Ultralow Temperature Sintering of High-Performance Sm-Doped Pb(Zr,Ti)O3-Based Piezoelectric Ceramics
Abstract
1. Introduction
2. Materials and Methods
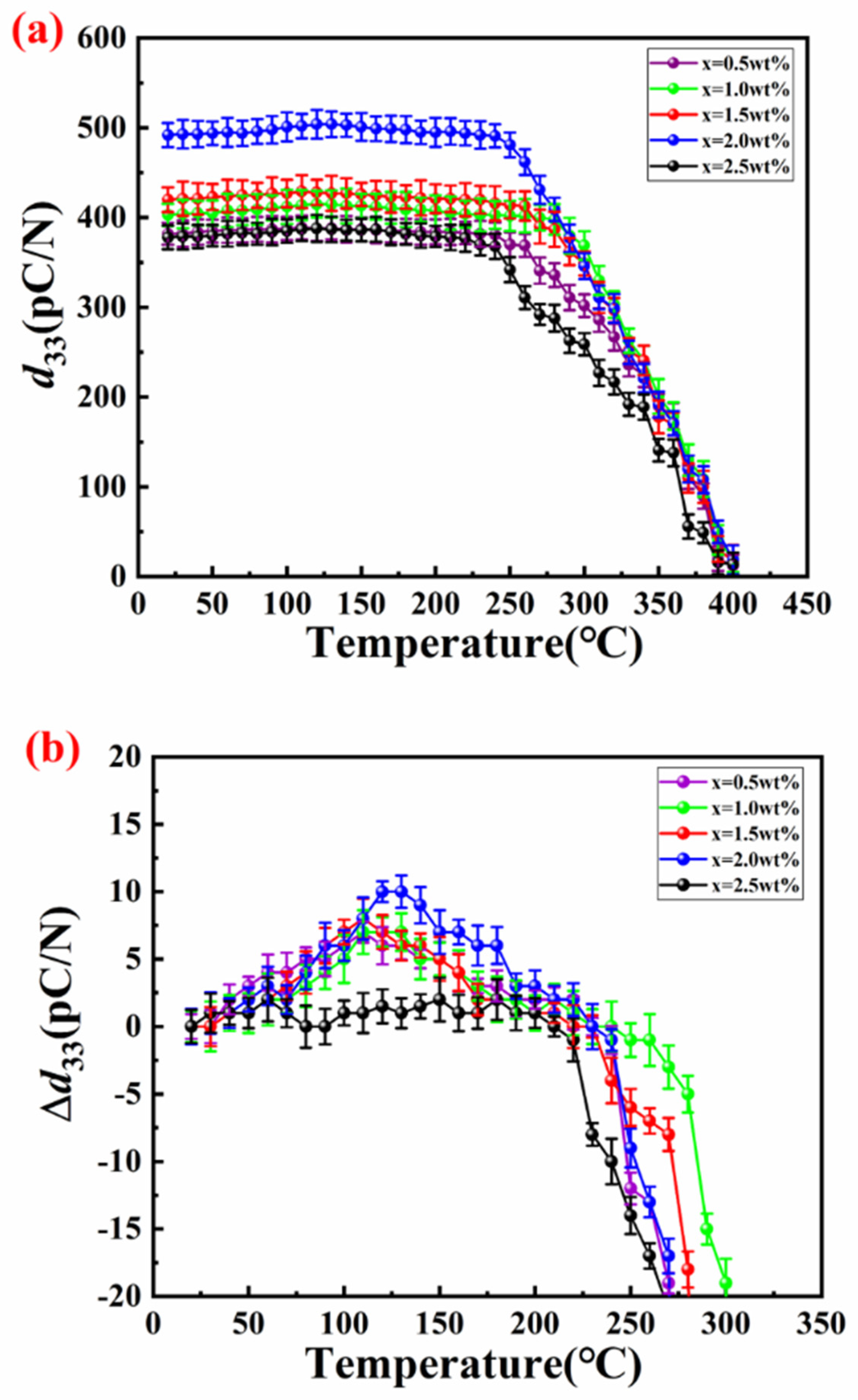
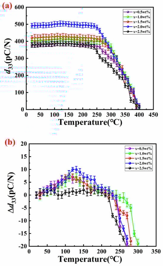
3. Results and Discussion
4. Conclusions
Author Contributions
Funding
Institutional Review Board Statement
Informed Consent Statement
Data Availability Statement
Conflicts of Interest
References
- Fan, F.R.; Tang, W.; Wang, Z.L. Flexible Nanogenerators for Energy Harvesting and Self-Powered Electronics. Adv. Mater. 2016, 28, 4283–4305. [Google Scholar] [CrossRef] [PubMed]
- Gao, X.; Wu, J.; Yu, Y.; Chu, Z.; Shi, H.; Dong, S. Giant Piezoelectric Coefficients in Relaxor Piezoelectric Ceramic PNN-PZT for Vibration Energy Harvesting. Adv. Funct. Mater. 2018, 28, 1706895. [Google Scholar] [CrossRef]
- Gu, W.; Zhao, B.; Yang, B.; Cai, Z.; Shang, X.; Zhou, T.; Guo, J. Achieving Superior Electrical Properties of PZT-PNN Piezoelectric Ceramics through Low-Temperature Sintering with PbO-CuO Eutectic Additives. J. Eur. Ceram. Soc. 2022, 42, 3831–3840. [Google Scholar] [CrossRef]
- Yang, S.; Li, J.; Liu, Y.; Wang, M.; Qiao, L.; Gao, X.; Chang, Y.; Du, H.; Xu, Z.; Zhang, S.; et al. Textured Ferroelectric Ceramics with High Electromechanical Coupling Factors Over a Broad Temperature Range. Nat. Commun. 2021, 12, 1414. [Google Scholar] [CrossRef] [PubMed]
- Abazari, M.; Safari, A. Effects of Doping On Ferroelectric Properties and Leakage Current Behavior of KNN-LT-LS Thin Films On SrTiO3 Substrate. J. Appl. Phys. 2009, 105, 094101. [Google Scholar] [CrossRef]
- Kizaki, Y.; Noguchi, Y.; Miyayama, M. Defect Control for Low Leakage Current in K0.5Na0.5NbO3 Single Crystals. Appl. Phys. Lett. 2006, 89, 142910. [Google Scholar] [CrossRef]
- Kour, P.; Pradhan, S.K.; Kumar, P.; Sinha, S.K.; Kar, M. Enhanced Ferroelectric and Piezoelectric Properties in La-Modified PZT Ceramics. Appl. Phys. A 2016, 122, 591. [Google Scholar] [CrossRef]
- Liu, C.; Du, Q.; Wu, J.; Zhang, G.; Shi, Y. Novel 3D Printed PZT-Based Piezoceramics for Piezoelectric Energy Harvesting Via Digital Light Processing. Chem. Eng. J. 2024, 492, 152004. [Google Scholar] [CrossRef]
- Shannigrahi, S.R.; Tay, F.E.H.; Yao, K.; Choudhary, R.N.P. WCA Effect of Rare Earth (La, Nd, Sm, Eu, Gd, Dy, Er and Yb) Ion Substitutions on the Microstructural and Electrical Properties of Sol-Gel Grown PZT Ceramics. J. Eur. Ceram. Soc. 2004, 24, 163–170. [Google Scholar] [CrossRef]
- Lee, S.; Lee, S.; Yoon, C.; Kim, H.; Lee, K. Low-Temperature Sintering of MnO2-Doped PZT-PZN Piezoelectric Ceramics. J. Electroceram. 2007, 18, 311–315. [Google Scholar] [CrossRef][Green Version]
- Li, F.; Lin, D.; Chen, Z.; Cheng, Z.; Wang, J.; Li, C.; Xu, Z.; Huang, Q.; Liao, X.; Chen, L.; et al. Ultrahigh Piezoelectricity in Ferroelectric Ceramics by Design. Nat. Mater. 2018, 17, 349–354. [Google Scholar] [CrossRef] [PubMed]
- Tian, Y.; Li, S.; Gong, Y.; Meng, D.; Wang, J.; Jing, Q. Effects of Er3+–Doping On Dielectric and Piezoelectric Properties of 0.5Ba0.9Ca0.1TiO3–0.5BaTi0.88Zr0.12O3–0.12%La–XEr Lead–Free Ceramics. J. Alloy Compd. 2017, 692, 797–804. [Google Scholar] [CrossRef]
- Panigrahi, S.C.; Das, P.R.; Choudhary, R.N.P. Ferroelectric Studies for Soft Gd-Modified PZT Ceramics. Phase Transit. 2018, 91, 703–714. [Google Scholar] [CrossRef]
- Ye, J.; Ding, G.; Wu, X.; Zhou, M.; Wang, J.; Chen, Y.; Yu, Y. Development and Performance Research of PSN-PZT Piezoelectric Ceramics Based on Road Vibration Energy Harvesting Technology. Mater. Today Commun. 2023, 34, 105135. [Google Scholar] [CrossRef]
- Ying, H.; Ding, G.; Zhao, J.; Wang, J.; Liu, Z.; Zhou, M.; Ye, J. Properties of PSN-PZT Piezoelectric Ceramic Powder Prepared by Fast Solid-Phase Reaction Method. Mater. Today Commun. 2023, 35, 106086. [Google Scholar] [CrossRef]
- Zhang, Z.; Xu, J.; Yang, L.; Liu, S.; Xiao, J.; Li, X.; Wang, X.A.; Luo, H. Design and Comparison of PMN-PT Single Crystals and PZT Ceramics Based Medical Phased Array Ultrasonic Transducer. Sens. Actuators A Phys. 2018, 283, 273–281. [Google Scholar] [CrossRef]
- Kour, P.; Pradhan, S.K.; Kumar, P.; Sinha, S.K.; Kar, M. Effect of Nd Doping On Dielectric and Impedance Properties of PZT Nanoceramics. J. Electron. Mater. 2018, 47, 2861–2870. [Google Scholar] [CrossRef]
- Zhu, Z.G.; Li, B.S.; Li, G.R.; Zhang, W.Z.; Yin, Q.R. Microstructure and Piezoelectric Properties of PMS–PZT Ceramics. Mater. Sci. Eng. B 2005, 117, 216–220. [Google Scholar] [CrossRef]
- Seshadri, S.B.; Nolan, M.M.; Tutuncu, G.; Forrester, J.S.; Sapper, E.; Esteves, G.; Granzow, T.; Thomas, P.A.; Nino, J.C.; Rojac, T.; et al. Unexpectedly High Piezoelectricity of Sm-Doped Lead Zirconate Titanate in the Curie Point Region. Sci. Rep. 2018, 8, 4120. [Google Scholar] [CrossRef] [PubMed]
- Guo, Q.; Li, F.; Xia, F.; Gao, X.; Wang, P.; Hao, H.; Sun, H.; Liu, H.; Zhang, S. High-Performance Sm-Doped Pb(Mg1/3Nb2/3)O3-PbZrO3-PbTiO3-Based Piezoceramics. ACS Appl. Mater. Interfaces 2019, 11, 43359–43367. [Google Scholar] [CrossRef]
- Hu, X.; Cao, T.; Wang, B.; Wen, Z.; Yan, K.; Wu, D. A Low-Cost Multilayer Piezoelectric Actuator for Ultrasonic Motor Stator Driving Fabricated by a Low-Temperature Co-Fired Ceramic Process. Ceram. Int. 2023, 49, 6119–6124. [Google Scholar] [CrossRef]
- Ghasemifard, M.; Hosseini, S.M.; Khorsand Zak, A.; Khorrami, G.H. Microstructural and Optical Characterization of PZT Nanopowder Prepared at Low Temperature. Physica. E Low-Dimens. Syst. Nanostructures 2009, 41, 418–422. [Google Scholar] [CrossRef]
- Thomazini, D.; Gelfuso, M.V.; Eiras, J.A. Microwave Assisted Hydrothermal Synthesis of Bi4Ti3O12 Nanopowders From Oxide as Raw Materials. Powder Technol. 2012, 222, 139–142. [Google Scholar] [CrossRef]
- Peng, Y.; Chen, H.; Shi, F.; Wang, J. Effect of Polyethylene Glycol on BaTiO3 Nanoparticles Prepared by Hydrothermal Preparation. IET Nanodielectr. 2020, 3, 69–73. [Google Scholar] [CrossRef]
- Wang, S.; Li, L.; Wang, X. Low-Temperature Firing and Microwave Dielectric Properties of MgNb2-XVx/2O6-1.25X Ceramics. Ceram. Int. 2022, 48, 199–204. [Google Scholar] [CrossRef]
- Rahsepar, H.; Hayati, R.; Javadpour, S. Evaluation of the Dielectric, and Piezoelectric Properties and Optimizing the Figure of Merit of the 0–3 KNN-0.8ZnO/PVDF-HFP Piezoelectric Composite by the Taguchi Method. J. Alloy Compd. 2024, 1006, 176373. [Google Scholar] [CrossRef]
- Vakifahmetoglu, C.; Karacasulu, L. Cold Sintering of Ceramics and Glasses: A Review. Curr. Opin. Solid State Mater. Sci. 2020, 24, 100807. [Google Scholar] [CrossRef]
- Guerra, J.D.S.; Hathenher, C.R.; Lourenço, S.A.; Dantas, N.O. Investigation of the Physical Properties of New PZT Modified Tellurium Oxide (TeO2–B2O3–PbO2: TBP) Glasses. J. Non-Cryst. Solids 2010, 356, 2350–2354. [Google Scholar] [CrossRef]
- Saegusa, K. Preparation by a Sol-Gel Process and Dielectric Properties of Lead Zirconate Titanate Glass-Ceramic Thin Films. Jpn. J. Appl. Phys. 1997, 36, 3602–3608. [Google Scholar] [CrossRef]
- Kim, B.S.; Ji, J.; Koh, J. Improved Strain and Transduction Values of Low-Temperature Sintered CuO-Doped PZT-PZNN Soft Piezoelectric Materials for Energy Harvester Applications. Ceram. Int. 2021, 47, 6683–6690. [Google Scholar] [CrossRef]
- Li, S.; Fu, J.; Zuo, R. Middle-Low Temperature Sintering and Piezoelectric Properties of CuO and Bi2O3 Doped PMS-PZT Based Ceramics for Ultrasonic Motors. Ceram. Int. 2021, 47, 20117–20125. [Google Scholar] [CrossRef]
- Mao, W.; Xu, Q.; Huang, D.; Sun, H.; Zhang, F.; Xie, X. Low-Temperature Sintering Properties of Bi2O3 Doped PZT-5H Piezoelectric Ceramics. J. Electron. Mater. 2023, 52, 3334–3342. [Google Scholar] [CrossRef]
- Sharma, G.N.; Dutta, S.; Singh, S.K.; Chatterjee, R. Growth and Optical Properties of Nano-Textured (110) Pb(Zr0.52Ti0.48)O3/(001) ZnO Hetero-Structure On Oxidized Silicon Substrate. J. Mater. Sci. Mater. Electron. 2017, 28, 5058–5062. [Google Scholar] [CrossRef]
- Zhang, J. Dielectric, Ferroelectric and Piezoelectric Properties of PZT Ceramics by ZnO Doping. Integr. Ferroelectr. 2019, 199, 105–111. [Google Scholar] [CrossRef]
- Shi, J.; Guo, Y.; Wang, S.; Yu, X.; Jiang, Q.; Xu, W.; Yan, Y.; Chen, Y.; Zhang, H.; Wang, B. An Optimisation Method for Planning and Operating Nearshore Island Power and Natural Gas Energy Systems. Energy 2024, 308, 132797. [Google Scholar] [CrossRef]
- Zhao, S.Y.; Bian, J.J. Effects of Li2CO3–CuO Addition On the Sintering Behavior, Dielectric and Piezoelectric Properties of PZT Ceramics. J. Mater. Sci. Mater. Electron. 2023, 34, 1202. [Google Scholar] [CrossRef]
- Nan, B.; Paver, T.; Vigay, B.; Tim, B.; Li, L.; Fan, P. Journal Effect of lithium carbonate on the sintering, microstructure, and functional properties of sol–gel-derived Ba0.85Ca0.15Zr0.1Ti0.9O3 piezoceramics. J. Mater. Res. 2021, 36, 1105–1113. [Google Scholar] [CrossRef]
- Dai, L.; Gio, P. Effect of Li2CO3 Addition on the Sintering Behavior and Physical Properties of PZT-PZN-Pmnn Ceramics. Mater. Sci. Appl. 2013, 2, 89–93. [Google Scholar]
- Lin, Z.; Zhu, Z.; Yao, Z.; Zhang, H.; Hao, H.; Cao, M.; Liu, H. Piezoelectric Response and Cycling Fatigue Resistance of Low-Temperature Sintered PZT-Based Ceramics. Materials 2023, 16, 1679. [Google Scholar] [CrossRef] [PubMed]
- Gao, B.; Yao, Z.; Lai, D.; Guo, Q.; Pan, W.; Hao, H.; Cao, M.; Liu, H. Unexpectedly High Piezoelectric Response in Sm-Doped PZT Ceramics Beyond the Morphotropic Phase Boundary Region. J. Alloy Compd. 2020, 836, 155474. [Google Scholar] [CrossRef]
- Lu, C.; Lin, J. WCA Interaction Between Lead Iron Niobate/Tungstate Ceramics and Silver/Palladium Metals. Ceram. Int. 1997, 23, 223–228. [Google Scholar] [CrossRef]
- Huang, C.; Cai, K.; Wang, Y.; Bai, Y.; Guo, D. Revealing the Real High Temperature Performance and Depolarization Characteristics of Piezoelectric Ceramics by Combined in Situ Techniques. J. Mater. Chem. C Mater. Opt. Electron. Devices 2018, 6, 1433–1444. [Google Scholar] [CrossRef]
- Naeem, F.; Saleem, M.; Jabbar, H.; Tanvir, G.; Asif, F.; Baluch, A.H.; Irfan, M.; Ghaffar, A.; Maqbool, A.; Rafiq, T. Enhanced Ferroelectric and Dielectric Properties of Niobium-Doped Lead-Free Piezoceramics. Materials 2023, 16, 477. [Google Scholar] [CrossRef] [PubMed]
- Geng, L.M.; Yang, W. Defect agglomeration in ferroelectric ceramics under cyclic electric field. Sci. China 2008, 51, 1296–1305. [Google Scholar] [CrossRef]






Disclaimer/Publisher’s Note: The statements, opinions and data contained in all publications are solely those of the individual author(s) and contributor(s) and not of MDPI and/or the editor(s). MDPI and/or the editor(s) disclaim responsibility for any injury to people or property resulting from any ideas, methods, instructions or products referred to in the content. |
© 2025 by the authors. Licensee MDPI, Basel, Switzerland. This article is an open access article distributed under the terms and conditions of the Creative Commons Attribution (CC BY) license (https://creativecommons.org/licenses/by/4.0/).
Share and Cite
Ma, Z.; Yuan, Z.; Yao, Z.; Chen, J.; Hao, H.; Cao, M.; Liu, H. Ultralow Temperature Sintering of High-Performance Sm-Doped Pb(Zr,Ti)O3-Based Piezoelectric Ceramics. Materials 2025, 18, 512. https://doi.org/10.3390/ma18030512
Ma Z, Yuan Z, Yao Z, Chen J, Hao H, Cao M, Liu H. Ultralow Temperature Sintering of High-Performance Sm-Doped Pb(Zr,Ti)O3-Based Piezoelectric Ceramics. Materials. 2025; 18(3):512. https://doi.org/10.3390/ma18030512
Chicago/Turabian StyleMa, Zechi, Zixuan Yuan, Zhonghua Yao, Jiangxue Chen, Hua Hao, Minghe Cao, and Hanxing Liu. 2025. "Ultralow Temperature Sintering of High-Performance Sm-Doped Pb(Zr,Ti)O3-Based Piezoelectric Ceramics" Materials 18, no. 3: 512. https://doi.org/10.3390/ma18030512
APA StyleMa, Z., Yuan, Z., Yao, Z., Chen, J., Hao, H., Cao, M., & Liu, H. (2025). Ultralow Temperature Sintering of High-Performance Sm-Doped Pb(Zr,Ti)O3-Based Piezoelectric Ceramics. Materials, 18(3), 512. https://doi.org/10.3390/ma18030512

