The Effect of the Substituent Position on the Two-Photon Absorption Performances of Dibenzylideneacetone-Based Isomers
Abstract
:1. Introduction
2. Theoretical Methods and Computational Details
2.1. Rate Equations and Field Intensity Equation
2.2. Static TPA Cross Section
2.3. Dynamical TPA Cross Section
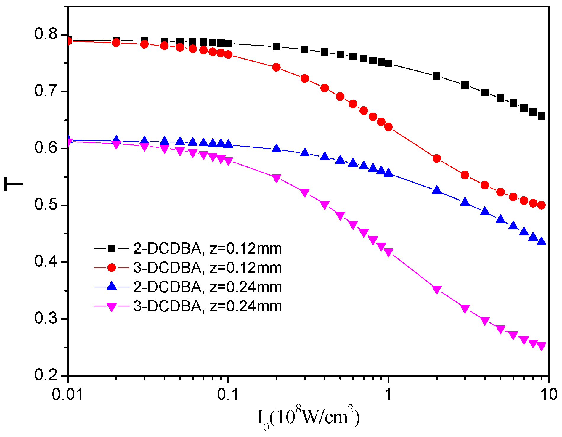
3. Results and Discussion
4. Conclusions
Acknowledgments
Author Contributions
Conflicts of Interest
References
- Lin, T.C.; Tsai, B.K.; Huang, T.Y.; Chien, W.; Liu, Y.Y.; Li, M.H.; Tsai, M.Y. Synthesis and two-photon absorption properties of truxene-cored chromophores with functionalized pyrazine units fused as the end-groups. Dyes Pigments 2015, 120, 99–111. [Google Scholar] [CrossRef]
- Tian, G.J.; Xiang, N.; Zhou, H.T.; Li, Y.R.; Li, B.; Wang, Q.C.; Su, J.H. A novel D-A-D-A-D type molecule based on substituted dihydroindolo [3, 2-b] carbazole with large two-photon absorption cross section and excellent aggregation-induced enhanced emission property. Tetrahedron 2016, 72, 298–303. [Google Scholar] [CrossRef]
- Fang, H.H.; Chen, Q.D.; Yang, J.; Xia, H.; Ma, Y.G.; Wang, H.Y.; Sun, H.B. Two-photon excited highly polarized and directional upconversion emission from slab organic crystals. Opt. Lett. 2010, 35, 441–443. [Google Scholar] [CrossRef] [PubMed]
- Erskine, L.L.; Heikal, A.A.; Kuebler, S.M.; Rumi, M.; Wu, X.; Marder, S.R.; Perry, J.W. Two-photon polymerization initiators for three- dimensional optical data storage and microfabrication. Solid State Phys. 1999, 398, 51–54. [Google Scholar]
- Denk, W.; Strickler, J.H.; Webb, W.W. Two-photon laser scanning fluorescence microscopy. Science 1990, 248, 73–76. [Google Scholar] [CrossRef] [PubMed]
- Kim, S.; Ohulchanskyy, T.Y.; Pudavar, H.E.; Pandey, R.K.; Prasad, P.N. Organically modified silica nanoparticles co-encapsulating photosensitizing drug and aggregation-enhanced two-photon absorbing fluorescent dye aggregates for two-photon photodynamic therapy. J. Am. Chem. Soc. 2007, 129, 2669–2675. [Google Scholar] [CrossRef] [PubMed]
- Khurana, M.; Collins, H.A.; Karotki, A.; Anderson, H.L.; Cramb, D.T.; Wilson, B.C. Quantitative in vitro demonstration of two-photon photodynamic therapy using photofrin® and visudyne®. Photochem. Photobiol. 2007, 83, 1441–1448. [Google Scholar] [CrossRef] [PubMed]
- Ehrlich, J.E.; Wu, X.L.; Lee, I.Y.S.; Hu, Z.Y.; Röckel, H.; Marder, S.R.; Perry, J.W. Two-photon absorption and broadband optical limiting with bis-donor stilbenes. Opt. Lett. 1997, 22, 1843–1845. [Google Scholar] [CrossRef] [PubMed]
- Ma, H.; Leng, J.C.; Liu, M.; Zhao, L.N.; Jiao, Y. Theoretical investigation of two-photon absorption properties and optical limiting behavior of two symmetrical fluorene derivatives. J. Nonlinear Opt. Phys. Mater. 2015, 24, 1550046. [Google Scholar] [CrossRef]
- Zhao, L.Y.; Zhang, Y.J.; Ma, H.; Leng, J.C. Influence of terminal group on nonlinear optical properties of fluorene derivatives. Acta Phys. Chim. Sin. 2016, 32, 1543–1548. [Google Scholar]
- Patila, P.S.; Dharmaprakasha, S.M.; Ramakrishna, K.; Fun, H.K.; Kumard, R.S.S.; Rao, D.N. Second harmonic generation and crystal growth of new chalcone derivatives. J. Cryst. Growth 2007, 303, 520–524. [Google Scholar] [CrossRef]
- Yao, C.B.; Zhang, Y.D.; Li, J.; Chen, D.T.; Yin, H.T.; Yu, C.Q.; Yuan, P. Study of the nonlinear optical properties and behavior in phenoxy-phthalocyanines liquid at nanosecond laser pulses. Opt. Mater. 2014, 37, 80–86. [Google Scholar] [CrossRef]
- Gary-Bobo, M.; Mir, Y.; Rouxel, C.; Brevet, D.; Basile, I.; Maynadier, M.; Vaillant, O.; Mongin, O.; Blanchard-Desce, M.; Morère, A.; et al. Mannose-functionalized mesoporous silica nanoparticles for efficient two-photon photodynamic therapy of solid tumors. Angew. Chem. 2011, 50, 11425–11429. [Google Scholar] [CrossRef] [PubMed]
- Avirah, R.R.; Jayaram, D.T.; Adarsh, N.; Ramaiah, D. Squaraine dyes in PDT: From basic design to in vivo demonstration. Org. Biomol. Chem. 2012, 10, 911–920. [Google Scholar] [CrossRef] [PubMed]
- Harvey, P.D.; Gan, L.; Aubry, C. Charge transfer emissive singlet excited states and photoinduced electron transfer properties in the diarylideneacetone compounds (RCHCH)2CO; R = phenyl, 1- and 2-naphthyl, 3-(N-ethylcarbazoyl), and 4-(C5H5)Fe(C5H4C6H4CHCH(CO)CHCHC6H5). Can. J. Chem. 1990, 68, 2278–2288. [Google Scholar] [CrossRef]
- Albota, M.; Beljonne, D.; Brédas, J.L.; Ehrlich, J.E.; Fu, J.Y.; Heikal, A.A.; Hess, S.E.; Kogej, T.; Levin, M.D.; Marder, S.R.; et al. Design of organic molecules with large two-photon absorption cross sections. Science 1998, 281, 1653–1656. [Google Scholar] [CrossRef] [PubMed]
- Ma, H.; Leng, J.C.; Liu, M.; Zhao, L.N.; Jiao, Y. Two-photon absorption and optical limiting of a fluorenyl-based chromophore with femtosecond laser pulse. Opt. Commun. 2015, 350, 144–147. [Google Scholar] [CrossRef]
- Arnbjerg, J.; Jiménez-Banzo, A.; Paterson, M.J.; Nonell, S.; Borrell, J.I.; Christiansen, O.; Ogilby, P.R. Two-photon absorption in tetraphenylporphycenes: Are porphycenes better candidates than porphyrins for providing optimal optical properties for two-photon photodynamic therapy? J. Am. Chem. Soc. 2007, 129, 5188–5199. [Google Scholar] [CrossRef] [PubMed]
- Guillaume, M.; Ruud, K.; Rizzo, A.; Monti, S.; Lin, Z.; Xu, X. Computational study of the one- and two-photon absorption and circular dichroism of (L)-tryptophan. J. Phys. Chem. B 2010, 114, 6500–6512. [Google Scholar] [CrossRef] [PubMed]
- Nguyen, K.A.; Day, P.N.; Pachter, R. One- and two-photon spectra of platinum acetylide chromophores: A TDDFT study. J. Phys. Chem. A 2009, 113, 13943–13952. [Google Scholar] [CrossRef] [PubMed]
- Aditya, P.; Kumar, H.; Kumar, S.; Rajashekar; Muralikrishna, M.; Muthukumar, V.S.; Kumar, B.S.; Sai, S.S.S.; Rao, G.N. Novel D-π-A-π-D type organic chromophores for second harmonic generation and multi-photon absorption applications. In Proceedings of the International Conference on Recent Trends in Applied Physics and Material Science, Rajasthan, India, 1–2 February 2013; AIP Publishing: New York, NY, USA, 2013; Volume 1536, pp. 751–752. [Google Scholar]
- Kiran, J.A.; Chandrasekharan, K.; Nooji, S.R.; Shashikala, H.D.; Umesh, G.; Kalluraya, B. Χ(3) measurements and optical limiting in dibenzylideneacetone and Its derivatives. Chem. Phys. 2006, 324, 699–704. [Google Scholar] [CrossRef]
- Wang, C.K.; Zhao, P.; Miao, Q.; Sun, Y.P.; Zhou, Y. Optical limiting and dynamical two-photon absorption of organic compounds for a nanosecond pulse. J. Phys. B At. Mol. Opt. Phys. 2010, 43, 39–41. [Google Scholar] [CrossRef]
- Gel’mukhanov, F.; Baev, A.; Macák, P.; Luo, Y.; Ågren, H. Dynamics of two-photon absorption by molecules and solutions. J. Opt. Soc. Am. B 2002, 19, 937–945. [Google Scholar] [CrossRef]
- Gavrilyuk, S.; Polyutov, S.; Jha, P.C.; Rinkevicius, Z.; Ågren, H.; Gel’mukhanov, F. Many-photon dynamics of photobleaching. J. Phys. Chem. A 2007, 111, 11961–11975. [Google Scholar] [CrossRef] [PubMed]






| Molecule | ) | ) | ||
|---|---|---|---|---|
| 2-DCDBA | 3.51 | 3.80 | 2.85 | 4.38 |
| 3-DCDBA | 3.55 | 3.83 | 2.89 | 4.69 |
| Molecule | z | α | β0 | σtp | σSTPA |
|---|---|---|---|---|---|
| 2-DCDBA | 0.12 mm | 1.98 | 0.40 | 1.23 | 366 |
| 0.24 mm | 1.04 | 0.81 | 2.48 | ||
| 3-DCDBA | 0.12 mm | 4.09 | 0.89 | 2.72 | 396 |
| 0.24 mm | 2.22 | 1.92 | 5.90 |
© 2016 by the authors; licensee MDPI, Basel, Switzerland. This article is an open access article distributed under the terms and conditions of the Creative Commons Attribution (CC-BY) license (http://creativecommons.org/licenses/by/4.0/).
Share and Cite
Zhao, L.; Zhang, Y.; Ma, H.; Leng, J. The Effect of the Substituent Position on the Two-Photon Absorption Performances of Dibenzylideneacetone-Based Isomers. Materials 2016, 9, 1026. https://doi.org/10.3390/ma9121026
Zhao L, Zhang Y, Ma H, Leng J. The Effect of the Substituent Position on the Two-Photon Absorption Performances of Dibenzylideneacetone-Based Isomers. Materials. 2016; 9(12):1026. https://doi.org/10.3390/ma9121026
Chicago/Turabian StyleZhao, Liyun, Yujin Zhang, Hong Ma, and Jiancai Leng. 2016. "The Effect of the Substituent Position on the Two-Photon Absorption Performances of Dibenzylideneacetone-Based Isomers" Materials 9, no. 12: 1026. https://doi.org/10.3390/ma9121026
APA StyleZhao, L., Zhang, Y., Ma, H., & Leng, J. (2016). The Effect of the Substituent Position on the Two-Photon Absorption Performances of Dibenzylideneacetone-Based Isomers. Materials, 9(12), 1026. https://doi.org/10.3390/ma9121026

