Exploring Mass Transfer in Mesoporous Zeolites by NMR Diffusometry
Abstract
:1. Introduction
2. Experimental Section
2.1. PFG NMR Diffusion Measurements

2.2. The Material under Study

3. Results and Discussion
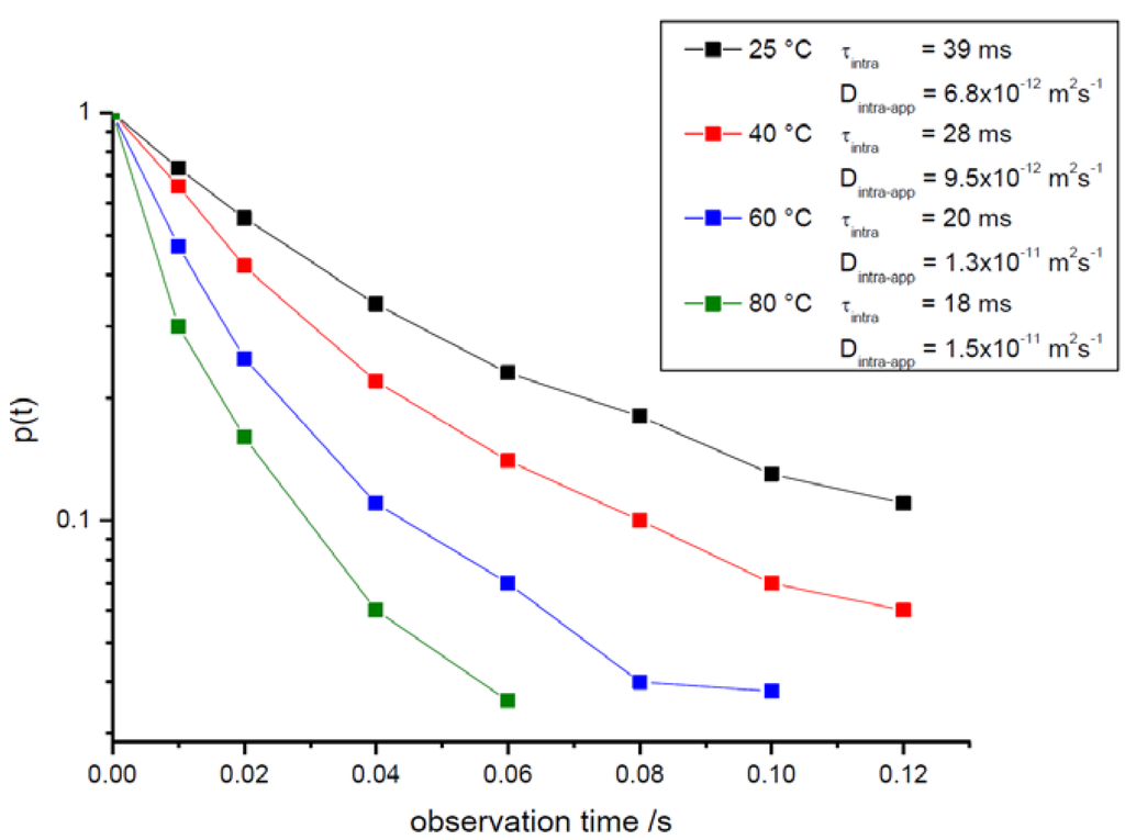
3.1. Measurements with the Purely Microporous Samples





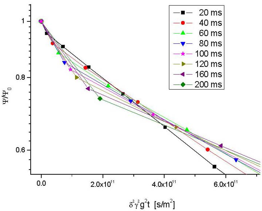
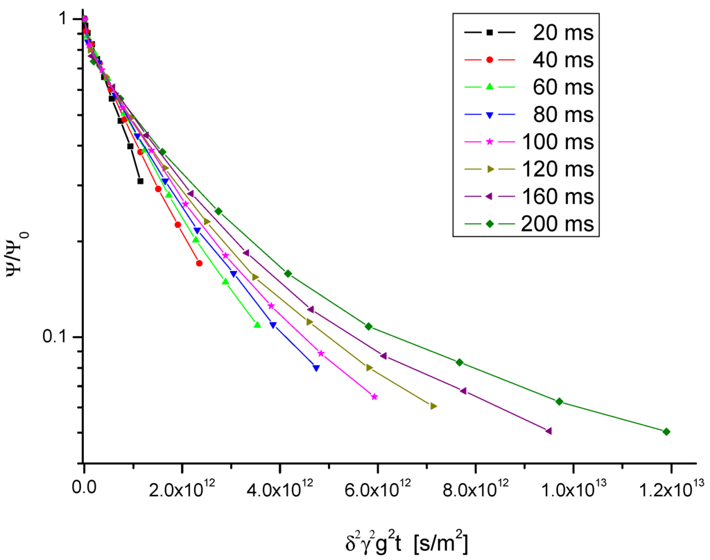
3.2. Measurements with the Mesoporous Samples




4. Conclusions
Acknowledgments
References
- Handbook of Porous Solids; Schüth, F.; Sing, K.S.W.; Weitkamp, J. (Eds.) Wiley-VCH: Weinheim, Germany, 2002.
- Handbook of Zeolite Science and Technology; Auerbach, S.M.; Carrado, K.A.; Dutta, P.K. (Eds.) Marcel Dekker Inc.: New York, NY, USA, 2003.
- Handbook of Heterogeneous Catalysis, 2nd ed.; Ertl, G.; Knözinger, H.; Schüth, F.; Weitkamp, J. (Eds.) Wiley-VCH: Weinheim, Germany, 2008.
- Chen, N.Y.; Degnan, T.F.; Smith, C.M. Molecular Transport and Reaction in Zeolites; Wiley-VCH: New York, NY, USA, 1994. [Google Scholar]
- Keil, F.J.; Krishna, R.; Coppens, M.O. Modeling of diffusion in zeolites. Rev. Chem. Eng. 2000, 16, 71–197. [Google Scholar] [CrossRef]
- Kärger, J.; Ruthven, D.M.; Theodorou, D.N. Diffusion in Nanporous Materials; Wiley-VCH: Weinheim, Germany, 2012. [Google Scholar]
- Fan, W.; Snyder, M.A.; Kumar, S.; Lee, P.-S.; Yoo, W.C.; McCormick, A.V.; Penn, R.L.; Stein, A.; Tsapatsis, M. Hierarchical nanofabrication of microporouse crystals with ordered mesoporosity. Nat. Mater. 2008, 7, 984–991. [Google Scholar] [CrossRef] [PubMed]
- Choi, M.; Cho, H.S.; Srivastava, R.; Venkatesan, C.; Choi, D.H.; Ryoo, R. Amphiphilic organosilane-directed synthesis of crystalline zeolite with tunable mesoporosity. Nat. Mater. 2006, 5, 718–723. [Google Scholar] [CrossRef] [PubMed]
- Wang, G.; Pinnavaia, T.J. MFI zeolite with small and uniform intracrystal mesopores. Angew. Chem. Int. Ed. 2006, 45, 7603–7606. [Google Scholar] [CrossRef]
- Na, K.; Jo, C.; Kim, J.; Cho, K.; Jung, J.; Seo, Y.; Messinger, R.J.; Chmelka, B.F.; Ryoo, R. Directing zeolite structures into hierarchically nanoporous architectures. Science 2011, 333, 328–332. [Google Scholar] [CrossRef] [PubMed]
- Perez-Ramirez, J.; Mitchell, S.; Verboekend, D.; Milina, M.; Michels, N.L.; Krumeich, F.; Marti, N.; Erdmann, M. Expanding the horizons of hierarchical zeolites: Beyond laboratory curiosity towards industrial realization. Chem. Cat. Chem. 2011, 3, 1731–1734. [Google Scholar]
- Stejskal, E.O.; Tanner, J.E. Spin diffusion measurements—Spin echoes in presence of a time-dependent field gradient. J. Chem. Phys. 1965, 42, 288–292. [Google Scholar] [CrossRef]
- Kärger, J.; Pfeifer, H.; Heink, W. Principles and application of self-diffusion measurements by nuclear magnetic resonance. Adv. Magn. Reson. 1988, 12, 2–89. [Google Scholar]
- Kimmich, R. NMR Tomography, Diffusometry, Relaxometry; Springer: Berlin, Germay, 1997. [Google Scholar]
- Callaghan, P.T. Translational Dynamics and Magnetic Resonance; Oxford University Press: Oxford, UK, 2011. [Google Scholar]
- Kärger, J.; Caro, J. Interpretation and correlation of zeolitic diffusivities obtained from nuclear magnetic resonance and sorption experiments. J. Chem. Soc. Faraday Trans. I 1977, 73, 1363–1376. [Google Scholar] [CrossRef]
- Kärger, J. The random walk of understanding diffusion. Ind. Eng. Chem. Res. 2002, 41, 3335–3340. [Google Scholar] [CrossRef]
- Hibbe, F.; Chmelik, C.; Heinke, L.; Li, J.; Ruthven, D.M.; Tzoulaki, D.; Kärger, J. Guest microdynamics in the boundary of nanoporous solids. J. Am. Chem. Soc. 2011, 133, 2804–2807. [Google Scholar] [CrossRef] [PubMed]
- Vasenkov, S.; Böhlmann, W.; Galvosas, P.; Geier, O.; Liu, H.; Kärger, J. PFG NMR study of diffusion in MFI-type zeolites: Evidence of the existence of intracrystalline transport barriers. J. Phys. Chem. B 2001, 105, 5922–5927. [Google Scholar] [CrossRef]
- Vasenkov, S.; Kärger, J. Evidence for the existence of intracrystalline transport barriers in MFI-type zeolites: A model consistency check using MC simulations. Microporous Mesoporous Mat. 2002, 55, 139–145. [Google Scholar] [CrossRef]
- Ruthven, D.M. Fundamentals of adsorption equilibrium and kinetics in microporous solids. In Adsorption and Diffusion: Science and Technology—Molecular Sieves; Karge, H.G., Weitkamp, J., Eds.; Springer: Berlin, Germany, 2008; Volume 7, pp. 1–43. [Google Scholar]
- Fritzsche, S.; Haberlandt, R.; Kärger, J.; Pfeifer, H.; Wolfsberger, M. Molecular dynamics consideration of the mutual thermalization of guest molecules in zeolites. Chem. Phys. Lett. 1990, 171, 109–113. [Google Scholar] [CrossRef]
- Theodorou, D.N.; Snurr, R.Q.; Bell, A.T. Molecular dynamics and diffusion in microporous materials. In Comprehensive Supramolecular Chemistry; Alberti, G., Bein, T., Eds.; Pergamon: Oxford, UK, 1996; Volume 7, pp. 507–548. [Google Scholar]
- Haberlandt, R.; Fritzsche, S.; Vörtler, H.-L. Simulation of microporous systems: Confined fluids in equilibrium and diffusion in zeolites. In Handbook of Surfaces and Interfaces of Materials; Nalwa, H.S., Ed.; Academic Press: New York, NY, USA, 2001; Volume 5, pp. 357–443. [Google Scholar]
- Jobic, H.; Theodorou, D. Quasi-elastic neutron scattering and molecular dynamics simulations as complementary techniques for studying diffusion in zeolites. Microporous Mesoporous Mat. 2007, 102, 21–50. [Google Scholar] [CrossRef]
- Jobic, H. Investigation of diffusion in molecular sieves by neutron scattering techniques. In Science and Technology—Molecular Sieves; Karge, H.G., Weitkamp, J., Eds.; Adsorption and Diffusion, Springer: Berlin, Germany, 2008; Volume 7, pp. 207–233. [Google Scholar]
- Paoli, H.; Methivier, A.; Jobic, H.; Krause, C.; Pfeifer, H.; Stallmach, F.; Kärger, J. Comparative QENS and PFG NMR diffusion studies of water in zeolite NaCaA. Microporous Mesoporous Mat. 2002, 55, 147–158. [Google Scholar] [CrossRef]
- Jobic, H.; Paoli, H.; Methivier, A.; Ehlers, G.; Kärger, J.; Krause, C. Diffusion of n-hexane in 5A zeolite studied by the neutron spin-echo and pulsed-field gradient NMR techniques. Microporous Mesoporous Mat. 2003, 59, 113–121. [Google Scholar] [CrossRef]
- Snurr, R.Q.; Kärger, J. Molecular simulations and NMR measurements of binary diffusion in zeolites. J. Phys. Chem. B 1997, 101, 6469–6473. [Google Scholar] [CrossRef]
- Jost, S.; Bär, N.K.; Fritzsche, S.; Haberlandt, R.; Kärger, J. Diffusion of a mixture of methane and xenon in silicalite: A molecular dynamics study and pulsed field gradient nuclear magnetic resonance experiments. J. Phys. Chem. B 1998, 102, 6375–6381. [Google Scholar] [CrossRef]
- Kärger, J. Diffusionsuntersuchung von wasser an 13X-sowie 4A-und 5A-zeolithen mit hilfe der methode der gepulsten feldgradienten. Z. phys. Chem. Leipzig 1971, 248, 27–41. [Google Scholar]
- Pfeifer, H. Nuclear magnetic resonance and relaxation of molecules adsorbed on solids. NMR Basic Princip. Progr. 1972, 7, 53–153. [Google Scholar]
- Parravano, C.; Baldeschwieler, J.; Boudart, M. Diffusion of water in zeolites. Science 1967, 155, 1535–1536. [Google Scholar] [CrossRef] [PubMed]
- Zhdanov, S.P.; Khvostchov, S.S.; Feoktistova, N.N. Synthetic Zeolites; Gordon and Breach: New York, NY, USA, 1990. [Google Scholar]
- Kärger, J.; Pfeifer, H.; Zhdanov, S.P.; Schirmer, W. Diffusion phenomena in zeolite NaX investigated by PFG NMR. Zh. Fiz. Chim. USSR 1972, 46, 2102–2106. [Google Scholar]
- Caro, J.; Bülow, M.; Schirmer, W.; Kärger, J.; Heink, W.; Heink, H.; Pfeifer, H.; Zhdanov, S.P. Microdynamics of methane, ethane and propane in ZSM-5 type zeolites. J. Chem. Soc. Faraday Trans. I 1985, 81, 2541–2550. [Google Scholar] [CrossRef]
- Hong, U.; Kärger, J.; Hunger, B.; Feoktistova, N.N.; Zhdanov, S.P. In situ measurements of molecular diffusion during catalytic reaction by pulsed-field gradient NMR spectroscopy. J. Catal. 1992, 137, 243–251. [Google Scholar] [CrossRef]
- Slichter, C.P. Principles of Magnetic Resonance; Springer: Berlin, Germany, 1980. [Google Scholar]
- Blümich, B. Essential NMR; Springer: Berlin, Germany, 2005. [Google Scholar]
- Hahn, E.L. Spin echoes. Phys. Rev. 1950, 80, 580–594. [Google Scholar] [CrossRef]
- Kärger, J.; Heink, W. The propagator representation of molecular transport in microporous crystallites. J. Magn. Reson. 1983, 51, 1–7. [Google Scholar]
- Kärger, J.; Valiullin, R. Diffusion in porous media. In Encyclopedia of Magnetic Resonance; Harris, R.K., Wasylishen, R.E., Eds.; John Wiley: Chichester, UK, 2011. [Google Scholar]
- Kärger, J. Leipzig, Einstein, Diffusion; Leipziger Universitätsverlag: Leipzig, Germany, 2010. [Google Scholar]
- Ben-Avraham, D.; Havlin, S. Diffusion and Reaction in Fractals and Disordered Systems; University Press: Cambridge, England, 2000. [Google Scholar]
- Anomalous Transport; Klages, R.; Radons, G.; Sokolov, I.M. (Eds.) Wiley-VCH: Weinheim, Germany, 2008.
- Kärger, J. NMR self-diffusion studies in heterogeneous systems. Adv. Colloid Interface Sci. 1985, 23, 129–148. [Google Scholar] [CrossRef]
- Price, W.S. NMR Studies of Translational Motion; University Press: Cambridge, UK, 2009. [Google Scholar]
- Valiullin, R.; Kärger, J. The impact of mesopores on mass transfer in nanoporous materials: evidence of diffusion measurement by NMR. Chem. Ing. Tech. 2011, 83, 166–176. [Google Scholar] [CrossRef]
- Valiullin, R.; Kärger, J.; Cho, K.; Choi, M.; Ryoo, R. Dynamics of water diffusion in mesoporous zeolites. Micro. Mesopor. Mater. 2011, 142, 236–244. [Google Scholar] [CrossRef]
- Ruthven, D.M.; DeSisto, W.; Higgins, S. Diffusion in a mesoporous silica membrane: Validity of the Knudsen diffusion model. Chem. Eng. Sci. 2009, 64, 3201–3203. [Google Scholar] [CrossRef]
- Dvoyashkin, M.; Khokhlov, A.; Naumov, S.; Valiullin, R. Pulsed field gradient NMR study of surface diffusion in mesoporous adsorbents. Microporous Mesoporous Mat. 2009, 125, 58–62. [Google Scholar] [CrossRef]
- Valiullin, R.; Naumov, S.; Galvosas, P.; Kärger, J.; Woo, H.J.; Porcheron, F.; Monson, P.A. Exploration of molecular dynamics during transient sorption of fluids in mesoporous materials. Nature 2006, 430, 965–968. [Google Scholar] [CrossRef]
- Kärger, J. A study of fast tracer desorption in molecular sieve crystals. AICHE J. 1982, 28, 417–423. [Google Scholar] [CrossRef]
- Barrer, R.M. Zeolites and Clay Minerals as Sorbents and Molecular Sieves; Academic Press: London, UK, 1978. [Google Scholar]
- Haynes, H.W.; Sarma, P.N. A model for the application of gas chromatography to measurements of diffusion in bidisperse structured catalysts. AICHE J. 1973, 19, 1043–1046. [Google Scholar] [CrossRef]
- Hashimoto, N.; Smith, J.M. Macropore diffusion in molecular sieve pellets by chromatography. Ind. Engin. Chem. Fund. 1973, 12, 353–359. [Google Scholar] [CrossRef]
- Kocirik, M.; Zikanova, A. The analysis of the adsorption kinetics in materials with polydisperse pore structure. Ind. Engin. Chem. Fund. 1975, 13, 347–350. [Google Scholar] [CrossRef]
- Kärger, J.; Bülow, M.; Ulin, V.I.; Voloscuk, A.M.; Zolotarev, P.P.; Kocirik, M.; Zikanova, A. On the importance of dimension variation in determining the limiting step in adsorption kinetics. J. Chem. Technol. Biotechnol. 1982, 32, 376–381. [Google Scholar] [CrossRef]
- Tanner, J.E.; Stejskal, E.O. Restricted self-diffusion of protons in colloidal systems by pulsed-gradient spin-echo method. J. Chem. Phys. 1968, 49, 1768–1777. [Google Scholar] [CrossRef]
- Cotts, R.M.; Hoch, M.J.R.; Sun, T.; Markert, J.T. Pulsed field gradient stimulated echo methods for improved NMR diffusion measurements in heterogeneous systems. J. Magn. Res. 1989, 83, 252–266. [Google Scholar]
- Galvosas, P.; Stallmach, F.; Seiffert, G.; Kärger, J.; Kaess, U.; Majer, G. Generation and application of ultra-high-intensity magnetic field gradient pulses for NMR spectroscopy. J. Magn. Reson. 2001, 151, 260–268. [Google Scholar] [CrossRef]
- Stallmach, F.; Galvosas, P. Spin echo NMR diffusion studies. Ann. Rep. NMR Spectr. 2007, 61, 51–131. [Google Scholar]
- Cho, K.; Cho, H.S.; de Menorval, L.C.; Ryoo, R. Generation of mesoporosity in LTA zeolites by organosilane surfactant for rapid molecular transport in catalytic application. Chem. Mater. 2009, 21, 5664–5673. [Google Scholar] [CrossRef]
- Hüttinger, K.J.; Jung, M.F. Kinetics of the synthesis of trialkyl[-3-(trimethoxysilyl)propyl]-ammonium chlorides and their antimicrobial action as fixed biocide. Chem. Ing. Tech. 1989, 61, 258–259. [Google Scholar] [CrossRef]
- Ryoo, R.; Cho, S.; Pak, C.; Lee, J.Y. Clustering of platinum atoms into nanoscale particle and network on NaY zeolite. Catal. Lett. 1993, 20, 107–115. [Google Scholar] [CrossRef]
- Heink, W.; Kärger, J.; Pfeifer, H.; Datema, K.P.; Nowak, A.K. Self-diffusion measurements of n-alkanes in zeolite NaCaA by pulsed field gradient nuclear magnetic resonance. J. Chem. Soc. Faraday Trans. 1992, 88, 3505–3509. [Google Scholar] [CrossRef]
- Krutyeva, M.; Vasenkov, S.; Yang, X.; Caro, J.; Kärger, J. Surface barriers on nanoporous particles: A new method of their quantitation by PFG NMR. Microporous Mesoporous Mat. 2007, 104, 89–96. [Google Scholar] [CrossRef]
- Krutyeva, M.; Yang, X.; Vasenkov, S.; Kärger, J. Exploring the surface permeability of nanoporous particles by pulsed field gradinet NMR. J. Magn. Reson. 2007, 185, 300–307. [Google Scholar] [CrossRef] [PubMed]
- Tuck, C. Effective Medium Theory; Oxford University Press: Oxford, UK, 1999. [Google Scholar]
- Dudko, O.K.; Berezhkovskii, A.M.; Weiss, G.H. Diffusion in the presence of periodically spaced permeable membranes. J. Chem. Phys. 2004, 121, 11283–11288. [Google Scholar] [CrossRef] [PubMed]
- Heinke, L.; Kärger, J. Correlating diffusion and surface permeation in nanoporous host systems. Phys. Rev. Lett. 2011, 106, 74501–74504. [Google Scholar] [CrossRef]
- Mehlhorn, D.; Valiullin, R.; Kärger, J.; Cho, K.; Ryoo, R. Intracrystalline diffusion in mesoporous zeolites. Chem. Phys. Chem. 2012, 13, 1495–1499. [Google Scholar] [PubMed]
© 2012 by the authors; licensee MDPI, Basel, Switzerland. This article is an open access article distributed under the terms and conditions of the Creative Commons Attribution license (http://creativecommons.org/licenses/by/3.0/).
Share and Cite
Mehlhorn, D.; Valiullin, R.; Kärger, J.; Cho, K.; Ryoo, R. Exploring Mass Transfer in Mesoporous Zeolites by NMR Diffusometry. Materials 2012, 5, 699-720. https://doi.org/10.3390/ma5040699
Mehlhorn D, Valiullin R, Kärger J, Cho K, Ryoo R. Exploring Mass Transfer in Mesoporous Zeolites by NMR Diffusometry. Materials. 2012; 5(4):699-720. https://doi.org/10.3390/ma5040699
Chicago/Turabian StyleMehlhorn, Dirk, Rustem Valiullin, Jörg Kärger, Kanghee Cho, and Ryong Ryoo. 2012. "Exploring Mass Transfer in Mesoporous Zeolites by NMR Diffusometry" Materials 5, no. 4: 699-720. https://doi.org/10.3390/ma5040699
APA StyleMehlhorn, D., Valiullin, R., Kärger, J., Cho, K., & Ryoo, R. (2012). Exploring Mass Transfer in Mesoporous Zeolites by NMR Diffusometry. Materials, 5(4), 699-720. https://doi.org/10.3390/ma5040699
