Physiological Responses of Handeliodendron bodinieri (Levl.) Rehd. to Exogenous Calcium Supply under Drought Stress
Abstract
:1. Introduction
2. Materials and Methods
2.1. Plant Materials and Stress Treatments
2.2. Leaf Relative Water Content and Water Potential
2.3. Reactive Oxygen Species (ROS) and Malondialdehyde (MDA) Content Determination
2.4. Measurement Osmoregulation Substances
2.5. Measurement of Antioxidant Enzyme Activities
2.6. Photosynthetic Parameters
2.7. Statistical Analyses
3. Results
3.1. Relative Water Content and Water Potential
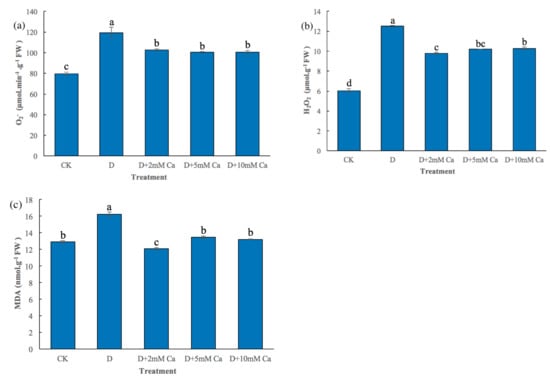
3.2. Reactive Oxygen Species (ROS) and Malondialdehyde (MDA)
3.3. Osmotic Regulation of Substance Content
3.4. Antioxidant Enzyme Activity
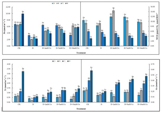
3.5. Photosynthetic Parameters
4. Discussion
5. Conclusions
Author Contributions
Funding
Conflicts of Interest
References
- Zhang, J.Y.; Dai, M.H.; Wang, L.C.; Cao, L.G. Plant Selection and Their Ecological Adaptation for Rocky Desertification Control in Karst Region in the Southwest of China. Earth Environ. 2015, 43, 269–278. [Google Scholar]
 - Wang, H.; Sun, F.B.; Liu, W.B. Spatial and temporal patterns as well as major influencing factors of global and diffuse Horizontal Irradiance over China: 1960–2014. Sol. Energy 2018, 159, 601–615. [Google Scholar]
 - Li, S.; Ren, H.D.; Xue, L.; Chang, J.; Yao, X.H. Influence of bare rocks on surrounding soil moisture in the karst rocky desertification regions under drought conditions. Catena 2014, 116, 157–162. [Google Scholar]
 - Huangpu, J.Y.; Lu, X.S.; Zhao, X.G.; Zhao, N. The Present situation of natural grassland resource in Guizhou Province and its development and utilization strategy. Pratacultural Sci. 2009, 26, 70–76. [Google Scholar]
 - Li, A.D.; Lu, Y.F.; Wei, X.L.; Yu, L.F. Studies on the regime of soil moisture under different microhabitats in Huajiang karst valley. Carsologica Sin. 2008, 27, 56–62. [Google Scholar]
 - Ma, C.C.; Gao, Y.B.; Liu, H.F.; Wang, J.L.; Guo, H.Y. Interspecific Transition Among Caragana microphylla, C. davazamcii and C. korshinskii Along Geographic Gradient. I. Ecological and RAPD Evidence. Acta Bot. Sin. 2003, 45, 1218–1227. [Google Scholar]
 - Parry, M.A.; Andralojc, P.J.; Khan, S.; Lea, P.J.; Keys, A.J. Rubisco activity: Effects of drought stress. Ann. Bot. 2002, 89, 833–839. [Google Scholar]
 - Carvalho, M.H. Drought stress and reactive oxygen species: Production, scavenging and signaling. Plant Signal. Behav. 2008, 3, 156–165. [Google Scholar]
 - Abdul, J.C.; Gopi, R.; Alagu, L.G.M. Triadimefon induced changes in the antioxidant metabolism and ajmalicine production in Catharanthus roseus (L.) G. Don. Plant Sci. 2006, 171, 271–276. [Google Scholar]
 - Marok, M.A.; Tarrago, L.; Ksas, B. A drought-sensitive barley variety displays oxidative stress and strongly increased contents in low-molecular weight antioxidant compounds during water deficit compared to a tolerant variety. J. Plant Physiol. 2013, 170, 633–645. [Google Scholar]
 - An, Y.Y.; Liang, Z.S.; Hao, W.F. Growth and physiological responses of the Periploca sepium Bunge seedlings to drought stress. Acta Ecol. Sin. 2011, 31, 716–725. [Google Scholar]
 - Zhang, H.H.; Zhang, X.L.; Xu, N.; He, G.Q.; Jing, W.W.; Yue, B.B.; Li, X.; Sun, G.Y. Effects of exogenous CaCl2 on the functions of flue-cured tobacco seedlings leaf photosystem II under drought stress. Chin. J. Appl. Ecol. 2011, 22, 1195–1200. [Google Scholar]
 - Liu, C.C.; Liu, Y.G.; Guo, K. Ecophysiological adaptations to drought stress of seedlings of four plant species with different growth forms in karst habitats. Chin. J. Plant Ecolo. 2011, 35, 1070–1082. [Google Scholar]
 - Zhang, J.B. Effects of Exogenous Calcium and EGTA on Seed Germination and Physiological Characteristics of Pepper (Capsicum annum L.) Under Salt Stress. Master’s Thesis, Gansu Agriculture University, Gansu, China, 2007. [Google Scholar]
 - Zhou, S.Y.; Jang, J.; Gao, L.Y.; Wang, L.X.; Li, S.P.; Li, X.G. Effects of CaCl2 concentration on physiology of Brazil banana seedling under NaCl stress. Chin. J. Appl. Environ. Biol. 2014, 20, 449–454. [Google Scholar]
 - Guo, Y.P.; Reng, Y.X.; Liu, G.H.; Cao, C.M.; Yan, L.J. Effects of calcium (CaCl2), GA3 and complex liquid on the physiological characteris-tics of alfalfa seedlings under drought stress. Acta Pratacul. Sin. 2015, 24, 89–96. [Google Scholar]
 - Jaleel, C.A.; Manivannan, P.; Sankar, B.; Kishorekumar, A.; Gopi, R.; Somasundaram, R.; Panneerselvam, R. Water deficit stress mitigation by calcium chloride in Catharanthus roseus: Effects on oxidative stress, proline metabolism and indole alkaloid accumulation. Colloids Surf. B Biointerfaces 2007, 60, 110–116. [Google Scholar]
 - Xu, C.B.; Li, X.M.; Zhang, L.H. The effect of calcium chloride on growth, photosynthesis, and antioxidant responses of Zoysia japonica under drought conditions. PLoS ONE 2013, 8, e68214. [Google Scholar]
 - Kang, J.; Zhao, W.; Zheng, Y.; Zhang, D.M.; Zhou, H.; Sun, P. Calcium chloride improves photosynthesis and water status in the C4 succulent xerophyte Haloxylon ammodendron under water deficit. Plant Growth Regul. 2017, 82, 1–12. [Google Scholar]
 - Wang, W.H.; Chen, J.; Liu, T.W.; Chen, J.; Han, A.D.; Simon, M.; Dong, X.J.; He, J.X.; Zheng, H.L. Regulation of the calcium-sensing receptor in both stomatal movement and photosynthetic electron transport is crucial for water use efficiency and drought tolerance in Arabidopsis. J. Exp. Bot. 2014, 65, 223–234. [Google Scholar]
 - Duan, H.R.; Ma, Y.J.; Li, Y. Study on Stress Resistance of Hard-seeded Ammopiptanthus mongolicus under Drought Stress and Salt Stress. Acta Agrestia Sin. 2011, 19, 75–80. [Google Scholar]
 - Jiang, Y.B.; Cui, G.W.; Li, H. Effect of coating Medicago sativa seeds in calcium on drought resistance and interrelated physiological indexes under drought conditions. Acta Pratacul. Sin. 2005, 14, 32–36. [Google Scholar]
 - Zhang, Z.S.; Li, R.Q.; Wang, J.B. Effects of Ca2+ pretreatment on plasmalemma permeability, GSH and ASA contents, and calcium distributiom in pepper mesophyli cell under heat stress. Chin. J. Plant Ecol. 2001, 25, 230–234. [Google Scholar]
 - Huang, W.L.; Tu, Y.L. Vegetiton of GuiZhou. Guiyang Guizhou Peoples Publ. House 1988, 11, 15–20. [Google Scholar]
 - Chen, J.J.; Li, Z.L.; Li, X.P.; Yang, B.L.; Zhou, H.H.; Guo, S. Phenotypic character and seed oil of fruit of Handeliodendron bodinieri in Leye county, Guangxi province. Chin. Oil J. 2018, 43, 79–82. [Google Scholar]
 - Sergiev, I.; Alexieva, V.; Karanov, E. Effect of spermine, atrazine and combination between them on some endogenous protective systems and stress markers in plants. Comptes Rendus Acad. Bulg. Sci. 1997, 51, 121–124. [Google Scholar]
 - Xia, M.J.; Wang, G.D.; Wang, X.Q.; Liang, X.D.; Li, Q.W. An R2R3-MYB gene, LeAN2, positively regulated the thermo-tolerance in transgenic tomato. J. Plant Physiol. 2015, 175, 1–8. [Google Scholar]
 - Hao, J.J.; Kang, Z.L. Experimental Techniques of Plant Physiology; Beijing Institute of Chemical Industry Press: Beijing, China, 2007. [Google Scholar]
 - Sun, J.; Han, L.J.; Zhang, L.X.; Yang, H.H. The determination of the content of betaine in plant growth promoter of seaweed by colorimetry. Mar. Sci. 2007, 11, 5–8. [Google Scholar]
 - Li, H.S. Principles and Techniques of Plant Physiology and Biochemistry Experiment; Higher Education Press: Beijing, China, 2000; pp. 85–88. [Google Scholar]
 - Nakano, Y.; Asada, K. Hydrogen Peroxide Is Scavenged by Ascorbate-Specific Peroxidase in Spinach Chloroplasts. Plant Cell Physiol. 1981, 22, 867–880. [Google Scholar]
 - Lawrence, R.A.; Burk, R.F. Glutathione peroxidase activity in selenium deficient rat liver. Biochem. Biophys. Res. Commun. 1976, 71, 952–958. [Google Scholar]
 - Abou, E.A. Foliar application of glycine betaine and chelated calcium improves seed production and quality of common bean (Phaseolus vulgaris L.) under water stress conditions. Res. J. Agric. Boil. Sci, 2011; 7, 357–370. [Google Scholar]
 - Marques, D.J.; Ferreira, M.M. CaSiO3 improves water potential and gas exchange but not contribute to the production parameters of maize plants exposed to different irrigation depths. Aust. J. Crop Sci. 2014, 8, 1257–1265. [Google Scholar]
 - Li, Z.; Tan, X.F.; Lu, K. The effect of CaCl2 on calcium content, photosynthesis, and chlorophyll fluorescence of tung tree seedlings under drought conditions. Photosynthetica 2017, 55, 553. [Google Scholar]
 - Martínez-Ballesta, M.C.; Cabañero, F.; Olmos, E.; Periago, P.M.; Maurel, C.; Carvajal, M. Two different effects of calcium on aquaporins in salinity-stressed pepper plants. Planta 2008, 228, 15. [Google Scholar]
 - Serraj, R.; Sinclair, T.R. Osmolyte accumulation: Can it really help increase crop yield under drought conditions. Plant Cell Environ. 2002, 25, 333–341. [Google Scholar]
 - Muhammad, N.; Muhammad, S.N.; Rashid, A.; Muhammad, Z.I.; Muhammad, Y.A.; Yasir, H.; Shah, F. Foliar calcium spray confers drought stress tolerance in maize via modulation of plant growth, water relations, proline content and hydrogen peroxide activity. Arch. Agron. Soil Sci. 2018, 64, 116–131. [Google Scholar]
 - Nayyar, H. Variation in Osmoregulation in Differentially Drought-Sensitive Wheat Genotypes Involves Calcium. Biolo. Plant. 2003, 47, 541. [Google Scholar]
 - Aghaz, M.; Bandehagh, A.; Aghazade, E.; Toorchi, M.; Ghassemi-Gholezani, K. Effects of cadmium stress on some growth and physiological characteristics in dill (Anethum graveolens) ecotypes. Int. J. Agric. Biol. 2013, 3, 409. [Google Scholar]
 - Upadhyaya, H.; Panda, S.K.; Dutta, B.K. CaCl2 improves post-drought recovery potential in Camellia sinensis (L) O. Kuntze. Plant Cell Rep. 2011, 30, 495–503. [Google Scholar]
 - Hayat, S.; Hayat, Q.; Alyemeni, M.N.; Wani, A.S.; Pichtel, J.; Ahmad, A. Role of proline under changing environments. Plant Signal. Behav. 2012, 7, 1456–1466. [Google Scholar]
 - Shinozaki, K.; Yamaguchi, S.K. Gene expression and signal transduction in water stress response. Plant Physiol. 2016, 115, 327–334. [Google Scholar]
 - Agarwal, S.; Sairam, R.K.; Srivastava, G.C.; Tyagi, A.; Meena, R.C. Role of ABA, salicylic acid, calcium and hydrogen peroxide on antioxidant enzymes induction in wheat seedlings. Plant Sci. 2005, 169, 559–570. [Google Scholar]
 - Miller, G.; Suzuki, N.; Ciftci-yilmaz, S.; Mittler, R. Reactive oxygen species homeostasis and signalling during drought and salinity stresses. Plant Cell Environ. 2010, 33, 453–467. [Google Scholar]
 - Siddiqui, M.H.; Al-Whaibi, M.H.; Basalah, M.O. Interactive effect of calcium and gibberellin on nickel tolerance in relation to antioxidant systems in Triticum aestivum L. Protoplasma 2011, 248, 503–511. [Google Scholar]
 - Chen, L.L.; Wang, X.F.; Liu, M.; Yang, F.J.; Shi, Q.H.; Wei, M.; Li, Q.M. Effects of calcium and ABA on photosynthesis and related enzymes activities in cucumber seedlings under drought stress. Chin. J. Appl. Ecol. 2016, 27, 3996–4002. [Google Scholar]
 - Xue, L.; Ren, H.D.; Long, W.; Leng, X.H.; Wang, J.; Yao, X.H.; Li, S. Ecophysiological Responses of Calcicole Cyclobalanopsis glauca (Thunb.) Oerst. to Drought Stress and Calcium Supply. Forests, 2018; 9, 667. [Google Scholar]
 - Nayyar, H.; Kaushal, S. Alleviation of negative effects of water stress in two contrasting wheat genotypes by calcium and abscisic acid. Biol. Plant 2002, 45, 65–70. [Google Scholar]
 - Pietrini, F.; Iannelli, M.A.; Pasqualini, S.; Massacci, A. Interaction of cadmium with glutathione and photosynthesis in developing leaves and chloroplasts of Phragmites australis (Cav.) Trin. ex Steudel. Plant Physiol. 2003, 133, 829–837. [Google Scholar]
 - Cai, X.Y.; Chen, X.D.; Liu, C.; Zhang, S.Q.; Fang, T.X. Effect of Drought Stress with Exogenous Ca2+ on Relative Water Content and the Characteristics of Photosynthesis of Koelreuteria paniculata. North Horticult. 2013, 10, 58–62. [Google Scholar]
 - Zhao, L.L.; Wang, P.C.; Chen, C.; Song, G.X.; Tang, H.J. Effects of Exogenous Ca2+ on the Growth, Physiological Characters of Sophora viciifolia Seedlings in Karst Mountain Area Under the Drought Stress. Acta Agric. Nucl. Sin. 2017, 31, 2039–2046. [Google Scholar]
 - Huang, L.Y.; Li, Z.Z.; Duan, T.Y.; Wang, L.; Zhang, Y.Q.; Li, J. Regulation of exogenous calcium on photosynthetic system of honeysuckle under salt stress. China J. Chin. Mater. Med. 2019, 44, 1531–1536. [Google Scholar]
 - Hu, W.J.; Chen, J.; Liu, T.W.; Wu, Q.; Wang, W.H.; Liu, X.; Shen, Z.J.; Simon, M.; Chen, J.; Wu, F.H.; et al. Proteome and calcium-related gene expression in Pinusmassoniana needles in response to acid rain under different calcium levels. Plant Soil 2014, 380, 285–303. [Google Scholar]
 - Kehinde, O.E.; Zhao, J.; Ma, B.B.; Li, J.M.; Chen, Y.K. Exogenous calcium induces tolerance to atrazine stress in Pennisetum seedlings and promotes photosynthetic activity, antioxidant enzymes and psbA gene transcripts. Ecotoxicol. Environ. Saf. 2016, 132, 403–412. [Google Scholar]
 






| Treatment | PEG-6000 | CaCl2 Concentration (mmol·L−1) | 
|---|---|---|
| 1 | 0 | 0 | 
| 2 | 10% | 0 | 
| 3 | 10% | 2 mmol·L−1 CaCl2 | 
| 4 | 10% | 5 mmol·L−1 CaCl2 | 
| 5 | 10% | 10 mmol·L−1 CaCl2 | 
© 2020 by the authors. Licensee MDPI, Basel, Switzerland. This article is an open access article distributed under the terms and conditions of the Creative Commons Attribution (CC BY) license (http://creativecommons.org/licenses/by/4.0/).
Share and Cite
Leng, X.; Xue, L.; Wang, J.; Li, S.; Yang, Z.; Ren, H.; Yao, X.; Wu, Z.; Li, J. Physiological Responses of Handeliodendron bodinieri (Levl.) Rehd. to Exogenous Calcium Supply under Drought Stress. Forests 2020, 11, 69. https://doi.org/10.3390/f11010069
Leng X, Xue L, Wang J, Li S, Yang Z, Ren H, Yao X, Wu Z, Li J. Physiological Responses of Handeliodendron bodinieri (Levl.) Rehd. to Exogenous Calcium Supply under Drought Stress. Forests. 2020; 11(1):69. https://doi.org/10.3390/f11010069
Chicago/Turabian StyleLeng, Xiuhui, Liang Xue, Jia Wang, Sheng Li, Zhiling Yang, Huadong Ren, Xiaohua Yao, Zeyu Wu, and Jinyao Li. 2020. "Physiological Responses of Handeliodendron bodinieri (Levl.) Rehd. to Exogenous Calcium Supply under Drought Stress" Forests 11, no. 1: 69. https://doi.org/10.3390/f11010069
APA StyleLeng, X., Xue, L., Wang, J., Li, S., Yang, Z., Ren, H., Yao, X., Wu, Z., & Li, J. (2020). Physiological Responses of Handeliodendron bodinieri (Levl.) Rehd. to Exogenous Calcium Supply under Drought Stress. Forests, 11(1), 69. https://doi.org/10.3390/f11010069
        