Electrical and Optical Properties Depending on the Substitution Position of a Novel Indolocarbazole Dimer
Abstract
1. Introduction
2. Materials and Methods
2.1. Materials and Instrumentation
2.2. Synthesis and Characterization
2.2.1. Synthesis of 9-(2,6-Dibromophenyl)-9H-carbazole, (1)
2.2.2. Synthesis of 7,7′-Biindolo[3,2,1-jk]carbazole (ICzDO)
2.2.3. Synthesis of 9-(2,3-Dibromophenyl)-9H-carbazole, (2)
2.2.4. Synthesis of 4,4′-Biindolo[3,2,1-jk]carbazole (ICzDM)
3. Results and Discussion
3.1. Molecular Design, Synthesis, and Characterization
3.2. Photophysical Properties
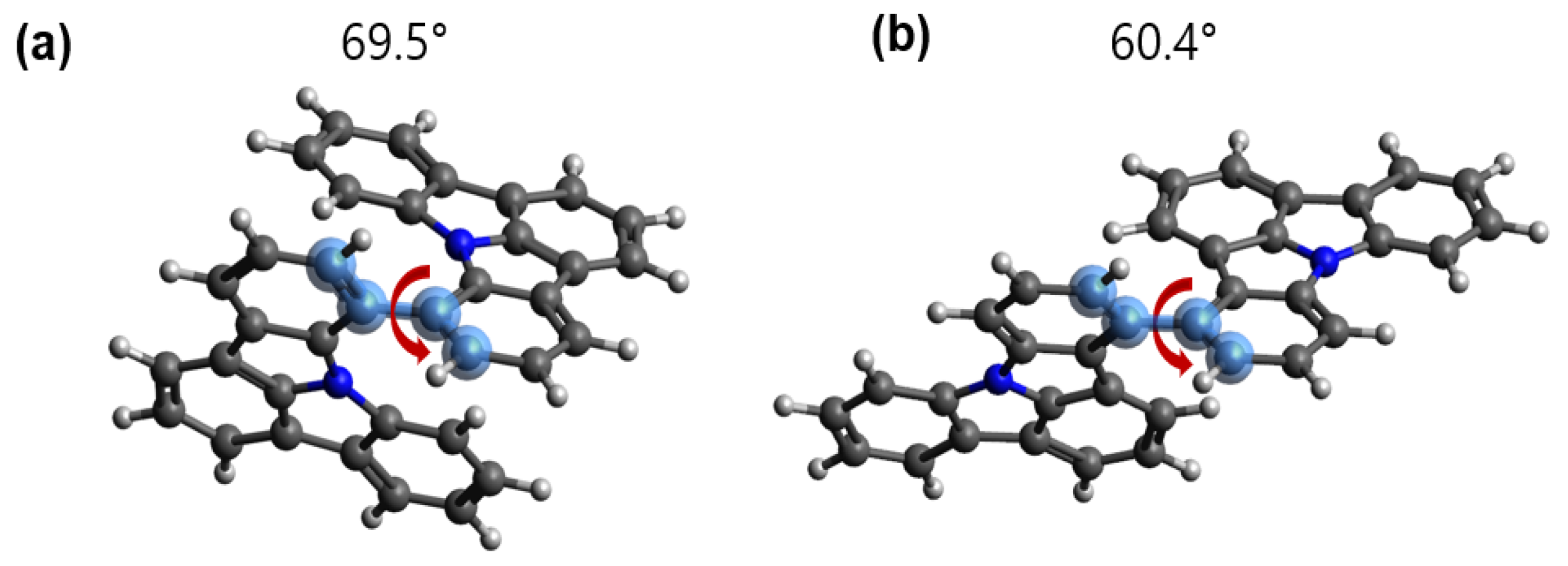
3.3. Theoretical Calculation
3.4. Thermal Properties and Morphology
3.5. Electroluminescence Properties
4. Conclusions
Supplementary Materials
Author Contributions
Funding
Institutional Review Board Statement
Informed Consent Statement
Data Availability Statement
Conflicts of Interest
References
- Choi, K.H.; Kim, J.M.; Chung, W.J.; Lee, J.Y. Effects of Substitution Position of Carbazole-Dibenzofuran Based High Triplet Energy Hosts to Device Stability of Blue Phosphorescent Organic Light-Emitting Diodes. Molecules 2021, 26, 2804. [Google Scholar] [CrossRef] [PubMed]
- Dobrikov, G.M.; Nikolova, Y.; Slavchev, I.; Dangalov, M.; Deneva, V.; Antonov, L.; Vassilev, N.G. Structure and Conformational Mobility of OLED-Relevant 1,3,5-Triazine Derivatives. Molecules 2023, 28, 1248. [Google Scholar] [CrossRef] [PubMed]
- Zhuo, H.; Zhang, M.; Zhang, H.; Lin, H.; Yang, G.; Tao, S.; Zheng, C.; Zhang, X. Modified triphenylamine donors with shallower HOMO energy levels to construct long-wavelength TADF emitters of efficient organic light-emitting diodes. Chin. Chem. Lett. 2025, 36, 110760. [Google Scholar] [CrossRef]
- Burroughes, J.H.; Bradley, D.D.C.; Brown, A.R.; Marks, R.N.; Mackay, K.; Friend, R.H.; Burns, P.L.; Holmes, A.B. Light-emitting diodes based on conjugated polymers. Nature 1990, 347, 539–541. [Google Scholar] [CrossRef]
- Wakim, S.; Blouin, N.; Gingras, E.; Tao, Y.; Leclerc, M. Poly(2,7-carbazole) Derivatives as Semiconductors for Organic Thin-Film Transistors. Macromol. Rapid Commun. 2007, 28, 1798–1803. [Google Scholar] [CrossRef]
- Lin, C.-Y.; Jiang, B.-H.; Weng, P.-J.; Hsuan Lin, Y.; Su, Y.-W.; Shih, H.-S.; Shi, Z.-E.; Lin, Y.-R.; Vailassery, J.; Sun, S.-S.; et al. Enhancing open-circuit voltage and suppression of energy loss in ternary organic photovoltaics utilizing carbazole/bicarbazole-based guest donors. Chem. Eng. J. 2024, 494, 153183. [Google Scholar] [CrossRef]
- Patil, V.V.; Hong, W.P.; Lee, J.Y. Indolocarbazole Derivatives for Highly Efficient Organic Light-Emitting Diodes. Adv. Energy Mater. 2025, 15, 2400258. [Google Scholar] [CrossRef]
- Oner, S.; Bryce, M.R. A review of fused-ring carbazole derivatives as emitter and/or host materials in organic light emitting diode (OLED) applications. Mater. Chem. Front. 2023, 7, 4304–4338. [Google Scholar] [CrossRef]
- Hong, J.; Joo, C.W.; Sung, B.; Lee, J.; Hyeon, Y.j.; Kim, D.; Park, H.; Kim, J.; Lee, J.; Kim, Y.-H. Synthesis and characterization of bipolar host materials based on indolocarbazole derivatives for green phosphorescent organic light-emitting diodes. Synth. Met. 2025, 311, 117845. [Google Scholar] [CrossRef]
- Sung, B.; Lee, S.; Joo, C.W.; Woo, S.; Kim, D.; Lee, J.; Kim, Y.-H. Synthesis and characterization of a novel thermally stable silane-based host material for blue phosphorescent organic light-emitting diodes. Dye. Pigment. 2023, 219, 111622. [Google Scholar] [CrossRef]
- Hiraga, Y.; Kuwahara, R.; Hatta, T. Novel indolo[3,2,1-jk]carbazole-based bipolar host material for highly efficient thermally activated delayed-fluorescence organic light-emitting diodes. Tetrahedron 2021, 94, 132317. [Google Scholar] [CrossRef]
- Li, X.; Yuan, P.; Song, J.; Chang, Y.; Jiao, X.; Zhao, J.; Zhang, C.; Li, W.; Hang, X.-C. Multi-Resonant Indolo[3,2,1-jk]carbazole-Based Host for Blue Phosphorescent Organic Light-Emitting Diodes. Molecules 2023, 28, 5118. [Google Scholar] [CrossRef] [PubMed]
- Hong, Y.; Lam, J.W.; Tang, B.Z. Aggregation-induced emission: Phenomenon, mechanism and applications. Chem. Commun. 2009, 4332–4353. [Google Scholar] [CrossRef] [PubMed]
- Zhao, Z.; Chen, S.; Lam, J.W.Y.; Wang, Z.; Lu, P.; Mahtab, F.; Sung, H.H.Y.; Williams, I.D.; Ma, Y.; Kwok, H.S.; et al. Pyrene-substituted ethenes: Aggregation-enhanced excimer emission and highly efficient electroluminescence. J. Mater. Chem. 2011, 21, 7210–7216. [Google Scholar] [CrossRef]
- Neese, F.; Wennmohs, F.; Becker, U.; Riplinger, C. The ORCA quantum chemistry program package. J. Chem. Phys 2020, 152, 224108. [Google Scholar] [CrossRef]
- Im, Y.; Han, S.H.; Lee, J.Y. Bipolar type indolocarbazole host for green phosphorescent organic light-emitting diodes. J. Ind. Eng. Chem. 2018, 66, 381–386. [Google Scholar] [CrossRef]
- Dos Santos, P.L.; de Sa Pereira, D.; Oh, C.S.; Kukhta, N.; Lee, H.L.; Lee, J.Y.; Monkman, A.P. Influence of Multiple rISC Channels on the Maximum Efficiency and Roll-Off of TADF OLEDs. J. Phy. Chem. C. 2024, 128, 16308–16319. [Google Scholar] [CrossRef]
- Ahmed, S.A.; Abdel-Wahab, A.-M.A.; Dürr, H. Steric substituent effects of new photochromic tetrahydroindolizines leading to tunable photophysical behavior of the colored betaines. J. Photochem. Photobiol. A Chem. 2003, 154, 131–144. [Google Scholar] [CrossRef]
- Guram, A.S.; Buchwald, S.L. Palladium-Catalyzed Aromatic Aminations with in situ Generated Aminostannanes. J. Am. Chem. Soc. 1994, 116, 7901–7902. [Google Scholar] [CrossRef]
- Paul, F.; Patt, J.; Hartwig, J.F. Palladium-catalyzed formation of carbon-nitrogen bonds. Reaction intermediates and catalyst improvements in the hetero cross-coupling of aryl halides and tin amides. J. Am. Chem. Soc. 1994, 116, 5969–5970. [Google Scholar] [CrossRef]
- Hegedus, L.S.; Allen, G.F.; Waterman, E.L. Palladium assisted intramolecular amination of olefins. A new synthesis of indoles. J. Am. Chem. Soc. 1976, 98, 2674–2676. [Google Scholar] [CrossRef]
- Fang, S.; Jiang, H.; Wu, W. Palladium-Catalyzed Tandem Cyclization Strategy for the Assembly of 3-Halo-1,2,5-triarylpyrroles from N-Alkylanilines and Haloalkynes. Chin. J. Chem. 2022, 41, 181–187. [Google Scholar] [CrossRef]
- Cho, S.H.; Kim, J.Y.; Kwak, J.; Chang, S. Recent advances in the transition metal-catalyzed twofold oxidative C-H bond activation strategy for C-C and C-N bond formation. Chem Soc Rev 2011, 40, 5068–5083. [Google Scholar] [CrossRef] [PubMed]
- Chaudhary, A.; Khurana, J.M. Synthetic routes for phenazines: An overview. Res. Chem. Intermed. 2018, 44, 1045–1083. [Google Scholar] [CrossRef]
- Kim, M.; You, D.k.; Choi, J.; Kim, D.; Lee, K.M. White emission from cascade energy-transfer via multiple luminescence in structural controlled single-molecules: Ortho-Carboranyl-Substituted Indolo[3,2,1-jk]carbazole. Dye. Pigment. 2024, 224, 112036. [Google Scholar] [CrossRef]
- Chandra Patra, B.; Wan, R.; Moore, C.E.; Wu, Y. Impact of Dihedral Angle in Conjugated Organic Cation on the Structures and Properties of Organic-Inorganic Lead Iodides. Chemistry 2025, 31, e202402535. [Google Scholar] [CrossRef]
- Kautny, P.; Wu, Z.; Eichelter, J.; Horkel, E.; Stöger, B.; Chen, J.; Ma, D.; Fröhlich, J.; Lumpi, D. Indolo[3,2,1-jk]carbazole based planarized CBP derivatives as host materials for PhOLEDs with low efficiency roll-off. Org. Electron. 2016, 34, 237–245. [Google Scholar] [CrossRef]
- Mei, J.; Leung, N.L.C.; Kwok, R.T.K.; Lam, J.W.Y.; Tang, B.Z. Aggregation-Induced Emission: Together We Shine, United We Soar! Chem. Rev. 2015, 115, 11718–11940. [Google Scholar] [CrossRef]
- Lee, J.; Kim, B.; Kwon, J.E.; Kim, J.; Yokoyama, D.; Suzuki, K.; Nishimura, H.; Wakamiya, A.; Park, S.Y.; Park, J. Excimer formation in organic emitter films associated with a molecular orientation promoted by steric hindrance. Chem. Commun. 2014, 50, 14145–14148. [Google Scholar] [CrossRef]
- Tong, D.; Duan, H.; Wang, J.; Yang, Z.; Lin, Y. Aggregation-enhanced excimer emission (AEEE) based on pyrenylchalcone and 2-to-4 molecular decoder by biothiols and polyanions in aqueous media. Sens. Actuators B Chem. 2014, 195, 80–84. [Google Scholar] [CrossRef]
- Hussain, E.; Niu, N.; Zhou, H.; Shahzad, S.A.; Yu, C. Aggregation enhanced excimer emission (AEEE) of benzo[ghi]perylene and coronene: Multimode probes for facile monitoring and direct visualization of micelle transition. Analyst 2018, 143, 4283–4289. [Google Scholar] [CrossRef] [PubMed]
- Mujamammi, W.M.; Prasad, S.; Saleh AlSalhi, M.; Masilamani, V. Time Evolution of the Excimer State of a Conjugated Polymer Laser. Polymers 2017, 9, 648. [Google Scholar] [CrossRef] [PubMed]
- Ranjan Gartia, M.; Eichorst, J.P.; Clegg, R.M.; Logan Liu, G. Lifetime imaging of radiative and non-radiative fluorescence decays on nanoplasmonic surface. Appl. Phys. Lett. 2012, 101, 023118. [Google Scholar] [CrossRef]
- Wu, J.; Song, S.; Qi, X.; Yang, H.; Wang, Y. Insight into melting point differences of dinitroimidazoles and dinitropyrazoles from the perspective of intermolecular interactions. Phys. Chem. Chem. Phys. 2024, 26, 4752–4758. [Google Scholar] [CrossRef]
- Hu, S.; Zeng, J.; Zhu, X.; Guo, J.; Chen, S.; Zhao, Z.; Tang, B.Z. Universal Bipolar Host Materials for Blue, Green, and Red Phosphorescent OLEDs with Excellent Efficiencies and Small-Efficiency Roll-Off. ACS Appl. Mater. Interfaces 2019, 11, 27134–27144. [Google Scholar] [CrossRef]
- Jatautiene, E.; Simokaitiene, J.; Sych, G.; Volyniuk, D.; Ivaniuk, K.; Stakhira, P.; Fitio, V.; Petrovska, H.; Savaryn, V.; Nastishin, Y.; et al. Adjustment of electronic and emissive properties of indolocarbazoles for non-doped OLEDs and cholesteric liquid crystal lasers. Appl. Mater. Today 2021, 24, 101121. [Google Scholar] [CrossRef]
- You, X.-X.; Gao, J.; Duan, Y.-C.; Geng, Y.; Zhang, M.; Zhao, L.; Su, Z.-M. A theoretical analysis on the electron and energy transfer between host and guest materials in phosphor–doped OLED. J. Photochem. Photobiol. A Chem. 2022, 432, 114058. [Google Scholar] [CrossRef]












| Solution a | Film b | ||||||||||||
|---|---|---|---|---|---|---|---|---|---|---|---|---|---|
| λabs (nm) | λPL (nm) | FWHM (nm) | λabs (nm) | λPL (nm) | FWHM (nm) | фPL c (%) | τF d (ns) | krad e (107/s) | knr e (107/s) | HOMO f (eV) | LUMO (eV) | Band Gap (eV) | |
| ICzDO | 366 | 379 | 28 | 372 | 507 | 87 | 26.2/80.0 | 23.3 | 3.43 | 0.86 | −5.70 | −2.27 | 3.43 |
| ICzDM | 371 | 391 | 26 | 379 | 428 | 50 | 48.7/35.3 | 4.13 | 8.58 | 15.6 | −5.78 | −2.70 | 3.08 |
| Voltage (V) | CE (cd/A) | PE (lm/W) | EQE (%) | CIE (x,y) | ELmax (nm) | FWHM (nm) | |
|---|---|---|---|---|---|---|---|
| ICzDO | 7.50 | 4.51 | 1.89 | 2.09 | (0.209, 0.332) | 492 | 100 |
| ICzDM | 6.50 | 1.51 | 0.68 | 1.93 | (0.153, 0.092) | 429 | 70 |
| Voltage (V) | CE (cd/A) | PE (lm/W) | EQE (%) | CIE (x,y) | ELmax (nm) | FWHM (nm) | |
|---|---|---|---|---|---|---|---|
| ICzDO | 4.25 | 6.17 | 4.28 | 9.00 | (0.685, 0.314) | 629 | 84 |
| ICzDM | 4.70 | 9.34 | 6.29 | 13.5 | (0.684, 0.315) | 628 | 84 |
Disclaimer/Publisher’s Note: The statements, opinions and data contained in all publications are solely those of the individual author(s) and contributor(s) and not of MDPI and/or the editor(s). MDPI and/or the editor(s) disclaim responsibility for any injury to people or property resulting from any ideas, methods, instructions or products referred to in the content. |
© 2025 by the authors. Licensee MDPI, Basel, Switzerland. This article is an open access article distributed under the terms and conditions of the Creative Commons Attribution (CC BY) license (https://creativecommons.org/licenses/by/4.0/).
Share and Cite
Kim, J.; Jeong, S.; Park, S.; Oh, S.; Lee, K.; Lee, S.; Lee, J.; Lee, H.; Park, J. Electrical and Optical Properties Depending on the Substitution Position of a Novel Indolocarbazole Dimer. Materials 2025, 18, 2058. https://doi.org/10.3390/ma18092058
Kim J, Jeong S, Park S, Oh S, Lee K, Lee S, Lee J, Lee H, Park J. Electrical and Optical Properties Depending on the Substitution Position of a Novel Indolocarbazole Dimer. Materials. 2025; 18(9):2058. https://doi.org/10.3390/ma18092058
Chicago/Turabian StyleKim, Jiyun, Suhyeon Jeong, Sangwook Park, Saeyoung Oh, Kiho Lee, Soonhang Lee, Jihoon Lee, Hayoon Lee, and Jongwook Park. 2025. "Electrical and Optical Properties Depending on the Substitution Position of a Novel Indolocarbazole Dimer" Materials 18, no. 9: 2058. https://doi.org/10.3390/ma18092058
APA StyleKim, J., Jeong, S., Park, S., Oh, S., Lee, K., Lee, S., Lee, J., Lee, H., & Park, J. (2025). Electrical and Optical Properties Depending on the Substitution Position of a Novel Indolocarbazole Dimer. Materials, 18(9), 2058. https://doi.org/10.3390/ma18092058

