Determination of Constraint-Independent Crack Tip Opening Angle for Stable Crack Growth in High-Strength Ductile Steels
Abstract
1. Introduction
2. CTOA Standard Test Methods
2.1. CTOA Definition
2.2. CTOA Standard Test Method—ASTM E2472
2.3. CTOA Standard Test Method—ASTM E3039
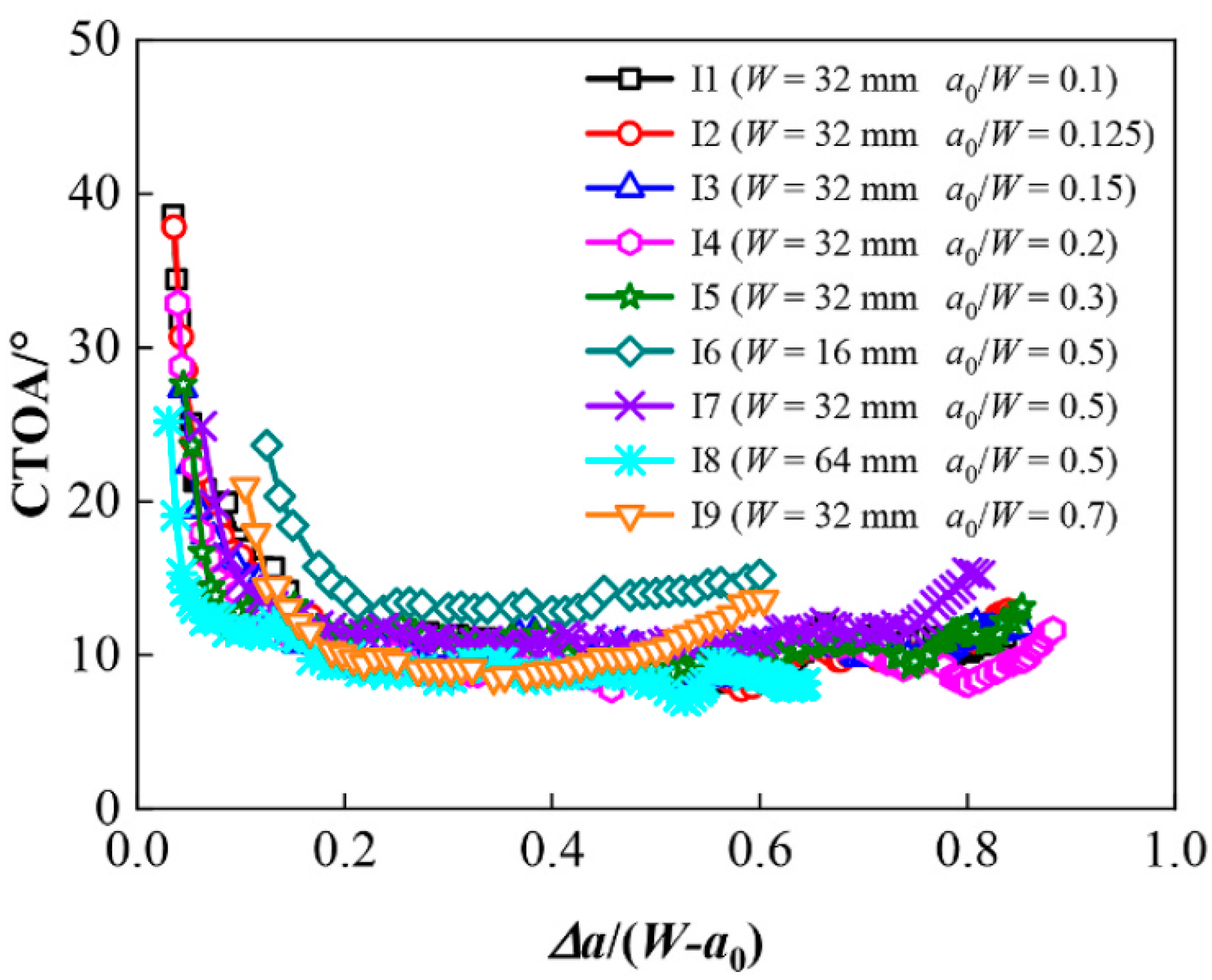
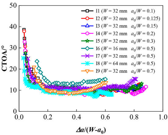
2.4. Constant CTOA Simulation
3. CTOA Estimation Models for SENB Specimens
3.1. CTOA Estimation from Load–Displacement Data
- Model 1: P-LLD linear fit model
- Model 2: Ln(P)-LLD linear fit model
- Model 3: Ln(P)-LLD exponential fit model
3.2. J-Differential Estimation Method—Model 4
3.3. Comparisons of Four CTOA Models
4. Fracture Resistance Testing Using SENB Specimens
4.1. Fracture Resistance Testing for X80 Pipeline Steel
4.2. Fracture Resistance Testing of HY80
5. Determination of Constant CTOA for HY80
5.1. Determination of λ Parameter
5.2. CTOA for HY80 SENB with ao/W = 0.606
5.3. CTOA for HY80 SENB with ao/W = 0.549
5.4. CTOA for HY80 SENB with ao/W = 0.393
5.5. CTOA for HY80 SENB with ao/W = 0.286
5.6. Constraint Independence of Critical CTOA
6. Conclusions
- (1)
- The Ln(P)-LLD linear fit model determined a constant critical CTOA associated with stable crack growth. The P-LLD linear fit model determined a linearly decreasing CTOA, and the Ln(P)-LLD exponential fit model determined a nearly constant CTOA associated with stable crack growth. On average, these load–displacement-based models determined comparable CTOA values associated with stable crack growth;
- (2)
- Using experimental J-R curve data and a power law curve fit, the J-differential model determined a nearly constant critical CTOA value associated with stable crack growth. This CTOA value was comparable to those determined from the three-displacement based models. Note that the J-R curves for HY80 steel strongly depended on the constraint levels at the crack tip, whereas its critical CTOA value was essentially independent of the crack-tip constraint levels associated with stable crack growth. Therefore, J-R curves are usually used to characterize ductile crack initiation and small stable crack tearing in ductile materials, and the constant critical CTOA is the best fracture parameter to use for describing large stable crack growth for high-strength ductile steels;
- (3)
- The results showed the Ln(P)-LLD linear fit model to be comparable to the CTOA model recommended by ASTM E3039 and determined a constant critical CTOA associated with the stable crack growth in all cracks in the SENB specimens. The other three CTOA models also determined comparable constant critical CTOAs associated with stable crack growth;
- (4)
- X80 and HY80 are both high-strength steels with a similar yield strength of 80 ksi (552 MPa), but they have significantly different fracture toughness values. For X80, fracture toughness JIc = 400 kJ/m2 and the critical CTOA = 10°. For HY 80, fracture toughness JIc = 200 kJ/m2 and the critical CTOA = 3.35°;
- (5)
- The results demonstrated that the constant critical CTOA determined using HY80 SENB specimens was independent of crack size or constraint level at the crack tip. This implies that the CTOA measured by ASTM E3039 is constraint-independent and thus supports the transferability of CTOA measurement by ASTM E3039 to actual crack assessment. Therefore, the CTOA is a single, reliable, constant measurement of fracture toughness regardless of fracture specimen geometry or constraint level at the crack tip. As a result, the CTOA fracture criterion allows accurate prediction of crack propagation or arrest in complex structures, which can improve design analysis and enhance robust characterization of materials.
Funding
Institutional Review Board Statement
Informed Consent Statement
Data Availability Statement
Acknowledgments
Conflicts of Interest
References
- Rice, J.R. A path independent integral and the approximate analysis of strain concentration by notches and cracks. J. Appl. Mech. 1968, 35, 379–386. [Google Scholar] [CrossRef]
- Wells, A.A. Application of fracture mechanics at and beyond general yielding. Br. Weld. J. 1963, 10, 563–570. [Google Scholar]
- Anderson, H. A finite element representation of stable crack growth. J. Mech. Phys. Solids 1973, 21, 337–356. [Google Scholar] [CrossRef]
- Zhu, X.-K.; Joyce, J.A. Review of fracture toughness (G, K, J, CTOD, CTOA) testing and standardization. Eng. Fract. Mech. 2012, 85, 1–46. [Google Scholar] [CrossRef]
- ASTM E399-22; Standard Test Method for Linear-Elastic Plane-Strain Fracture Toughness of Metallic Materials. American Society of Testing and Materials International: West Conshohocken, PA, USA, 2022.
- ASTM E1820-22; Standard Test Method for Measurement of Fracture Toughness. American Society of Testing and Materials International: West Conshohocken, PA, USA, 2022.
- Zhu, X.-K. Review of fracture toughness test methods for ductile materials in low-constraint conditions. Int. J. Press. Vessel. Pip. 2016, 139–140, 173–183. [Google Scholar] [CrossRef]
- Li, J.; Yu, P.; Saini, N.; Li, L. Crack-tip opening displacement of girth welds in a lean X70 pipeline steel. Materials 2024, 17, 391. [Google Scholar] [CrossRef]
- Ju, J.-B.; Kim, W.; Jang, J. Variation in DBTT and CTOD within weld heat-affected zone of API X65 pipeline steel. Mater. Sci. Eng. A 2012, 546, 258–262. [Google Scholar] [CrossRef]
- Newman, J.C.; James, M.A.; Zerbst, U. A review of the CTOA/CTOD fracture criterion. Eng. Fract. Mech. 2003, 70, 371–385. [Google Scholar] [CrossRef]
- ASTM E2472-12e1; Standard Test Method for Determination of Resistance to Stable Crack Extension under Low-Constraint Conditions. American Society of Testing and Materials International: West Conshohocken, PA, USA, 2018.
- Chao, Y.J.; Sutton, M.A. Accurate measurement of two- and three-dimensional surface deformations for fracture specimens by computer vision. In Experimental Techniques in Fracture; Epstein, J.S., Ed.; VCH Publisher: New York, NY, USA, 1993; pp. 59–94. [Google Scholar]
- Darcis, P.P.; McCowan, C.N.; Windhoff, H.; McCloskey, J.D.; Siewer, T.A. Crack tip opening angle optical measurement methods in five pipeline steels. Eng. Fract. Mech. 2008, 75, 2453–2468. [Google Scholar] [CrossRef]
- Horsley, D.J. Background to the use of CTOA for prediction of dynamic ductile fracture arrest in pipelines. Eng. Fract. Mech. 2003, 70, 547–552. [Google Scholar] [CrossRef]
- Zhu, X.-K. State-of-the-art review of fracture control technology for modern and vintage gas transmission pipelines. Eng. Fract. Mech. 2015, 148, 260–280. [Google Scholar] [CrossRef]
- Tyson, W.R.; Newman, J.C.; Xu, S. Characterization of stable ductile crack propagation by CTOA: Review of theory and applications. Fatigue Fract. Eng. Mater. Struct. 2018, 41, 2421–2437. [Google Scholar] [CrossRef]
- Ben Amara, M.; Pluvinage, G.; Cappelle, J.; Azari, Z. New numerical tools to calibrate the two curves method using the CTOA rciterion. Eng. Fract. Mech. 2019, 205, 532–546. [Google Scholar] [CrossRef]
- Xu, S.; Bassindale, C.; Xue, J.; Williams, B.W.; Wang, X. Recent progress in development of ductile fracture arrest methodology based on CTOA: Test standard, transferability and methodology. In Proceedings of the 13th International Pipeline Conference, Virtual, 29–30 September 2020. [Google Scholar]
- Zhen, Y.; Zu, Y.; Cao, Y.; Niu, R. Effect of accurate prediction of real-time crack tip position on dynamic crack behaviors in gas pipeline. J. Nat. Gas Sci. Eng. 2021, 94, 104136. [Google Scholar] [CrossRef]
- Bassindale, C.; Wang, X.; Tyson, W.R.; Xu, S.; Guan, C.; Rothwell, B. Analysis of full-scale burst test by FE Modelling using constant CTOA fracture criterion. J. Pipeline Sci. Eng. 2022, 2, 52–59. [Google Scholar] [CrossRef]
- Xu, S.; Eagleson, R.; Tyson, W.R.; Park, D.-Y. Cracking tunnelling and crack tip opening angle in drop-weight tear test specimens. Int. J. Fract. 2011, 172, 105–112. [Google Scholar] [CrossRef]
- Xu, S.; Simha, C.H.M.; William, B.W.; Tyson, W.R. CTOA testing of thick DWTT specimens: Experiment and FEA simulation for development of an Annex for ASTM E3039. J. Test. Eval. 2020, 48, 4220–4229. [Google Scholar] [CrossRef]
- Martinelli, A.; Venzi, S. Tearing modulus, J-integral, CTOA and crack profile shape obtained from the load-displacement curve only. Eng. Fract. Mech. 1996, 153, 263–277. [Google Scholar] [CrossRef]
- Xu, S.; Bouchard, R.; Tyson, W.R. Simplified single-specimen method for evaluating CTOA. Eng. Fract. Mech. 2007, 74, 2459–2464. [Google Scholar] [CrossRef]
- ASTM E3039-20; Standard Test Method for Determination of Crack Tip Opening Angle of Pipe Steels Using DWTT Specimens. American Society of Testing and Materials International: West Conshohocken, PA, USA, 2020.
- Parmar, S.; Bassindale, C.; Wang, X.; Tyson, W.R.; Xu, S. Simulation of ductile fracture in pipeline steels under varying constraint conditions using cohesive zone modeling. Int. J. Press. Vessels Pip. 2018, 162, 86–97. [Google Scholar] [CrossRef]
- Zhen, Y.; Liu, Y.; Cao, Y.; Niu, R. Study on crack tip opening angle evolutions during dynamic crack propagation of pipelines. Fatigue Fract. Eng. Mater. Struct. 2023, 46, 1969–1978. [Google Scholar] [CrossRef]
- Jiao, J.; Gervasyev, A.; Barbaro, F.; Lu, C.; Rolfe, B.; Weiss, M. Omega and CTOA for dynamic steady-state fracture propagation and their dependency for fracture speed. Theor. Appl. Fract. Mech. 2023, 127, 104072. [Google Scholar] [CrossRef]
- Xu, S.; Bassindale, C.; Wang, X.; Tyson, W.R. Characterization of CTOA for resistance to pipeline ductile fracture propagation. J. Pipeline Sci. Eng. 2025, 100263. [Google Scholar] [CrossRef]
- Paermentier, B.; Cooreman, S.; Verleysen, P.; Chandran, S.; Coppieters, S.; Talemi, R. A dynamic tensile tear test methodology to characterize dynamic fracture behaviour of modern high-grade pipeline steels. Eng. Fract. Mech. 2022, 272, 108687. [Google Scholar] [CrossRef]
- Shibanuma, K.; Hosoe, T.; Yamaguchi, H.; Tsukamoto, M.; Suzuki, K.; Aihara, S. Crack tip opening angle during unstable ductile crack propagation of a high pressure gas pipeline. Eng. Fract. Mech. 2018, 204, 434–453. [Google Scholar] [CrossRef]
- Xu, S.; Bassindale, C.; Williams, B.W.; Wang, X.; Tyson, W.R.; Shibanuma, K. Comments on CTOA transferability in Crack tip opening angle during unstable ductile crack propagation of a high pressure gas pipeline” [204 (2018) 434-453]. Eng. Fract. Mech. 2019, 214, 335–338. [Google Scholar] [CrossRef]
- Sun, D.; Chen, Y.; Chao, H.; Jiang, J.; Li, H.; Li, Q. A dynamic fracture finite element model of the buried gas transmission pipeline combing soil constraints and gas decomposition. Eng. Fract. Mech. 2022, 276, 108864. [Google Scholar] [CrossRef]
- Zhen, Y.; Chang, Q.; Cao, Y.; Li, F.; Wu, G. A two-curve model for crack arrest prediction for high-grade pipeline based on crack tip opening angle. Eng. Fract. Mech. 2022, 217, 108626. [Google Scholar] [CrossRef]
- Xu, S.; Tyson, W.R.; Eagleson, R. Measurement of CTOA of pipeline steels using MDCB and DWTT specimens. In Proceedings of the 8th International Pipeline Conference, Calgary, AB, Canada, 27 September–1 October 2010. [Google Scholar]
- Gullerud, A.S.; Dodds, R.H.; Hampton, R.W.; Dawicke, D.S. Three-dimensional modeling of ductile crack growth in thin sheet metals: Computational aspects and validation. Eng. Fract. Mech. 1999, 63, 347–374. [Google Scholar] [CrossRef]
- Shuai, J.; Tu, S.; Wang, J.; Ren, X.; He, J.; Zhang, Z. Determination critical CTOD for energy-load curves with DWTT specimen. Eng. Fract. Mech. 2017, 186, 47–58. [Google Scholar] [CrossRef]
- Zhu, X.-K.; Lam, P.-S.; Chao, Y.J. Constraint-dependent CTOA determination for stable ductile crack growth. Eng. Fract. Mech. 2022, 271, 108651. [Google Scholar] [CrossRef]
- BS 7448-1; Fracture Mechanics Toughness Tests—Part 1: Method for Determination of KIC, Critical CTOD, and Critical J Values of Metallic Materials. British Standards Institution: London, UK, 1991.
- Zhu, X.-K. Improved Incremental J-Integration Equations for Determining Crack Growth Resistance Curves. J. Press. Vessel Technol. 2012, 134, 051404. [Google Scholar] [CrossRef]
- Lam, P.S.; Chao, Y.J.; Zhu, X.K.; Kim, Y.; Sindelar, R.L. Determination of constraint-modified J-R curves for carbon steel tanks. J. Press. Vessel Technol. 2003, 125, 136–143. [Google Scholar] [CrossRef]
- Zhu, X.-K. Determination of constraint-independent critical crack tip opening angle during stable crack growth for ductile steels. Mater. Perform. Charact. 2024, 13, MPC20230087. [Google Scholar]
- Lu, L.; Wang, S. Relationship between crack growth resistance curves and critical CTOA. Eng. Fract. Mech. 2017, 173, 146–156. [Google Scholar] [CrossRef]
- Lu, L.; Wang, S. A simple model to explain transferability of crack tip opening angle. Eng. Fract. Mech. 2018, 193, 197–213. [Google Scholar] [CrossRef]
- Shen, G.; Tyson, W.R.; Glover, A.; Horsley, D. Constraint effects on linepipe toughness. In Proceedings of the 4th International Conference on Pipeline Technology, Ostend, Belgium, 9–13 May 2004; Volume 2, pp. 703–720. [Google Scholar]
- Zhen, Y.; Jiao, Z.; Cao, Y.; Niu, R. Unified correlation of constraints with crack arrest toughness for high-grade pipeline steel. Int. J. Press. Vessels Pip. 2021, 193, 104454. [Google Scholar] [CrossRef]
- ABAQUS Explicit—Version 2020, Analysis User’s Manual; Dassault System Simulia Corporation: Providence, RI, USA, 2020.
- Gurson, A.L. Continuum theory of ductile rupture by void nucleation and growth: Part I—Yield criterion and flow rules for porous ductile media. J. Eng. Mater. Technol. 1977, 99, 2–15. [Google Scholar] [CrossRef]
- Tvergaard, V.; Needleman, A. Analysis of the cup-cone fracture in a round tensile bar. Acta Metallurgica 1984, 32, 157–169. [Google Scholar] [CrossRef]
- Joyce, J.A.; Link, R.E. Application of Two Parameter Elastic-Plastic Fracture Mechanics to Analysis of Structures. Eng. Fract. Mech. 1997, 57, 431–446. [Google Scholar] [CrossRef]
- Bogdan, S.; Radoslaw, K. Material properties of HY80 Steel after 55 years of operation for FEM applications. Materials 2021, 14, 4213. [Google Scholar] [CrossRef] [PubMed]
- Zhu, X.-K.; Joyce, J.A. J-Resistance curve of HY80 steel using SE(B) specimens and normalization Method. Eng. Fract. Mech. 2007, 74, 2263–2281. [Google Scholar] [CrossRef]














Disclaimer/Publisher’s Note: The statements, opinions and data contained in all publications are solely those of the individual author(s) and contributor(s) and not of MDPI and/or the editor(s). MDPI and/or the editor(s) disclaim responsibility for any injury to people or property resulting from any ideas, methods, instructions or products referred to in the content. |
© 2025 by the author. Licensee MDPI, Basel, Switzerland. This article is an open access article distributed under the terms and conditions of the Creative Commons Attribution (CC BY) license (https://creativecommons.org/licenses/by/4.0/).
Share and Cite
Zhu, X.-K. Determination of Constraint-Independent Crack Tip Opening Angle for Stable Crack Growth in High-Strength Ductile Steels. Materials 2025, 18, 1051. https://doi.org/10.3390/ma18051051
Zhu X-K. Determination of Constraint-Independent Crack Tip Opening Angle for Stable Crack Growth in High-Strength Ductile Steels. Materials. 2025; 18(5):1051. https://doi.org/10.3390/ma18051051
Chicago/Turabian StyleZhu, Xian-Kui. 2025. "Determination of Constraint-Independent Crack Tip Opening Angle for Stable Crack Growth in High-Strength Ductile Steels" Materials 18, no. 5: 1051. https://doi.org/10.3390/ma18051051
APA StyleZhu, X.-K. (2025). Determination of Constraint-Independent Crack Tip Opening Angle for Stable Crack Growth in High-Strength Ductile Steels. Materials, 18(5), 1051. https://doi.org/10.3390/ma18051051
