Abstract
Phoebe bournei is a precioustimber species and is listed as a national secondary protection plant in China. However, seedlings show obvious photosynthetic declinewhen grown long-term under an elevated CO2 concentration (eCO2). The global CO2 concentration is predicted to reach 700 μmol·mol−1 by the end of this century; however, little is known about what causes the photosynthetic decline of P. bournei seedlings under eCO2 or whether this photosynthetic decline could be controlled by fertilization measures. To explore this problem, one-year-old P. bournei seedlings were grown in an open-top air chamber under either an ambient CO2 (aCO2) concentration (350 ± 70 μmol·mol−1) or an eCO2 concentration (700 ± 10 μmol·mol−1) from June 12th to September 8th and cultivated in soil treated with either moderate (0.8 g per seedling) or high applications (1.2 g per seedling) of nitrate or ammonium. Under eCO2, the net photosynthetic rate (Pn) of P. bournei seedlings treated with a moderate nitrate application was 27.0% lower than that of seedlings grown under an aCO2 concentration (p < 0.05), and photosynthetic declineappeared to be accompanied by a reduction of the electron transport rate (ETR), actual photochemical efficiency, chlorophyll content, ribulose-1,5-bisphosphate carboxylase/oxygenase (rubisco), rubisco activase (RCA) content, leaf thickness, and stomatal density. The Pn of seedlings treated with a high application of nitrate under eCO2 was 5.0% lower than that of seedlings grown under aCO2 (p > 0.05), and photosynthetic declineoccurred more slowly, accompanied by a significant increase in rubisco content, RCA content, and stomatal density. The Pn of P. bournei seedlings treated with either a moderate or a high application of ammonium and grown under eCO2 was not significantly differentto that of seedlings grown under aCO2—there was no photosynthetic decline—and the ETR, chlorophyll content, rubisco content, RCA content, and leaf thickness values were all increased. Increasing the application of nitrate or the supply of ammonium could slow down or prevent the photosynthetic declineof P. bournei seedlings under eCO2 by changing the leaf structure and photosynthetic physiological characteristics.
1. Introduction
A range of human activities such as fossil fuel combustion, deforestation, and industrial development are contributing to the rise of global CO2 concentration [1]. CO2, which is one of the main greenhouse gases in Earth’s atmosphere, has increased in concentration from 280 μmol·mol−1 before the industrial revolution to more than 400 μmol·mol−1 at present. CO2 concentration is predicted to reach 700 μmol·mol−1 by the end of this century, which is causing concern among the international community [2,3,4]. An elevated CO2 (eCO2) concentration not only increases the greenhouse effect of this gas but also affects other environmental factors on Earth’s surface and directly or indirectly influences plant growth and physiology and various other aspects [5,6,7,8]. eCO2 promoted photosynthesis of Eucalyptus globules [9] and Coffea spp. [10] and increased the content of non-structural carbohydrates of Prunuspersica [11].
Photosynthesis is an important physiological process that is necessary for plant growth and carbon sink function. Photosynthesis uses CO2 as a reaction material when converting light energy into chemical energy, and the efficiency of these reactions are affected by changes in CO2 concentration [12]. Given that CO2 is one of the raw materials involved in the conversion of light energy into chemical energy, eCO2 will affect the photosynthetic efficiency and other physiological activities of plants. Previous studies have characterized the short-term and long-term effects of eCO2 concentrations on plant photosynthesis [13,14]. Rates of C3 plants (3-phosphoglycerate is the initial product of CO2 fixation) photosynthesis are not saturated at current CO2 levels and, therefore, eCO2 concentrations will naturally stimulate plants to increase their photosynthetic rate and yield in the short-term [13]. In most cases, if long-term photosynthesis regulation does not occur, the photosynthetic rate will improve, accompanied by an increase in CO2 concentration. This is mainly because the CO2 concentration in intercellular spaces increases, directly increasing the amount of substrate for photosynthesis, which enhances the competitiveness and carboxylation efficiency of the ribulose-1,5-bisphosphate carboxylase/oxygenase (rubisco) enzyme, resulting in an increase in the net photosynthetic rate [15,16]. Studies on Eucalyptus globules [9] and Coffea spp. [10] have shown that short-term eCO2 improves the net photosynthetic rate of these plants. However, the responses of plants that have been subjected to long-term eCO2 treatment show greater variability. Under long-term eCO2, the initial photosynthetic rate enhancement of various plants to eCO2 gradually weakens or gradually disappears and, in some plants, photosynthesis is even downregulated [17,18,19]. This phenomenon has been reported by numerous studies and many studies have been performed to investigate why photosynthetic acclimation occurs [20,21]. One important reason is that a lack of a nitrogen supply impairs the C:N balance [19,22].
Nitrogen is an important component of plant proteins, nucleic acids, chlorophyll and some hormones and has obvious effects on photosynthesis and chlorophyll fluorescenceand, hence, is one of the essential nutrients in plants. Nitrogen nutrition influences the plant photosynthetic capacity through the decrease of synthesis of severalkey photosynthetic enzymes, especially of rubisco, thusaffecting carbon assimilation, and subsequently alsothe photochemical processes in thylakoid membranes [23]. The application of nitrogen is an important regulatory measure to improve plant photosynthetic characteristics and to promote plant growth [24]. For example, nitrogen regulates plant responses to different light intensities [25]. However, the effect of nitrogen nutrition on the adaptation of photosynthesis under eCO2 depends on the supply level and is regulated by the source–sink relationship of plants [26,27]. An insufficient supply of nitrogen limits the response of plants to eCO2 concentrations [26,28]. When nitrogen is the limiting factor, the nitrogen in rubisco may be redistributed to other enzymes or tissues and organs, which affects the synthesis of rubisco and, hence, reduces plant photosynthesis [29]. However, previous studies have indicated that eCO2 may limit plant uptake of nitrogen and thus affect the positive growth response of plants to eCO2 [30,31]. Furthermore, the form of nitrogen can also affect photosynthetic characteristics and the metabolism of different nitrogen forms is different. Most studies have shown that eCO2 is less conducive for the absorption and transformation of nitrate by plants compared with that of ammonium [32,33,34].
Phoebe bournei (Hemsl.) Y.C. Yang is an evergreen tree, which is a precious timber species and an excellent ornamental species in China. The exposure of one-year-old P. bournei seedlings to eCO2 for a short period has been shown to significantly increase their photosynthetic efficiency; however several months of treatment significantly inhibits photosynthesis, photosynthetic decline occurs, and the weakening of photosynthesis causes the metabolic level to decline [35]. In order to find a solution to the problem of photosynthetic decline under long-term eCO2 conditions, such as those predicted to occur by the end of this century, the goals of this study were to understand whether different nitrogen forms and concentrations can alleviate the photosynthetic decline of P. bournei seedlings under eCO2 and to elucidate the mechanism behind these traits. To investigate this problem, we grew one-year-old P. bournei seedlings in an open-top air chamber (OTC) under either an ambient CO2(aCO2) concentration or an eCO2 concentration, applied different amounts of nitrate and ammonium to the soil, and studied the effect of nitrogen form and concentration on gas exchange and chlorophyll fluorescence parameters, which are important indicators of photosynthetic performance [36,37]. Chlorophyll has the function of absorbing and transferring light energy, which is essential for photosynthesis [38].We explored the mechanism of nitrogen regulation from the aspects of photosynthetic chlorophyll content, which can reflect the photosynthetic capacity of plant leaves and has been shown to be significantly positively correlated with the net photosynthetic rate (Pn) [39].We also determined rubisco and rubisco activase (RCA) content because rubisco is the core enzyme in the Calvin cycle and RCA increases the proportion of active rubisco in photosynthetic cells [40]. The response of plants to eCO2 is basically mediated by leaf photosynthesis, which is closely related to changes in leaf structure and chemical composition [41]. Furthermore, leaf anatomical structures best reflect the effects of environmental factors on plants and the adaptation strategies of plants to the environment [42]. Therefore, we also investigated the influence of the different treatments on leaf structure. These data should provide a theoretical basis and technical guidance for P. bournei cultivation in the future.
2. Materials and Methods
2.1. Plant Materials and Fertilizer
One-year-old P. bournei container seedlings grown from seeds of the same mother plant were used as the experimental material. In January 2019, seedlings (average height, 9.4 cm; average ground diameter, 2.73 mm) were selected and transplanted to pots (diameter 15.5 cm, height 14.0 cm) containing 1.5 kg of yellow soil, with one seedling per pot. The nutrient content of the soil was as follows: total nitrogen, 0.84g·kg−1; alkali nitrogen, 28.3 mg·kg−1; total phosphorus, 0.23 g·kg−1; available phosphorus, 7.8 mg·kg−1; total potassium, 21.6 g·kg−1; available potassium, 207.3 mg·kg−1. Seedlings were allowed to recover from transplanting for four months before treatments were applied. The nitrogen fertilizers used in the experiment were calcium nitrate and ammonium sulfate, the phosphate fertilizer was superphosphate, and the potassium fertilizer was potassium chloride.
2.2. Experimental Treatments
An OTC was used to simulate eCO2 conditions. The OTC was a regular octagonal prism with sides of 1 m in length, a diameter of 2.42 m, and a height of 1.7 m, and comprised a 4 cm × 4 cm square steel frame and high-light-transmission 8-mm tempered glass. To accumulate CO2 and slow the rate of CO2 gas loss, the top opening of the OTC was inclined 45 degrees inward. The CO2 concentration in the gas chamber was controlled by a CO2 sensor device (GMP-220, Vaisala, Finland). The collected data were transmitted to a computer that controlled the switch of the solenoid valve of each gas chamber by running the programmed program to control the CO2 concentration in the gas chamber within the target concentration range. Seedlings were treated with either a natural aCO2 concentration of 280–450 μmol·mol−1 or a controlled eCO2 concentration of 700 μmol·mol−1, and with either a moderate level of nitrate (NO3−; 0.8 g per seedling), a high level of nitrate (iNO3−; 1.2 g per seedling), a moderate level of ammonium (NH4+; 0.8g per seedling), or a high level of ammonium (iNH4+; 1.2 g per seedling), i.e., eight treatments in total, each treatment consisting of 45 replicates, totaling to 360 pots. The nitrogen applications were divided into three equal quantities and applied on 3 June, 3 July, and 2 August. The CO2 treatments began on 12 June and endedon8 September. Phosphorus and potassium were also applied to seedlings on 3 June, 3 July, and 2 August. The phosphorus and potassium application rate was based on the moderate level of nitrogen application (i.e., N:P2O5:K2O = 1:1:1). The relevant indicators for each treatment were assessed at the end of CO2 treatment.
2.3. Determination of Gas Exchange
Three seedlings were selected from each treatment, and each of the three upperpart functional leaves were labeled. The net photosynthetic rate (Pn), stomatal conductance (Gs), intercellular CO2 concentration (Ci), and transpiration rate (Tr) of these leaves were measured between 9:00 a.m. and 11:00 a.m. on a sunny day using an Li-6400 portable photosynthesis measurement system (LI-COR Biosciences, Lincoln, NE, USA). The LiCor chamber temperature and humidity measured by the LiCor were 30.7 ± 1.8 °C and 48.6 ± 2.4%. A small CO2 cylinder was used to control the CO2 concentration of the leaf chamber at 350 μmol·mol−1 in theaCO2 gas chamber and at 700 μmol·mol−1 in the eCO2chamber. Photon flux was set to 1200 μmol·mol−1 using a red and blue light source.
2.4. Determination of Chlorophyll Fluorescence
Chlorophyll fluorescence was determined using a modulated chlorophyll fluorescence imaging system (Imaging-Pam mini version, Walz, Germany). After seedlings had been treated in the dark for 1h, the initial fluorescence (Fo) and maximum fluorescence (Fm) in the dark-adapted state of the labeled leaves were determined. Next, the fluorescence kinetic curve was determined to calculate the electron transport rate (ETR), actual photochemical efficiency (Y(II)), photochemical quenching (qP), and non-photochemical quenching (NPQ) in which the qP is the quenching of chlorophyll fluorescence production due to photosynthesis and NPQ is the quenching of chlorophyll fluorescence production due to heat dissipation. The maximum quantum efficiency of photosystem II (Fv/Fm) was determined by calculating (Fm – Fo)/Fm. The Fo′ and Fm′ are initial fluorescence and maximum fluorescence in the light-adapted state respectively, the effective photochemical efficiency of photosystem II (Fv′/Fm′)was determined by calculating (Fm′ – Fo′)/Fm′.
2.5. Determination of Chlorophyll and Key Photosynthetic Enzyme content
The upper functional leaves (0.2 g) of five seedlings in each treatment were sampled. The chlorophyll content was determined by ethanol extraction UV spectrophotometry and calculated according to the following formula: chlorophyll a = 12.7 × OD663 − 2.69 × OD645; chlorophyll b = 22.9 × OD645 − 4.68 × OD663 [43], OD is optical density. Rubisco and RCA content were measured using enzyme-linked immunosorbent assay kits produced by Shanghai Keshun Biological Technology Co., Ltd., Shanghai, China.
2.6. Determination of Leaf Anatomy and Stomatal Density
To observe the leaf anatomy, labeled leaves were fixed in FAA (5% formaldehyde, 5% glacial acetic acid, 90% ethanol of 70%), embedded in paraffin wax and then sectioned to obtain transverse sections (10 μm thick), which were stained with safranin-fast green. These sections were dehydrated and their anatomy was observed using an optical microscope of Nikon Eclipse (Nikon, Tokyo, Japan) and photographed using a Nikon DS-U3 (Nikon, Tokyo, Japan) [44]. Case Viewer software was used to measure the following anatomical structure indicators: cell tightness rate (CTR) = palisade tissue thickness/leaf thickness; scattered rate (SR) = spongy tissue thickness/leaf thickness [45]. To calculate stomatal density, labeled fresh leaves were sprayed with gold and observed and photographed using a scanning electron microscope (Carl Zeiss, Jena, Germany).
2.7. Statistical Analysis
Three-way analysis of variance (ANOVA) was employed to compare the treatment effects, and the treatments means were evaluated by Tukey’s multiple-range test (p < 0.05). All data analyses were performed using Statistical Product and Service Solutions (SPSS) version 23.0. Figures and tables were drafted using Microsoft Office 2007.
3. Results
3.1. Gas Exchange
Under eCO2, the Pn, Gs, and Tr of seedlings treated with a moderate amount of nitrate were significantly lower (27.0%, 20.2%, and 22.5% lower, respectively) than that of seedlings grown under aCO2 (Figure 1). However, compared with seedlings treated with a moderate amount of nitrate, seedlings treated with a high level of nitrate showed a significant increase in Pn, Gs, and Tr under both eCO2 and aCO2. Furthermore, the Pn, Gs, and Tr values obtained under aCO2 and eCO2 conditions were not significantly different (i.e., the adverse effects of eCO2 on the gas exchange of P. bournei seedlings were alleviated when seedlings were treated with a high level of nitrate) (Figure 1). Seedlings that received applications of ammonium showed increased Pn, Gs, and Tr under eCO2 compared with seedlings grown under aCO2; however, the Pn of seedlings that received moderate and high applications of ammonium were only 8.3% and 4.4% higher, respectively, than those grown under aCO2 and the difference was not significant. By contrast, the Gs of seedlings that received moderate and high applications of ammonium were 21.9% and 23.5% higher, respectively, under eCO2 than those grown under aCO2, indicating that under eCO2, ammonium applications were beneficial for gas exchange (Figure 1).
Figure 1.
Gas exchange parameters of Phoebe bournei seedlings grown under ambient (aCO2) or elevated CO2 (eCO2) concentrations and that received moderate (NO3−) or high (iNO3−) applications of nitrate or moderate (NH4+) or high (iNH4+) applications of ammonium. Pn, net photosynthetic rate; Gs, stomatal conductance; Ci, intercellular CO2 concentration; Tr, transpiration rate. Data points represent means ± standard deviation (SD); n = 9. Different lowercase letters represent significant differences between treatments (p < 0.05) according to Tukey’s test.
3.2. Chlorophyll Fluorescence
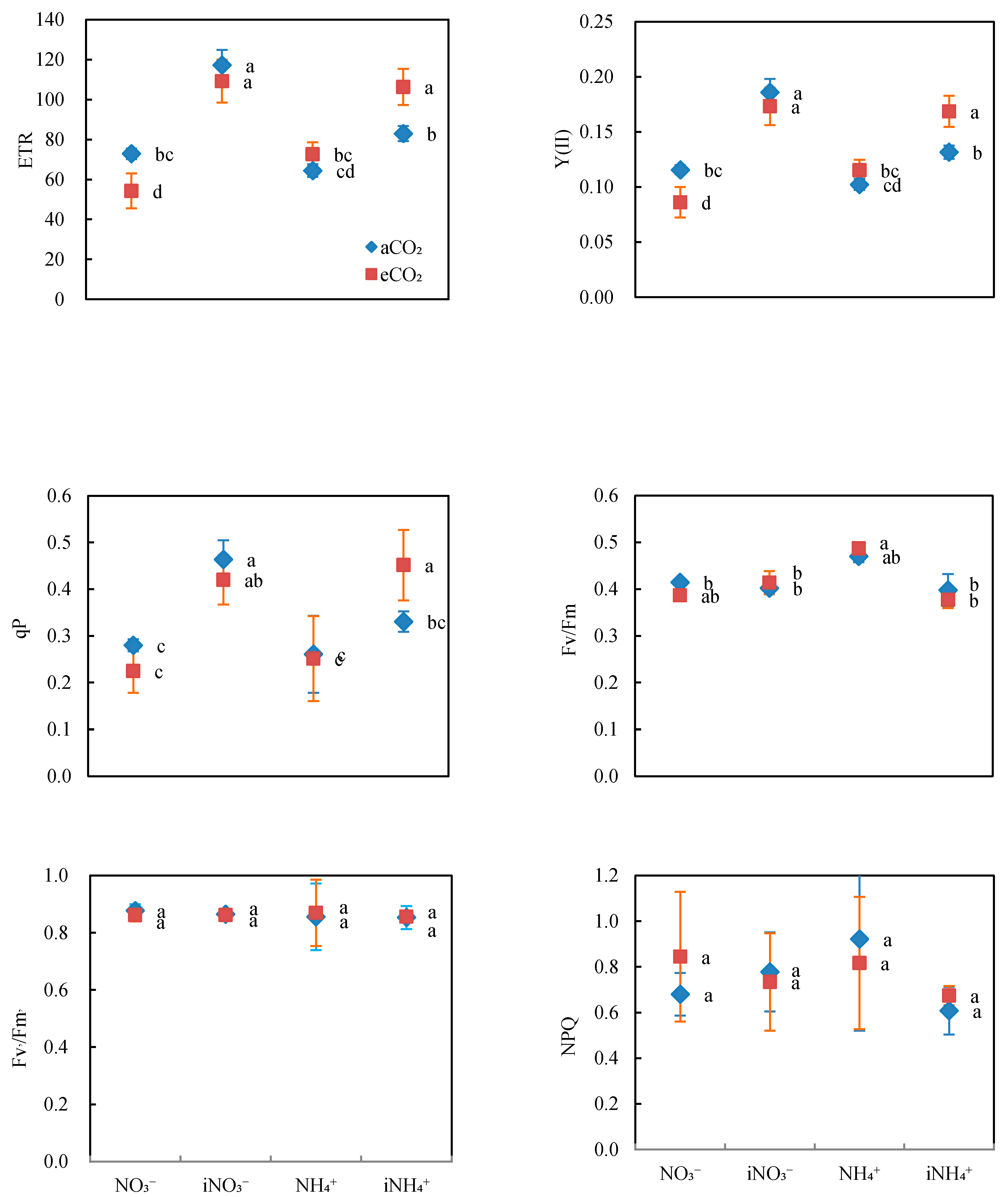
Under eCO2, ETR and Y(II) of seedlings treated with moderate nitrate applications were significantly lower than under aCO2; however, additional nitrate increased ETR and Y(II) regardless of CO2treatment (Figure 2). The ETR and Y(II) of seedlings applied with ammonium were higher under eCO2 than under aCO2. The qP values of seedlings treated with high nitrate applications were significantly higher than those treated with moderate nitrate or ammonium applications regardless of CO2 treatment. By contrast, the qP of seedlings treated with high ammonium was only significantly higher (36.59% higher) than those treated with moderate ammonium or with moderate nitrate applications when grown under eCO2 (Figure 2). The different CO2 concentrations did not significantly affect the Fv/Fm, Fv′/Fm′, and NPQ values of seedlings (Figure 2).
Figure 2.
Fluorescence of Phoebe bournei seedlings grown under ambient (aCO2) or elevated CO2 (eCO2) concentrations and that received moderate (NO3−) or high (iNO3−) applications of nitrate or moderate (NH4+) or high (iNH4+) applications of ammonium. ETR, electron transport rate; Y(II), actual photochemical efficiency; qP, photochemical quenching; Fv/Fm, maximum quantum efficiency of photosystem II; Fv′/Fm′, effective photochemical efficiency of photosystem II; NPQ, non-photochemical quenching. Data points represent means ± SD; n = 5. Data points with the same lowercase letter are not significantly different (p > 0.05) according to Tukey’s test.
3.3. Chlorophyll Content
The chlorophyll content of seedlings treated with moderate nitrate applications decreased when grown under elevated CO2 conditions (Table 1). The chlorophyll a, b, and a + b content of seedlings that received moderate applications of nitrate decreased under eCO2 by 19.3%, 20.0%, and 18.6%, respectively. By contrast, the chlorophyll a, b and a + b content of seedlings grown under eCO2 that received high applications of nitrate were not significantly different, indicating that high levels of nitrate could alleviate the negative effects of eCO2on chlorophyll content (Table 2). Seedlings treated with ammonium showed higher levels of chlorophyll a, b and a + b synthesis under eCO2 than seedlings grown under aCO2, particularly when treated with high levels of ammonium. Although the chlorophyll a/b of seedlings was not significantly affected by the different CO2 concentrations, chlorophyll a/b levels were significantly higher when treated with moderate nitrogen applications rather than high nitrogen applications.
Table 1.
Effectof different CO2 concentrations and nitrogen treatments on the chlorophyll a and b content of Phoebe bournei seedlings.
Table 2.
Analysis results of three factors (CO2 concentration, nitrogen level, nitrogen type) of chlorophyll content for Phoebe bournei seedlings.
3.4. Content of Key Photosynthetic Enzymes
The rubisco and RCA content of seedlings treated with a moderate amount of nitrate were significantly lower (21.48% and 38.81% lower, respectively) in seedlings grown under eCO2 compared with those grown under aCO2. By contrast, the rubisco and RCA content in seedlings treated with high levels of nitrate increased by 22.30% and 2.00%, respectively, under eCO2 compared with seedlings under aCO2 (Figure 3). The rubisco and RCA content of seedlings that received high levels of ammonium were significantly higher than those that received moderate ammonium application, but were not significantly different under aCO2 or eCO2 conditions (Figure 3).
Figure 3.
Rubisco and rubisco activase (RCA) content of Phoebe bournei seedlings grown under ambient (aCO2) or elevated CO2 (eCO2) concentrations and that received moderate (NO3−) or high (iNO3−) applications of nitrate or moderate (NH4+) or high (iNH4+) applications of ammonium. Data points represent means ± SE; n = 5. Different letters beside data points represent significant differences between treatments (p < 0.05) according to Tukey’s test.
3.5. Leaf Anatomical Structure and Stomatal Density
We assessed the upper and lower epidermis, palisade tissue, spongy tissue structure and stomata (Figure 4). The leaf thickness and stomatal density values of seedlings treated with moderate nitrate applications and grown under eCO2 were significantly lower (12.44% and 18.90% lower, respectively) than those of seedlings grown under aCO2 (Table 3). High nitrate applications had a positive effect on stomatal density; however, high nitrate applications did not have a significant effect on leaf thickness under eCO2. The leaf thickness of seedlings that were treated with ammonium and grown under eCO2 was not significantly different to those grown under aCO2 (Table 3). Moderate application of ammonium did not significantly affect stomatal density; however, high levels of ammonium significantly increased stomatal density under eCO2 compared with seedlings grown under aCO2 (Table 3). The different nitrogen and CO2 treatments did not significantly affect palisade tissue thickness and CTR.
Figure 4.
Examples of leaf anatomical structure and stomata of Phoebe bournei seedlings grown under ambient (aCO2) or elevated CO2 (eCO2) concentrations and that received moderate (NO3−) or high (iNO3−) applications of nitrate or moderate (NH4+) or high (iNH4+) applications of ammonium. (a) Leaf anatomical structure; (b) leaf stomata.
Table 3.
Effect of different treatments on the leaf anatomical structure and stomatal density of Phoebe bournei seedlings.
4. Discussion
Although the photosynthetic rate of various plants grown under eCO2 has been shown to increase in the short-term, generally, under long-term eCO2, the stimulation effect weakens but the rates under eCO2remain higher than controls [19]. The growth response of trees to eCO2manifests in many physiological aspects in addition to photosynthetic efficiency. Although long-term eCO2 has been shown to decrease the Gs of Liquidambar styraciflua, stomatal density was unaffected [46]. However, a survey of 100 species and 122 observations showed an average reduction in stomatal density of 14.3% with CO2 enrichment [47]. Elevated CO2 and limited nitrogen nutrition can restrict excitation energy dissipation in photosystem II of Betula platyphylla var. japonica [48] and expression of rubisco and RCA in Pinus ponderosa [49] and Piceaabies [50]. In this study, the photosynthetic efficiency of seedlings treated with a moderate amount of nitrate decreased significantly under eCO2. In addition, the Gs, ETR, chlorophyll content, rubisco and RCA content, and leaf structure-related indexes of seedlings were reduced, indicating that under eCO2 and moderate application of nitrate, the anatomical structure and photosynthetic physiological state of seedlings changed, causing photosynthesis to decrease. However, we found that there was no CO2effect under high applications of nitrate. By contrast, the Gs, ETR, Y (II), qP, and chlorophyll content did not change significantly, and rubisco and RCA content and stomatal density increased significantly, indicating that high nitrate applications under eCO2 could help to improve the photosynthetic physiological and structural characteristics of P. bournei seedlings to sustain stimulation of photosynthesis.
Plant growth is governed by the balance of carbon assimilation and respiration. The joint influence of low nitrogen and excess light had an adverse effect on plant growth; in contrast, no adverse physiological responses were observed for plants under either nitrogen limitation or high light intensity conditions [25]. Similarly, in this study, P. bournei seedlings that received moderate nitrate applications under eCO2 showed the phenomenon of photosynthetic decline, which is consistent with the findings reported by Han et al. [35]. High nitrate applications improved the physiological and structural characteristics of leaves of P. bournei seedlings and reduced photosynthetic decline. A possible explanation for this is that adequate nitrogen supply involved in carbohydrate catabolism and ATP production, which was in line with the sugar availability and high photosynthetic activity and so facilitated plants to cope with adverse environments such as abiotic stress. High applications of nitrate compensated for the shortage of an external nitrogen supply to some extent and adjusted the state of the carbon and nitrogen supply balance, which resulted in improved leaf structure and physiological characteristics and alleviated the degree of photosynthesis decline. Nitrogen is the basic element for enzyme synthesis in plants. About 40% of available nitrogen might be in rubisco [51]. Changes in nitrogen supply had a significant effect on rubisco and RCA content levels, and ultimately on the photosynthetic decline of P. bournei seedlings. Another possible explanation for the photosynthetic decline of P. bournei seedlings under eCO2 is that eCO2 affects the metabolism and absorption of nitrate in plants [52,53], which results in the photosynthetic decline of P. bournei seedlings, whereas higher applications of nitrate alleviated the negative impact of eCO2 on nitrate metabolism and absorption to a certain extent so as to slow down photosynthetic decline. A study by Pettersson and McDonald [26] showed that an insufficient supply of nitrogen could reduce the expression of enzymes involved in photosynthesis, and limit the synthesis of proteins, leading to photosynthetic decline. Furthermore, eCO2 concentrations can have certain inhibitory effects on the plant’s photosynthetic rate, chlorophyll content, photosynthetic electron transport and potential activity of PSII, and its negative effects can be effectively alleviated by nitrogen application [54].
One involves the first biochemical step of nitrate assimilation, the conversion of nitrate to nitrite in the cytoplasm of leaf mesophyll cells. Photorespiration stimulates the export of malate from chloroplasts and increases the availability of nicotinamide adenine dinucleotide hydride in the cytoplasm that powers this first step of nitrate assimilation [22]. The eCO2 conditions can reduce the photo respiration of leaves [55] and limit plant nitrate uptake in favor of ammonium uptake because eCO2 conditions inhibit plant photorespiration and thus affect the transport of malate, which is ultimately detrimental to the assimilation of nitrate [56,57]. Under eCO2, the Pn of seedlings treated with ammonium was increased compared with those grown under aCO2, photosynthetic decline did not occur, and leaf physiological and structural indicators (including ETR, Y(II), and the content of chlorophyll and key photosynthetic enzymes) were increased, which demonstrated that the application of ammonium under eCO2 was more beneficial for the growth of P. bournei seedlings compared withaCO2. However, leaf physiological and structural indicators of seedlings treated with a moderate amount of nitrate decreased significantly under eCO2; the reason for this finding may be that eCO2 affects photorespiration, which in turn affects the assimilation of nitrate but has no effect on the assimilation of ammonium. Silva et al. [58] reported that coffee trees grown under eCO2 and treated with ammonium showed better growth than those treated with nitrate. Some studies [32,33,59] have also indicated that ammonium treatment was superior to nitrate treatment under eCO2conditions because the increase in CO2 concentration affected plant stomata conductance and water transpiration, which in turn affected the movement of nitrate in the soil with water, and ultimately affected the absorption of nitrate by the root system. This may also be the reason that ammonium had a more positive effect on seedlings than nitrate under eCO2 in our experiment. High applications of ammonium had a better effect on P. bournei seedlings than moderate applications. The reason for this may be that an unsaturated increase in fertilizer supply promoted growth. Under the same CO2 concentration, the photosynthesis of P. bournei seedlings that received an ammonium treatment was weaker than that of seedlings that were treated with nitrate, which may be due to a preference of P. bournei seedlings for this form of nitrogen. Although nitrogen limitation is a major bottleneck for many terrestrial ecosystems, phosphorus limitation issues are also critical for several ecosystems and species [60]. Phosphorus affects plant responses to eCO2 [61,62]. Also, eCO2 results in lower Zn and Fe assimilation rates [63]. Therefore, further studies that consider other elements could be recommended in the future.
5. Conclusions
The results of this experiment indicate that the photosynthetic efficiency of P. bournei seedlings treated with a moderate amount of nitrate decreased under eCO2 conditions and that photosynthetic decline occurred. Increasing the dosage of nitrate or the supply of ammonium fertilizer could regulate the physiological and structural characteristics of P. bournei seedlings and alleviate or avoid photosynthetic decline, which would be beneficial for the photosynthesis of P. bournei seedlings. Therefore, we suggest that increasing the application of nitrate or applying ammonium may be an effective way of improving the growth of P. bournei seedlings under eCO2 levels in the future.
Author Contributions
X.W. (Xiao Wang) and X.W. (Xiaoli Wei) conceived this study; X.W. (Xiao Wang) and S.C. carried out the experiments; X.W. (Xiao Wang), X.W. (Xiaoli Wei) and G.W. analyzed the results; X.W. (Xiao Wang) wrote the manuscript with input from the other authors. All authors have read and agreed to the published version of the manuscript.
Funding
This research was funded by the Guizhou Province Technology Plan Project, QianKe He Foundation (2019)1407 and Guizhou Province High-level Innovative Talents Training Plan Project (2016) 5661.
Acknowledgments
We thank Chi Wu for assistance with conducting the experiments.
Conflicts of Interest
The authors declare no conflict of interest.
References
- Landry, J.S.; Matthews, H.D. Non-deforestation fire vs. fossil fuel combustion: The source of CO2 emissions affects the global carbon cycle and climate responses. Biogeosciences 2016, 13, 2137–2149. [Google Scholar] [CrossRef]
- De Graaff, M.A.; Van Groenigen, K.J.; Six, J.; Hungate, B.; Van Kessel, C. Interactions between plant growth and soil nutrient cycling under elevated CO2: A meta-analysis. Glob. Chang. Biol. 2006, 12, 2077–2091. [Google Scholar] [CrossRef]
- Aranjuelo, I.; Pardo, A.; Biel, C.; Savé, R.; Azcón-bieto, J.; Nogués, S. Leaf carbon management in slow-growing plants exposed to elevated CO2. Glob. Chang. Biol. 2009, 15, 97–109. [Google Scholar] [CrossRef]
- Intergovernmental Panel on Climate Change. Climate Change 2014: Impacts, Adaptation, and Vulnerability. Part B: Regional Aspects; Contribution of Working Group II to the Fifth Assessment Report of the Intergovernmental Panel on Climate Change; Cambridge University Press: Cambridge, UK, 2014. [Google Scholar]
- Norby, R.J.; Zak, D.R. Ecological lessons from free-air CO2 enrichment (FACE) experiments. Annu. Rev. Ecol. Evol. Syst. 2011, 42, 181–203. [Google Scholar] [CrossRef]
- Long, S.P.; Ainsworth, E.A.; Rogers, A.; Ort, D.R. Rising atmospheric carbon dioxide: Plants FACE the future. Annu. Rev. Plant Biol. 2004, 55, 591–628. [Google Scholar] [CrossRef] [PubMed]
- Zhu, P.; Zhuang, Q.; Ciais, P.; Welp, L.; Li, W.; Xin, Q. Elevated atmospheric CO2 negatively impacts photosynthesis through radiative forcing and physiology-mediated climate feedback. Geophys. Res. Lett. 2017, 44, 1956–1963. [Google Scholar] [CrossRef]
- Yu, T.; Chen, Y. Effects of elevated carbon dioxide on environmental microbes and its mechanisms: A review. Sci. Total Environ. 2019, 655, 865–879. [Google Scholar] [CrossRef]
- Quentin, A.G.; Crous, K.Y.; Barton, C.V.; Ellsworth, D.S. Photosynthetic enhancement by elevated CO2 depends on seasonal temperatures for warmed and non-warmed Eucalyptus globulus trees. Tree Physiol. 2015, 35, 1249–1263. [Google Scholar]
- DaMatta, F.M.; Godoy, A.G.; Menezes-Silva, P.E.; Martins, S.C.; Sanglard, L.M.; Morais, L.E.; Torre-Neto, A.; Ghini, R. Sustained enhancement of photosynthesis in coffee trees grown under free-air CO2 enrichment conditions: Disentangling the contributions of stomatal, mesophyll, and biochemical limitations. J. Exp. Bot. 2016, 67, 341–352. [Google Scholar] [CrossRef]
- Davidson, A.M.; Da Silva, D.; Saa, S.; Mann, P.; DeJong, T.M. The influence of elevated CO2 on the photosynthesis, carbohydrate status, and plastochron of young peach (Prunuspersica) trees. Hortic. Environ. Biotechnol. 2016, 57, 364–370. [Google Scholar] [CrossRef]
- Dosskey, M.G.; Linderman, R.G.; Boersma, L. Carbon–sink stimulation of photosynthesis in Douglas fir seedlings by some ectomycorrhizas. New Phytol. 1990, 115, 269–274. [Google Scholar] [CrossRef]
- Cure, J.D.; Acock, B. Crop responses to carbon dioxide doubling: A literature survey. Agric. For. Meteorol. 1986, 38, 127–145. [Google Scholar] [CrossRef]
- Harley, P.C.; Thomas, R.B.; Reynolds, J.F.; Strain, B.R. Modelling photosynthesis of cotton grown in elevated CO2. Plant Cell Environ. 2010, 15, 271–282. [Google Scholar] [CrossRef]
- Cheng, S.H.; d Moore, B.; Seemann, J.R. Effects of short-and long-term elevated CO2 on the expression of ribulose-1, 5-bisphosphate carboxylase/oxygenase genes and carbohydrate accumulation in leaves of Arabidopsis thaliana (L.) Heynh. Plant Physiol. 1998, 116, 715–723. [Google Scholar] [CrossRef]
- Vicente, R.; Pérez, P.; Martínez-Carrasco, R.; Usadel, B.; Kostadinova, S.; Morcuende, R. Quantitative RT-PCR platform to measure transcript levels of C and N metabolism-related genes in durum wheat: Transcript profiles in elevated CO2 and high temperature at different levels of N supply. Plant Cell Physiol. 2015, 56, 1556–1573. [Google Scholar] [CrossRef] [PubMed]
- Roumet, C.; Garnier, E.; Hélène, S.; Salager, J.L.; Roy, J. Short and long-term responses of whole-plant gas exchange to elevated CO2 in four herbaceous species. Environ. Exp. Bot. 2000, 43, 155–169. [Google Scholar] [CrossRef]
- Ainsworth, E.A.; Davey, P.A.; Hymus, G.J.; Osborne, C.P.; Long, S.P. Is stimulation of leaf photosynthesis by elevated carbon dioxide concentration maintained in the long term? A test with Loliumperenne grown for 10 years at two nitrogen fertilization levels under Free Air CO2 Enrichment (FACE). Plant Cell Environ. 2003, 26, 705–714. [Google Scholar] [CrossRef]
- Seneweera, S. Effects of elevated CO2 on plant growth and nutrient partitioning of rice (Oryza sativa L.) at rapid tillering and physiological maturity. J. Plant Interact. 2011, 6, 35–42. [Google Scholar] [CrossRef]
- Alonso, A.; Pérez, P.; Martínez-Carrasco, R. Growth in elevated CO2 enhances temperature response of photosynthesis in wheat. Physiol. Plant. 2009, 135, 109–120. [Google Scholar] [CrossRef]
- Gutiérrez, D.; Gutiérrez, E.; Pérez, P.; Morcuende, R.; Verdejo, A.L.; Martinez-Carrasco, R. Acclimation to future atmospheric CO2 levels increases photochemical efficiency and mitigates photochemistry inhibition by warm temperatures in wheat under field chambers. Physiol. Plant. 2009, 137, 86–100. [Google Scholar] [CrossRef]
- Bloom, A.J.; Asensio, J.S.R.; Randall, L.; Rachmilevitch, S.; Cousins, A.B.; Carlisle, E.A. CO2 enrichment inhibits shoot nitrate assimilation in C3 but not C4 plants and slows growth under nitrate in C3 plants. Ecology 2012, 93, 355–367. [Google Scholar] [CrossRef] [PubMed]
- Harbinson, J.; Genty, B.; Baker, N.R. The relationship between CO2 assimilation and electron transport in leaves. Photosynth. Res. 1990, 25, 213–224. [Google Scholar] [CrossRef] [PubMed]
- Yousuf, P.Y.; Ganie, A.H.; Khan, I.; Qureshi, M.I.; Ibrahim, M.M.; Sarwat, M.; Iqbal, M.; Ahmad, A. Nitrogen-efficient and nitrogen-inefficient Indian mustard showed differential expression pattern of proteins in response to elevated CO2 and low nitrogen. Front. Plant Sci. 2016, 7, 1074. [Google Scholar] [CrossRef] [PubMed]
- Cohen, I.; Rapaport, T.; Chalifa-Caspi, V.; Rachmilevitch, S. Synergistic effects of abiotic stresses in plants: A case study of nitrogen limitation and saturating light intensity in Arabidopsis thaliana. Physiol. Plant. 2019, 165, 755–767. [Google Scholar] [CrossRef]
- Pettersson, R.; McDonald, A.J.S. Effects of nitrogen supply on the acclimation of photosynthesis to elevated CO2. Photosynth. Res. 1994, 39, 389–400. [Google Scholar] [CrossRef]
- Norby, R.J.; Warren, J.M.; Iversen, C.M.; Medlyn, B.E.; Mcmurtrie, R.E. CO2 enhancement of forest productivity constrained by limited nitrogen availability. Proc. Natl. Acad. Sci. USA 2010, 107, 19368–19373. [Google Scholar] [CrossRef]
- Jifon, J.L.; Wolfe, D.W. Photosynthetic acclimation to elevated CO2 in Phaseolus vulgaris L. is altered by growth response to nitrogen supply. Glob. Chang. Biol. 2002, 8, 1018–1027. [Google Scholar] [CrossRef]
- Makino, A. Rubisco and nitrogen relationships in rice: Leaf photosynthesis and plant growth. Soil Sci. Plant Nutr. 2003, 49, 319–327. [Google Scholar] [CrossRef]
- Butterly, C.R.; Armstrong, R.; Chen, D.; Tang, C. Carbon and nitrogen partitioning of wheat and field pea grown with two nitrogen levels under elevated CO2. Plant Soil 2015, 391, 367–382. [Google Scholar] [CrossRef]
- Wujeska-Klause, A.; Crous, K.Y.; Ghannoum, O.; Ellsworth, D.S. Lower photorespiration in elevated CO2 reduces leaf N concentrations in mature Eucalyptus trees in the field. Glob. Chang. Biol. 2019, 25, 1282–1295. [Google Scholar] [CrossRef]
- Hachiya, T.; Sugiura, D.; Kojima, M.; Sato, S.; Yanagisawa, S.; Sakakibara, H.; Terashima, I.; Noguchi, K. High CO2 triggers preferential root growth of Arabidopsis thaliana via two distinct systems under low pH and low N stresses. Plant Cell Physiol. 2014, 55, 269–280. [Google Scholar] [CrossRef] [PubMed]
- Jauregui, I.; Aroca, R.; Garnica, M.; Zamarreño, Á.M.; García-Mina, J.M.; Serret, M.D.; Parry, M.; Iigoyen, J.J.; Aranjuelo, I. Nitrogen assimilation and transpiration: Key processes conditioning responsiveness of wheat to elevated CO2 and temperature. Physiol. Plant. 2015, 155, 338–354. [Google Scholar] [CrossRef] [PubMed]
- Andrews, M.; Condron, L.M.; Kemp, P.D.; Topping, J.F.; Lindsey, K.; Hodge, S.; Raven, J.A. Elevated CO2 effects on nitrogen assimilation and growth of C3 vascular plants are similar regardless of N-form assimilated. J. Exp. Bot. 2018, 70, 683–690. [Google Scholar] [CrossRef] [PubMed]
- Han, W.J.; Liao, F.Y.; He, P. The photosynthetic response of Phoebe bournei to doubled CO2 concentration in air. J. Cent. South Univ. For. Tech. 2003, 23, 62–65. [Google Scholar]
- Laisk, A.; Loreto, F. Determining photosynthetic parameters from leaf CO2 exchange and chlorophyll fluorescence (ribulose-1, 5-bisphosphate carboxylase/oxygenase specificity factor, dark respiration in the light, excitation distribution between photosystems, alternative electron transport rate, and mesophyll diffusion resistance. Plant Physiol. 1996, 110, 903–912. [Google Scholar]
- Peterson, R.B.; Oja, V.; Laisk, A. Chlorophyll fluorescence at 680 and 730 nm and leaf photosynthesis. Photosynth. Res. 2001, 70, 185–196. [Google Scholar] [CrossRef]
- Frank, H.A.; Cua, A.; Chynwat, V.; Young, A.; Gosztola, D.; Wasielewski, M.R. Photophysics of the carotenoids associated with the xanthophyll cycle in photosynthesis. Photosynth. Res. 1994, 41, 389–395. [Google Scholar] [CrossRef]
- Zhao, X.; Du, Q.; Zhao, Y.; Wang, H.; Yu, H. Effects of different potassium stress on leaf photosynthesis and chlorophyll fluorescence in maize (Zea mays L.) at seedling stage. Agric. Sci. 2016, 7, 44–53. [Google Scholar]
- Zheng, B.; Cheng, X.; Jiang, D.; Weng, X. Effects of potassium on Rubisco, RCA and photosynthetic rate of plant. J. Zhejiang For. Coll. 2002, 19, 104–108. [Google Scholar]
- Zheng, Y.; Li, F.; Hao, L.; Yu, J.; Xu, M. Elevated CO2 concentration induces photosynthetic down-regulation with changes in leaf structure, non-structural carbohydrates and nitrogen content of soybean. BMC Plant Biol. 2019, 19, 255. [Google Scholar] [CrossRef]
- Tomás, M.; Jaume, F.; Lucian, C.; Galmés, J.; Lea, H.; Medrano, H. Importance of leaf anatomy in determining mesophyll diffusion conductance to CO2 across species: Quantitative limitations and scaling up by models. J. Exp. Bot. 2013, 64, 2269–2281. [Google Scholar] [CrossRef] [PubMed]
- Yang, G.; Luo, J.; Lin, Y.; Wang, H.; Mo, Y. Effects of salt stress on photosynthetic characteristics and stoma structure of two kinds bracket plants. Hubei Agric. Sci. 2016, 55, 4982–4986. [Google Scholar]
- Li, X.; Yang, Y.; Zhang, J.; Jia, L.; Li, Q.; Zhang, T.; Qiao, K.; Ma, S. Zinc induced phytotoxicity mechanism involved in root growth of Triticum aestivum L. Ecotoxicol. Environ. Saf. 2012, 86, 198–203. [Google Scholar] [CrossRef] [PubMed]
- Wang, S.; Zou, Y.; Ma, F. Influence of drought stress on leaf anatomical structure and micro-morphology traits and chloroplast ultra structure of three Malus specie. Agric. Res. Arid Areas 2014, 32, 15–23. [Google Scholar]
- Herrick, J.D.; Maherali, H.; Thomas, R.B. Reduced stomatal conductance in sweetgum (Liquidambar styraciflua) sustained over long-term CO2 enrichment. New Phytol. 2004, 162, 387–396. [Google Scholar] [CrossRef]
- Woodward, F.I.; Kelly, C.K. The influence of CO2 concentration on stomatal density. New Phytol. 1995, 131, 311–327. [Google Scholar] [CrossRef]
- Kitao, M.; Koike, T.; Tobita, H.; Maruyama, Y. Elevated CO2 and limited nitrogen nutrition can restrict excitation energy dissipation in photosystem II of Japanese white birch (Betula platyphylla var. japonica) leaves. Physiol. Plant. 2005, 125, 64–73. [Google Scholar] [CrossRef]
- Tissue, D.T.; Griffin, K.L.; Ball, J.T. Photosynthetic adjustment in field-grown ponderosa pine trees after six years of exposure to elevated CO2. Tree Physiol. 1999, 19, 221–228. [Google Scholar] [CrossRef]
- Urban, O.; Hrstka, M.; Zitová, M.; Holišová, P.; Šprtová, M.; Klem, K.; Calfapietra, C.; Angelis, P.D.; Marek, M.V. Effect of season, needle age and elevated CO2 concentration on photosynthesis and Rubisco acclimation in Piceaabies. Plant Physiol. Biochem. 2012, 58, 135–141. [Google Scholar] [CrossRef]
- Warren, C.R.; Adams, M.A. Distribution of N, Rubisco and photosynthesis in Pinus pinaster and acclimation to light. Plant Cell Environ. 2001, 24, 597–609. [Google Scholar] [CrossRef]
- Causin, H.F.; Tremmel, D.C.; Rufty, T.W.; Reynolds, J.F. Growth, nitrogen uptake, and metabolism in two semiarid shrubs grown at ambient and elevated atmospheric CO2 concentrations: Effects of nitrogen supply and source. Am. J. Bot. 2004, 91, 565–572. [Google Scholar] [CrossRef] [PubMed]
- Alexandre, A.; Silva, J.; Buapet, P.; Björk, M.; Santos, R. Effects of CO2 enrichment on photosynthesis, growth, and nitrogen metabolism of the sea grass Zosteranoltii. Ecol. Evol. 2012, 2, 2625–2635. [Google Scholar] [CrossRef] [PubMed]
- Sanz-Sáez, Á.; Erice, G.; Aranjuelo, I.; Nogués, S.; Irigoyen, J.J.; Sánchez-Díaz, M. Photosynthetic down-regulation under elevated CO2 exposure can be prevented by nitrogen supply in nodulated alfalfa. J. Plant Physiol. 2010, 167, 1558–1565. [Google Scholar] [CrossRef] [PubMed]
- Sharkey, T.D. Estimating the rate of photorespiration in leaves. Physiol. Plant. 1988, 73, 147–152. [Google Scholar] [CrossRef]
- Rachmilevitch, S.; Cousins, A.B.; Bloom, A.J. Nitrate assimilation in plant shoots depends on photorespiration. Proc. Natl. Acad. Sci. USA 2004, 101, 11506–11510. [Google Scholar] [CrossRef]
- Bloom, A.J.; Burger, M.; Kimball, B.A.; Pinter, P.J., Jr. Nitrate assimilation is inhibited by elevated CO2 in field-grown wheat. Nat. Clim. Chang. 2014, 4, 477–480. [Google Scholar] [CrossRef]
- Silva, L.C.; Salamanca-Jimenez, A.; Doane, T.A.; Horwath, W.R. Carbon dioxide level and form of soil nitrogen regulate assimilation of atmospheric ammonia in young trees. Sci. Rep. 2015, 5, 13141. [Google Scholar] [CrossRef]
- McGrath, J.M.; Lobell, D.B. Reduction of transpiration and altered nutrient allocation contribute to nutrient decline of crops grown in elevated CO2 concentrations. Plant Cell Environ. 2013, 36, 697–705. [Google Scholar] [CrossRef]
- Wassen, M.J.; Venterink, H.O.; Lapshina, E.D.; Tanneberger, F. Endangered plants persist under phosphorus limitation. Nature 2005, 437, 547–550. [Google Scholar] [CrossRef]
- Conroy, J.P.; Milham, P.J.; Reed, M.L.; Barlow, E.W. Increases in phosphorus requirements for CO2-enriched pine species. Plant Physiol. 1990, 92, 977–982. [Google Scholar] [CrossRef]
- Israel, D.W.; Rufty, T.W., Jr.; Cure, J.D. Nitrogen and phosphorus nutritional interactions in a CO2 enriched environment. J. Plant Nutr. 1990, 13, 1419–1433. [Google Scholar] [CrossRef]
- Myers, S.S.; Zanobetti, A.; Kloog, I.; Huybers, P.; Leakey, A.D.; Bloom, A.J.; Carlisle, E.; Dietterich, L.H.; Fitzgerald, G.; Hasegawa, T.; et al. Increasing CO2 threatens human nutrition. Nature 2014, 510, 139–142. [Google Scholar] [CrossRef] [PubMed]
© 2020 by the authors. Licensee MDPI, Basel, Switzerland. This article is an open access article distributed under the terms and conditions of the Creative Commons Attribution (CC BY) license (http://creativecommons.org/licenses/by/4.0/).



