsin, USA. Error bars represent one standard error of the mean. The dashed line represents the overall mean, and asterisks indicate means different than the overall mean at p < 0.05. Bars with different letters are different at p < 0.05. See Section 2 for complete tree health definitions (1 = optimal health, 2 = good health, 3 = moderate health, 4 = poor health, and 5 = dead).
The clone group main effect was significant for HEALTH2017(2017) (p < 0.0001) (Table S1). HEALTH2017(2017) ranged from 1.05 ± 0.02 [‘99059016’; most healthy] to 1.19 ± 0.02 [Experimental; least healthy], with an overall mean of 1.11 ± 0.02 (Figure 3). The healthiest trees were from ‘99059016’ and the Common clone group, which did not differ from one another but were 5.7% and 4% healthier than the overall mean, respectively. Although health of the Experimental trees did not differ from ‘9732-36’, they were of 6.8% poorer health than the overall mean.
Figure 3.
First-year tree health (A) and fourth-year mean annual increment (MAI) (B) of three clone groups (i.e., NRRI = 22, 16, 36; Common; Experimental; see Table 3 for definitions) tested in six phytoremediation buffers (i.e., phyto buffers) established in 2017 (i.e., the 2017 Buffer Group) in the Lake Michigan watershed of eastern Wisconsin, USA. Error bars represent one standard error of the mean. The dashed line represents the overall mean, and asterisks indicate means different than the overall mean at p < 0.05. Bars with different letters are different at p < 0.05. See Section 2 for complete tree health definitions (1 = optimal health, 2 = good health, 3 = moderate health, 4 = poor health, and 5 = dead).
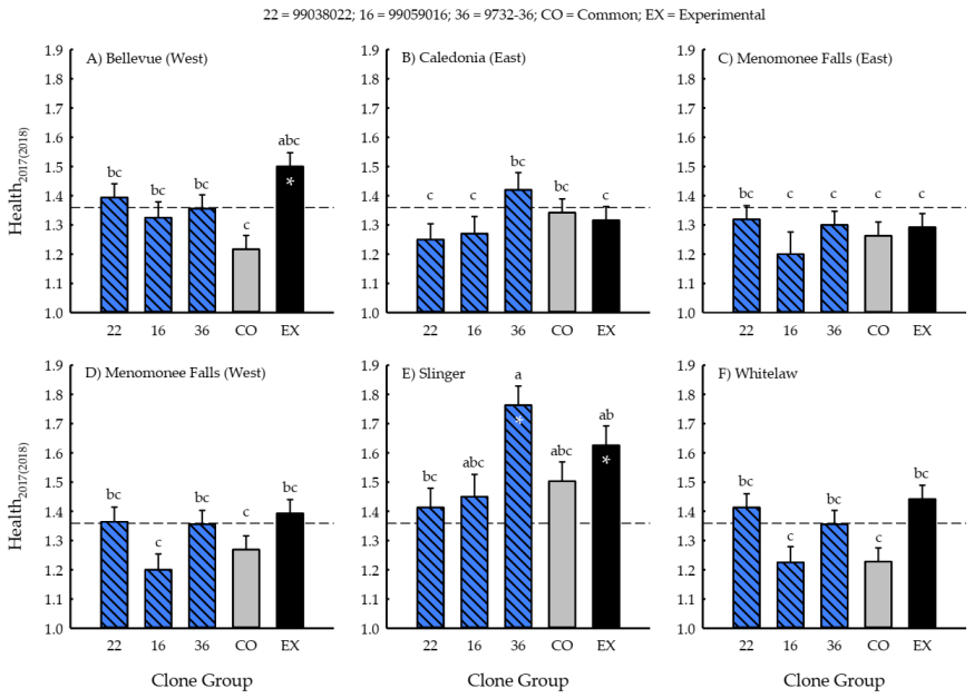
Differences among buffer and clone main effects were significant for second- and third-year health of the 2017 buffer group trees and second-year health of the 2018 buffer group trees (p < 0.05), yet the buffer × clone group interaction governed health for all three combinations (p2017(2018) = 0.0233; p2017(2019) = 0.0010; p2018(2019) = 0.0023) (Table S1). HEALTH2017(2018) ranged from 1.20 ± 0.08 (‘99059016’ at Menomonee Falls (East); most healthy) to 1.76 ± 0.07 (‘9732-36’ at Slinger; least healthy), with an overall mean of 1.36 ± 0.05 (Figure 4). The healthiest trees were grown at Menomonee Falls (East), which had 17.8% better HEALTH2017(2018) than at Slinger, which exhibited the poorest health. The range in health scores was narrower for clone groups, with ‘99059016’ having 10.5% healthier trees than Experimental genotypes that had the poorest health. Three buffer × clone group interactions resulted in HEALTH2017(2018) values that were significantly greater (i.e., of poorer health) than the overall mean: Experimental at Bellevue (West); ‘9732-36’ and Experimental at Slinger (Figure 4). Trends in HEALTH2017(2019) (Figure S1) and HEALTH2018(2019) (Figure S2) were similar to HEALTH2017(2018).
Figure 4.
Tree health (± one standard error) determined after the 2018 growing season of three clone groups (i.e., NRRI = 22, 16, 36; Common; Experimental; see Table 3 for definitions) tested in six phytoremediation buffer systems (i.e., phyto buffers) established in 2017 (i.e., the 2017 Buffer Group) in the Lake Michigan watershed of eastern Wisconsin, USA. The dashed line represents the overall mean, and asterisks indicate means different than the overall mean at p < 0.05. Bars with different letters across all buffer × clone group combinations are different at p < 0.05. See Section 2 for complete tree health definitions (1 = optimal health, 2 = good health, 3 = moderate health, 4 = poor health, and 5 = dead).
3.3. Biomass and Growth
Buffer main effects were significant for mean annual increment (MAI) of 2017 buffer group trees measured in 2020 (i.e., MAI2017(2020)) (p < 0.0001) (Table S1). MAI2017(2020) ranged from 1.62 ± 0.18 (Whitelaw) to 3.93 ± 0.18 Mg ha−1 yr−1 (Menomonee Falls (West)), with an overall mean of 3.12 ± 0.20 Mg ha−1 yr−1 (Figure 2). The largest trees were grown at Caledonia (East), Menomonee Falls (East), Menomonee Falls (West), and Slinger; these trees were at least 23.1% significantly greater than those grown at Bellevue (West), which were 64% larger than Whitelaw trees. Trees grown at Bellevue (West) and Whitelaw had significantly less biomass than the overall mean, while those at both Menomonee Falls buffers had biomass greater than the mean.
The clone group main effect was significant for MAI2017(2020) (p = 0.0010) (Table S1). MAI2017(2020) ranged from 2.66 ± 0.18 (‘9732-36’) to 3.65 ± 0.17 Mg ha−1 yr−1 (Common), with an overall mean of 3.12 ± 0.18 Mg ha−1 yr−1 (Figure 3). Trees of the Common clone group were the largest, having 16.9% more biomass than the overall mean. Whereas ‘99038022’ had similar MAI2017(2020) to Common trees, this NRRI genotype was also similar in biomass to ‘99059016’ and Experimental trees, which were not different from one another.
The buffer × year interaction was significant for height, diameter, and volume of the 2017 buffer group trees, in addition to height for the 2018 and 2019 buffer group trees (p < 0.0001 for all interactions) (Table S2). Across buffers, volume increased 49.4-fold from 2017 to 2018 and then 1.8-fold from 2018 to 2019. In particular, VOLUME2017(2017) ranged from 24.9 ± 14.8 (Whitelaw) to 280.9 ± 206.0 cm3 (Slinger) (mean = 121.6 ± 17.3 cm3), VOLUME2017(2018) ranged from 2151.2 ± 450.5 (Whitelaw) to 7929.7 ± 503.5 cm3 (Menomonee Falls (East)) (mean = 6010.9 ± 499.4 cm3), and VOLUME2017(2019) ranged from 3371.1 ± 728.5 (Whitelaw) to 15,226.0 ± 814.3 cm3 (Menomonee Falls (East)) (mean = 10,656.1 ± 807.7 cm3) (Figure 5). There was more variability across buffers during the first growing season than subsequent years. Within years, there was a general trend of Slinger and both Menomonee Falls buffers to have trees with the largest volume, whereas Whitelaw had the smallest trees, and Bellevue (West) and Caledonia (East) were intermediate. Trends in HEIGHT2017 (Figure S3), DIAMETER2017 (Figure S4), HEIGHT2018 (Figure S5), and HEIGHT2019 (Figure S6) were similar to VOLUME2017 for the buffer × year interaction.
Figure 5.
First- (A), second- (B), and third-year (C) volume (± one standard error) of six phytoremediation buffers (i.e., phyto buffers) established in 2017 (i.e., the 2017 Buffer Group) in the Lake Michigan watershed of eastern Wisconsin, USA. The dashed line represents the overall mean, and asterisks indicate means different than the overall mean at p < 0.05. Bars with different letters across all buffer × year combinations are different at p < 0.05.
The clone group × year interaction was significant for height (p < 0.0001), diameter (p = 0.0184), and volume (p = 0.0449) of the 2017 buffer group trees (Table S2). Across clone groups, volume increased 29.5-fold from 2017 to 2018 and then 1.6-fold from 2018 to 2019. In particular, VOLUME2017(2017) ranged from 53.2 ± 21.9 (‘99059016’) to 161.5 ± 17.0 cm3 (‘99038022’) (mean = 121.6 ± 15.5 cm3), VOLUME2017(2018) ranged from 5202.6 ± 430.1 (Experimental) to 6833.2 ± 444.4 cm3 (‘99038022’) (mean = 6010.9 ± 458.1 cm3), and VOLUME2017(2019) ranged from 9965.7 ± 724.7 (‘9732-36’) to 12,092.0 ± 718.8 cm3 (‘99038022’) (mean = 10,656.1 ± 740.7 cm3) (Figure 6). Similar to the buffer × year interaction, volume of the first growing season had greater variability in clone group performance relative to years two and three. Within years, ‘99038022’ consistently exhibited the greatest volume, although not necessarily from a statistical standpoint. In 2017, however, ‘99059016’ had the lowest volume, which was 203.7% significantly lower than that of ‘99038022’. Trends in HEIGHT2017 (Figure S7) and DIAMETER2017 (Figure S8) were similar to those of VOLUME2017 for the clone group × year interaction.
Figure 6.
First- (A), second- (B), and third-year (C) volume (± one standard error) of three clone groups (i.e., NRRI = 22, 16, 36; Common; Experimental; see Table 3 for definitions) tested in six phytoremediation buffers (i.e., phyto buffers) established in 2017 (i.e., the 2017 Buffer Group) in the Lake Michigan watershed of eastern Wisconsin, USA. The dashed line represents the overall mean, and asterisks indicate means different than the overall mean at p < 0.05. Bars with different letters across all clone group × year combinations are different at p < 0.05.
The buffer × clone group × year interaction was significant for diameter (p = 0.0036) and volume (p < 0.0001) of the 2018 buffer group trees (Table S2). VOLUME2018(2018) ranged from 15.9 ± 28.3 (‘9732-11’ at Marquette) to 182.1 ± 22.1 cm3 (‘9732-31’ at Caledonia (West)), with an overall mean of 76.5 ± 22.7 cm3, whereas VOLUME2018(2019) ranged from 383.5 ± 825.9 (Common at Marquette) to 7975.7 ± 825.9 cm3 (Common at Manitowoc), with an overall mean of 3399.7 ± 848.2 cm3 (Table 5). VOLUME2018(2020) ranged from 632.2 ± 2129.9 (Common at Marquette) to 23,912.0 ± 2129.9 cm3 (‘9732-31’ at Caledonia (West)), with an overall mean of 8763.9 ± 2187.2 cm3 (Table 5). Across all buffer × clone group × year combinations, VOLUME2018 increased 44.4-fold from the first year to the second year after planting, and then 2.6-fold from the second year to the third year. After the first growing season, trees with the greatest volume were grown at Caledonia (West), which had 470.3% greater volume than Marquette, the buffer with the smallest trees. For the second and third growing seasons, the largest trees were grown at Manitowoc, which had 837.1% and 1322.3% greater volume than the buffer with the smallest trees (Marquette), respectively. The range in volume was narrower for clone groups, with ‘9732-31’ exhibiting the greatest volume in all years. For 2018, ‘9732-31’ had 67.6% bigger trees than those of the Experimental group, which had the smallest trees. Similarly, ‘9732-31’ produced 50.4% and 66.9% larger trees than ‘9732-36’ in 2019 and 2020, respectively. Trends in diameter of the 2018 buffer group trees were similar to those of volume (Table S3).
Table 5.
Volume (cm3) (± one standard error) of three poplar clone groups tested in five phytoremediation buffer systems (i.e., phyto buffers) established in 2018 (i.e., the 2018 Buffer Group) in the Lake Superior watershed of the Upper Peninsula of Michigan, USA and the Lake Michigan watershed of eastern Wisconsin, USA. Trees were measured following the 2018, 2019, and 2020 growing seasons. Volume values with different letters within a clone column across measurement years are different at p < 0.05.
The buffer × clone group × year interaction was significant for diameter (p = 0.0293) and volume (p < 0.0001) of the 2019 buffer group trees (Table S2). VOLUME2019(2019) ranged from 16.4 ± 26.0 (‘9732-36’ at Ontonagon (North)) to 396.3 ± 25.8 cm3 (‘99038022’ at Escanaba (West)), with an overall mean of 91.1 ± 25.9 cm3, whereas VOLUME2019(2020) ranged from 189.0 ± 391.4 (‘9732-24’ at Ontonagon (North)) to 5639.8 ± 391.4 cm3 (Common at Escanaba (West)), with an overall mean of 1294.4 ± 393.02 cm3 (Table 6). VOLUME2019 increased 14.2-fold from the first year to the second year after planting. For the first and second growing seasons, the largest trees were grown at Escanaba (West), which had 903.4% and 860.1% greater volume than the buffer with the smallest trees (Ontonagon (North)), respectively. Clone groups exhibited less variation, with ‘99038022’ exhibiting the greatest first-year volume, which was 71.8% more than that of ‘9732-31’, which had the smallest trees. The Common group trees produced 108.8% larger trees than ‘9732-11’ at two years after planting. Trends in diameter of the 2019 buffer group trees were similar to those of volume (Table S4).
Table 6.
Volume (cm3) (± one standard error) of three poplar clone groups tested in five phytoremediation buffer systems (i.e., phyto buffers) established in 2019 (i.e., the 2019 Buffer Group) in the Lake Superior watershed of the Upper Peninsula of Michigan, USA. Trees were measured following the 2019 and 2020 growing seasons. Volume values with different letters within a clone column across measurement years are different at p < 0.05.
4. Discussion and Conclusions
Selection of Populus and other short rotation woody crop (SRWC) species to match specific site and growing conditions is imperative for maximizing productivity [64]. The availability of appropriate genotypes can be necessary for plantation or site managers in the absence of precise site information [65]. Species of Populus, a genus utilized ubiquitously for environmental applications, have been bred and tested extensively for biomass production [66], especially beginning in the early 1990s with international germplasm exchanges and other cooperative tree improvement efforts between the United States and Europe [67]. Results of these testing efforts have shown great potential of new genotypes for biomass production. Building on these successful partnerships, the poplar breeding and testing program at the University of Minnesota Duluth, Natural Resources Research Institute (NRRI) has produced thousands of genotypes since the mid-1990s [35,36]. Some of these clones have been defined as geo-robust, meaning they are extreme generalists with the capability for establishment across broader latitudinal and longitudinal ranges [38]. The ecological restoration potential of a subset of these clones was tested in the current study, and clones ‘99038022’ and ‘9732-31’ exhibited exceptional survival and growth across eleven and ten phytoremediation buffer systems (i.e., phyto buffers), respectively, in the Lake Superior watershed of the Upper Peninsula of Michigan, USA and the Lake Michigan watershed of eastern Wisconsin, USA. Other NRRI clones showed exceptional promise at individual phyto buffers, demonstrating the value of matching individual genotypes to specific site conditions. This combination of generalist and specialist genotypes corroborated the importance of such multi-environmental trials (MET) throughout plantation development, making the current data useful for advancing poplar tree improvement efforts throughout the region, continent, and world, informing clonal selection for multiple end-uses, including phytotechnologies.
Across the United States, average annual poplar productivity of approximately 9 Mg ha−1 yr−1 is common, with advanced genotypes exhibiting nearly 2.5 times as much growth [68]. In the Midwestern United States, the location of the current study, a wide range of poplar biomass productivity potential has been reported. Most common stand densities of 1075 and 1736 trees ha−1 (i.e., 3 × 3 and 2 × 2 m spacing, respectively) have resulted in mean annual increment (MAI) ranges similar to those of our study for the same age. Poplar biomass plantations with 1736 trees ha−1 had MAI values ranging from 2.8 to 6.1 Mg ha−1 yr−1 at four years after planting [29,32] and 6.7 to 9.0 Mg ha−1 yr−1 for five-year-old trees [30]. Maximum productivity resulting from 3-PG modeling resulted in 13.0 Mg ha−1 yr−1 at the end of ten-year rotations [69]. Plantations of the same stand density as the current study (i.e., 1075 trees ha−1) exhibited productivity ranging from 4.3 to 5.3 Mg ha−1 yr−1 at age four years [43] and 5.1 to 16.8 Mg ha−1 yr−1 after six years of growth [28]. Optimizing genotype × environment interactions for the best performing clones resulted in MAI values of 3.0 to 11.0 Mg ha−1 yr−1 for four-year-old trees [28]. Such a wide range in productivities can be attributed in part to site conditions and planting stock (i.e., rooted vs. unrooted cuttings). Effective clonal selection is integral to maximizing productivity, regardless of application (e.g., biomass for bioenergy, phytotechnologies, etc.). Productivity values in the lower part of this range have been shown for poplars grown for phytotechnologies. At phytoremediation plantations in the Midwest planted at stand densities from 434 to 4310 trees ha−1, MAI values ranged from 4.4 to 15.5 Mg ha−1 yr−1 for some of the same clones as the current study (‘DN5’, ‘DN34’, ‘NM2’, ‘NM6’) [17]. However, lower productivity (0.5 to 2.5 Mg ha−1 yr−1) also has been reported for poplar clones ‘DN5’, ‘NC14106’, ‘NM2’, and ‘NM6’ irrigated with landfill leachate grown for two years with a stand density of 3472 trees ha−1 [52]. These results corroborated the growth productivity of clones in the current study, for which MAI ranged from 1.6 to 3.9 Mg ha−1 yr−1 across all phyto buffers and clones. Considering that phyto buffers in our study were located adjacent to landfills and similar sites, clone productivity can be considered satisfactory because the presence of potential soil heterogeneity can significantly affect biomass production of poplar clones [14,42,46,47,53,57,70].
Optimal site conditions for poplar growth include deep, fertile sandy-loam to clay-loam soils with pH ranging from 5.0 to 7.5 that are well drained, but not droughty [71]. Thus, annual precipitation is another influential factor and, in the present study, all phyto buffers fit within the regional precipitation gradient range of 76.2 to 88.9 cm [30]. Site conditions at the buffers significantly affected growth and productivity of the tested clones, specifically concerning soil water availability and pH, which serve as limiting factors for poplar growth. By comparison, there was a lack of phyto buffer × clone group interaction regarding MAI at four years after planting. Such an outcome can be explained by the origin of the hybrids; NRRI clones belong to the ‘DN’ genomic group, whereas Control and Experimental clone groups contain clones originating from different poplar species and inter- and intra-sectional hybrids [17].
Trends in health were similar across phyto buffer groups; phyto buffer and clone group main effects governed health during the year of establishment, and in the following years, phyto buffer × clone group interactions were expressed. Such results can be explained by a stronger influence of site conditions and clone group characteristics (i.e., rooting ability) on vitality during the year of establishment, whereas the interaction of the factors evolved in subsequent years. Greenhouse experiments of Rogers et al. [58] showed a similar health response of NRRI clones ‘99038022’ and ‘9732-36’ compared to Experimental (‘NC14106’) and Common (‘DN34’, ‘NM2’, ‘NM6’) clones grown in soils from six of the phyto buffers of the current study (BW: Bellevue (West); CE: Caledonia (East); ME: Menomonee Falls (East); MW: Menomonee Falls (West); SL: Slinger; WH: Whitelaw). Finally, despite significant effects of phyto buffer, clone group, and their interaction, all health assessment values were within the optimal health category, with values ranging from 1.11 to 1.36 across all phyto buffer × clone group × year combinations (Figure 1, Figure 2 and Figure 3, Figures S1 and S2; Table S1), indicating no substantial influence on clonal vitality across all sites.
As expected, the phyto buffer × clone group × year interaction for diameter and volume production of clones was significant, indicating different growth patterns of tested clones and, further, changes in annual growth increment of poplars throughout the production cycle [72]. Such an explanation could also be applied for MAI, which was lower (though not always significantly) for NRRI clones than those of the Common clone group. These results were corroborated considering volume production of the clones in the 2017 Phyto Buffer Group. NRRI clones ‘99059016’ and ‘9732-36’ had significantly lower wood volume than Common clones after the first year, whereas these differences were negligible after two and three years of growth. In the current study, the lack of a significant phyto buffer × clone group × year interaction for height can be explained by the fact that although height and diameter are typically positively correlated for poplars (and trees in general), this correlation is influenced by variation due to the site and G × E interactions, leading to the need for matching clones to specific site conditions [73]. In addition, different biomass allocation growth patterns (e.g., terminal vs. lateral shoot growth) among clones could have impacted the current results [64].
In general, NRRI clones showed potential for use in phytotechnologies, with high productivity exhibited for clones ‘99038022’ and ‘9732-31’. Previously, NRRI clones ‘99038022’, ‘99059016’, ‘9732-11’, ‘9732-24’, and ‘9732-31’ demonstrated high productivity for mean basal area and volume, often outperforming Common clones [36,37]. Although the productivity of NRRI clones have varied markedly across sites, the identification of geographically robust clones holds promise for efficiently meeting diverse environmental objectives [38]. Breeding and selecting clonal forest reproductive material has many advantages, including utilization of both additive and non-additive variance, resulting in larger genetic gains [35,74,75]. On the other hand, environmental factors can diminish genetic gains. According to Pliura et al. [76], the presence of a significant G × E interaction implies that: (1) a genotype’s performance in a specific environment can be less accurately predicted by the overall genotypic mean, and (2) a genotype’s overall performance can be less accurately predicted by the genotypic mean in a specific environment. Both of these responses can result in biased estimates and, thus, decreases in genetic gains [76].
The aforementioned results, including those of the present study, indicated that NRRI clones, which originated from a narrow range of latitudes, were well-suited to the latitudinal range of the phyto buffers. For example, ‘D125’ (selected from Dr. Carl Mohn’s long-term P. deltoides program at the University of Minnesota) is the female Minnesota P. deltoides parent used for all F1 full-sib progeny within family pedigree ‘9732’. In contrast, some genotypes of the Common and Experimental clone groups originated from other parts of North America and Europe, making them less adapted to certain phyto buffer site conditions. The intra-specific breeding strategy for NRRI clones uses P. deltoides parents of a limited geographic range (Minnesota) combined with other Aigeiros species (e.g., P. nigra) to produce progeny of increased performance [35]. The P. nigra component of ‘DN’ hybrids has produced a strong heterotic effect not exhibited in P. trichocarpa Torr. et Gray × P. deltoides ‘TD’ hybrids due to greater genomic relatedness between P. deltoides and P. nigra relative to poplars from the Tacamahaca section (e.g., P. trichocarpa, P. maximowiczii A. Henry) [77]. This genetic closeness was corroborated by mitochondrial DNA variation [78] and simple sequence repeat (SSR) markers [79]. In addition, species biology likely contributed substantially to the performance of NRRI hybrids. According to Sixto et al. [65], the plasticity of certain Aigeiros species enabled them to grow on a vast range of habitats (e.g., from poor, dry and stony to optimal silty or sandy loamy soils) versus Tacamahaca balsam poplars that preferred alluvial, fertile soils in wetter climates and higher elevations. Their results were verified by findings of positive sensitivity to increases in median temperature and negative sensitivity to increased sand content by P. nigra clones, with the opposite occurring for P. trichocarpa × P. deltoides hybrids [65]. Nelson et al. [37] hypothesized that the P. nigra male component of P. deltoides × P. nigra hybrids imparts broad adaptability to these genotypes.
Overall, in the current study, NRRI clones exhibited positive growth performance at all sixteen phyto buffers during the first four years of establishment. Their height, diameter, and volume, like those of the Common and Experimental clone groups, were influenced by site conditions, which was expected considering soil heterogeneity at the phyto buffers. NRRI clones, the progeny of Minnesota-selected P. deltoides and P. nigra, were robust and well-adapted to the varying climate and soils at the phyto buffers. Our results corroborated previous testing of NRRI clones in more traditional SRWC production plantations [35,36,37,38], indicating their potential for use in phytotechnologies.
Supplementary Materials
The following are available online at https://www.mdpi.com/article/10.3390/f12040474/s1; Table S1: Probability values from analyses of variance for health and mean annual increment (MAI); Table S2: Probability values from analyses of variance for height, diameter, and volume; Table S3: Diameter for the buffer × clone group × year interaction (2018 Buffer Group); Table S4: Diameter for the buffer × clone group × year interaction (2019 Buffer Group); Figure S1: Health for the buffer × clone group interaction measured in 2019 (2017 Buffer Group); Figure S2: Health for the buffer × clone group interaction measured in 2019 (2018 Buffer Group); Figure S3: Height for the buffer × year interaction (2017 Buffer Group); Figure S4: Diameter for the buffer × year interaction (2017 Buffer Group); Figure S5: Height for the buffer × year interaction (2018 Buffer Group); Figure S6: Height for the buffer × year interaction (2019 Buffer Group); Figure S7: Height for the clone group × year interaction (2017 Buffer Group); Figure S8: Diameter for the clone group × year interaction (2017 Buffer Group).
Author Contributions
Conceptualization, J.G.B., R.A.H., C.-H.L. and R.S.Z.J.; methodology, J.G.B., R.A.H., C.-H.L., B.G.M., A.P., E.R.R. and R.S.Z.J.; validation, A.P., E.R.R. and R.S.Z.J.; formal analysis, R.S.Z.J.; investigation, J.G.B., R.A.H., C.-H.L., B.G.M., N.D.N., A.P., E.R.R. and R.S.Z.J.; resources, J.G.B., R.A.H., C.-H.L., B.G.M., N.D.N. and R.S.Z.J.; data curation, E.R.R. and R.S.Z.J.; writing: original draft preparation, A.P., E.R.R., and R.S.Z.J.; writing: review and editing, J.G.B., R.A.H., C.-H.L., B.G.M., N.D.N., A.P., E.R.R. and R.S.Z.J.; visualization, E.R.R. and R.S.Z.J.; supervision, J.G.B., C.-H.L., N.D.N., E.R.R. and R.S.Z.J.; project administration, J.G.B., C.-H.L. and R.S.Z.J.; funding acquisition, R.S.Z.J. All authors have read and agreed to the published version of the manuscript.
Funding
This work was funded by the Great Lakes Restoration Initiative (GLRI; Template #738 Landfill Runoff Reduction).
Acknowledgments
The findings and conclusions in this publication are those of the authors and should not be construed to represent any official USDA or United States Government determination or policy. This work was funded by the Great Lakes Restoration Initiative (GLRI; Template #738 Landfill Runoff Reduction). We are grateful to S. Johnson, C.H. Perry, and N. Vrevich of the USDA Forest Service for GLRI support. We thank B. Dean (formerly), K. Corcoran, and M. Mujaddedi of the International Programs Office of the USDA Forest Service for administrative support of scientific exchanges between A. Pilipović and R. Zalesny, as well as their administration and support of International Forestry Fellows: D. Karlsson (Sweden), P. Muñoz Gomez de la Serna (Spain), and A. Peqini (Albania). We thank the following site managers for access to and information about their field sites: L. Buechel, J. Forney, M. Peterson, B. Pliska, and R. Seegers (Waste Management, Inc.); K. Dorow, D. Koski, and K. McDaniel (City of Manitowoc, Wisconsin); D. Henderson (AECOM Technical Services, Inc.); B. Austin and J. Wales (Marquette County Solid Waste Management Authority); D. Pyle (Delta County Solid Waste Management Authority); and S. Coron (Great American Disposal), as well as T. Beggs (Wisconsin Department of Natural Resources) for regulatory assistance and B. Sexton (Sand County Environmental) for insight, knowledge, and guidance on sustainable phytoremediation systems. We appreciate laboratory, greenhouse, and field technical assistance from: E. Bauer, B. Birr, T. Cook, B. DeBauche, S. Eddy, F. Erdmann, C. Espinosa, D. Karlsson, R. Lange, P. Manley, M. Mueller, C. Munch, P. Muñoz Gomez de la Serna, D. Nguyen, A. Peqini, M. Ramsay, E. Schmidt, J. Schutts, C.P. Vinhal, M. Wagler, and A. Wiese. We are grateful to: J.M. Suvada for developing Figure 1; R. Klevickas and P. Bloese for providing cutting material; and E. Bauer, B. DeBauche, C.P. Vinhal, and A. Wiese for project leadership. We thank W. Headlee for statistical mentoring and reviewing earlier versions of this manuscript.
Conflicts of Interest
The authors declare no conflict of interest.
References
- Zalesny, R.S., Jr.; Pilipović, A.; Rogers, E.R.; Burken, J.G.; Hallett, R.A.; Lin, C.-H.; McMahon, B.G.; Nelson, N.D.; Wiese, A.H.; Bauer, E.O.; et al. Establishment of regional phytoremediation buffer systems for ecological restoration in the Great Lakes Basin, USA. I. Genotype × environment interactions. Forests 2021, 12, 430. [Google Scholar] [CrossRef]
- Fuller, K.; Shear, H.; Wittig, J. The Great Lakes: An Environmental Atlas and Resource Book, 3rd ed.; U.S. Environmental Protection Agency: Chicago, IL, USA; Government of Canada: Toronto, ON, Canada, 1995; Volume 95, p. 46, Issue 1 of EPA 905-B.
- GLRI (Great Lakes Restoration Initiative). Action Plan I (2010–2014); GLRI (Great Lakes Restoration Initiative): Washington, DC, USA, 2010; p. 41. [Google Scholar]
- United States Environmental Protection Agency (USEPA). National Water Quality Inventory Report to Congress; United States Environmental Protection Agency (USEPA): Washington, DC, USA, 2017; p. 21, EPA/841/R-16/011.
- United States Environmental Protection Agency (USEPA). National Overview: Facts and Figures on Materials, Wastes and Recycling, 2020; United States Environmental Protection Agency (USEPA): Washington, DC, USA, 2020. Available online: https://www.epa.gov/facts-and-figures-about-materials-waste-and-recycling/national-overview-facts-and-figures-materials#Trends1960-Today (accessed on 14 January 2021).
- Justin, M.Z.; Pajk, N.; Zupanc, V.; Zupančič, M. Phytoremediation of landfill leachate and compost wastewater by irrigation of Populus and Salix: Biomass and growth response. Waste Manag. 2010, 30, 1032–1042. [Google Scholar] [CrossRef] [PubMed]
- Salt, D.E.; Blaylock, M.; Kumar, N.P.B.A.; Dushenkov, V.; Ensley, B.D.; Chet, I.; Raskin, I. Phytoremediation: A Novel Strategy for the Removal of Toxic Metals from the Environment Using Plants. Nat. Biotechnol. 1995, 13, 468–474. [Google Scholar] [CrossRef] [PubMed]
- Rock, S.; Pivetz, B.; Madalinski, K.; Adam, N.; Wilson, T. Introduction to Phytoremediation; U.S. Environmental Protection Agency: Washington, DC, USA, 2000; p. 72, EPA/600/R-99/107 (NTIS PB2000-106690).
- Burken, J.G.; Schnoor, J.L. Predictive Relationships for Uptake of Organic Contaminants by Hybrid Poplar Trees. Environ. Sci. Technol. 1998, 32, 3379–3385. [Google Scholar] [CrossRef]
- Arthur, E.L.; Rice, P.J.; Rice, P.J.; Anderson, T.A.; Baladi, S.M.; Henderson, K.L.D.; Coats, J.R. Phytoremediation—An Overview. Crit. Rev. Plant Sci. 2005, 24, 109–122. [Google Scholar] [CrossRef]
- Chaney, R.L.; Baklanov, I.A. Phytoremediation and Phytomining. Adv. Bot. Res. 2017, 83, 189–221. [Google Scholar] [CrossRef]
- Robinson, B.H.; Bañuelos, G.; Conesa, H.M.; Evangelou, M.W.H.; Schulin, R. The Phytomanagement of Trace Elements in Soil. Crit. Rev. Plant Sci. 2009, 28, 240–266. [Google Scholar] [CrossRef]
- Isebrands, J.G.; Aronsson, P.; Carlson, M.; Ceulemans, R.; Coleman, M.D.; Dickinson, N.M.; Dimitriou, J.; Doty, S.L.; Gardiner, E.S.; Heinsoo, K.; et al. Environmental applications of poplars and willows. Poplars Willows Trees Soc. Environ. 2014, 6, 258–336. [Google Scholar] [CrossRef]
- Zalesny, R.S., Jr.; Bauer, E.O. Selecting and utilizing Populus and Salix for landfill covers: Implications for leachate irrigation. Intl. J. Phytoremed. 2007, 9, 497–511. [Google Scholar] [CrossRef]
- Licht, L.A.; Isebrands, J. Linking phytoremediated pollutant removal to biomass economic opportunities. Biomass Bioenergy 2005, 28, 203–218. [Google Scholar] [CrossRef]
- Zalesny, R.S., Jr.; Stanturf, J.A.; Gardiner, E.S.; Perdue, J.H.; Young, T.M.; Coyle, D.R.; Headlee, W.L.; Bañuelos, G.S.; Hass, A. Ecosystem services of woody crop production systems. BioEnergy Res. 2016, 9, 465–491. [Google Scholar] [CrossRef]
- Zalesny, R.S., Jr.; Headlee, W.L.; Gopalakrishnan, G.; Bauer, E.O.; Hall, R.B.; Hazel, D.W.; Isebrands, J.G.; Licht, L.A.; Negri, M.C.; Guthrie-Nichols, E.; et al. Ecosystem services of poplar at long-term phytoremediation sites in the Midwest and Southeast, United States. Wiley Interdiscip. Rev. Energy Environ. 2019, 8, e349. [Google Scholar] [CrossRef]
- Burdon, R.D. Forest genetics and tree breeding: Current and future signposts. In Encyclopedia of Forest Sciences; Burley, J., Eveno, E., Youngquist, J.A., Eds.; Elsevier Academic: Amsterdam, The Netherlands, 2004; pp. 1538–1545. ISBN 978-0-12-145160-8. [Google Scholar]
- Stout, A.B.; Schreiner, E.J. Results of a project in hybridizing poplars. J. Hered. 1933, 24, 217–229. [Google Scholar] [CrossRef]
- Isebrands, J.; Zalesny, J.R. Reflections on the contributions of Populus research at Rhinelander, Wisconsin, USA. Can. J. For. Res. 2021, 51, 139–153. [Google Scholar] [CrossRef]
- Eckenwalder, J.E. Natural intersectional hybridization between North American species of Populus (Salicaceae) in sections Aigeiros and Tacamahaca. II. Taxonomy. Can. J. Bot. 1984, 62, 325–335. [Google Scholar] [CrossRef]
- Stanton, B.J.; Neale, D.B.; Li, S. Populus Breeding: From the Classical to the Genomic Approach. In Genetics and Genomics of Populus; Jansson, S., Bhalerao, R., Groover, A., Eds.; Springer: New York, NY, USA, 2010; Volume 8, pp. 309–348. [Google Scholar]
- Mahama, A.A.; Hall, R.B.; Zalesny, R.S., Jr. Differential interspecific incompatibility among Populus hybrids in sections Aigeiros Duby and Tacamahaca Spach. For. Chron. 2011, 87, 790–796. [Google Scholar] [CrossRef]
- De Leon, N.; Jannink, J.L.; Edwards, J.W.; Kaeppler, S.M. Introduction to a special issue on genotype by environment interaction. Crop Sci. 2016, 56, 2081–2089. [Google Scholar] [CrossRef]
- Calleja-Rodriguez, A.; Gull, B.A.; Wu, H.X.; Mullin, T.J.; Persson, T. Genotype-by-environment interactions and the dynamic relationship between tree vitality and height in northern Pinus sylvestris. Tree Genet. Genomes 2019, 15, 36. [Google Scholar] [CrossRef]
- Orlović, S.; Guzina, V.; Merkulov, L. Genetic variability in anatomical, physiological and growth characteristics of hybrid poplar (Populus × euramericana Dode (Guinier)) and eastern cottonwood (Populus deltoides Bartr.) clones. Silvae Genet. 1998, 47, 183–190. [Google Scholar]
- Kassen, R. The experimental evolution of specialists, generalists, and the maintenance of diversity. J. Evol. Biol. 2002, 15, 173–190. [Google Scholar] [CrossRef]
- Riemenschneider, D.E.; Isebrands, J.G.; Berguson, W.E.; Dickmann, D.I.; Hall, R.B.; Mohn, C.A.; Stanosz, G.R.; Tuskan, G.A. Poplar breeding and testing strategies in the north-central U.S.: Demonstration of potential yield and consideration of future research needs. For. Chron. 2001, 77, 245–253. [Google Scholar] [CrossRef]
- Hansen, E.A. Mid-Rotation Yields of Biomass Plantations in the North Central United States. Research Paper NC-309; U.S. Department of Agriculture, Forest Service, North Central Forest Experiment Station: St. Paul, MN, USA, 1992; p. 8. [CrossRef]
- Hansen, E.A.; Ostry, M.E.; Johnson, W.D.; Tolsted, D.N.; Netzer, D.A.; Berguson, W.E.; Hall, R.B. Field Performance of Populus in Short-Rotation Intensive Culture Plantations in the North-Central Research Paper NC-320; U.S. Department of Agriculture, Forest Service, North Central Forest Experiment Station: St. Paul, MN, USA, 1994; p. 13. [CrossRef]
- Volk, T.A.; Berguson, B.; Daly, C.; Halbleib, M.D.; Miller, R.; Rials, T.G.; Abrahamson, L.P.; Buchman, D.; Buford, M.; Cunningham, M.W.; et al. Poplar and shrub willow energy crops in the United States: Field trial results from the multiyear regional feedstock partnership and yield potential maps based on the PRISM-ELM model. GCB Bioenergy 2017, 10, 735–751. [Google Scholar] [CrossRef]
- Netzer, D.A.; Tolsted, D.; Ostry, M.E.; Isebrands, J.G.; Riemenschneider, D.E.; Ward, K.T. Growth, Yield, and Disease Resistance of 7- to 12-Year-Old Poplar Clones in the North Central United States. General Technical Report NC-229; U.S. Department of Agriculture, Forest Service, North Central Research Station: St. Paul, MN, USA, 2002; p. 31. [CrossRef]
- Zalesny, R.S., Jr.; Hall, R.B.; Zalesny, J.A.; Berguson, W.E.; McMahon, B.G.; Stanosz, G.R. Biomass and genotype × environment interactions of Populus energy crops in the Midwestern United States. BioEnergy Res. 2009, 2, 106–122. [Google Scholar] [CrossRef]
- Zalesny, R.S., Jr.; Stanturf, J.A.; Gardiner, E.S.; Bañuelos, G.S.; Hallett, R.A.; Hass, A.; Stange, C.M.; Perdue, J.H.; Young, T.M.; Coyle, D.R.; et al. Environmental technologies of woody crop production systems. BioEnergy Res. 2016, 9, 492–506. [Google Scholar] [CrossRef]
- Berguson, W.; McMahon, B.; Riemenschneider, D. Additive and Non-Additive Genetic Variances for Tree Growth in Several Hybrid Poplar Populations and Implications Regarding Breeding Strategy. Silvae Genet. 2017, 66, 33–39. [Google Scholar] [CrossRef]
- Nelson, N.D.; Berguson, W.E.; McMahon, B.G.; Cai, M.; Buchman, D.J. Growth performance and stability of hybrid poplar clones in simultaneous tests on six sites. Biomass Bioenergy 2018, 118, 115–125. [Google Scholar] [CrossRef]
- Nelson, N.D.; Meilan, R.; Berguson, W.E.; McMahon, B.G.; Cai, M.; Buchman, D. Growth performance of hybrid poplar clones on two agricultural sites with and without early irrigation and fertilization. Silvae Genet. 2019, 68, 58–66. [Google Scholar] [CrossRef]
- Nelson, N.D.; Berguson, W.E.; McMahon, B.G.; Meilan, R.; Smart, L.B.; Gouker, F.E.; Bloese, P.; Miller, R.; Volk, T.A.; Cai, M.; et al. Discovery of Geographically Robust Hybrid Poplar Clones. Silvae Genet. 2019, 68, 101–110. [Google Scholar] [CrossRef]
- Zalesny, R.S., Jr.; Berndes, G.; Dimitriou, I.; Fritsche, U.; Miller, C.; Eisenbies, M.; Ghezehei, S.; Hazel, D.; Headlee, W.L.; Mola-Yudego, B.; et al. Positive water linkages of producing short rotation poplars and willows for bioenergy and phytotechnologies. Wiley Interdiscip. Rev. Energy Environ. 2019, 8, e345. [Google Scholar] [CrossRef]
- Lin, C.-H.; Goyne, K.W.; Kremer, R.J.; Lerch, R.N.; Garrett, H.E. Dissipation of Sulfamethazine and Tetracycline in the Root Zone of Grass and Tree Species. J. Environ. Qual. 2010, 39, 1269–1278. [Google Scholar] [CrossRef]
- Doty, S.L.; Freeman, J.L.; Cohu, C.M.; Burken, J.G.; Firrincieli, A.; Simon, A.; Khan, Z.; Isebrands, J.G.; Lukas, J.; Blaylock, M.J. Enhanced Degradation of TCE on a Superfund Site Using Endophyte-Assisted Poplar Tree Phytoremediation. Environ. Sci. Technol. 2017, 51, 10050–10058. [Google Scholar] [CrossRef] [PubMed]
- Pilipović, A.; Orlović, S.; Nikolić, N.; Borišev, M.; Krstić, B.; Rončević, S. Growth and plant physiological parameters as markers for selection of poplar clones for crude oil phytoremediation. Šumarski List 2012, 136, 273–281. Available online: https://www.sumari.hr/sumlist/pdf/201202730.pdf (accessed on 10 January 2021).
- Pilipović, A.; Zalesny, R.S., Jr.; Orlović, S.; Drekić, M.; Pekeč, S.; Katanić, M.; Poljaković-Pajnik, L. Growth and physiological responses of three poplar clones grown on soils artificially contaminated with heavy metals, diesel fuel, and herbicides. Int. J. Phytoremedia. 2019, 22, 436–450. [Google Scholar] [CrossRef]
- Gardea-Torresdey, J.L.; Peralta-Videa, J.R.; De La Rosa, G.; Parsons, J. Phytoremediation of heavy metals and study of the metal coordination by X-ray absorption spectroscopy. Coord. Chem. Rev. 2005, 249, 1797–1810. [Google Scholar] [CrossRef]
- Nikolić, N.; Zorić, L.; Cvetković, I.; Pajević, S.; Borišev, M.; Orlović, S.; Pilipović, A. Assessment of cadmium tolerance and phytoextraction ability in young Populus deltoides L. and Populus × euramericana plants through morpho-anatomical and physiological responses to growth in cadmium enriched soil. iFor. Biogeosci. For. 2017, 10, 635–644. [Google Scholar] [CrossRef]
- Pilipović, A.; Nikolić, N.; Orlović, S.; Petrović, N.; Krstić, B. Cadmium phytoextraction potential of poplar clones (Populus spp.). Z. Naturforsch. 2005, 60, 247–251. [Google Scholar]
- Pilipović, A.; Zalesny, R.S., Jr.; Rončević, S.; Nikolić, N.; Orlović, S.; Beljin, J.; Katanić, M. Growth, physiology, and phytoextraction potential of poplar and willow established in soils amended with heavy-metal contaminated, dredged river sediments. J. Environ. Manag. 2019, 239, 352–365. [Google Scholar] [CrossRef]
- Pierattini, E.C.; Francini, A.; Huber, C.; Sebastiani, L.; Schröder, P. Poplar and diclofenac pollution: A focus on physiology, oxidative stress and uptake in plant organs. Sci. Total Environ. 2018, 636, 944–952. [Google Scholar] [CrossRef]
- Raffaelli, A.; Pierattini, E.C.; Francini, A.; Sebastiani, L. ESI and APCI LC-MS/MS in model investigations on the absorption and transformation of organic xenobiotics by poplar plants (Populus alba L.). In Comprehensive Analytical Chemistry; Cappiello, A., Palma, P., Eds.; Elsevier Academic: Amsterdam, The Netherlands, 2018; Volume 79, pp. 241–266. ISBN 978-0-44-463914-1. [Google Scholar]
- Vannucchi, F.; Traversari, S.; Raffaelli, A.; Francini, A.; Sebastiani, L. Populus alba tolerates and efficiently removes caffeine and zinc excesses using an organ allocation strategy. Plant Growth Regul. 2020, 92, 597–606. [Google Scholar] [CrossRef]
- Zalesny, R.S., Jr.; Bauer, E.O.; Hall, R.B.; Zalesny, J.A.; Kunzman, J.; Rog, C.J.; Riemenschneider, D.E. Clonal variation in survival and growth of hybrid poplar and willow in an in situ trial on soils heavily contaminated with petroleum hydrocarbons. Intl. J. Phytoremed. 2005, 7, 177–197. [Google Scholar] [CrossRef]
- Zalesny, J.A.; Zalesny, R.S., Jr.; Coyle, D.R.; Hall, R.B. Growth and biomass of Populus irrigated with landfill leachate. For. Ecol. Manage. 2007, 248, 143–152. [Google Scholar] [CrossRef]
- Zalesny, R.S., Jr.; Bauer, E.O. Evaluation of Populus and Salix continuously irrigated with landfill leachate I. Genotype-specific elemental phytoremediation. Intl. J. Phytoremed. 2007, 9, 281–306. [Google Scholar] [CrossRef] [PubMed]
- Kebert, M.; Rapparini, F.; Neri, L.; Bertazza, G.; Orlović, S.; Biondi, S. Copper-Induced Responses in Poplar Clones are Associated with Genotype- and Organ-Specific Changes in Peroxidase Activity and Proline, Polyamine, ABA, and IAA Levels. J. Plant Growth Regul. 2017, 36, 131–147. [Google Scholar] [CrossRef]
- Bañuelos, G.S.; Shannon, M.C.; Ajwa, H.; Draper, J.H.; Jordahl, J.; Licht, J. Phytoextraction and Accumulation of Boron and Selenium by Poplar (Populus) Hybrid Clones. Int. J. Phytoremedia. 1999, 1, 81–96. [Google Scholar] [CrossRef]
- Baldantoni, D.; Cicatelli, A.; Bellino, A.; Castiglione, S. Different behaviours in phytoremediation capacity of two heavy metal tolerant poplar clones in relation to iron and other trace elements. J. Environ. Manag. 2014, 146, 94–99. [Google Scholar] [CrossRef]
- Zalesny, J.A.; Zalesny, R.S., Jr.; Wiese, A.H.; Hall, R.B. Choosing tree genotypes for phytoremediation of landfill leachate using phyto-recurrent selection. Intl. J. Phytoremed. 2007, 9, 513–530. [Google Scholar] [CrossRef]
- Rogers, E.R.; Zalesny, J.R.S.; Hallett, R.A.; Headlee, W.L.; Wiese, A.H. Relationships among Root–Shoot Ratio, Early Growth, and Health of Hybrid Poplar and Willow Clones Grown in Different Landfill Soils. Forest 2019, 10, 49. [Google Scholar] [CrossRef]
- Zalesny, R.S., Jr.; Bauer, E.O. Genotypic variability and stability of poplars and willows grown on nitrate-contaminated soils. Intl. J. Phytoremed. 2019, 21, 969–979. [Google Scholar] [CrossRef]
- Hansen, E.A. Root length in young hybrid Populus plantations: Its implications for border width of research plots. For. Sci. 1981, 27, 808–814. [Google Scholar] [CrossRef]
- Zavitkovski, J. Small plots with unplanted plot border can distort data in biomass production studies. Can. J. For. Res. 1981, 11, 9–12. [Google Scholar] [CrossRef]
- Kershaw, J.A.; Ducey, M.J.; Beers, T.W.; Husch, B. Forest Mensuration, 5th ed.; Wiley-Blackwell: Hoboken, NJ, USA, 2016; p. 630. ISBN 978-1-118-90203-5. [Google Scholar]
- Headlee, W.L.; Zalesny, R.S., Jr. Allometric relationships for aboveground woody biomass differ among hybrid poplar genomic groups and clones in the north-central USA. BioEnergy Res. 2019, 12, 966–976. [Google Scholar] [CrossRef]
- Ghezehei, S.B.; Nichols, E.G.; Maier, C.A.; Hazel, D.W. Adaptability of Populus to physiography and growing conditions in the Southeastern USA. Forests 2019, 10, 118. [Google Scholar] [CrossRef]
- Sixto, H.; Gil, P.M.; Ciria, P.; Camps, F.; Cañellas, I.; Voltas, J. Interpreting genotype-by-environment interaction for biomass production in hybrid poplars under short-rotation coppice in Mediterranean environments. GCB Bioenergy 2016, 8, 1124–1135. [Google Scholar] [CrossRef][Green Version]
- Clifton-Brown, J.; Harfouche, A.; Casler, M.D.; Jones, H.D.; MacAlpine, W.J.; Murphy-Bokern, D.; Smart, L.B.; Adler, A.; Ashman, C.; Awty-Carroll, D.; et al. Breeding progress and preparedness for mass-scale deployment of perennial lignocellulosic biomass crops switchgrass, miscanthus, willow and poplar. GCB Bioenergy 2019, 11, 118–151. [Google Scholar] [CrossRef]
- Hall, R.B.; Hanna, R.D. Exchange, evaluation, and joint testing of genetic stock. Biomass Bioenergy 1995, 9, 81–87. [Google Scholar] [CrossRef]
- Vance, E.D.; Maguire, D.A.; Zalesny, R.S., Jr. Research strategies for increasing productivity of intensively managed forest plantations. J. For. 2010, 108, 183–192. [Google Scholar] [CrossRef]
- Headlee, W.L.; Zalesny, R.S., Jr.; Donner, D.M.; Hall, R.B. Using a process-based model (3-PG) to predict and map hybrid poplar biomass productivity in Minnesota and Wisconsin, USA. BioEnergy Res. 2013, 6, 196–210. [Google Scholar] [CrossRef]
- Zalesny, R.S., Jr.; Bauer, E.O. Evaluation of Populus and Salix continuously irrigated with landfill leachate II. Soils and early tree development. Intl. J. Phytoremed. 2007, 9, 307–323. [Google Scholar] [CrossRef][Green Version]
- Hansen, E.A.; Netzer, D.A.; Tolsted, D.N. Guidelines for Establishing Poplar Plantations in the North-Central U.S. Research Paper NC-363; U.S. Department of Agriculture, Forest Service, North Central Forest Experiment Station: St. Paul, MN, USA, 1993; p. 6. [CrossRef]
- Andrašev, S.; Rončević, S. Developmental characteristics of selected black poplar clones (section Aigeiros Duby). For. J. 2008, 54, 3–10. [Google Scholar]
- Ghezehei, S.B.; Nichols, E.G.; Hazel, D.W. Early Clonal Survival and Growth of Poplars Grown on North Carolina Piedmont and Mountain Marginal Lands. BioEnergy Res. 2016, 9, 548–558. [Google Scholar] [CrossRef]
- Mullin, T.; Park, Y. Estimating genetic gains from alternative breeding strategies for clonal forestry. Can. J. For. Res. 1992, 22, 14–23. [Google Scholar] [CrossRef]
- Eriksson, G.; Ekberg, I.; Clapham, D. An Introduction to Forest Genetics; Swedish University of Agricultural Sciences (SLU): Uppsala, Sweden, 2006; p. 185. ISBN 91-576-7190-7. [Google Scholar]
- Pliura, A.; Zhang, S.; MacKay, J.; Bousquet, J. Genotypic variation in wood density and growth traits of poplar hybrids at four clonal trials. For. Ecol. Manag. 2007, 238, 92–106. [Google Scholar] [CrossRef]
- Cervera, M.T.; Storme, V.; Soto, A.; Ivens, B.; Van Montagu, M.; Rajora, O.P.; Boerjan, W. Intraspecific and interspecific genetic and phylogenetic relationships in the genus Populus based on AFLP markers. Theor. Appl. Genet. 2005, 111, 1440–1456. [Google Scholar] [CrossRef]
- Barrett, J.W.; Rajora, O.P.; Yeh, F.C.H.; Dancik, B.P.; Strobeck, C. Mitochondrial DNA variation and genetic relationships of Populus species. Genome 1993, 36, 87–93. [Google Scholar] [CrossRef]
- Orlović, S.; Galović, G.; Zorić, M.; Kovačević, B.; Pilipović, A.; Zoran, G. Evaluation of interspecific DNR variability in poplars using AFLP and SSR markers. Afr. J. Biotechnol. 2009, 8, 5241–5247. [Google Scholar] [CrossRef]
Publisher’s Note: MDPI stays neutral with regard to jurisdictional claims in published maps and institutional affiliations. |
© 2021 by the authors. Licensee MDPI, Basel, Switzerland. This article is an open access article distributed under the terms and conditions of the Creative Commons Attribution (CC BY) license (https://creativecommons.org/licenses/by/4.0/).





