Incremental Delayed Subgradient Method for Decentralized Nonsmooth Convex–Concave Minimax Optimization
Abstract
1. Introduction
2. Preliminaries
3. Incremental Delayed Subgradient Method
| Algorithm 1 Incremental Delayed Subgradient Method (in short, IDSM) |
| Initialization: Given the step-size sequence of real numbers, choose initial points and arbitrarily. |
| Iterative Step: For an iterate (), starting with |
| For each , compute |
| Compute |
| Update . |
3.1. Technical Lemmata
- (i)
- For all and for all integers ,
- (ii)
- For all and for all integers ,
3.2. Bounds for Constant Step Size
- (i)
- For all and for all integers ,
- (ii)
- For all and for all integers ,
3.3. Convergences of Function Values
- (i)
- For all and for all integers ,
- (ii)
- For all and for all integers ,
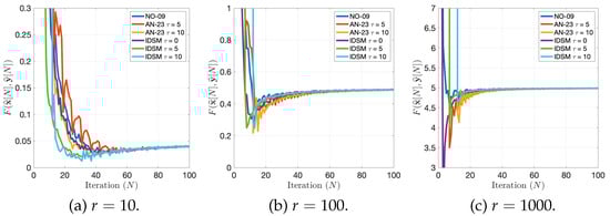
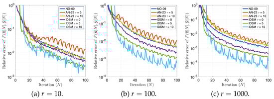
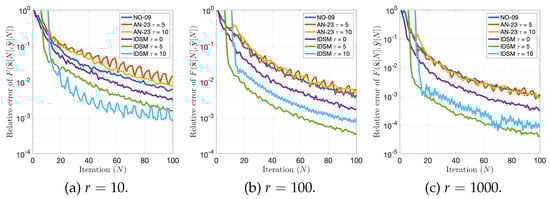
4. Numerical Examples
4.1. The Case
4.2. The Case
5. Conclusions
Author Contributions
Funding
Institutional Review Board Statement
Informed Consent Statement
Data Availability Statement
Acknowledgments
Conflicts of Interest
References
- Goodfellow, I.; Bengio, Y. Generative adversarial nets. Adv. Neural Inf. Process. Syst. 2014, 27, 2672–2680. [Google Scholar]
- Boţ, R.I.; Sedlmayer, M.; Vuong, P.T. A relaxed inertial forward-backward-forward algorithm for solving monotone inclusions with application to GANs. J. Mach. Learn. Res. 2023, 24, 1–37. [Google Scholar]
- Boţ, R.I.; Böhm, A. Alternating proximal-gradient steps for (stochastic) nonconvex-concave minimax problems. SIAM J. Optim. 2023, 33, 1884–1913. [Google Scholar] [CrossRef]
- Boţ, R.I.; Csetnek, E.R.; Sedlmayer, M. An accelerated minimax algorithm for convex-concave saddle point problems with nonsmooth coupling function. Comput. Optim. Appl. 2023, 86, 925–966. [Google Scholar] [CrossRef] [PubMed]
- Fan, Y.; Lyu, S.; Ying, Y.; Hu, B. Learning with average top-k loss. Adv. Neural Inf. Process. Syst. 2017, 497–505. [Google Scholar]
- Ying, Y.; Wen, L.; Lyu, S. Stochastic online AUC maximization. Adv. Neural Inf. Process. Syst. 2016, 451–459. [Google Scholar]
- He, B.S.; Yuan, X.M. Convergence analysis of primal–dual algorithms for a saddle point problem: From contraction perspective. SIAM J. Imaging Sci. 2012, 5, 119–149. [Google Scholar] [CrossRef]
- Cai, X.; Han, D.; Xu, L. An improved first-order primal-dual algorithm with a new correction step. J. Glob. Optim. 2013, 57, 1419–1428. [Google Scholar] [CrossRef]
- Arrow, K.J.; Hurwicz, L.; Uzawa, H. Studies in Linear and Non-Linear Programming; Stanford University Press: Stanford, CA, USA, 1958. [Google Scholar]
- Nedić, A.; Ozdaglar, A. Subgradient methods for saddle-point problems. J. Optim. Theory Appl. 2009, 142, 205–228. [Google Scholar] [CrossRef]
- Aytekin, A. Asynchronous First-Order Algorithms for Large-Scale Optimization: Analysis and Implementation. Ph.D. Dissertation, KTH Royal Institute of Technology, Stockholm, Sweden, 2019. [Google Scholar]
- Feyzmahdavian, H.R.; Aytekin, A.; Johansson, M. An asynchronous mini-batch algorithm for regularized stochastic optimization. IEEE Trans. Autom. Control 2016, 61, 3740–3754. [Google Scholar] [CrossRef]
- Gurbuzbalaban, M.; Ozdaglar, A.; Parrilo, P.A. On the convergence rate of incremental aggregated gradient algorithms. SIAM J. Optim. 2017, 27, 1035–1048. [Google Scholar] [CrossRef]
- Vanli, N.D.; Gurbuzbalaban, M.; Ozdaglar, A. Global convergence rate of proximal incremental aggregated gradient methods. SIAM J. Optim. 2018, 28, 1282–1300. [Google Scholar] [CrossRef]
- Arunrat, T.; Nimana, N. A delayed subgradient method for nonsmooth convex-concave min-max optimization problems. Results Control Optim. 2023, 12, 100266. [Google Scholar] [CrossRef]
- Beznosikov, A.; Scutari, G.; Rogozin, A.; Gasnikov, A. Distributed saddle-point problems under data similarity. Adv. Neural Inf. Process. Syst. 2021, 34, 8172–8184. [Google Scholar]
- Dai, Y.H.; Wang, J.; Zhang, L. Stochastic approximation proximal subgradient method for stochastic convex-concave minimax optimization. arXiv 2024, arXiv:2403.20205. [Google Scholar]
- Rafique, H.; Liu, M.; Lin, Q.; Yang, T. Weakly-convex–concave min–max optimization: Provable algorithms and applications in machine learning. Optim. Methods Softw. 2021, 37, 1087–1121. [Google Scholar] [CrossRef]
- Jiang, F.; Zhang, Z.; He, H. Solving saddle point problems: A landscape of primal-dual algorithm with larger stepsizes. J. Glob. Optim. 2023, 85, 821–846. [Google Scholar] [CrossRef]
- Luo, L.; Xie, G.; Zhang, T.; Zhang, Z. Near optimal stochastic algorithms for finite-sum unbalanced convex-concave minimax optimization. arXiv 2021, arXiv:2106.01761. [Google Scholar]
- Nedić, A.; Bertsekas, D.P. Incremental subgradient methods for nondifferentiable optimization. SIAM J. Optim. 2001, 12, 109–138. [Google Scholar] [CrossRef]
- Nedić, A.; Bertsekas, D.P.; Borkar, V.S. Distributed asynchronous incremental subgradient methods. Stud. Comput. Math. 2001, 8, 381–407. [Google Scholar]
- Rockafellar, R.T. Convex Analysis; Princeton University Press: Princeton, NJ, USA, 1970. [Google Scholar]




Disclaimer/Publisher’s Note: The statements, opinions and data contained in all publications are solely those of the individual author(s) and contributor(s) and not of MDPI and/or the editor(s). MDPI and/or the editor(s) disclaim responsibility for any injury to people or property resulting from any ideas, methods, instructions or products referred to in the content. |
© 2025 by the authors. Licensee MDPI, Basel, Switzerland. This article is an open access article distributed under the terms and conditions of the Creative Commons Attribution (CC BY) license (https://creativecommons.org/licenses/by/4.0/).
Share and Cite
Feesantia, T.; Arunrat, T.; Nimana, N. Incremental Delayed Subgradient Method for Decentralized Nonsmooth Convex–Concave Minimax Optimization. Algorithms 2025, 18, 126. https://doi.org/10.3390/a18030126
Feesantia T, Arunrat T, Nimana N. Incremental Delayed Subgradient Method for Decentralized Nonsmooth Convex–Concave Minimax Optimization. Algorithms. 2025; 18(3):126. https://doi.org/10.3390/a18030126
Chicago/Turabian StyleFeesantia, Thipagon, Tipsuda Arunrat, and Nimit Nimana. 2025. "Incremental Delayed Subgradient Method for Decentralized Nonsmooth Convex–Concave Minimax Optimization" Algorithms 18, no. 3: 126. https://doi.org/10.3390/a18030126
APA StyleFeesantia, T., Arunrat, T., & Nimana, N. (2025). Incremental Delayed Subgradient Method for Decentralized Nonsmooth Convex–Concave Minimax Optimization. Algorithms, 18(3), 126. https://doi.org/10.3390/a18030126

