Physiological Mechanisms of Foliage Recovery after Spring or Fall Crown Scorch in Young Longleaf Pine (Pinus palustris Mill.)
Abstract
1. Introduction
2. Materials and Methods
2.1. Study Sites
2.2. Study 1 Establishment
2.3. Study 2 Establishment
2.4. Fascicle Gas Exchange and Predawn Water Potential
2.4.1. Study 1
2.4.2. Study 2
2.5. Woody Root and Terminal Shoot Starch
2.5.1. Study 1
2.5.2. Study 2
2.6. Crown Architecture, Aboveground Biomass Allocation, and Growth
2.6.1. Study 1
2.6.2. Study 2
2.7. Crown Scorch
2.8. Statistical Analyses
2.8.1. Study 1
2.8.2. Study 2
3. Results
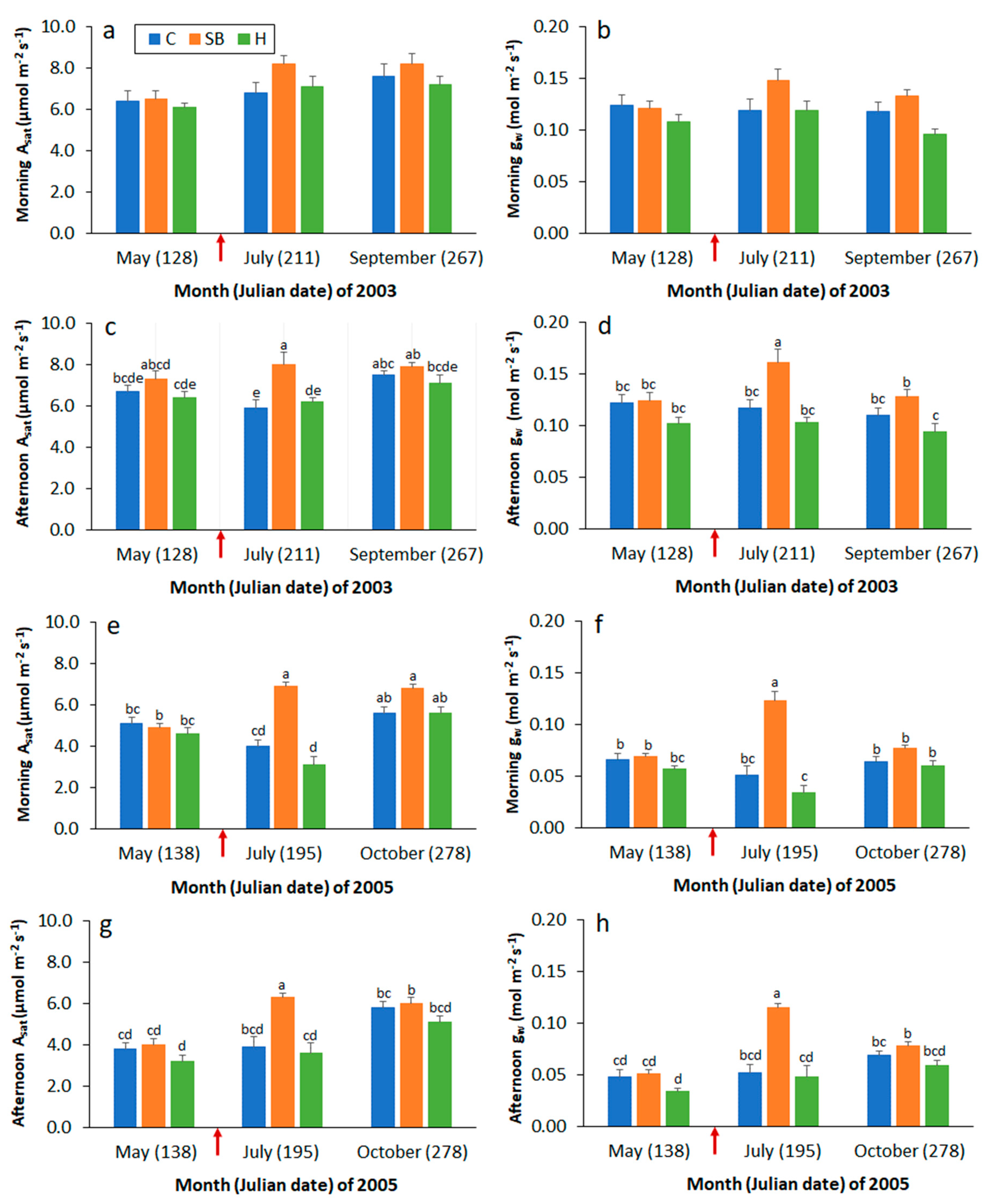
3.1. Fascicle Gas Exchange and Predawn Water Potential
3.1.1. Study 1
3.1.2. Study 2
3.2. Woody Root and Terminal Shoot Starch
3.2.1. Study 1
3.2.2. Study 2
3.3. Aboveground Biomass and Crown Architectural Characteristics
3.4. Stem Growth
3.5. Crown Scorch
4. Discussion
4.1. Fascicle Gas Exchange Response to May Fire
4.2. Fascicle Gas Exchange Response to October Fire
4.3. Fire and Starch Dynamics
4.4. Crown Architecture Response to Repeated Fire
4.5. Limitations to Foliage Re-Establishment after Fire
4.6. Limitations to Stem Growth after Fire
5. Summary and Conclusions
Author Contributions
Funding
Acknowledgments
Conflicts of Interest
References
- Frost, C. History and future of the longleaf pine ecosystem. In The Longleaf Pine Ecosystem; Jose, S., Jokela, E.J., Miller, D.L., Eds.; Springer: New York, NY, USA, 2006; pp. 9–42. [Google Scholar]
- Outcalt, K.W. The longleaf pine ecosystem of the South. Nativ. Plants J. 2000, 1, 43–53. [Google Scholar] [CrossRef]
- Jose, S.; Jokela, E.J.; Miller, D.L. The longleaf pine ecosystem: An overview. In The Longleaf Pine Ecosystem; Jose, S., Jokela, E.J., Miller, D.L., Eds.; Springer: New York, NY, USA, 2006; pp. 3–8. [Google Scholar]
- Stambaugh, M.C.; Guyette, R.P.; Marschall, J.M. Longleaf pine (Pinus palustris Mill.) fire scars reveal new details of a frequent fire regime. J. Veg. Sci. 2011, 22, 1094–1104. [Google Scholar] [CrossRef]
- White, C.R.; Harley, G.L. Historical fire in longleaf pine (Pinus palustris) forests of south Mississippi and its relation to land use and climate. Ecosphere 2016, 7, e01458. [Google Scholar] [CrossRef]
- Brockway, D.G.; Outcalt, K.W.; Boyer, W.D. Longleaf pine regeneration ecology and methods. In The Longleaf Pine Ecosystem; Jose, S., Jokela, E.J., Miller, D.L., Eds.; Springer: New York, NY, USA, 2006; pp. 95–133. [Google Scholar]
- Barnett, J.P.; McGilvray, J.M. Growing longleaf pine seedlings in containers. Nativ. Plants J. 2000, 1, 54–58. [Google Scholar] [CrossRef][Green Version]
- Boyer, W.D. Long-term development of regeneration under longleaf pine seedtree and shelterwood stands. South. J. Appl. For. 1993, 17, 10–15. [Google Scholar] [CrossRef]
- Brockway, D.G.; Lewis, C.E. Long-term effects of dormant-season prescribed fire on plant community diversity, structure and productivity in a longleaf pine wiregrass ecosystem. For. Ecol. Manag. 1997, 96, 167–183. [Google Scholar] [CrossRef]
- Croker, T.C.; Boyer, W.D. Regenerating Longleaf Pine Naturally; Res. Pap. SO-105; USDA Forest Service Southern Forest Experiment Station: New Orleans, LA, USA, 1975; p. 21.
- Kush, J.S.; Meldahl, R.S.; Boyer, W.D.; McMahon, C.K. Longleaf Pine: An Updated Bibliography; Forestry Departmental Series No. 15; Alabama Agricultural Experiment Station, Auburn University: Auburn, AL, USA, 1996; p. 35.
- Palik, B.J.; Mitchell, R.J.; Houseal, G.; Pederson, N. Effects of canopy structure on resource availability and seedling responses in a longleaf pine ecosystem. Can. J. For. Res. 1997, 27, 1458–1464. [Google Scholar] [CrossRef]
- America’s Longleaf Restoration Initiative. Rangewide Conservation Plan for Longleaf Pine. 2009. Available online: http://www.americaslongleaf.org/media/86/conservation_plan.pdf (accessed on 25 July 2019).
- America’s Longleaf Restoration Initiative. 2017 Range-Wide Accomplishment Report. 2018. Available online: http://www.americaslongleaf.org/media/26741/2017-accomplishment-report.pdf (accessed on 25 July 2019).
- Gilbert, J.C.; Kush, J.S.; Meldahl, R.S.; Boyer, W.D.; Gjerstad, D.H. Overhead shading and growth of young longleaf pine. J. Ecol. Nat. Environ. 2014, 6, 65–74. [Google Scholar]
- Samuelson, L.J.; Stokes, T.A. Leaf physiological and morphological responses to shade in grass-stage seedlings and young trees of longleaf pine. Forests 2012, 3, 684–699. [Google Scholar] [CrossRef]
- Knapp, B.O.; Wang, G.G.; Walker, J.L. Relating the survival and growth of planted longleaf pine seedlings to microsite conditions altered by site preparation treatments. For. Ecol. Manag. 2008, 255, 3768–3777. [Google Scholar] [CrossRef]
- Haywood, J.D. Influence of herbicides and felling, fertilization, and prescribed fire on longleaf pine establishment and growth through six growing seasons. New For. 2007, 33, 257–279. [Google Scholar] [CrossRef]
- Haywood, J.D. Mulch and hexazinone herbicide shorten the time longleaf pine seedlings are in the grass stage and increase height growth. New For. 2000, 19, 279–290. [Google Scholar] [CrossRef]
- Wahlenberg, W.G. Longleaf Pine, 1st ed.; Charles Lathrop Pack Forestry Foundation: Washington, DC, USA, 1946; pp. 86–91. [Google Scholar]
- Haywood, J.D. Influence of herbicides and improvement cutting, fertilization, and prescribed fire on planted longleaf pine development. For. Sci. 2015, 61, 363–369. [Google Scholar] [CrossRef]
- Hu, H.; Wang, G.; Walker, J.L.; Knapp, B.O. Silvicultural treatments for converting loblolly pine to longleaf pine dominance: Effects on planted longleaf pine seedlings. For. Ecol. Manag. 2012, 276, 209–216. [Google Scholar] [CrossRef]
- Costa, R.; DeLotelle, R.S. Reintroduction of fauna to longleaf pine ecosystems. In The Longleaf Pine Ecosystem; Jose, S., Jokela, E.J., Miller, D.L., Eds.; Springer: New York, NY, USA, 2006; pp. 335–376. [Google Scholar]
- Haywood, J.D.; Harris, F.L.; Grelen, H.E.; Pearson, H.A. Vegetative response to 37 years of seasonal burning on a Louisiana longleaf pine site. South. J. Appl. For. 2001, 25, 122–130. [Google Scholar] [CrossRef][Green Version]
- Walker, J.L.; Silletti, A.M. Restoring the ground layer of longleaf pine ecosystems. In The Longleaf Pine Ecosystem; Jose, S., Jokela, E.J., Miller, D.L., Eds.; Springer: New York, NY, USA, 2006; pp. 297–325. [Google Scholar]
- Mitchell, R.J.; Hiers, J.K.; O’Brien, J.; Starr, G. Ecological forestry in the Southeast: Understanding the ecology of fuels. J. For. 2009, 107, 391–397. [Google Scholar]
- Haywood, J.D. Eight years of seasonal burning and herbicidal brush control influence sapling longleaf pine growth, understory vegetation, and the outcome of an ensuing wildfire. For. Ecol. Manag. 2009, 258, 295–305. [Google Scholar] [CrossRef]
- Varner, J.M.; Putz, F.E.; O’Brien, J.J.; Hiers, J.K.; Mitchell, R.J.; Gordon, D.R. Post-fire tree stress and growth following smoldering duff fires. For. Ecol. Manag. 2009, 258, 2467–2474. [Google Scholar] [CrossRef]
- Kreye, J.K.; Varner, M.; Dugaw, C.J.; Engber, E.A.; Quinn-Davidson, L.N. Patterns of duff ignition and smoldering beneath old Pinus palustris: Influence of tree proximity, moisture content, and ignition vectors. For. Sci. 2016, 63, 165–172. [Google Scholar] [CrossRef]
- Lodge, A.G.; Dickinson, M.B.; Kavanagh, K.L. 2018. Xylem heating increases vulnerability to cavitation in longleaf pine. Environ. Res. Lett. 2018, 13, 055007. [Google Scholar] [CrossRef]
- West, A.G.; Nel, J.A.; Bond, W.J.; Midgely, J.J. Experimental evidence for heat plume-induced cavitation and xylem deformation as a mechanism of rapid post-fire tree mortality. New Phytol. 2016, 211, 828–838. [Google Scholar] [CrossRef] [PubMed]
- Hood, S.M.; Varner, J.M.; van Mantgen, P.; Cansler, C.A. Fire and tree death: Understanding and improving modeling of fire-induced tree mortality. Environ. Res. Lett. 2018, 13, 113004. [Google Scholar] [CrossRef]
- Addington, R.N.; Greene, T.A.; Harrison, W.C.; Sorrell, G.G.; Elmore, M.L.; Hermann, S.M. Restoring longleaf pine: Effects of seasonal prescribed fire and overstory density on vegetation structure of a young longleaf pine plantation. For. Sci. 2015, 61, 135–143. [Google Scholar] [CrossRef]
- Ford, C.R.; Minor, E.S.; Fox, G.A. Long-term effects of fire and fire-return interval on population structure and growth of longleaf pine (Pinus palustris). Can. J. For. Res. 2010, 40, 1410–1420. [Google Scholar] [CrossRef]
- Boyer, W.D. Long-term effects of biennial prescribed fires on the growth of longleaf pine. In Proceedings No. 21, Fire and Forest Ecology: Innovative Silviculture and Vegetation Management, Proceedings of the Tall Timbers Fire Ecology Conference, Tallahassee, FL, USA, 14–16 April 1998; Moser, W.K., Moser, C.F., Eds.; Tall Timbers Research Station: Tallahassee, FL, USA, 2000; pp. 18–21. [Google Scholar]
- Långström, B.; Annila, E.; Hellqvist, C.; Varama, M.; Niemelä, P. Tree mortality, needle biomass recovery and growth losses in Scots pine following defoliation by Diprion pini (L,) and subsequent attack by Tomicus piniperda (L.). Scand. J. For. Res. 2001, 16, 342–353. [Google Scholar]
- Sikström, U.; Jacobson, S.; Pettersson, F. Recovery of crown transparency and stem growth of Pinus sylvestris after infestation by Gremmeniella abietina. For. Ecol. Manag. 2017, 392, 154–163. [Google Scholar] [CrossRef]
- Weise, D.R.; Wade, D.D.; Johansen, R.W.; MacIver, D.C.; Auld, H.; Whitewood, R. Survival and growth of young southern pine after simulated crown scorch. In Proceedings of the 10th Conference on Fire and Forest Meteorology, Ottawa, ON, Canada, 17–21 April 1989; MacIver, D.C., Auld, H., Whitewood, R., Eds.; Canadian Forest Service: Ottawa, ON, Canada, 1989; pp. 161–168. [Google Scholar]
- Knapp, B.O.; Pile, L.S.; Walker, J.L.; Wang, G.G. Fire effects on a fire-adapted species: Response of grass stage longleaf pine seedlings to experimental burning. Fire Ecol. 2018, 14, 2–16. [Google Scholar] [CrossRef]
- The Longleaf Alliance. The Pine that Fire Built: Burning Young Longleaf. Available online: https://www.longleafalliance.org/what-we-do/education/publications/documents/fire/lla02.pdf (accessed on 24 July 2019).
- The Longleaf Alliance. Burning Young Longleaf Plantations Operational Burn Results at the Solon Dixon Forestry Education Center. Available online: https://longleafalliance.org/what-we-do/education/publications/documents/fire/lla69.pdf (accessed on 23 July 2019).
- Sword Sayer, M.A.; Goelz, J.C.G.; Haywood, J.D. Effects of Prescribed Fire on Production of Foliage by Sapling Longleaf Pine; Gen. Tech. Rep. SRS-92; USDA Forest Service Southern Research Station: Asheville, NC, USA, 2006; pp. 478–485.
- Sayer, M.A.S.; Tyree, M.C.; Dillaway, D.N.; Rudd, B.M. Foliage re-establishment of Pinus palustris Mill. saplings after spring or fall prescribed fire. New For. 2018, 49, 851–869. [Google Scholar] [CrossRef]
- Bär, A.; Michaletz, S.T.; Mayr, S. Fire effects on tree physiology. New Phytol. 2019, 223, 1728–1741. [Google Scholar] [CrossRef]
- Haywood, J.D. Effects of herbaceous and woody plant control on longleaf pine growth and understory plant cover. South. J. Appl. For. 2013, 37, 108–112. [Google Scholar] [CrossRef]
- Haywood, J.D. Influence of herbicides and felling, fertilization, and prescribed fire on longleaf pine growth and understory vegetation through ten growing seasons and the outcome of an ensuing wildfire. New For. 2011, 41, 55–73. [Google Scholar] [CrossRef]
- Peet, R.K. Ecological classification of longleaf pine woodlands. In The Longleaf Pine Ecosystem; Jose, S., Jokela, E.J., Miller, D.L., Eds.; Springer: New York, NY, USA, 2006; pp. 51–93. [Google Scholar]
- National Oceanic and Atmospheric Administration Climate Data Online. Available online: https://www.ncdc.noaa.gov/cdo-web/ (accessed on 26 October 2017).
- National Drought Mitigation Center. 2019 Statistics by Threshold. Available online: https://droughtmonitor.unl.edu/data/datadownload/statisticsbythreshold.aspx (accessed on 25 July 2019).
- Barnett, J.P.; McGilvray, J.M. Practical Guidelines for Producing Longleaf Pine Seedlings in Containers; Gen. Tech. Rep. SRS-14; USDA Forest Service Southern Research Station: Asheville, NC, USA, 1997; p. 36.
- Samuelson, L.; Stokes, T.; Cooksey, T.; McLemore, P., III. Production efficiency of loblolly pine and sweetgum in response to four years of intensive management. Tree Physiol. 2001, 21, 369–376. [Google Scholar] [CrossRef] [PubMed]
- Johnson, J.D. A rapid technique for estimating total surface area of pine needles. For. Sci. 1984, 30, 913–921. [Google Scholar]
- Ginn, S.E.; Seiler, J.R.; Cazell, B.H.; Kreh, R.E. Physiological and growth responses of eight-year-old loblolly pine stands to thinning. For. Sci. 1991, 37, 1030–1040. [Google Scholar]
- Hall, M.B. Determination of starch, including maltooligosacchaides, in animal feeds: Comparison of methods and a method recommended for AOAC collaborative study. J. AOAC Int. 2009, 92, 42–49. [Google Scholar] [CrossRef] [PubMed]
- Vidal, B.C.; Rausch, K.D.; Tumbleson, M.E.; Singh, V. Determining corn germ and pericarp residual starch by acid hydrolysis. Cereal Chem. 2009, 86, 133–135. [Google Scholar] [CrossRef]
- Snedecor, G.W.; Cochran, W.G. Statistical Methods, 7th ed.; The Iowa State University Press: Ames, IA, USA, 1982; pp. 253–254. [Google Scholar]
- Neter, J.; Wasserman, W.; Richard, D. Applied Linear Statistical Models; Richard, D., Ed.; Irwin, Inc.: Homewood, IL, USA, 1974; pp. 87–89. [Google Scholar]
- Brix, H. Effects of thinning and nitrogen fertilization on growth of Douglas-fir: Relative contribution of foliage quantity and efficiency. Can. J. For. Res. 1983, 13, 167–175. [Google Scholar] [CrossRef]
- Jokela, E.J.; Dougherty, P.M.; Martin, T.A. Production dynamics of intensively managed loblolly pine stands in the southern United States: A synthesis of seven long-term experiments. For. Ecol. Manag. 2004, 192, 117–130. [Google Scholar] [CrossRef]
- Vose, J.M.; Allen, H.L. Leaf area, stemwood growth, and nutrition relationships in loblolly pine. For. Sci. 1988, 34, 547–563. [Google Scholar]
- Waring, R.H.; Thies, W.G.; Muscato, D. Stem growth per unit of leaf area: A measure of tree vigor. For. Sci. 1980, 26, 112–117. [Google Scholar]
- Galiano, L.; Martínez-Vilalta, J.; Lloret, F. Carbon reserves and canopy defoliation determine the recovery of Scots pine 4 yr after a drought episode. New Phytol. 2011, 190, 750–759. [Google Scholar] [CrossRef]
- Gonzalez-Benecke, C.A.; Gezan, S.A.; Samuelson, L.J.; Cropper, W.P., Jr.; Leduc, D.J.; Martin, T.A. Estimating Pinus palustris tree diameter and stem volume from tree height, crown area and stand-level parameters. J. For. Res. 2014, 25, 43–52. [Google Scholar] [CrossRef]
- Mitchell, R.J.; Kirkman, L.K.; Pecot, S.D.; Wilson, C.A.; Palik, B.J.; Boring, L.R. Patterns and controls of ecosystem function in longleaf pine-wiregrass savannas. I. Aboveground net primary productivity. Can. J. For. Res. 1999, 29, 743–751. [Google Scholar] [CrossRef]
- Reich, P.B.; Abrams, M.D.; Ellsworth, D.S.; Kruger, E.L.; Tabone, T.J. Fire affects ecophysiology and community dynamics of central Wisconsin oak forest regeneration. Ecology 1990, 71, 2179–2190. [Google Scholar] [CrossRef]
- Renninger, H.J.; Clark, K.L.; Skowronski, N.; Schäfer, K.V.R. Effects of a prescribed fire on water use and photosynthetic capacity of pitch pines. Trees 2013, 27, 1115–1127. [Google Scholar] [CrossRef]
- Addington, R.N.; Donovan, L.A.; Mitchell, R.J.; Vose, J.M.; Pecot, S.D.; Jack, S.B.; Hacke, U.G. Adjustments in hydraulic architecture of Pinus palustris maintain similar stomatal conductance in xeric and mesic habitats. Plant Cell Environ. 2006, 29, 535–545. [Google Scholar] [CrossRef] [PubMed]
- Henderson, J.P.; Grissino-Mayer, H.D. Climate-tree growth relationships of longleaf pine (Pinus palustris Mill.) in the Southeaster Coastal Plain, USA. Dendrochronologia 2009, 27, 31–43. [Google Scholar] [CrossRef]
- Jose, S.; Merritt, S.; Ramsey, C.L. Growth, nutrition, photosynthesis and transpiration responses of longleaf pine seedlings to light, water and nitrogen. For. Ecol. Manag. 2003, 180, 335–344. [Google Scholar] [CrossRef]
- Samuelson, L.J.; Stokes, T.A.; Ramirez, M.R.; Mendonca, C.C. Drought tolerance of a Pinus palustris plantation. For. Ecol. Manag. 2019, 451, 117557. [Google Scholar] [CrossRef]
- Cooper, C.E.; Aparecido, L.M.T.; Muir, J.P.; Morgan, C.L.S.; Heilman, J.L.; Moore, G.W. Transpiration in recovering mixed loblolly pine and oak stands following wildfire in the Lost Pines region of Texas. Ecohydrology 2019, 12, e2052. [Google Scholar] [CrossRef]
- Cernusak, L.A.; Hutley, L.B.; Beringer, J.; Tapper, N.J. Stem and leaf gas exchange and their responses to fire in a north Australian tropical savanna. Plant Cell Environ. 2006, 29, 632–646. [Google Scholar] [CrossRef] [PubMed]
- Clinton, B.D.; Maier, C.A.; Ford, C.R.; Mitchell, R.J. Transient changes in transpiration and stem and soil CO2 efflux in longleaf pine (Pinus palustris Mill.) following fire-induced leaf area reduction. Trees 2011, 25, 997–1007. [Google Scholar] [CrossRef]
- Wallin, K.F.; Kolb, T.E.; Skov, K.R.; Wagner, M.R. Effects of crown scorch on Ponderosa pine resistance to bark beetles in northern Arizona. Environ. Entomol. 2003, 32, 652–661. [Google Scholar] [CrossRef]
- Aubrey, D.P.; Mortazavi, B.; O’Brien, J.J.; McGee, J.D.; Hendricks, J.J.; Kuehn, K.A.; Teskey, R.O.; Mitchell, R.J. Influence of repeated canopy scorching on soil CO2 efflux. For. Ecol. Manag. 2012, 282, 142–148. [Google Scholar] [CrossRef]
- Ewers, B.E.; Oren, R.; Phillips, N.; Strömgren, M. Mean canopy stomatal conductance responses to water and nutrient availabilities in Picea abies and Pinus taeda. Tree Physiol. 2001, 21, 841–850. [Google Scholar] [CrossRef] [PubMed]
- Samuelson, L.J.; Stokes, T.A. Transpiration and canopy stomatal conductance of 5-year-old loblolly pine in response to intensive management. For. Sci. 2006, 52, 313–323. [Google Scholar]
- Tang, Z.; Sayer, M.A.S.; Chambers, J.L.; Barnett, J.P. Interactive effects of fertilization and throughfall exclusion on the physiological responses and whole-tree carbon uptake of mature loblolly pine. Can. J. Bot. 2004, 82, 850–861. [Google Scholar] [CrossRef]
- Sung, S.S.; Zarnoch, S.J.; Haywood, J.D.; Leduc, D.L.; Sayer, M.A.S. Developmental Dynamics of Longleaf Pine Seedling Flushes and Needles; Gen. Tech. Rep. SRS-175; USDA Forest Service Southern Research Station: Asheville, NC, USA, 2013; pp. 149–155.
- Dalton, C.T.; Messina, M.G. Water relations and growth of loblolly pine seedlings planted under a shelterwood and in a clear-cut. Tree Physiol. 1995, 15, 19–26. [Google Scholar] [CrossRef]
- Parker, W.C.; Pitt, D.G.; Morneault, A.E. Influence of woody and herbaceous competition on microclimate and growth of eastern white pine (Pinus strobus L.) seedlings planted in a central Ontario clearcut. For. Ecol. Manag. 2009, 258, 2013–2025. [Google Scholar] [CrossRef]
- Runion, G.B.; Mitchell, R.J.; Green, T.H.; Prior, S.A.; Rogers, H.H.; Gjerstad, D.H. Longleaf pine photosynthetic response to soil resource availability and elevated atmospheric carbon dioxide. J. Environ. Qual. 1999, 28, 880–887. [Google Scholar] [CrossRef]
- Samuelson, L.J.; Stokes, T.A.; Johnsen, K.H. Ecophysiological comparison of 50-year-old longleaf pine, slash pine and loblolly pine. For. Ecol. Manag. 2012, 274, 108–115. [Google Scholar] [CrossRef]
- Walter, H. Ecology of Tropical and Subtropical Vegetation, 1st ed.; Oliver & Boyd: Edinburgh, Scotland, UK, 1971; pp. 238–259. [Google Scholar]
- Schenk, H.J.; Jackson, R.B. Rooting depths, lateral root spreads and below-ground/above-ground allometries of plants in water-limited ecosystems. J. Ecol. 2002, 90, 480–494. [Google Scholar] [CrossRef]
- Ward, D.; Wiegand, K.; Getzin, S. Walter’s two-layer hypothesis revisited: Back to the roots! Oecologia 2013, 172, 617–630. [Google Scholar] [CrossRef] [PubMed]
- Jackson, R.B.; Canadell, J.; Ehleringer, J.R.; Mooney, H.A.; Sala, O.E.; Schulze, E.D. A global analysis of root distributions for terrestrial biomes. Oecologia 1996, 108, 389–411. [Google Scholar] [CrossRef] [PubMed]
- Carter, G.A.; Miller, J.H.; Davis, D.E.; Patterson, R.M. Effect of vegetative competition on the moisture and nutrient status of loblolly pine. Can. J. For. Res. 1984, 14, 1–9. [Google Scholar] [CrossRef]
- Gonzalez-Benecke, C.A.; Samuelson, L.J.; Stokes, T.A.; Cropper, W.P., Jr.; Martin, T.A.; Johnsen, K.H. Understory plant biomass dynamics of prescribed burned Pinus palustris stands. For. Ecol. Manag. 2015, 344, 84–94. [Google Scholar] [CrossRef]
- Haywood, J.D.; Sayer, M.A.S.; Sung, S.J.S. Comparison of Planted Loblolly, Longleaf, and Slash Pine Development through 10 Growing Seasons in Central Louisiana—An Argument for Longleaf Pine; Gen. Tech. Rep. SRS-203; USDA Forest Service Southern Research Station: Asheville, NC, USA, 2015; pp. 383–390.
- Peterson, D.L.; Wolken, J.; Hollingsworth, T.; Giardina, C.; Littell, J.; Joyce, L.A.; Swanston, C.; Handler, S.D.; Rustad, L.; Mcnulty, S. Regional highlights of climate change. In Climate Change and United States Forests; Peterson, L., Vose, D.L., Toral, P.W., Eds.; Springer: New York, NY, USA, 2014; pp. 113–148. [Google Scholar]
- Murthy, R.; Zarnoch, S.J.; Dougherty, P.M. Seasonal trends of light-saturated net photosynthesis and stomatal conductance of loblolly pine trees grown in contrasting environments of nutrition, water and carbon dioxide. Plant Cell Environ. 1997, 20, 558–568. [Google Scholar] [CrossRef]
- Samuelson, L.J. Influence of intensive culture on leaf net photosynthesis and growth of sweetgum and loblolly pine seedlings. For. Sci. 1998, 44, 308–316. [Google Scholar]
- Adams, M.B.; Allen, H.L.; Davey, C.B. Accumulation of starch in roots and foliage of loblolly pine (Pinus taeda L.): Effects of season, site and fertilization. Tree Physiol. 1986, 2, 35–46. [Google Scholar] [CrossRef]
- Gholz, H.L.; Cropper, W.P., Jr. Carbohydrate dynamics in mature Pinus elliottii var. elliottii trees. Can. J. For. Res. 1991, 21, 1742–1747. [Google Scholar] [CrossRef]
- Ludovici, K.H.; Allen, H.L.; Albaugh, T.J.; Dougherty, P.M. The influence of nutrient and water availability on carbohydrate storage in loblolly pine. For. Ecol. Manag. 2002, 159, 261–270. [Google Scholar] [CrossRef]
- Sword Sayer, M.A.; Haywood, J.D. Fine root production and carbohydrate concentrations of mature longleaf pine (Pinus palustris P. Mill.) as affected by season of prescribed and drought. Trees 2006, 20, 165–175. [Google Scholar] [CrossRef]
- Kuhns, M.R.; Gjerstad, D.H. Distribution of 14C-labeled photosynthate in loblolly pine (Pinus taeda) seedlings as affected by season and time after exposure. Tree Physiol. 1991, 8, 259–271. [Google Scholar] [CrossRef] [PubMed]
- Chung, H.; Barnes, R.L. Photosynthate allocation in Pinus taeda. II. Seasonal aspects of photosynthate allocation to different biochemical fractions in shoots. Can. J. For. Res. 1980, 10, 338–347. [Google Scholar] [CrossRef]
- Chung, H.; Barnes, R.L. Photosynthate allocation in Pinus taeda. III. Photosynthate economy: Its production, consumption and balance in shoots during the growing season. Can. J. For. Res. 1980, 10, 348–356. [Google Scholar] [CrossRef]
- Desalme, D.; Priault, P.; Gérant, D.; Dannoura, M.; Maillard, P.; Plain, C.; Epron, D. Seasonal variations drive short-term dynamics and partitioning of recently assimilated carbon in the foliage of adult beech and pine. New Phytol. 2017, 213, 140–153. [Google Scholar] [CrossRef]
- Klein, T.; Hoch, G. Tree carbon allocation dynamics determined using a carbon mass balance approach. New Phytol. 2015, 205, 147–159. [Google Scholar] [CrossRef]
- Schier, G.A. Seasonal pathways of 14C-photosynthate in red pine labeled in May, July, and October. For. Sci. 1970, 16, 1–13. [Google Scholar]
- Bond, W.J.; Midgley, J.J. Ecology of sprouting in woody plants: The persistence niche. Trends Ecol. Evol. 2001, 16, 45–51. [Google Scholar] [CrossRef]
- Climent, J.; Tapias, R.; Pardos, J.A.; Gil, L. Fire adaptations in the Canary Islands pine (Pinus canariensis). Plant Ecol. 2004, 171, 185–196. [Google Scholar] [CrossRef]
- Wigley, B.J.; Cramer, M.D.; Bond, W.J. Sapling survival in a frequently burnt savanna: Mobilization of carbon reserves in Acacia karroo. Plant Ecol. 2009, 203, 1–11. [Google Scholar] [CrossRef]
- Fernandes, P.M.; Vega, J.A.; Jimenez, E.; Rigolot, E. Fire resistance of European pines. For. Ecol. Manag. 2008, 256, 246–255. [Google Scholar] [CrossRef]
- Gravatt, D.A.; Chambers, J.L.; Barnett, J.P. Temporal and spatial patterns of net photosynthesis in 12-year-old loblolly pine five growing seasons after thinning. For. Ecol. Manag. 1997, 97, 73–83. [Google Scholar] [CrossRef]
- Schoettle, A.W.; Smith, W.K. Interrelationships among light, photosynthesis and nitrogen in the crown of mature Pinus contorta spp. latifolia. Tree Physiol. 1999, 19, 13–22. [Google Scholar] [CrossRef] [PubMed]
- McGarvey, R.C.; Martin, T.A.; White, T.L. Integrating within-crown variation in net photosynthesis in loblolly and slash pine families. Tree Physiol. 2004, 24, 1209–1220. [Google Scholar] [CrossRef] [PubMed]
- Tang, Z.; Chambers, J.L.; Guddanti, S.; Barnett, J.P. Thinning, fertilization, and crown position interact to control physiological responses of loblolly pine. Tree Physiol. 1999, 19, 87–94. [Google Scholar] [CrossRef]
- Bradshaw, L.S.; Deeming, J.E.; Burgan, R.E.; Cohen, J.D. The 1978 National Fire Danger Rating System: Technical documentation; Gen. Tech. Rep. INT-169; USDA Forest Service Intermountain Forest and Range Experiment Station: Ogden, UT, USA, 1984; p. 44.
- Littell, J.S.; Pererson, D.L.; Riley, K.L.; Lui, Y.; Luce, C.H. A review of the relationship between drought and forest fire in the United States. Glob. Chang. Biol. 2016, 22, 2353–2369. [Google Scholar] [CrossRef]
- Nelson, C.D.; Kubisiak, T.L.; Stine, M.; Nance, W.L. A genetic linkage map of longleaf pine (Pinus palustris Mill.) based on random amplified polymorphic DNAs. J. Hered. 1994, 85, 433–439. [Google Scholar] [CrossRef]
- Litton, C.M.; Raich, J.W.; Ryan, M.G. Carbon allocation in forest ecosystems. Glob. Chang. Biol. 2007, 13, 2089–2109. [Google Scholar] [CrossRef]
- Maier, C.A. Stem growth and respiration in loblolly pine plantations differing in soil resource availability. Tree Physiol. 2001, 21, 1183–1193. [Google Scholar] [CrossRef] [PubMed]
- Ryan, M.G.; Linder, S.; Vose, J.M.; Hubbar, R.M. Dark respiration of pines. Ecol. Bull. 1994, 43, 50–63. [Google Scholar]
- Michaletz, S.T.; Johnson, E.A.; Tyree, M.T. Moving beyond the cambium necrosis hypothesis of post-fire tree mortality: Cavitation and deformation of xylem in forest fires. New Phytol. 2012, 194, 254–263. [Google Scholar] [CrossRef] [PubMed]










| Source of Variation | Year | df a | Morning | Afternoon | PWP | ||||
|---|---|---|---|---|---|---|---|---|---|
| Asat | gw | VPD | Asat | gw | VPD | ||||
| Block | 2003 | 4 | 0.2619 | 0.1046 | <0.0001 | 0.0224 | 0.3152 | 0.7769 | 0.7682 |
| Treatment (T) b | 2 | 0.0334 | 0.0144 | 0.0008 | <0.0001 | 0.0007 | 0.0543 | 0.0446 | |
| Date (D) c | 2 | 0.0004 | 0.0764 | <0.0001 | 0.0022 | 0.0163 | <0.0001 | <0.0001 | |
| Crown (C) d | 1 | <0.0001 | <0.0001 | 0.0034 | <0.0001 | <0.0001 | 0.0001 | — | |
| D × T | 4 | 0.5824 | 0.1659 | 0.2461 | 0.0222 | 0.0295 | 0.5265 | 0.9349 | |
| C × T | 2 | 0.3026 | 0.3574 | 0.5679 | 0.2142 | 0.3391 | 0.5570 | — | |
| C × D | 2 | 0.4768 | 0.5555 | 0.4667 | 0.0505 | 0.7081 | 0.6964 | — | |
| C × D × T | 4 | 0.8174 | 0.8462 | 0.9475 | 0.0933 | 0.3655 | 0.9640 | — | |
| Block | 2004 | 4 | 0.0007 | 0.0008 | 0.2490 | 0.0888 | 0.0056 | <0.0001 | 0.4212 |
| T | 2 | 0.1412 | 0.0805 | 0.0739 | 0.0598 | 0.0139 | 0.4548 | 0.1725 | |
| D | 1 | 0.0834 | 0.0005 | <0.0001 | 0.0007 | 0.0003 | <0.0001 | 0.4709 | |
| C | 1 | <0.0001 | 0.0045 | 0.0468 | <0.0001 | <0.0001 | 0.0448 | — | |
| D × T | 2 | 0.5608 | 0.4691 | 0.4337 | 0.1240 | 0.011 | 0.7164 | 0.4025 | |
| C × T | 2 | 0.4300 | 0.9294 | 0.9058 | 0.3231 | 0.3598 | 0.8199 | — | |
| C × D | 1 | 0.2035 | 0.1480 | 0.7478 | 0.0275 | 0.0053 | 0.5197 | — | |
| C × D × T | 2 | 0.9017 | 0.7219 | 0.9323 | 0.6726 | 0.9435 | 0.9924 | — | |
| Block | 2005 | 4 | 0.2028 | 0.4795 | 0.0001 | 0.0004 | 0.0029 | <0.0001 | 0.2760 |
| T | 2 | 0.0020 | 0.0026 | 0.0209 | <0.0001 | <0.0001 | <0.0001 | 0.0002 | |
| D | 2 | <0.0001 | 0.4142 | <0.0001 | <0.0001 | <0.0001 | <0.0001 | <0.0001 | |
| C | 1 | 0.0003 | 0.005 | 0.2275 | 0.0697 | 0.1400 | 0.4631 | — | |
| D × T | 4 | <0.0001 | <0.0001 | 0.0494 | 0.0007 | <0.0001 | 0.0230 | 0.1091 | |
| C × T | 2 | 0.3355 | 0.5853 | 0.6639 | 0.3167 | 0.2953 | 0.8039 | — | |
| C × D | 2 | 0.0532 | 0.4613 | 0.7627 | 0.1478 | 0.5991 | 0.8438 | — | |
| C × D × T | 4 | 0.4185 | 0.5085 | 0.9511 | 0.2122 | 0.2760 | 0.9456 | — | |
| Source of Variation | df a | Morning | Afternoon | ||||
|---|---|---|---|---|---|---|---|
| Asat | gw | VPD | Asat | gw | VPD | ||
| May 2011 prescribed fire | |||||||
| Block | 2 | 0.2299 | 0.8771 | 0.0254 | 0.6009 | 0.2386 | 0.3983 |
| Treatment (T) b | 1 | 0.2019 | 0.3036 | 0.1118 | 0.4243 | 0.8215 | 0.9159 |
| Date (D) c | 2 | <0.0001 | <0.0001 | 0.0018 | — | — | — |
| T × D | 2 | 0.0437 | 0.0232 | 0.2143 | — | — | — |
| October 2012 prescribed fire | |||||||
| Block | 2 | 0.7977 | 0.0014 | 0.0060 | 0.3610 | 0.0005 | 0.0422 |
| T | 1 | 0.9146 | 0.8036 | 0.0239 | 0.1455 | 0.0003 | <0.0001 |
| D | 2 | 0.1283 | 0.0002 | <0.0001 | 0.0684 | <0.0001 | 0.0010 |
| T × D | 2 | 0.9167 | 0.7629 | 0.7436 | 0.6473 | 0.1471 | 0.2369 |
| Source of Variation | df a | Small Woody Roots | df | Terminal Shoot d | df | Terminal Shoot d |
|---|---|---|---|---|---|---|
| Study 1 (C, SB, H) | Study 2 (C, SB) | Study 2 (C, FB) | ||||
| Block | 4 | 0.0217 | 2 | 0.4805 | 2 | 0.6016 |
| Treatment (T) b | 2 | 0.0726 | 1 | 0.1028 | 1 | 0.0864 |
| Sampling date (D) c | 9 | <0.0001 | 10 | <0.0001 | 9 | <0.0001 |
| T × D | 18 | 0.0763 | 10 | 0.0359 | 9 | <0.0001 |
| Sampling Interval | Prescribed Fire Treatment a | ||
|---|---|---|---|
| Month (Julian Date) and Year | C | SB | FB |
| May 2011 prescribed fire applied on Julian date 136 | |||
| February (49) 2011 | 3.6 (0.3) fgb | 3.1 (0.3) fgh | — |
| March (84) 2011 | 8.6 (0.3) abc | 9.9 (0.8) ab | — |
| May (146) 2011 | 5.5 (0.3) cdef | 2.6 (0.1) ghi | — |
| June (167) 2011 | 5.6 (0.6) bcdef | 3.9 (0.5) fg | — |
| July (194) 2011 | 5.3 (0.1) cdefg | 5.0 (0.4) defg | — |
| September (262) 2011 | 4.1 (0.7) efg | 2.8 (0.4) fghi | — |
| October (291) 2011 | 1.0 (0.4) i | 1.4 (0.2) hi | — |
| February (48) 2012 | 4.8 (1.0) defg | 3.3 (0.1) fgh | — |
| March (73) 2012 | 11.1 (1.0) a | 11.1 (1.4) a | — |
| May (137) 2012 | 8.1 (0.7) abcd | 6.8 (0.1) bcde | — |
| June (170) 2012 | 7.9 (1.1) abcd | 7.7 (0.7) abcd | — |
| October 2012 prescribed fire applied on Julian date 296 | |||
| July (198) 2012 | 5.3 (0.2) abcdfe | — | 7.0 (0.5) abc |
| September (270) 2012 | 2.1 (0.3) ghij | — | 3.0 (0.4) defghi |
| October (302) 2012 | 0.9 (0.3) ij | — | 1.0 (0.2) ij |
| February (53) 2013 | 4.7 (1.0) bcdefgh | — | 0.8 (0.6) j |
| March (85) 2013 | 9.4 (0.3) a | — | 2.4 (0.8) fghij |
| May (134) 2013 | 7.0 (0.5) abc | — | 2.7 (0.8) efghij |
| June (155) 2013 | 6.6 (0.1) abcd | — | 5.1 (0.9) abcdefg |
| July (183) 2013 | 5.7 (0.3) abcde | — | 7.8 (0.5) ab |
| September (266) 2013 | 2.2 (0.4) ghij | — | 3.6 (0.3) cdefgh |
| October (297) 2013 | 1.1 (0.1) ij | — | 1.5 (0.3) hij |
| Source of Variation | df a | Biomass Variable | 2003 | 2004 | 2005 |
|---|---|---|---|---|---|
| Covariate b | 1 | Total foliage dry mass d | <0.0001 | <0.0001 | <0.0001 |
| Block | 4 | 0.1255 | 0.0449 | 0.4066 | |
| Treatment (T) c | 2 | 0.1196 | 0.1601 | 0.0038 | |
| Covariate | 1 | Upper crown foliage dry mass d | <0.0001 | <0.0001 | <0.0001 |
| Block | 4 | 0.0020 | 0.4509 | 0.4698 | |
| T | 2 | 0.5598 | 0.7015 | 0.0504 | |
| Covariate | 1 | Lower crown foliage dry mass d | <0.0001 | <0.0001 | <0.0001 |
| Block | 4 | 0.4785 | 0.2564 | 0.2110 | |
| T | 2 | 0.1349 | 0.4101 | <0.0001 | |
| Covariate | 1 | Total branch dry mass d | <0.0001 | <0.0001 | <0.0001 |
| Block | 4 | 0.1076 | 0.0015 | 0.3597 | |
| T | 2 | 0.2022 | 0.0306 | 0.0493 | |
| Covariate | 1 | Upper crown branch dry mass d | - | <0.0001 | <0.0001 |
| Block | 4 | - | 0.1625 | 0.8209 | |
| T | 2 | - | 0.3001 | 0.2491 | |
| Covariate | 1 | Lower crown branch dry mass d | - | <0.0001 | <0.0001 |
| Block | 4 | - | 0.0730 | 0.2688 | |
| T | 2 | - | 0.0798 | 0.0117 | |
| Covariate | 1 | Stem dry mass | <0.0001 | <0.0001 | <0.0001 |
| Block | 4 | 0.6413 | 0.2251 | 0.5976 | |
| T | 2 | 0.0676 | 0.0504 | 0.0339 |
| Source of Variation | df a | Year | HBLC d | LCR d | FOBN d | BNR d | BMR d |
|---|---|---|---|---|---|---|---|
| Covariate b | 1 | 2004 | 0.0001 | 0.0885 | <0.0001 | 0.0035 | 0.6762 |
| Block | 4 | 0.2019 | 0.2319 | 0.1814 | 0.5464 | 0.8851 | |
| Treatment c | 2 | 0.7210 | 0.8194 | 0.1233 | 0.4646 | 0.8285 | |
| Covariate | 1 | 2005 | 0.2056 | 0.0103 | <0.0001 | 0.5294 | 0.4535 |
| Block | 4 | 0.6796 | 0.1622 | 0.4984 | 0.3100 | 0.9064 | |
| Treatment | 2 | 0.0829 | 0.0081 | 0.5528 | 0.0031 | 0.0802 |
© 2020 by the authors. Licensee MDPI, Basel, Switzerland. This article is an open access article distributed under the terms and conditions of the Creative Commons Attribution (CC BY) license (http://creativecommons.org/licenses/by/4.0/).
Share and Cite
Sayer, M.A.S.; Tyree, M.C.; Kuehler, E.A.; Jackson, J.K.; Dillaway, D.N. Physiological Mechanisms of Foliage Recovery after Spring or Fall Crown Scorch in Young Longleaf Pine (Pinus palustris Mill.). Forests 2020, 11, 208. https://doi.org/10.3390/f11020208
Sayer MAS, Tyree MC, Kuehler EA, Jackson JK, Dillaway DN. Physiological Mechanisms of Foliage Recovery after Spring or Fall Crown Scorch in Young Longleaf Pine (Pinus palustris Mill.). Forests. 2020; 11(2):208. https://doi.org/10.3390/f11020208
Chicago/Turabian StyleSayer, Mary Anne S., Michael C. Tyree, Eric A. Kuehler, John K. Jackson, and Dylan N. Dillaway. 2020. "Physiological Mechanisms of Foliage Recovery after Spring or Fall Crown Scorch in Young Longleaf Pine (Pinus palustris Mill.)" Forests 11, no. 2: 208. https://doi.org/10.3390/f11020208
APA StyleSayer, M. A. S., Tyree, M. C., Kuehler, E. A., Jackson, J. K., & Dillaway, D. N. (2020). Physiological Mechanisms of Foliage Recovery after Spring or Fall Crown Scorch in Young Longleaf Pine (Pinus palustris Mill.). Forests, 11(2), 208. https://doi.org/10.3390/f11020208

